Circuit Simulation Considering Electrical Coupling in Monolithic 3D Logics with Junctionless FETs
Abstract
1. Introduction
2. Structures
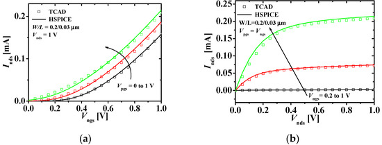
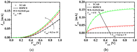
3. Parameter Extraction
4. Circuit Simulation and Discussion
5. Conclusions
Author Contributions
Funding
Acknowledgments
Conflicts of Interest
References
- Claverlier, L.; Deguet, C.; di Cioccio, L.; Augendre, E.; Brugere, A.; Gueguen, P.; Tiec, Y.L.; Moriceau, H.; Rabarot, M.; Signamarcheix, T.; et al. Engineered substrates for future More Moore and More than Moore integrated devices. In Proceedings of the 2010 IEEE International Electron Devices Meeting (IEDM), San Francisco, CA, USA, 6–8 December 2010; pp. 261–264. [Google Scholar] [CrossRef]
- Lim, S.K. Bringing 3D ICs to aerospace: Needs for design tools and methodologies. J. Lnf. Commun. Converg. Eng. 2017, 15, 117–122. [Google Scholar] [CrossRef]
- Wong, S.; El-Gamal, A.; Griffin, P.; Nishi, Y.; Pease, F.; Plummer, J. Monolithic 3D Integrated Circuits. In Proceedings of the International Symposium on VLSI Technology, Systems and Applications (VLSI-TSA), Hsinchu, Taiwan, 23–25 April 2007; pp. 1–4. [Google Scholar] [CrossRef]
- Park, K.T.; Nam, S.W.; Kim, D.H.; Kwak, P.S.; Lee, D.S.; Choi, Y.H.; Choi, M.H.; Kwak, D.H.; Kim, D.H.; Kim, M.S.; et al. Three-dimensional 128 Gb MLC vertical nand flash memory with 24-WL stacked layers and 50 MB/s high-speed programming. IEEE J. Solid State Circuits. 2015, 50, 204–213. [Google Scholar] [CrossRef]
- Shen, C.-H.; Shieh, J.-M.; Wu, T.-T.; Huang, W.-H.; Yang, C.-C.; Wan, C.-J.; Lin, C.-D.; Wang, H.-H.; Chen, B.-Y.; Huang, G.-W.; et al. Monolithic 3D chip integrated with 500ns NVM, 3ps logic circuits and SRAM. In Proceedings of the 2013 IEEE International Electron Devices Meeting, Washington, DC, USA, 9–11 December 2013; pp. 931–934. [Google Scholar] [CrossRef]
- Batude, P.; Ernst, T.; Arcamone, J.; Arndt, G.; Coudrain, P.; Gaillardon, P.-E. 3-D sequential integration: A key enabling technology for heterogeneous co-integration of new function with CMOS. IEEE J. Emerg. Sel. Top. Circuits Syst. 2012, 2, 714–722. [Google Scholar] [CrossRef]
- Sachid, A.B.; Tosun, M.; Desai, S.B.; Hsu, C.-Y.; Lien, D.-H.; Madhvapathy, S.R.; Chen, Y.-Z.; Hettick, M.; Kang, J.S.; Zeng, Y.; et al. Monolithic 3D CMOS using layered semiconductors. Adv. Mater. 2016, 28, 2547–2554. [Google Scholar] [CrossRef] [PubMed]
- Fan, M.-L.; Hu, V.P.-H.; Chen, Y.-N.; Su, P.; Chuang, C.-T. Investigation and optimization of monolithic 3D logic circuits and SRAM cells considering interlayer coupling. In Proceedings of the 2014 IEEE International Symposium on Circuits and Systems (ISCAS), Melbourne, VIC, Australia, 1–5 June 2014; pp. 1130–1133. [Google Scholar] [CrossRef]
- Turkylimaz, O.; Cibrario, G.; Rozeau, O.; Batude, P.; Clermidy, F. 3D FPGA using high-density interconnect Monolithic Integration. In Proceedings of the 2014 Design, Automation & Test in Europe Conference & Exhibition (DATE), Dresden, Germany, 24–28 March 2014; pp. 1–4. [Google Scholar] [CrossRef]
- Vinet, M.; Batude, P.; Tabone, C.; Previtali, B.; LeRoyer, C.; Pouydebasque, A.; Claverlier, L.; Valentian, A.; Thomas, O.; Michaud, S.; et al. 3D monolithic integration: Technological challenges and electrical results. Microelectron. Eng. 2010, 88, 331–335. [Google Scholar] [CrossRef]
- Santos, C.; Vivet, P.; Thuries, S.; Billoint, O.; Colonna, J.-P.; Coudrain, P.; Wang, L. Thermal performance of CoolCubeTM monolithic and TSV-based 3D integration processes. In Proceedings of the IEEE International 3D Systems Integration Conference (3DIC), San Francisco, CA, USA, 8–11 November 2016; pp. 1–5. [Google Scholar] [CrossRef]
- Llorente, C.D.; Royer, C.L.; Batude, P.; Fenouillet-Beranger, C.; Martinie, S.; Lu, C.-M.V.; Allain, F.; Colinge, J.-P.; Cristoloveanu, S.; Ghibaudo, G.; et al. New insights on SOI tunnel FETs with low-temperature process flow for CoolCubeTM integration. Solid State Electron. 2018, 144, 78–85. [Google Scholar] [CrossRef]
- Broard, M.; Boumchedda, R.; Noel, J.P.; Akyel, K.C.; Giraud, B.; Beigne, E.; Turgis, D.; Thuries, S.; Berhault, G.; Billoint, O. High density SRAM bitcell architecture in 3D sequential CoolCubeTM 14nm technology. In Proceedings of the 2016 IEEE SOI-3D-Subthreshold Microelectronics Technology Unified Conference (S3S), Burlingame, CA, USA, 10–13 October 2016; pp. 1–3. [Google Scholar] [CrossRef]
- Kim, S.H.; Kim, S.K.; Shim, J.P.; Geum, D.M.; Ju, G.W.; Kim, H.S.; Lim, H.J.; Lim, H.R.; Han, J.H.; Lee, S.B.; et al. Heterogeneous Integration Toward a Monolithic 3-D Chip Enabled by III–V and Ge Materials. IEEE J. Electron Devices Soc. 2018, 6, 579–587. [Google Scholar] [CrossRef]
- Abedin, A.; Zurauskaite, L.; Asadollahi, A.; Garidis, K.; Jayakumar, G.; Malm, G.; Hellstrom, P.-E.; Ostling, M. Germanium on Insulator Fabrication for Monolithic 3-D Integration. IEEE J. Electron Devices Soc. 2018, 6, 588–593. [Google Scholar] [CrossRef]
- Kim, S.H.; Kim, S.K.; Han, J.H.; Geum, D.M.; Shim, J.P.; Lee, S.B.; Kim, H.S.; Ju, G.W.; Song, J.D.; Alam, M.A.; et al. Highly Stable Self-Aligned Ni-InGaAs and Non-Self-Aligned Mo Contact for Monolithic 3-D Integration of InGaAs MOSFETs. IEEE J. Electron Devices Soc. 2019, 7, 869–877. [Google Scholar] [CrossRef]
- Kanhaiya, P.S.; Stein, Y.; Lu, W.; Alamo, J.A.; Shulaker, M.M. X3D: Heterogeneous Monolithic 3D Integration of “X” (Arbitrary) Nanowires: Silicon, III–V, and Carbon Nanotubes. IEEE Trans. Nanotechnol. 2019, 18, 270–273. [Google Scholar] [CrossRef]
- Hsieh, D.-R.; Lin, J.-Y.; Chao, T.-S. High-Performance Pi-Gate Poly-Si Junctionless and Inversion Mode FET. IEEE Trans. Electron Devices 2016, 63, 4179–4184. [Google Scholar] [CrossRef]
- Ahn, T.J.; Perumal, R.; Lim, S.K.; Yu, Y.S. Parameter Extraction and Power/Performance Analysis of Monolithic 3-D Inverter (M3INV). IEEE Trans. Electron Devices 2019, 66, 1006–1011. [Google Scholar] [CrossRef]
- Jazaeri, F.; Sallese, J.-M. Modeling Nanowire and Double-Gate Junctionless Field-Effect Transistors; Cambridge University Press: Cambridge, UK, 2018. [Google Scholar]
- Sallese, J.-M.; Chevillon, N.; Lallement, C.; Iniguez, B. Charge-Based Modeling of Junctionless Double-Gate Field-Effect Transistors. IEEE Trans. Electron Devices 2011, 58, 2628–2637. [Google Scholar] [CrossRef]
- Rassekh, A.; Jazaeri, F.; Fathipour, M.; Sallese, J.-M. Modeling Interface Charge Traps in Junctionless FETs, Including Temperature Effects. IEEE Trans. Electron Devices 2019, 66, 4653–4659. [Google Scholar] [CrossRef]
- Yu, Y.S. A Unified Analytical Current Model for N- and P-Type Accumulation-Mode (Junctionless) Surrounding-Gate Nanowire FETs. IEEE Trans. Electron Devices 2014, 61, 3007–3010. [Google Scholar] [CrossRef]
- Rozeau, O.; Jaud, M.-A.; Poiroux, T.; Benosman, M. UTSOI Model 1.1.3. Laboratoire d’Électronique et de Technologie de l’Information (Leti). Available online: http://www-leti.cea.fr (accessed on 25 May 2012).
- Poiroux, T.; Rozeau, O.; Scheer, P.; Martinie, S.; Jaud, M.A.; Minondo, M.; Juge, A.; Barbe, J.C.; Vinet, M. Leti-UTSOI2.1: A Compact Model for UTBB-FDSOI Technologies—Part I: Interface Potentials Analytical Model. IEEE Trans. Electron Devices 2015, 62, 2751–2759. [Google Scholar] [CrossRef]
- Poiroux, T.; Rozeau, O.; Scheer, P.; Martinie, S.; Jaud, M.A.; Minondo, M.; Juge, A.; Barbe, J.C.; Vinet, M. Leti-UTSOI2.1: A Compact Model for UTBB-FDSOI Technologies—Part II: DC and AC Model Description. IEEE Trans. Electron Devices 2015, 62, 2760–2768. [Google Scholar] [CrossRef]
- Ahn, T.J.; Choi, B.H.; Lim, S.K.; Yu, Y.S. Electrical Coupling and Simulation of Monolithic 3D Logic Circuits and Static Random Access Memory. Micromachines 2019, 10, 637. [Google Scholar] [CrossRef] [PubMed]
- Silvaco Int. ATLAS Ver. 5. 20. 2. R Manual; Silvaco Int.: Santa Clara, CA, USA, 2015. [Google Scholar]
- Rani, T.E.; Rani, M.A.; Rao, R. AREA optimized low power arithmetic and logic unit. In Proceedings of the International Conference on Electronics Computer Technology, Kanyakumari, India, 8–10 April 2011; pp. 224–228. [Google Scholar] [CrossRef]
- Nasrollahpour, M.; Sreekumar, R.; Hajilou, F.; Aldacher, M.; Hamedi-Hagh, S. Low-power bluetooth receiver front end design with oscillator leakage reduction technique. J. Low Power Electron. 2018, 14, 179–184. [Google Scholar] [CrossRef]
- Arandilla, C.D.C.; Alvarez, A.B.; Roque, C.R.K. Static noise margin of 6T SRAM cell in 90-nm CMOS. In Proceedings of the UkSim 13th International Conference on Computer Modelling and Simulation, Cambridge, UK, 30 March–1 April 2011; pp. 534–539. [Google Scholar] [CrossRef]









| Models/Parameters | Description | Value/Unit |
|---|---|---|
| CVT | Lombardi model and complete mobility model including the doping density N, temperature T, and transverse electric field E// | – |
| SRH | Shockley-Read-Hall recombination model | – |
| BGN | Band gap narrowing model | – |
| AUGER | Auger recombination model | – |
| FERMI | Fermi-Dirac carrier statistics | – |
| NEWTON | Newton method which solves a linearized version of the entire nonlinear algebraic system | – |
| GUMMEL | GUMMEL method, which solves a sequence of relatively small linear subproblems | – |
| ΦN | Gate work function of N-type JLFET | 5.06 eV |
| ΦP | Gate work function of P-type JLFET | 4.41 eV |
| Parameter | Unit | Description | Value | |
|---|---|---|---|---|
| P-Type | N-Type | |||
| DLQ | m | Effective channel length offset for C−V (capacitance −voltage) | 2 × 10−8 | 1 × 10−8 |
| VBFO | V | Geometry-independent flat-band voltage | 0.29 | −0.28 |
| CICO | – | Geometry-independent part of substrate bias dependence factor of interface coupling | 0.65 | 3 |
| PSCEL | – | Length dependence of short channel effect above threshold | 0.5 | 0.1 |
| CFL | V−1 | Length dependence of DIBL (Drain-Induced Barrier Lowering) parameter | 2.7 | 2 |
| UO | m2/V/s | Zero-field mobility | 6.5 × 10−3 | 1.75 × 10−2 |
| MUEO | m/V | Mobility reduction coefficient | 1 | 1 |
| THEMUO | – | Mobility reduction exponent | 1.22 | 1.8 |
| RSGO | – | Gate-bias dependence of RS (Resistance) | 2 | 1 |
| THESATO | V−1 | Geometry-independent Velocity saturation parameter | 1.8 | 2.7 |
| THESATBO | V−1 | Substrate bias dependence of velocity saturation | 0.1 | 0.28 |
| FETAO | – | Effective field parameter | 0 | −3 |
| AXO | – | Geometry-independent of linear/saturation transition factor | 1.6 | 1.6 |
| ALPL1 | – | Length dependence of CLM pre-factor ALP | 0.0005 | 0.00001 |
| VPO | V | CLM logarithm dependence factor | 0.04 | 0.04 |
| CFRW | F | Outer fringe capacitance | 2 × 10−16 | 2 × 10−16 |
| Stages | Power [μW] | Frequency [GHz] | Delay Per Stage [ps] | |||
|---|---|---|---|---|---|---|
| MOSFET | JLFET | MOSFET | JLFET | MOSFET | JLFET | |
| 3 | 281 | 275 (−2.13%) | 18.7 | 18.18 (−2.78%) | 9.04 | 9.165 (1.38%) |
| 19 | 279 | 277 (−0.71%) | 2.88 | 2.86 (−0.69%) | 9.16 | 9.18 (0.2%) |
| 101 | 281 | 283 (0.71%) | 0.52 | 0.52 (0%) | 9.28 | 9.35 (0.7%) |
| Performances | M3DIC-MOSFET [27] | M3DIC-JLFET | ||||||||||
|---|---|---|---|---|---|---|---|---|---|---|---|---|
| INV | NAND | NOR | MUX | D-FF | SRAM | INV | NAND | NOR | MUX | D-FF | SRAM | |
| Average static power [nW] | 4.89 | 9.84 | 6.23 | 11.8 | 15.4 | 4.3 | 10.6 (116.7%) | 78 (692%) | 54.5 (774%) | 104.7 (787%) | 123.2 (700%) | 20.3 (372%) |
| Average dynamic power [μW] | 9.85 | 21.1 | 16.6 | 37.7 | 41.9 | 20 | 16.5 (67.5%) | 29.3 (38.8%) | 20.7 (24.6%) | 46.6 (23.6%) | 47.8 (14%) | 28.2 (41%) |
| Average delay [ps] | 4.17 | 4.61 | 5.65 | 4.41 | 10.25 | 8.1 | 4.65 (11.5%) | 6.1 (32.3%) | 7.31 (29.3%) | 4.72 (7%) | 11.9 (16%) | 8.85 (9.25%) |
© 2020 by the authors. Licensee MDPI, Basel, Switzerland. This article is an open access article distributed under the terms and conditions of the Creative Commons Attribution (CC BY) license (http://creativecommons.org/licenses/by/4.0/).
Share and Cite
Ahn, T.J.; Yu, Y.S. Circuit Simulation Considering Electrical Coupling in Monolithic 3D Logics with Junctionless FETs. Micromachines 2020, 11, 887. https://doi.org/10.3390/mi11100887
Ahn TJ, Yu YS. Circuit Simulation Considering Electrical Coupling in Monolithic 3D Logics with Junctionless FETs. Micromachines. 2020; 11(10):887. https://doi.org/10.3390/mi11100887
Chicago/Turabian StyleAhn, Tae Jun, and Yun Seop Yu. 2020. "Circuit Simulation Considering Electrical Coupling in Monolithic 3D Logics with Junctionless FETs" Micromachines 11, no. 10: 887. https://doi.org/10.3390/mi11100887
APA StyleAhn, T. J., & Yu, Y. S. (2020). Circuit Simulation Considering Electrical Coupling in Monolithic 3D Logics with Junctionless FETs. Micromachines, 11(10), 887. https://doi.org/10.3390/mi11100887

