A Comparison of Data Reduction Methods for Average Friction Factor Calculation of Adiabatic Gas Flows in Microchannels
Abstract
:1. Introduction
2. Experimental Methodology
2.1. Setup
2.2. Data Reduction
3. Numerical Methodology
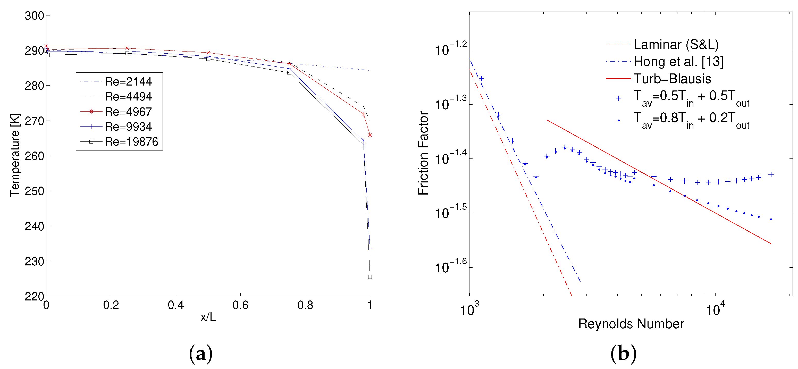
Validation
4. Results and Discussion
4.1. Numerical Calculation of Minor Loss Coefficients
4.2. Experimental Average Friction Factor
4.3. Flow Choking and under Expansion at Outlet
- In laminar flow regime, due to their significant relative contribution towards pressure drop, minor losses can only be estimated using validated numerical results for compressible gas microflows. To avoid numerical input while deducing experimental friction factor results, M2 method can be used to correctly model pressure and temperature at the inlet of MC.
- In choked turbulent regime, MC outlet pressure should be measured to better estimate the cross-sectional average temperature using Equation (5). For an experimental campaign where it is not possible, adiabatic friction factor with an assumption of perfect expansion () should be evaluated using Equation (15).
5. Conclusions
- For the correct experimental estimation of from total pressure drop and inlet temperature measurements employing minor losses methodology proposed for incompressible flows (M1), it is essential to have inlet and outlet loss coefficients calculated numerically as a priori else results will be misleading in the presence of strong compressibility effects.
- Gas flow properties at MC inlet can be obtained by considering an isentropic expansion of gas between the entrance manifold and MC (M2). This, when coupled with the assumption of perfect expansion at MC outlet, results in a self-sustained experimental data reduction method with no numerical input as a priori. Furthermore, this avoids possibility of inducing errors in inlet minor loss estimation due to poor numerical modeling.
- While deducing experimental results for between the inlet and outlet, perfect expansion () can be used as a first approximation till the flow starts to choke at outlet. After this limit, gas flow is underexpanded and a fully expanded treatment will result in a significant overestimation of MC outlet temperature using Equation (5) and hence an artificial increase of in choked flow regime is observed.
- Detailed experimental and numerical analysis shows that the gas flow can be assumed isothermal only in the laminar flow regime for the evaluation of friction factors in MCs.
- Experiments also show that the isothermal treatment of the gas results in friction factors that are usually lower than adiabatic ones in the choked turbulent flow regime with following the slope of Blasius law and adiabatic diverging from it at higher . The reason for this diversion is the inappropriate data reduction at MC outlet during flow choking regime.
- As gas flow accelerates towards the end of the MC causing a steep decrease in temperature near the outlet, average friction factors between inlet and outlet should be calculated using Equation (15).
Author Contributions
Funding
Acknowledgments
Conflicts of Interest
Abbreviations
| MC | Microchannel |
| MT | Microtube |
| man | manifold |
| Average fanno friction factor | |
| Local Fanno/Adiabatic friction factor | |
| Semi local Fanno friction factor | |
| Isothermal friction factor | |
| Wall shear stress | |
| Density of the gas | |
| u | Gas average axial velocity |
| Hydraluic diamter | |
| Aspect ratio of MC | |
| Roughness of MC | |
| Kinetic energy recovery coefficient | |
| Wetted perimeter | |
| p | Cross sectional average pressure |
| Minor pressure loss | |
| R | Universal gas constant |
| T | Cross sectional average temperature |
| Average temperature between two axial locations | |
| mass flow rate per unit area | |
| Specific heat at constant pressure | |
| A | MC cross sectional area |
| mass flow rate | |
| Kinematic viscosity | |
| Mach number | |
| Ratio of specific heat | |
| Pressure drop | |
| K | Minor loss coefficient |
| L | MC length |
| w | MC width |
| h | MC height |
| Manifold Height | |
| Height of reducer | |
| Subscripts | |
| MC inlet and outlet | |
| Entrance of inlet manifold | |
| Exit of outlet manifold | |
| Theoretical | |
| Atmospheric | |
| Manifold |
References
- Tuckerman, D.B.; Pease, R.F.W. High-performance heat sinking for VLSI. IEEE Electron Device Lett. 1981, 5, 126–129. [Google Scholar] [CrossRef]
- Asadi, M.; Gongnan, X. A review of heat transfer and pressure drop characteristics of single and two-phase microchannels. Int. J. Heat Mass Transf. 2014, 79, 34–53. [Google Scholar] [CrossRef]
- Wu, P.; Little, W.A. Measurement of friction factors for the flow of gases in very fine channels used for microminiature Joule–Thomson refrigerators. Cryogenics 1983, 23, 273–277. [Google Scholar] [CrossRef]
- Choi, S.B.; Barron, R.F.; Warrington, R.O. Fluid Flow and Heat Transfer in Microtubes. In Proceedings of the Winter Annual Meeting of the American Society of Mechanical Engineers on Micro-Mechanical Sensors, Actuators and System, Atlanta, GA, USA, 1–6 December 1991; pp. 123–134. [Google Scholar]
- Peng, X.F.; Peterson, G.P. The effect of thermofluid and geometrical parameters on convection of liquids through rectangular microchannels. Int. J. Heat Mass Transf. 1995, 38, 755–758. [Google Scholar] [CrossRef]
- Xu, B.; Ooi, K.T.; Wong, N.T.; Choi, W.K. Experimental investigation of flow friction for liquid flow in microchannels. Int. Commun. Heat Mass Transf. 2000, 27, 1165–1176. [Google Scholar] [CrossRef]
- Pfund, D.; Rector, D.; Shekarriz, A.; Popescu, A.; Welty, J. Pressure drop measurements in a microchannel. AIChE 2000, 46, 1496–1507. [Google Scholar] [CrossRef]
- Harms, T.M.; Kazmierczak, M.J. Developing convective heat transfer in deep rectangular microchannels. Int. J. Heat Fluid Flow 1999, 20, 149–157. [Google Scholar] [CrossRef]
- Adams, T.; Dowling, M.; Abdel-Khalik, S.; Jeter, S. Applicability of traditional turbulent single-phase forced convection correlations to non-circular microchannels. Int. J. Heat Mass Transf. 1999, 42, 4411–4415. [Google Scholar] [CrossRef]
- Morini, G.L.; Yang, Y.; Chalabi, H.; Lorenzini, M. A critical review of measurement techniques for the analysis of gas microflows through microchannels. Exp. Therm. Fluid Sci. 2011, 35, 849–865. [Google Scholar] [CrossRef]
- Morini, G.L.; Yang, Y. Guidelines for the analysis of single-phase forced convection in microchannels. ASME J. Heat Transf. 2013, 135, 101004. [Google Scholar] [CrossRef]
- Hong, C.; Asako, Y.; Lee, J.H. Poiseuille Number Correlation for high speed microflows. J. Phys. D Appl. Phys. 2008, 41, 105111. [Google Scholar] [CrossRef]
- Yang, Y. Experimental and Numerical Analysis of Gas Forced Convection through Microtubes and Micro Heat Exchangers. Ph.D. Thesis, University of Bologna, Bologna, Italy, 2013. [Google Scholar] [CrossRef]
- Morini, G.L.; Lorenzini, M.; Colin, S.; Geoffroy, S. Experimental analysis of pressure drop and laminar to turbulent transition for gas flows in smooth microtubes. Heat Transf. Eng. 2007, 8–9, 670–679. [Google Scholar] [CrossRef]
- Morini, G.L.; Lorenzini, M.; Colin, S.; Geoffroy, S. Laminar, Transitional and Turbulent Friction Factors For Gas Flows in Smooth and Rough Microtubes. In Proceedings of the 6th International Conference on Microchannels and Minichannels, Darmstadt, Germany, 23–25 June 2008. [Google Scholar]
- Tang, G.H.; Li, Z.; He, Y.L.; Tao, W.Q. Experimental study of compressibility, roughness and rarefaction influences on microchannel flow. Int. J. Heat Mass Transf. 2007, 50, 2282–2295. [Google Scholar] [CrossRef]
- Turner, S.E.; Lam, L.C.; Faghri, M.; Gregory, O.J. Experimental investigation of gas flow in microchannel. J. Heat Transf. 2004, 127, 753–763. [Google Scholar] [CrossRef]
- Kawashima, D.; Asako, Y. Data reduction of friction factor for compressible flow in micro-channels. Int. J. Heat Mass Transf. 2014, 77, 257–261. [Google Scholar] [CrossRef]
- Hong, C.; Nakamura, T.; Asako, Y.; Ueno, I. Semi-local friction factor of turbulent gas flow through rectangular microchannels. Int. J. Heat Mass Transf. 2016, 98, 643–649. [Google Scholar] [CrossRef]
- Hong, C.; Asako, Y.; Morini, G.L.; Rehman, D. Data reduction of average friction factor of gas flow through adiabatic micro-channels. Int. J. Heat Mass Transf. 2019, 129, 427–431. [Google Scholar] [CrossRef]
- Munson, B.R.; Young, D.F.; Okiishi, T.H.; Huebsch, W.W. Fundamentals of Fluid Mehanics, 6th ed.; Jhon Willey & Sons Inc.: Hoboken, NJ, USA, 2007; ISBN ES8-0-470-39881-4. [Google Scholar]
- Abraham, J.P.; Sparrow, E.M.; Tong, J.C.K.; Bettenhausen, D.W. Internal flows which transist from turbulent through intermittent to laminar. Int. J. Therm. Sci. 2010, 49, 256–263. [Google Scholar] [CrossRef]
- Mirmanto, M. Developing flow pressure drop and friction factor of water in copper microchannels. J. Mech. Eng. Autom. 2013, 3, 641–649. [Google Scholar]
- Sahar, A.M.; Wissink, J.; Mahmoud, M.M.; Karayiannis, T.G.; Ishak, M.S.A. Effect of hydraulic diameter and aspect ratio on single phase flow and heat transfer in a rectangular microchannel. Appl. Therm. Eng. 2017, 115, 793–814. [Google Scholar] [CrossRef]
- Vocale, P.; Rehman, D.; Morini, G.L. Inlet and outlet minor losses in presence of compressibile gas flows in a microtube. In Proceedings of the 9th World Conference on Experimental Heat Transfer, Fluid Mechanics and Thermodynamics, Iguazu Falls, Brazil, 11–15 June 2017. [Google Scholar]
- Lijo, V.; Kin, H.D.; Setoguchi, T. Analysis of choked viscous flows through a constant area duct. IMechE Part G J. Aerosp. Eng. 2010, 224, 1151–1162. [Google Scholar] [CrossRef]
- Kawashima, D.; Yamada, T.; Hong, C.; Asako, Y. Mach number at outlet plane of a straight micro-tube. IMechE Part C J. Mech. Eng. Sci. 2016, 19, 3420–3430. [Google Scholar] [CrossRef]
- Hong, C.; Tanaka, G.; Asako, Y. Katanoda, Flow characteristics of gaseous flow through microtube discharged into atmosphere. Int. J. Heat Mass Transf. 2018, 121, 187–195. [Google Scholar] [CrossRef]













| Instrument | Range (0–Full Scale (FS)) | Uncertainty |
|---|---|---|
| Volume flow rate controllers | 0–500 & 0–5000 nmL/min | 0.5% FS |
| Pressure sensors | 0–256, 0–860 & 0–1460 kPa | 0.5% FS |
| K-type thermocouple | 0–100 C | 0.25% FS |
| Location | M1 | M2 |
|---|---|---|
| Inlet | - Numerical minor loss coefficient to | - Isentropic expansion between |
| estimate entrance manifold pressure drop | entrance manifold (1) and MC inlet (in) | |
| - (see Figure 3) | ||
| Outlet | - Fully expanded flow () | |
| - estimated using Equation (5) | ||
| Channel | w (m) | h (m) | (m) | |
|---|---|---|---|---|
| MC1 | 360 | 250 | ∼295 | 0.7 |
| MC2 | 1020 | 112.7 | ∼203 | 0.11 |
| MC3 | 550 | 110 | ∼184 | 0.2 |
| Boundary | Value |
|---|---|
| Inlet | - mass flow rate: experimental or from Equation (3) |
| - Turbulence Intensity, TI = 5% | |
| - Temperature C | |
| Walls | - No slip |
| - Adiabatic | |
| Outlet | Pressure outlet, Relative p = 0 Pa |
© 2019 by the authors. Licensee MDPI, Basel, Switzerland. This article is an open access article distributed under the terms and conditions of the Creative Commons Attribution (CC BY) license (http://creativecommons.org/licenses/by/4.0/).
Share and Cite
Rehman, D.; Morini, G.L.; Hong, C. A Comparison of Data Reduction Methods for Average Friction Factor Calculation of Adiabatic Gas Flows in Microchannels. Micromachines 2019, 10, 171. https://doi.org/10.3390/mi10030171
Rehman D, Morini GL, Hong C. A Comparison of Data Reduction Methods for Average Friction Factor Calculation of Adiabatic Gas Flows in Microchannels. Micromachines. 2019; 10(3):171. https://doi.org/10.3390/mi10030171
Chicago/Turabian StyleRehman, Danish, Gian Luca Morini, and Chungpyo Hong. 2019. "A Comparison of Data Reduction Methods for Average Friction Factor Calculation of Adiabatic Gas Flows in Microchannels" Micromachines 10, no. 3: 171. https://doi.org/10.3390/mi10030171
APA StyleRehman, D., Morini, G. L., & Hong, C. (2019). A Comparison of Data Reduction Methods for Average Friction Factor Calculation of Adiabatic Gas Flows in Microchannels. Micromachines, 10(3), 171. https://doi.org/10.3390/mi10030171

