Assessing the Potential Synergistic/Antagonistic Effects of Citrinin and Cannabidiol on SH-SY5Y, HepG2, HEK293 Cell Lines, and Human Lymphocytes
Abstract
1. Introduction
2. Results and Discussion
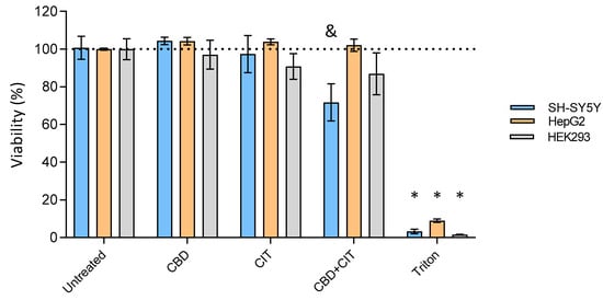
2.1. Cell Viability
2.2. Cell Membrane Integrity
2.3. Peripheral Blood Lymphocytes
2.3.1. Alkaline Comet Assay
2.3.2. Cytokinesis-Block Micronucleus Cytome (CBMN Cyt) Assay
2.4. Analysis of Lymphocyte Proliferation
3. Conclusions
4. Materials and Methods
4.1. Assessments on Cell Lines
4.1.1. Chemicals and Cells
CIT and CBD Solutions
4.1.2. Viability Assay
4.1.3. Cell Membrane Integrity
4.2. Assessments on Human Peripheral Blood Lymphocytes
4.2.1. Blood Sampling
4.2.2. Experimental Design
4.2.3. Experimental Schedule
4.2.4. Alkaline Comet Assay
4.2.5. Cytokinesis-Block Micronucleus Cytome (CBMN Cyt) Assay
4.2.6. Statistics
Author Contributions
Funding
Institutional Review Board Statement
Informed Consent Statement
Data Availability Statement
Acknowledgments
Conflicts of Interest
References
- International Agency for Research of Cancer (IARC). IARC Monographs on the Evaluation of the Carcinogenic Risk of Chemicals to Humans; IARC P: Lyon, France, 1986; Volume 40. [Google Scholar]
- Gwinn, K.D.; Leung, M.C.K.; Stephens, A.B.; Punja, Z.K. Fungal and Mycotoxin Contaminants in Cannabis and Hemp Flowers: Implications for Consumer Health and Directions for Further Research. Front. Microbiol. 2023, 14, 1278189. [Google Scholar] [CrossRef] [PubMed]
- Russo, E.B. Taming THC: Potential Cannabis Synergy and Phytocannabinoid-Terpenoid Entourage Effects. Br. J. Pharmacol. 2011, 163, 1344–1364. [Google Scholar] [CrossRef] [PubMed]
- López-Ruiz, R.; Marín-Sáez, J.; Garrido Frenich, A.; Romero-González, R. Recent Applications of Chromatography for Analysis of Contaminants in Cannabis Products: A Review. Pest Manag. Sci. 2022, 78, 19–29. [Google Scholar] [CrossRef]
- White, C.M. A Review of Human Studies Assessing Cannabidiol’s (CBD) Therapeutic Actions and Potential. J. Clin. Pharmacol. 2019, 59, 923–934. [Google Scholar] [CrossRef]
- Zingales, V.; Taroncher, M.; Martino, P.A.; Ruiz, M.J.; Caloni, F. Climate Change and Effects on Molds and Mycotoxins. Toxins 2022, 14, 445. [Google Scholar] [CrossRef]
- Buchicchio, L.; Asselborn, L.; Schneider, S.; van Nieuwenhuyse, A.; Moris, G.; Schummer, C. Investigation of Aflatoxin and Ochratoxin A Contamination of Seized Cannabis and Cannabis Resin Samples. Mycotoxin Res. 2022, 38, 71–78. [Google Scholar] [CrossRef] [PubMed]
- Narváez, A.; Rodríguez-Carrasco, Y.; Castaldo, L.; Izzo, L.; Ritieni, A. Ultra-High-Performance Liquid Chromatography Coupled with Quadrupole Orbitrap High-Resolution Mass Spectrometry for Multi-Residue Analysis of Mycotoxins and Pesticides in Botanical Nutraceuticals. Toxins 2020, 12, 114. [Google Scholar] [CrossRef] [PubMed]
- Wilcox, J.; Pazdanska, M.; Milligan, C.; Chan, D.; Macdonald, S.J.; Donnelly, C. Analysis of Aflatoxins and Ochratoxin A in Cannabis and Cannabis Products by LC–Fluorescence Detection Using Cleanup with Either Multiantibody Immunoaffinity Columns or an Automated System with In-Line Reusable Immunoaffinity Cartridges. J. AOAC Int. 2020, 103, 494–503. [Google Scholar] [CrossRef]
- McKernan, K.; Spangler, J.; Zhang, L.; Tadigotla, V.; Helbert, Y.; Foss, T.; Smith, D.R. Cannabis Microbiome Sequencing Reveals Several Mycotoxic Fungi Native to Dispensary Grade Cannabis Flowers. F1000Research 2015, 4, 1422. [Google Scholar] [CrossRef]
- Punja, Z.K.; Collyer, D.; Scott, C.; Lung, S.; Holmes, J.; Sutton, D. Pathogens and Molds Affecting Production and Quality of Cannabis Sativa L. Front. Plant Sci. 2019, 10, 1120. [Google Scholar] [CrossRef]
- Perrone, G.; Gallo, A. Aspergillus Species and Their Associated Mycotoxins. In Methods in Molecular Biology, Mycotoxigenic Fungi: Methods and Protocols; Moretti, A., Susca, A., Eds.; Springer Science+Business Media LLC: Berlin, Germany, 2017; Volume 1542, pp. 33–49. ISBN 9781493967070. [Google Scholar]
- Šegvić Klarić, M.; Rašić, D.; Peraica, M. Deleterious Effects of Mycotoxin Combinations Involving Ochratoxin A. Toxins 2013, 5, 1965–1987. [Google Scholar] [CrossRef] [PubMed]
- Ostry, V.; Malir, F.; Ruprich, J. Producers and Important Dietary Sources of Ochratoxin A and Citrinin. Toxins 2013, 5, 1574–1586. [Google Scholar] [CrossRef] [PubMed]
- Bragulat, M.R.; Martínez, E.; Castellá, G.; Cabañes, F.J. Ochratoxin A and Citrinin Producing Species of the Genus Penicillium from Feedstuffs. Int. J. Food Microbiol. 2008, 126, 43–48. [Google Scholar] [CrossRef]
- Flajs, D.; Peraica, M. Toxicological Properties of Citrinin. Arch. Ind. Hyg. Toxicol. 2009, 60, 457–464. [Google Scholar] [CrossRef]
- Šegvić Klarić, M.; Želježić, D.; Rumora, L.; Peraica, M.; Pepeljnjak, S.; Domijan, A.M. A Potential Role of Calcium in Apoptosis and Aberrant Chromatin Forms in Porcine Kidney PK15 Cells Induced by Individual and Combined Ochratoxin A and Citrinin. Arch. Toxicol. 2012, 86, 97–107. [Google Scholar] [CrossRef] [PubMed]
- Bohm, J.; De Saeger, S.; Edler, L.; Fink-Gremmels, J.; Mantle, P.; Peraica, M.; Stetina, R.; Vrabcheva, T. Scientific Opinion on the Risks for Public and Animal Health Related to the Presence of Citrinin in Food and Feed. EFSA J. 2012, 10, 2605. [Google Scholar] [CrossRef]
- Shirazi-zand, Z.; Ahmad-Molaei, L.; Motamedi, F.; Naderi, N. The Role of Potassium BK Channels in Anticonvulsant Effect of Cannabidiol in Pentylenetetrazole and Maximal Electroshock Models of Seizure in Mice. Epilepsy Behav. 2013, 28, 1–7. [Google Scholar] [CrossRef]
- Arnold, J.C.; McCartney, D.; Suraev, A.; McGregor, I.S. The Safety and Efficacy of Low Oral Doses of Cannabidiol: An Evaluation of the Evidence. Clin. Transl. Sci. 2023, 16, 10–30. [Google Scholar] [CrossRef]
- Rumora, L.; Domijan, A.M.; Žanić Grubišić, T.; Šegvić Klarić, M. Differential Activation of MAPKs by Individual and Combined Ochratoxin A and Citrinin Treatments in Porcine Kidney PK15 Cells. Toxicon 2014, 90, 174–183. [Google Scholar] [CrossRef]
- Carvalho, R.K.; Souza, M.R.; Santos, M.L.; Guimarães, F.S.; Pobbe, R.L.H.; Andersen, M.L.; Mazaro-Costa, R. Chronic Cannabidiol Exposure Promotes Functional Impairment in Sexual Behavior and Fertility of Male Mice. Reprod. Toxicol. 2018, 81, 34–40. [Google Scholar] [CrossRef]
- Ewing, L.E.; Skinner, C.M.; Quick, C.M.; Kennon-McGill, S.; McGill, M.R.; Walker, L.A.; ElSohly, M.A.; Gurley, B.J.; Koturbash, I. Hepatotoxicity of a Cannabidiol-Rich Cannabis Extract in the Mouse Model. Molecules 2019, 24, 1694. [Google Scholar] [CrossRef] [PubMed]
- Baram, L.; Peled, E.; Berman, P.; Yellin, B.; Besser, E.; Benami, M.; Louria-Hayon, I.; Lewitus, G.M.; Meiri, D. The Heterogeneity and Complexity of Cannabis Extracts as Antitumor Agents. Oncotarget 2019, 10, 4091–4106. [Google Scholar] [CrossRef] [PubMed]
- Zou, S.; Kumar, U. Cannabinoid Receptors and the Endocannabinoid System: Signaling and Function in the Central Nervous System. Int. J. Mol. Sci. 2018, 19, 833. [Google Scholar] [CrossRef]
- Devinsky, O.; Cilio, M.R.; Cross, H.; Fernandez-Ruiz, J.; French, J.; Hill, C.; Katz, R.; Di Marzo, V.; Jutras-Aswad, D.; Notcutt, W.G.; et al. Cannabidiol: Pharmacology and Potential Therapeutic Role in Epilepsy and Other Neuropsychiatric Disorders. Epilepsia 2014, 55, 791–802. [Google Scholar] [CrossRef]
- Shrivastava, A.; Kuzontkoski, P.M.; Groopman, J.E.; Prasad, A. Cannabidiol Induces Programmed Cell Death in Breast Cancer Cells by Coordinating the Cross-Talk between Apoptosis and Autophagy. Mol. Cancer Ther. 2011, 10, 1161–1172. [Google Scholar] [CrossRef] [PubMed]
- Turner, S.E.; Williams, C.M.; Iversen, L.; Whalley, B.J. Molecular Pharmacology of Phytocannabinoids. Prog. Chem. Org. Nat. Prod. 2017, 103, 61–101. [Google Scholar] [CrossRef]
- Chan, F.K.M.; Moriwaki, K.; De Rosa, M.J. Detection of Necrosis by Release of Lactate Dehydrogenase Activity. Methods Mol. Biol. 2013, 979, 65–70. [Google Scholar] [CrossRef] [PubMed]
- De Petrocellis, L.; Ligresti, A.; Moriello, A.S.; Allarà, M.; Bisogno, T.; Petrosino, S.; Stott, C.G.; Di Marzo, V. Effects of Cannabinoids and Cannabinoid-Enriched Cannabis Extracts on TRP Channels and Endocannabinoid Metabolic Enzymes. Br. J. Pharmacol. 2011, 163, 1479–1494. [Google Scholar] [CrossRef]
- Martinez Naya, N.; Kelly, J.; Corna, G.; Golino, M.; Abbate, A.; Toldo, S. Molecular and Cellular Mechanisms of Action of Cannabidiol. Molecules 2023, 28, 5980. [Google Scholar] [CrossRef]
- Mashabela, M.D.; Kappo, A.P. Anti-Cancer and Anti-Proliferative Potential of Cannabidiol: A Cellular and Molecular Perspective. Int. J. Mol. Sci. 2024, 25, 5659. [Google Scholar] [CrossRef]
- Cordelli, E.; Bignami, M.; Pacchierotti, F. Comet Assay: A Versatile but Complex Tool in Genotoxicity Testing. Toxicol. Res. 2021, 10, 68–78. [Google Scholar] [CrossRef] [PubMed]
- Azqueta, A.; Collins, A.R. The Essential Comet Assay: A Comprehensive Guide to Measuring DNA Damage and Repair. Arch. Toxicol. 2013, 87, 949–968. [Google Scholar] [CrossRef] [PubMed]
- Kolar, N.; Bankoglu, E.E.; Stopper, H. Genotoxicity of Selected Cannabinoids in Human Lymphoblastoid TK6 Cells. Arch. Toxicol. 2024, 98, 3439–3451. [Google Scholar] [CrossRef] [PubMed]
- Štern, A.; Novak, M.; Kološa, K.; Trontelj, J.; Žabkar, S.; Šentjurc, T.; Filipič, M.; Žegura, B. Exploring the Safety of Cannabidiol (CBD): A Comprehensive in Vitro Evaluation of the Genotoxic and Mutagenic Potential of a CBD Isolate and Extract from Cannabis Sativa L. Biomed. Pharmacother. 2024, 177, 116969. [Google Scholar] [CrossRef] [PubMed]
- Devi, S.; Zimmermann-Klemd, A.M.; Fiebich, B.L.; Heinrich, M.; Gründemann, C.; Steinberger, P.; Kowarschik, S.; Huber, R. Immunosuppressive Activity of Non-Psychoactive Cannabis Sativa L. Extract on the Function of Human T Lymphocytes. Int. Immunopharmacol. 2022, 103, 108448. [Google Scholar] [CrossRef]
- Češi, M. Ekstrakcija kanabidiola s hidrofobnim niskotemperaturnim eutektičkim otapalima i učinci u uvjetima in Vitro na stanične linije. Ph.D. Thesis, University of Zagreb, Zagreb, Croatia, 2022. [Google Scholar]
- Gohad, P.; McCoy, J.; Wambier, C.; Kovacevic, M.; Situm, M.; Stanimirovic, A.; Goren, A. Novel Cannabidiol Sunscreen Protects Keratinocytes and Melanocytes against Ultraviolet B Radiation. J. Cosmet. Dermatol. 2021, 20, 1350–1352. [Google Scholar] [CrossRef] [PubMed]
- Stupin Polančec, D.; Homar, S.; Jakšić, D.; Kopjar, N.; Šegvić Klarić, M.; Dabelić, S. Citrinin Provoke DNA Damage and Cell-Cycle Arrest Related to Chk2 and FANCD2 Checkpoint Proteins in Hepatocellular and Adenocarcinoma Cell Lines. Toxins 2024, 16, 321. [Google Scholar] [CrossRef]
- Collins, A.R. The Comet Assay for DNA Damage and Repair: Principles, Applications, and Limitations. Mol. Biotechnol. 2004, 26, 249–261. [Google Scholar] [CrossRef]
- Liu, B.-H.; Yu, F.-Y.; Wu, T.-S.; Li, S.-Y.; Su, M.-C.; Wang, M.-C.; Shih, S.-M. Evaluation of Genotoxic Risk and Oxidative DNA Damage in Mammalian Cells Exposed to Mycotoxins, Patulin and Citrinin. Toxicol. Appl. Pharmacol. 2003, 191, 255–263. [Google Scholar] [CrossRef]
- Knasmüller, S.; Cavin, C.; Chakraborty, A.; Darroudi, F.; Majer, B.J.; Huber, W.W.; Ehrlich, V.A. Structurally Related Mycotoxins Ochratoxin A, Ochratoxin B, and Citrinin Differ in Their Genotoxic Activities and in Their Mode of Action in Human-Derived Liver (HepG2) Cells: Implications for Risk Assessment. Nutr. Cancer 2004, 50, 190–197. [Google Scholar] [CrossRef]
- Gayathri, L.; Dhivya, R.; Dhanasekaran, D.; Periasamy, V.S.; Alshatwi, A.A.; Akbarsha, M.A. Hepatotoxic Effect of Ochratoxin A and Citrinin, Alone and in Combination, and Protective Effect of Vitamin E: In Vitro Study in HepG2 Cell. Food Chem. Toxicol. 2015, 83, 151–163. [Google Scholar] [CrossRef] [PubMed]
- Fenech, M. Cytokinesis-Block Micronucleus Cytome Assay. Nat. Protoc. 2007, 2, 1084–1104. [Google Scholar] [CrossRef]
- Gajski, G.; Kašuba, V.; Milić, M.; Gerić, M.; Matković, K.; Delić, L.; Nikolić, M.; Pavičić, M.; Rozgaj, R.; Garaj-Vrhovac, V.; et al. Exploring Cytokinesis Block Micronucleus Assay in Croatia: A Journey through the Past, Present, and Future in Biomonitoring of the General Population. Mutat. Res. Genet. Toxicol. Environ. Mutagen. 2024, 895, 503749. [Google Scholar] [CrossRef] [PubMed]
- Fenech, M. Cytokinesis-Block Micronucleus Assay Evolves into a ‘Cytome’ Assay of Chromosomal Instability, Mitotic Dysfunction and Cell Death. Mutat. Res. Mol. Mech. Mutagen. 2006, 600, 58–66. [Google Scholar] [CrossRef]
- Pfeiffer, E.; Groß, K.; Metzler, M. Aneuploidogenic and Clastogenic Potential of the Mycotoxins Citrinin and Patulin. Carcinogenesis 1998, 19, 1313–1318. [Google Scholar] [CrossRef]
- Dönmez-Altuntas, H.; Dumlupinar, G.; Imamoglu, N.; Hamurcu, Z.; Liman, B.C. Effects of the Mycotoxin Citrinin on Micronucleus Formation in a Cytokinesis-Block Genotoxicity Assay in Cultured Human Lymphocytes. J. Appl. Toxicol. 2007, 27, 337–341. [Google Scholar] [CrossRef]
- Henderson, R.G.; Lefever, T.W.; Heintz, M.M.; Trexler, K.R.; Borghoff, S.J.; Bonn-Miller, M.O. Oral Toxicity Evaluation of Cannabidiol. Food Chem. Toxicol. 2023, 176, 113778. [Google Scholar] [CrossRef]
- Dziwenka, M.; Dolan, L.C.; Rao, M. Safety of Elixinol Hemp Extract: In Vitro Genetic Toxicity and Subchronic Toxicity in Rats. J. Toxicol. 2023, 2023, 5982883. [Google Scholar] [CrossRef]
- Russo, C.; Ferk, F.; Mišík, M.; Ropek, N.; Nersesyan, A.; Mejri, D.; Holzmann, K.; Lavorgna, M.; Isidori, M.; Knasmüller, S. Low Doses of Widely Consumed Cannabinoids (Cannabidiol and Cannabidivarin) Cause DNA Damage and Chromosomal Aberrations in Human-Derived Cells. Arch. Toxicol. 2019, 93, 179–188. [Google Scholar] [CrossRef]
- de Menezes, A.A.P.M.; Aguiar, R.P.S.; Santos, J.V.O.; Sarkar, C.; Islam, M.T.; Braga, A.L.; Hasan, M.M.; da Silva, F.C.C.; Sharifi-Rad, J.; Dey, A.; et al. Citrinin as a Potential Anti-Cancer Therapy: A Comprehensive Review. Chem. Bio. Interact. 2023, 381, 110561. [Google Scholar] [CrossRef]
- Olivas-Aguirre, M.; Torres-López, L.; Villatoro-Gómez, K.; Perez-Tapia, S.M.; Pottosin, I.; Dobrovinskaya, O. Cannabidiol on the Path from the Lab to the Cancer Patient: Opportunities and Challenges. Pharmaceuticals 2022, 15, 366. [Google Scholar] [CrossRef] [PubMed]
- Hosami, F.; Ghadimkhah, M.H.; Salimi, V.; Ghorbanhosseini, S.S.; Tavakoli-Yaraki, M. The Strengths and Limits of Cannabinoids and Their Receptors in Cancer: Insights into the Role of Tumorigenesis-Underlying Mechanisms and Therapeutic Aspects. Biomed. Pharmacother. 2021, 144, 112279. [Google Scholar] [CrossRef]
- Sainz-Cort, A.; Müller-Sánchez, C.; Espel, E. Anti-Proliferative and Cytotoxic Effect of Cannabidiol on Human Cancer Cell Lines in Presence of Serum. BMC Res. Notes 2020, 13, 389. [Google Scholar] [CrossRef] [PubMed]
- Yu, F.Y.; Liao, Y.C.; Chang, C.H.; Liu, B.H. Citrinin Induces Apoptosis in HL-60 Cells via Activation of the Mitochondrial Pathway. Toxicol. Lett. 2006, 161, 143–151. [Google Scholar] [CrossRef]
- Chan, W.H. Citrinin Induces Apoptosis in Mouse Embryonic Stem Cells. IUBMB Life 2008, 60, 171–179. [Google Scholar] [CrossRef] [PubMed]
- Chang, C.H.; Yu, F.Y.; Wang, L.T.; Lin, Y.S.; Liu, B.H. Activation of ERK and JNK Signaling Pathways by Mycotoxin Citrinin in Human Cells. Toxicol. Appl. Pharmacol. 2009, 237, 281–287. [Google Scholar] [CrossRef]
- Salah, A.; Bouaziz, C.; Prola, A.; Pires Da Silva, J.; Bacha, H.; Abid-Essefi, S.; Lemaire, C. Citrinin Induces Apoptosis in Human HCT116 Colon Cancer Cells through Endoplasmic Reticulum Stress. J. Toxicol. Environ. Health Part A 2017, 80, 1230–1241. [Google Scholar] [CrossRef] [PubMed]
- Wu, H.Y.; Chu, R.M.; Wang, C.C.; Lee, C.Y.; Lin, S.H.; Jan, T.R. Cannabidiol-Induced Apoptosis in Primary Lymphocytes Is Associated with Oxidative Stress-Dependent Activation of Caspase-8. Toxicol. Appl. Pharmacol. 2008, 226, 260–270. [Google Scholar] [CrossRef]
- Lim, M.P.; Devi, L.A.; Rozenfeld, R. Cannabidiol Causes Activated Hepatic Stellate Cell Death through a Mechanism of Endoplasmic Reticulum Stress-Induced Apoptosis. Cell Death Dis. 2011, 2, e170. [Google Scholar] [CrossRef]
- Sultan, A.S.; Marie, M.A.; Sheweita, S.A. Novel Mechanism of Cannabidiol-Induced Apoptosis in Breast Cancer Cell Lines. Breast 2018, 41, 34–41. [Google Scholar] [CrossRef]
- Katalinić, M.; Zandona, A.; Ramić, A.; Zorbaz, T.; Primožič, I.; Kovarik, Z. New Cinchona Oximes Evaluated as Reactivators of Acetylcholinesterase and Butyrylcholinesterase Inhibited by Organophosphorus Compounds. Molecules 2017, 22, 1234. [Google Scholar] [CrossRef] [PubMed]
- Timbrell, J. Principles of Biochemical Toxicology; Taylor & Francis: Oxfordshire, UK, 2000; ISBN 0748407367. [Google Scholar]
- Zandona, A.; Maraković, N.; Mišetić, P.; Madunić, J.; Miš, K.; Padovan, J.; Pirkmajer, S.; Katalinić, M. Activation of (Un)Regulated Cell Death as a New Perspective for Bispyridinium and Imidazolium Oximes. Arch. Toxicol. 2021, 95, 2737–2754. [Google Scholar] [CrossRef] [PubMed]
- OECD. Test No. 487: In Vitro Mammalian Cell Micronucleus Test; OECD Publishing: Paris, France, 2023. [CrossRef]
- Tice, R.R.; Agurell, E.; Anderson, D.; Burlinson, B.; Hartmann, A.; Kobayashi, H.; Miyamae, Y.; Rojas, E.; Ryu, J.-C.; Sasaki, Y.F. Single Cell Gel/Comet Assay: Guidelines for In Vitro and In Vivo Genetic Toxicology Testing. Environ. Mol. Mutagen. 2000, 35, 206–221. [Google Scholar] [CrossRef]
- Jurica, K.; Brčić Karačonji, I.; Mikolić, A.; Milojković-Opsenica, D.; Benković, V.; Kopjar, N. In Vitro Safety Assessment of the Strawberry Tree (Arbutus Unedo L.) Water Leaf Extract and Arbutin in Human Peripheral Blood Lymphocytes. Cytotechnology 2018, 70, 1261–1278. [Google Scholar] [CrossRef] [PubMed]
- Singh, N.; McCoy, M.; Tice, R.; Schneider, E.L. A Simple Technique for Quantitation Damage in Individual of Low Levels of DNA Cells. Exp. Cell Res. 1988, 175, 184–191. [Google Scholar] [CrossRef]
- Benković, V.; Tkalčec, I.; Knežević, A.; Jurica, K.; Knežević, F.; Brčić Karačonji, I.; Kopjar, N. Effects of Strawberry Tree (Arbutus Unedo L.) Aqueous Leaf Extract and Arbutin on PK-15 and HepG2 Cells. Toxics 2024, 12, 628. [Google Scholar] [CrossRef]
- Collins, A.; Møller, P.; Gajski, G.; Vodenková, S.; Abdulwahed, A.; Anderson, D.; Bankoglu, E.E.; Bonassi, S.; Boutet-Robinet, E.; Brunborg, G.; et al. Measuring DNA Modifications with the Comet Assay: A Compendium of Protocols. Nat. Protoc. 2023, 18, 929–989. [Google Scholar] [CrossRef]
- Møller, P.; Azqueta, A.; Boutet-Robinet, E.; Koppen, G.; Bonassi, S.; Milić, M.; Gajski, G.; Costa, S.; Teixeira, J.P.; Costa Pereira, C.; et al. Minimum Information for Reporting on the Comet Assay (MIRCA): Recommendations for Describing Comet Assay Procedures and Results. Nat. Protoc. 2020, 15, 3817–3826. [Google Scholar] [CrossRef]
- Fenech, M.; Chang, W.P.; Kirsch-Volders, M.; Holland, N.; Bonassi, S.; Zeiger, E. HUMN Project: Detailed Description of the Scoring Criteria for the Cytokinesis-Block Micronucleus Assay Using Isolated Human Lymphocyte Cultures. Mutat. Res. Toxicol. Environ. Mutagen. 2003, 534, 65–75. [Google Scholar] [CrossRef]







| Experimental Groups | Negative Control | Solvent Control | Citrinin | CBD | Citrinin + CBD | Positive Control | |||
|---|---|---|---|---|---|---|---|---|---|
| Descriptors | |||||||||
| Micronuclei (MNi) and BNMN Cells | Mean (MNi)1000 ± SD | 1.7 ± 0.8 | 2.0 ± 0.0 | 12.3 ± 1.6 a,b,d,e | 2.8 ± 0.8 | 5.8 ± 1.2 a,b,d | 24.7 ± 2.5 a,b,c,d,e | ||
| Total (MNi)6000 | 10 | 12 | 74 a,b,d,e | 17 | 35 a,b,d | 148 a,b,c,d,e | |||
| Mean (BNMN)1000 ± SD | 1.7 ± 0.8 | 2.0 ± 0.0 | 11.7 ± 1.4 a,b,d,e | 2.8 ± 0.8 | 5.5 ± 0.8 a,b,d | 20.3 ± 2.9 a,b,c,d,e | |||
| Total (BNNB)6000 | 10 | 12 | 71a,b,d,e | 17 | 33 a,b,d | 122 a,b,c,d,e | |||
| Distribution of BNMN Cells with | 1 MN | 10 | 12 | 66 a,b,d,e | 17 | 31 a,b | 99 a,b,c,d,e | ||
| 2 MNi | 0 | 0 | 5 | 0 | 2 | 20 a,b,c,d,e | |||
| 3 MNi | 0 | 0 | 0 | 0 | 0 | 3 | |||
| Nuclear Buds (NBs) and BNNB Cells | Mean (NBs)1000 ± SD | 2.0 ± 0.6 | 1.8 ± 1.0 | 13.2 ± 3.7 a,b,d,e | 4.2 ± 0.4 a | 4.3 ± 1.5 a,b | 18.2 ± 6.5 a,b,c,d,e | ||
| Total (NBs)6000 | 12 | 11 | 79 a,b,d,e | 25 a | 26 a,b | 109 a,b,c,d,e | |||
| Mean (BNNB)1000 ± SD | 2.0 ± 0.6 | 1.8 ± 1.0 | 12.3 ± 3.1 a,b,d,e | 4.2 ± 0.4 a | 4.3 ± 1.5 a,b | 16.2 ± 5.0 a,b,c,d,e | |||
| Total (BNNB)6000 | 12 | 11 | 74 a,b,d,e | 25 a | 26 a,b | 97 a,b,c,d,e | |||
| Distribution of BNNB Cells with | 1 NB | 12 | 11 | 69 a,b,d,e | 25 a | 26 a,b | 85 a,b,c,d,e | ||
| 2 NBs | 0 | 0 | 5 | 0 | 0 | 12 a,b,c,d,e | |||
| Nucleoplasmic Bridges (NPBs) and BNNPB Cells | Mean (NPBs)1000 ± SD | 0 | 0 | 0.7 ± 0.5 | 0 | 0 | 1.5 ± 0.8 a,b,c,d,e | ||
| Total (NPBs)6000 | 0 | 0 | 4 | 0 | 0 | 9 a,b,c,d,e | |||
| Mean (BNNPB)1000 ± SD | 0 | 0 | 0.7 ± 0.5 | 0 | 0 | 1.5 ± 0.8 a,b,c,d,e | |||
| Total (BNNPB)6000 | 0 | 0 | 4 | 0 | 0 | 9 a,b,c,d,e | |||
| Cell Death | Mean (Apoptosis)1000 ± SD | 1.0 ± 0.0 | 1.5 ± 0.5 | 8.3 ± 1.6 a,b,d,e | 3.2 ± 0.8 a,b | 3.8 ± 0.8 a,b | 15.7 ± 5.6 a,b,c,d,e | ||
| Total (Apoptosis)6000 | 6 | 9 | 50 a,b,d,e | 19 a | 23 a,b | 94 a,b,c,d,e | |||
| Mean (Necrosis)1000 ± SD | 0.8 ± 0.4 | 0.5 ± 0.5 | 7.5 ± 0.8 a,b,d,e | 1.5 ± 1.0 | 3.0 ± 0.6 | 11.8 ± 3.6 a,b,c,d,e | |||
| Total (Necrosis)6000 | 5 | 3 | 45 a,b,d,e | 9 | 18 a,b | 71 a,b,c,d,e | |||
| M1 Cells | Negative Control | Solvent Control | Citrinin | CBD | Citrinin + CBD | Positive Control | |
|---|---|---|---|---|---|---|---|
| M2 Cells | |||||||
| Negative control | n. s. | p < 0.0001 | n. s. | p < 0.0001 | p < 0.0001 | ||
| Solvent Control | n. s. | p < 0.0001 | n. s. | p < 0.0001 | p < 0.0001 | ||
| Citrinin | p < 0.0001 | p < 0.0001 | p < 0.0001 | p = 0.001 | p < 0.0001 | ||
| CBD | n. s. | n. s. | p < 0.0001 | p < 0.0001 | p < 0.0001 | ||
| Citrinin + CBD | p < 0.0001 | n. s. | p < 0.0001 | p < 0.0001 | p < 0.0001 | ||
| Positive Control | p < 0.0001 | p < 0.0001 | p < 0.0001 | p < 0.0001 | p < 0.0001 | ||
| M3 Cells | Negative Control | Solvent Control | Citrinin | CBD | Citrinin + CBD | Positive Control | |
| M4 Cells | |||||||
| Negative control | p = 0.0439 | p < 0.0001 | p < 0.0001 | p < 0.0001 | p < 0.0001 | ||
| Solvent Control | n. s. | p < 0.0001 | p = 0.0003 | p < 0.0001 | p < 0.0001 | ||
| Citrinin | p < 0.0001 | p < 0.0001 | n. s. | n. s. | n. s. | ||
| CBD | p = 0.0031 | p = 0.0134 | p = 0.0105 | p = 0.0166 | n. s. | ||
| Citrinin + CBD | p < 0.0001 | p < 0.0001 | n. s. | p < 0.0001 | n. s. | ||
| Positive Control | p < 0.0001 | p < 0.0001 | p < 0.0001 | p < 0.0001 | p < 0.0001 | ||
| Experimental Groups | Negative Control | Solvent Control | Citrinin | CBD | Citrinin + CBD | Positive Control | |
|---|---|---|---|---|---|---|---|
| Descriptors | |||||||
| Cytokinesis-Block Proliferation Index | 2.02 | 1.99 | 1.83↓nc, sc, cbd, & | 1.96↓nc, sc | 1.85↓nc, sc, cbd | 1.60↓nc, sc, cit, cbd,& | |
| Replication Index (%) | 100.00 | 97.44 | 83.46 | 97.14 | 85.74 | 58.75 | |
| Cytotoxicity (%) | 0 | 2.56 | 16.54 | 2.86 | 14.26 | 41.25 | |
Disclaimer/Publisher’s Note: The statements, opinions and data contained in all publications are solely those of the individual author(s) and contributor(s) and not of MDPI and/or the editor(s). MDPI and/or the editor(s) disclaim responsibility for any injury to people or property resulting from any ideas, methods, instructions or products referred to in the content. |
© 2024 by the authors. Licensee MDPI, Basel, Switzerland. This article is an open access article distributed under the terms and conditions of the Creative Commons Attribution (CC BY) license (https://creativecommons.org/licenses/by/4.0/).
Share and Cite
Rašić, D.; Zandona, A.; Katalinić, M.; Češi, M.; Kopjar, N. Assessing the Potential Synergistic/Antagonistic Effects of Citrinin and Cannabidiol on SH-SY5Y, HepG2, HEK293 Cell Lines, and Human Lymphocytes. Toxins 2024, 16, 534. https://doi.org/10.3390/toxins16120534
Rašić D, Zandona A, Katalinić M, Češi M, Kopjar N. Assessing the Potential Synergistic/Antagonistic Effects of Citrinin and Cannabidiol on SH-SY5Y, HepG2, HEK293 Cell Lines, and Human Lymphocytes. Toxins. 2024; 16(12):534. https://doi.org/10.3390/toxins16120534
Chicago/Turabian StyleRašić, Dubravka, Antonio Zandona, Maja Katalinić, Martin Češi, and Nevenka Kopjar. 2024. "Assessing the Potential Synergistic/Antagonistic Effects of Citrinin and Cannabidiol on SH-SY5Y, HepG2, HEK293 Cell Lines, and Human Lymphocytes" Toxins 16, no. 12: 534. https://doi.org/10.3390/toxins16120534
APA StyleRašić, D., Zandona, A., Katalinić, M., Češi, M., & Kopjar, N. (2024). Assessing the Potential Synergistic/Antagonistic Effects of Citrinin and Cannabidiol on SH-SY5Y, HepG2, HEK293 Cell Lines, and Human Lymphocytes. Toxins, 16(12), 534. https://doi.org/10.3390/toxins16120534

