Reduced Educational Outcomes Persist into Adolescence Following Mild Iodine Deficiency in Utero, Despite Adequacy in Childhood: 15-Year Follow-Up of the Gestational Iodine Cohort Investigating Auditory Processing Speed and Working Memory
Abstract
1. Introduction
2. Materials and Methods
2.1. National Assessment Program—Literacy and Numeracy (NAPLAN) Study
2.2. Comprehensive Evaluation of Language Fundamentals (CELF-4) and Central Auditory Processing Disorder (CAPD) Study
- Hearing acuity assessed using unmasked air-conduction pure-tone audiometry. Normal hearing classified as a threshold of ≤20 decibels.
- The Listening in Spatialized Noise-Sentences Test (LiSN-S) measured children’s ability to use spatial cues to help them understand speech in background noise (as experienced in classrooms) to assess their binaural processing skills. Protocol details have been published previously [17].
- Two tests of auditory memory, Number Memory Forwards (NMF) and Number Memory Reversed (NMR) from the Test of Auditory Processing Skills-Third Edition (TAPS-3) protocol [18] were administered.
- A Dichotic Digits Test (DDT) was used to assess binaural integration, defined as the ability to process information presented to both ears simultaneously when the information presented to each ear is different. The percentage of correctly repeated digits for each ear and the Right Ear Advantage (REA) were calculated. Handedness of participants was recorded.
2.3. Statistical Techniques
3. Results
3.1. NAPLAN Study
3.2. CELF-4 and CAPD Study
4. Discussion
5. Conclusions
Acknowledgments
Author Contributions
Conflicts of Interest
References
- Delange, F. Iodine deficiency as a cause of brain damage. Postgrad. Med. J. 2001, 77, 217–220. [Google Scholar] [CrossRef] [PubMed]
- World Health Organization (WHO); UNICEF; International Council for Control of Iodine Deficiency Disorders (ICCIDD). Assessment of Iodine Deficiency Disorders and Monitoring Their Elimination, 3rd ed.; World Health Organization: Geneva, Switzerland, 2007. [Google Scholar]
- Bath, S.C.; Steer, C.D.; Golding, J.; Emmett, P.; Rayman, M.P. Effect of inadequate iodine status in UK pregnant women on cognitive outcomes in their children: Results from the Avon Longitudinal Study of Parents and Children (ALSPAC). Lancet 2013, 382, 331–337. [Google Scholar] [CrossRef]
- Hynes, K.L.; Otahal, P.; Hay, I.; Burgess, J.R. Mild iodine deficiency during pregnancy is associated with reduced educational outcomes in the offspring: 9-year follow-up of the gestational iodine cohort. J. Clin. Endocrinol. Metab. 2013, 98, 1954–1962. [Google Scholar] [CrossRef] [PubMed]
- Moleti, M.; Trimarchi, F.; Tortorella, G.; Candia Longo, A.; Giorgianni, G.; Sturniolo, G.; Alibrandi, A.; Vermiglio, F. Effects of maternal iodine nutrition and thyroid status on cognitive development in offspring: A pilot study. Thyroid 2016, 26, 296–305. [Google Scholar] [CrossRef] [PubMed]
- Abel, M.H.; Caspersen, I.H.; Meltzer, H.M.; Haugen, M.; Brandlistuen, R.E.; Aase, H.; Alexander, J.; Torheim, L.E.; Brantsaeter, A.L. Suboptimal maternal iodine intake is associated with impaired child neurodevelopment at 3 years of age in the norwegian mother and child cohort study. J. Nutr. 2017, 147, 1314–1324. [Google Scholar] [CrossRef] [PubMed]
- Taylor, P.N.; Okosieme, O.E.; Murphy, R.; Hales, C.; Chiusano, E.; Maina, A.; Joomun, M.; Bestwick, J.P.; Smyth, P.; Paradice, R.; et al. Maternal perchlorate levels in women with borderline thyroid function during pregnancy and the cognitive development of their offspring: Data from the Controlled Antenatal Thyroid Study. J. Clin. Endocrinol. Metab. 2014, 99, 4291–4298. [Google Scholar] [CrossRef] [PubMed]
- Hynes, K.L.; Blizzard, C.L.; Venn, A.J.; Dwyer, T.; Burgess, J.R. Persistent iodine deficiency in a cohort of Tasmanian school children: Associations with socio-economic status, geographical location and dietary factors. Aust. N. Z. J. Public Health 2004, 28, 476–481. [Google Scholar] [CrossRef] [PubMed]
- Depaoli, K.; Seal, J.; Burgess, J.; Taylor, R. Improved iodine status in Tasmanian schoolchildren after fortification of bread: A recipe for national success. Med. J. Aust. 2013, 198, 492–494. [Google Scholar] [CrossRef] [PubMed]
- Hynes, K.L.; Seal, J.A.; Otahal, P.; Reardon, M.; Burgess, J.R. Sustained iodine adequacy in Tasmania following seven years of mandatory bread fortification. Med. J. Aust. 2018. [Google Scholar] [CrossRef]
- Seal, J.A.; Johnson, E.M.; Doyle, Z.; Shaw, K. Tasmania: Doing its wee bit for iodine nutrition. Med. J. Aust. 2003, 179, 451–452. [Google Scholar] [PubMed]
- Food Standards Australia and New Zealand. Proposal P1003 Mandatory Iodine Fortification for Australia Approval Report. Available online: http://www.foodstandards.gov.au/_srcfiles/AppR_P1003_Mandatory_Iodine_Fortification_Aust%20AppR.pdf (accessed on 16 November 2017).
- Dunn, J.T.; Crutchfield, H.E.; Gutekunst, R.; Dunn, A.D. Two simple methods for measuring iodine in urine. Thyroid 1993, 3, 119–123. [Google Scholar] [CrossRef] [PubMed]
- Andersson, M.; de Benoist, B.; Delange, F.; Zupan, J. Prevention and control of iodine deficiency in pregnant and lactating women and in children less than 2-years-old: Conclusions and recommendations of the Technical Consultation. Public Health Nutr. 2007, 10, 1606–1611. [Google Scholar] [PubMed]
- Semel, E.; Wiig, E.H.; Secord, W.A. CELF 4 Australian, 4th ed.; Pearson Clinical and Talent Assessment: Sydney, Australia, 2006. [Google Scholar]
- Paslawski, T. The Clinical Evaluation of Langauge Fundatmentals, Fourthe Edition (CELF-4). A Review. Can. J. Sch. Psychol. 2005, 20, 129–134. [Google Scholar] [CrossRef]
- Cameron, S.; Dillon, H. Development of the Listening in Spatialized Noise-Sentences Test (LISN-S). Ear Hear. 2007, 28, 196–211. [Google Scholar] [CrossRef] [PubMed]
- Martin, N.; Brownell, R. Test of Auditory Processing Skills (TAPS), 3rd ed.; Academic Therapy Publications: Novato, CA, USA, 2005. [Google Scholar]
- Morreale de Escobar, G.; Obregon, M.J.; Del Rey, F.E. Iodine defieciency and brain development in the first half of pregnancy. Public Health Nutr. 2007, 10, 1154–1570. [Google Scholar]
- Henrichs, J.; Ghassabian, A.; Peeters, R.P.; Tiemeier, H. Maternal hypothyroxinemia and effects on cognitive functioning in childhood: How and why? Clin. Endocrinol. 2013, 79, 152–162. [Google Scholar] [CrossRef] [PubMed]
- Bath, S.C.; Rayman, M.P. A review of the iodine status of UK pregnant women and its implications for the offspring. Environ. Geochem. Health 2015. [Google Scholar] [CrossRef] [PubMed]
- Konig, F.; Andersson, M.; Hotz, K.; Aeberli, I.; Zimmermann, M.B. Ten repeat collections for urinary iodine from spot samples or 24-h samples are needed to reliably estimate individual iodine status in women. J. Nutr. 2011, 141, 2049–2054. [Google Scholar] [CrossRef] [PubMed]
- Hynes, K.L.; Blizzard, C.L.; Otahal, P.; Venn, A.J.; Seal, J.A.; Taylor, R.; Dwyer, T.; Burgess, J.R. History of iodine deficiency in school children in Tasmania, Australia. In Comprehensive Handbook on Iodine: Nutritional, Biochemical, Pathological and Therapeutic Aspects; Preedy, V.R., Burrow, G.N., Watson, R.R., Eds.; Elsevier: Amsterdam, The Netherlands, 2009; pp. 1235–1251. [Google Scholar]
- Baddely, A.D. Working Memory: An Overview. In Working Memory and Education; Pickering, S., Ed.; Academic Press: Chicago, IL, USA, 2006; pp. 1–31. [Google Scholar]
- Friso-van den Bos, I.; van der Ven, S.H.G.; Kroesbergen, E.H.; van Luit, J.E.H. Working memory and mathematics in primary school children: A meta-analysis. Educ. Res. Rev. 2013, 10, 29–44. [Google Scholar] [CrossRef]
- Olive, T.; Favart, M.; Beauvais, C.; Beauvais, L. Children’s cognitive effort and fluency in writing: Effects of genre and of handwriting automatisation. Learn. Instr. 2009, 19, 299–308. [Google Scholar] [CrossRef]
- Wang, Y.Y.; Yang, S.H. Improvement in hearing among otherwise normal schoolchildren in iodine-deficient areas of Guizhou, China, following use of iodized salt. Lancet 1985, 2, 518–520. [Google Scholar] [PubMed]
- Gordon, R.C.; Rose, M.C.; Skeaff, S.A.; Gray, A.R.; Morgan, K.M.; Ruffman, T. Iodine supplementation improves cognition in mildly iodine-deficient children. Am. J. Clin. Nutr. 2009, 90, 1264–1271. [Google Scholar] [CrossRef] [PubMed]
- Zimmermann, M.B.; Connolly, K.; Bozo, M.; Bridson, J.; Rohner, F.; Grimci, L. Iodine supplementation improves cognition in iodine-deficient schoolchildren in Albania: A randomized, controlled, double-blind study. Am. J. Clin. Nutr. 2006, 83, 108–114. [Google Scholar] [PubMed]
- Velasco, I.; Carreira, M.; Santiago, P.; Muela, J.A.; Garcia-Fuentes, E.; Sanchez-Munoz, B.; Garriga, M.J.; Gonzalez-Fernandez, M.C.; Rodriguez, A.; Caballero, F.F.; et al. Effect of iodine prophylaxis during pregnancy on neurocognitive development of children during the first two years of life. J. Clin. Endocrinol. Metab. 2009, 94, 3234–3241. [Google Scholar] [CrossRef] [PubMed]
- Berbel, P.; Mestre, J.L.; Santamaria, A.; Palazon, I.; Franco, A.; Graells, M.; Gonzalez-Torga, A.; de Escobar, G.M. Delayed neurobehavioral development in children born to pregnant women with mild hypothyroxinemia during the first month of gestation: The importance of early iodine supplementation. Thyroid 2009, 19, 511–519. [Google Scholar] [CrossRef] [PubMed]
- Gowachirapant, S.; Jaiswal, N.; Melse-Boonstra, A.; Galetti, V.; Stinca, S.; Mackenzie, I.; Thomas, S.; Thomas, T.; Winichagoon, P.; Srinivasan, K.; et al. Effect of iodine supplementation in pregnant women on child neurodevelopment: A randomised, double-blind, placebo-controlled trial. Lancet Diabetes Endocrinol. 2017, 5, 853–863. [Google Scholar] [CrossRef]
- Bath, S.C. Iodine supplementation in pregnancy in mildly deficient regions. Lancet Diabetes Endocrinol. 2017, 5, 840–841. [Google Scholar] [CrossRef]
- Ahmed, O.M.; El-Gareib, A.W.; El-Bakry, A.M.; Abd El-Tawab, S.M.; Ahmed, R.G. Thyroid hormones states and brain development interactions. Int. J. Dev. Neurosci. 2008, 26, 147–209. [Google Scholar] [CrossRef] [PubMed]
- Baxi, E.G.; Schott, J.T.; Fairchild, A.N.; Kirby, L.A.; Karani, R.; Uapinyoying, P.; Pardo-Villamizar, C.; Rothstein, J.R.; Bergles, D.E.; Calabresi, P.A. A selective thyroid hormone beta receptor agonist enhances human and rodent oligodendrocyte differentiation. Glia 2014, 62, 1513–1529. [Google Scholar] [CrossRef] [PubMed]
- Musiek, F.E.; Gollegly, K.M.; Baran, J.A. Myelination of the corpus callosum and auditory processing problems in children: Theoretical and clinical correlates. Semin. Hear. 1984, 5, 231–241. [Google Scholar] [CrossRef]
- Shipstead, Z.; Engle, R.W. Interference within the focus of attention: Working memory tasks reflect more than temporary maintenance. J. Exp. Psychol. Learn. Mem. Cognit. 2013, 39, 277–289. [Google Scholar] [CrossRef] [PubMed]
- Bradley, L.; Bryant, P.E. Difficulties in auditory organisation as a possible cause of reading backwardness. Nature 1978, 271, 746–747. [Google Scholar] [CrossRef] [PubMed]
- Pharoah, P.O.D.; Connolly, K.J. Relationship between Maternal Thyroxine Levels during Pregnancy and Memory Function in Childhood. Early Hum. Dev. 1991, 25, 43–51. [Google Scholar] [CrossRef]
- Kimura, D. Cerebral-Dominance and the Perception of Verbal Stimuli. Can. J. Psychol. 1961, 15, 166–171. [Google Scholar] [CrossRef]
- Westerhausen, R.; Hugdahl, K. The corpus callosum in dichotic listening studies of hemispheric asymmetry: A review of clinical and experimental evidence. Neurosci. Biobehav. Rev. 2008, 32, 1044–1054. [Google Scholar] [CrossRef] [PubMed]
- National Health and Medical Research Council. Iodine Supplementation for Pregnant and Breastfeeding Women; National Health and Medical Research Council: Canberra, Australia, 2010. [Google Scholar]
- Charlton, K.E.; Yeatman, H.; Ma, G. Has iodine status improved in Australian women following mandatory iodine fortification? In Proceedings of the Public Health Association Australia 2nd National Food Futures Conference, Hobart, Australia, 22–23 November 2011; p. 29. [Google Scholar]
- Condo, D.; Huyhn, D.; Anderson, A.J.; Skeaff, S.; Ryan, P.; Makrides, M.; Muhlhausler, B.S.; Zhou, S.J. Iodine status of pregnant women in South Australia after mandatory iodine fortification of bread and the recommendation for iodine supplementation. Matern. Child Nutr. 2016. [Google Scholar] [CrossRef] [PubMed]


| 1. Original Cohort (n = 421) | n | 2a. NAPLAN Study NOT Followed-Up (n = 155) | n | 2b. NAPLAN Participants (n = 266) | n | p Value 5 2a vs. 2b | 3a. CELF-4/CAPD Study NOT Followed-Up (n = 221) | n | 3b. CELF-4/CAPD Study Participants (n = 45) | n | p Value 5 3a vs. 3b | |
|---|---|---|---|---|---|---|---|---|---|---|---|---|
| Gestational Measures | ||||||||||||
| Maternal age at birth of child (years) | 28.3 (5.6) | 419 | 28.6 (5.2) | 153 | 28.1 (5.9) | 266 | 0.374 | 27.7 (5.8) | 221 | 30.0 (5.9) | 45 | 0.021 |
| Gestational Length (weeks) | 39.2 (2.1) | 412 | 39.1 (2.4) | 148 | 39.2 (1.9) | 264 | 0.744 | 39.1 (1.9) | 219 | 39.7 (1.0) | 45 | 0.061 |
| Preterm birth (<37 weeks, %) | 8.0% | 33/412 | 8.1% | 12/148 | 8.0% | 21/264 | 0.956 | 9.1% | 20/219 | 0.0% | 0/45 | 0.035 |
| Birth Weight (g) | 3440 (539) | 411 | 3469 (462) | 148 | 3423 (578) | 263 | 0.404 | 3383 (584) | 219 | 3623 (509) | 44 | 0.012 |
| Low birth weight (<2500 g, %) | 5.1% | 21/411 | 2.7% | 4/148 | 6.5% | 17/263 | 0.097 | 7.8% | 17/219 | 0.0% | 0/44 | 0.056 |
| Male sex (%) | 47.6% | 199/418 | 48.0% | 73/153 | 47.4% | 126/266 | 0.897 | 48.0% | 106/221 | 44.4% | 20/45 | 0.668 |
| Gestational age at time of UI 1 collection (weeks) | 23.6 (9.7) | 421 | 23.5 (9.7) | 155 | 23.7 (9.7) | 266 | 0.848 | 25.2 (9.7) | 221 | 16.0 (4.6) | 45 | <0.0001 |
| Maternal UIC (μg/L) | 86.0 (50.0–192.3) | 421 | 94.0 (53.0–228.3) | 155 | 83.2 (46.0–180.0) | 266 | 0.077 | 81 (46.0–168.0) | 221 | 99 (52.5–210.0) | 45 | 0.391 |
| Maternal UIC ≥ 150 μg/L (%) | 33.0% | 139/421 | 36.8% | 57/155 | 30.8% | 82/266 | 0.211 | 30.3% | 67/221 | 33.3% | 15/45 | 0.691 |
| Socio-Economic Measures | ||||||||||||
| Maternal education (>year 10, %) 2 | 69.9% | 181/259 | 67.9% | 146/215 | 79.6% | 35/44 | 0.125 | |||||
| Maternal occupation (%) 3 | 21.7% | 53/244 | 19.6% | 40/204 | 32.5% | 13/40 | 0.071 | |||||
| Paternal education (>year 10, %) 2 | 70.1% | 157/224 | 68.1% | 126/185 | 79.5% | 31/39 | 0.158 | |||||
| Paternal occupation (%) 3 | 27.4% | 57/208 | 24.4% | 42/172 | 41.7% | 15/36 | 0.035 | |||||
| Indigenous status (%) 4 | 12.3% | 32/260 | 12.5% | 27/216 | 11.4% | 5/44 | 0.843 | |||||
| Year 3 NAPLAN | ||||||||||||
| Spelling Score | 386.7 (93.4) | 248 | 381.6 (94.8) | 203 | 409.5 (83.8) | 45 | 0.070 | |||||
| Grammar Score | 390.3 (102.1) | 248 | 384.0 (102.7) | 203 | 418.3 (95.5) | 45 | 0.041 | |||||
| Reading Score | 397.3 (91.4) | 247 | 395.0 (90.9) | 202 | 407.7 (93.8) | 45 | 0.399 | |||||
| Writing Score | 400.4 (72.2) | 245 | 398.1 (73.3) | 200 | 410.6 (67.2) | 45 | 0.295 | |||||
| Numeracy Score | 380.4 (81.1) | 241 | 373.6 (80.2) | 197 | 410.8 (79.1) | 44 | 0.006 |
| NAPLAN Study | CELF-4/CAPD Study | |||||||||
|---|---|---|---|---|---|---|---|---|---|---|
| UIC ≥ 150 μg/L “Sufficient” | n | UIC < 150 μg/L “Deficient” | n | p Value 4 | UIC ≥ 150 μg/L “Sufficient” | n | UIC < 150 μg/L “Deficient” | n | p Value 4 | |
| Gestational & Birth Measures | ||||||||||
| Maternal age at birth of child (years) | 28.1 (5.5) | 82 | 28.1 (6.1) | 184 | 0.981 | 29.3 (6.3) | 15 | 30.3 (5.8) | 30 | 0.584 |
| Gestational Length (weeks) | 39.3 (1.8) | 81 | 39.2 (1.8) | 183 | 0.747 | 39.7 (1.0) | 15 | 39.7 (1.1) | 30 | 0.947 |
| Preterm birth (<37 weeks, %) | 9.9% | 8/81 | 6.6% | 12/183 | 0.347 | 0.0% | 0/15 | 0.0% | 0/30 | - |
| Birth Weight (g) | 3399 (550) | 82 | 3434 (592) | 181 | 0.656 | 3644 (426) | 15 | 3612 (554) | 29 | 0.847 |
| Low birth weight (<2500 g, %) | 7.3% | 6/82 | 6.1% | 11/181 | 0.705 | 0.0% | 0/15 | 0.0% | 0/29 | - |
| Male sex (%) | 41.5% | 34/82 | 50.0% | 92/184 | 0.198 | 40.0% | 6/15 | 46.7% | 14/30 | 0.671 |
| Gestational age at time of UI collection (week) | 23.3 (9.6) | 82 | 23.8 (9.7) | 184 | 0.649 | 15.7 (3.8) | 15 | 16.2 (5.0) | 30 | 0.720 |
| Socio-Economic Status Measures (when starting school) | ||||||||||
| Maternal education (>year 10, %) 1 | 66.3% | 53/80 | 71.2% | 128/179 | 0.394 | 66.7% | 10/15 | 86.2% | 25/29 | 0.128 |
| Maternal occupation (%) 2 | 20.0% | 15/75 | 22.5% | 38/169 | 0.664 | 30.8% | 4/13 | 33.3% | 9/27 | 0.871 |
| Paternal education (>year 10, %) 1 | 73.5% | 50/68 | 68.6% | 107/156 | 0.458 | 92.3% | 12/13 | 73.1% | 19/26 | 0.161 |
| Paternal occupation (%) 2 | 31.8% | 20/63 | 25.5% | 37/145 | 0.355 | 33.3% | 4/12 | 45.8% | 11/24 | 0.473 |
| Indigenous status (%) 3 | 11.4% | 9/79 | 12.7% | 23/181 | 0.767 | 14.3% | 2/14 | 10.0% | 3/30 | 0.677 |
| Adolescent UIC (aged 13–14 years) | 159.5 (103.0–231.0) | 14 | 150 (109.0–179.0) | 30 | 0.597 | |||||
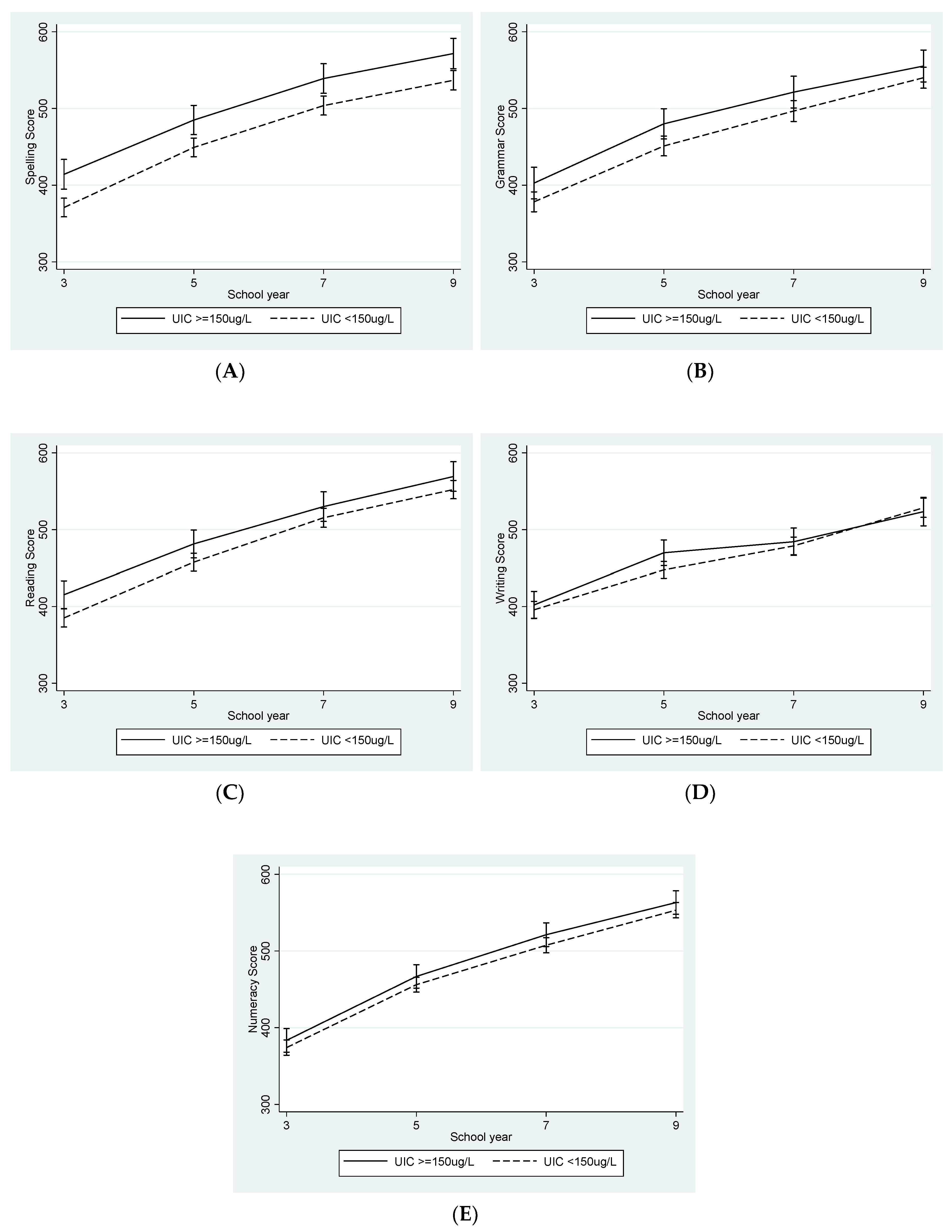
| NAPLAN | ||||||||||
| Spelling Score | ||||||||||
| Year 3 | 414.9 (109.2) | 72 | 375.2 (83.7) | 176 | 0.002 | 462.0 (71.8) | 15 | 383.2 (77.6) | 30 | 0.002 |
| Year 5 | 483.4 (78.7) | 79 | 452.6 (78.4) | 173 | 0.004 | 512.2 (56.8) | 15 | 447.7 (75.9) | 29 | 0.006 |
| Year 7 | 534.6 (86.9) | 65 | 504.9 (74.5) | 146 | 0.012 | 574.4 (56.1) | 14 | 498.1 (74.9) | 24 | 0.002 |
| Year 9 | 575.3 (91.0) | 61 | 545.4 (70.9) | 133 | 0.014 | 601.2 (89.7) | 14 | 533.0 (82.1) | 21 | 0.027 |
| Grammar Score | ||||||||||
| Year 3 | 408.7 (100.2) | 72 | 382.7 (102.2) | 176 | 0.068 | 464.8 (56.6) | 15 | 395.1 (103.0) | 30 | 0.019 |
| Year 5 | 476.0 (93.3) | 79 | 454.3 (83.1) | 173 | 0.066 | 540.8 (81.3) | 15 | 461.1 (92.2) | 29 | 0.007 |
| Year 7 | 522.4 (89.2) | 65 | 498.0 (84.5) | 146 | 0.070 | 565.7 (52.7) | 14 | 484.7 (93.1) | 24 | 0.005 |
| Year 9 | 559.2 (72.1) | 61 | 543.8 (60.8) | 133 | 0.124 | 561.4 (53.2) | 14 | 531.3 (61.9) | 21 | 0.145 |
| Reading Score | ||||||||||
| Year 3 | 417.8 (96.1) | 71 | 389.0 (88.3) | 176 | 0.025 | 462.1 (86.8) | 15 | 380.5 (86.1) | 30 | 0.005 |
| Year 5 | 479.4 (88.3) | 79 | 459.3 (83.7) | 174 | 0.083 | 540.6 (77.5) | 15 | 455.7 (88.6) | 29 | 0.003 |
| Year 7 | 528.4 (80.2) | 64 | 515.3 (72.8) | 143 | 0.248 | 558.3 (60.7) | 13 | 510.2 (73.0) | 24 | 0.051 |
| Year 9 | 575.8 (80.2) | 60 | 558.9 (63.2) | 126 | 0.120 | 596.3 (63.4) | 14 | 557.6 (71.7) | 20 | 0.115 |
| Writing Score | ||||||||||
| Year 3 | 407.6 (70.8) | 72 | 397.4 (72.8) | 173 | 0.314 | 445.6 (54.6) | 15 | 393.1 (66.9) | 30 | 0.012 |
| Year 5 | 470.4 (68.9) | 79 | 448.1 (72.6) | 172 | 0.022 | 522.6 (70.6) | 15 | 476.5 (69.1) | 29 | 0.043 |
| Year 7 | 484.6 (102.6) | 65 | 477.9 (67.3) | 144 | 0.574 | 538.0 (63.6) | 14 | 482.7 (59.5) | 24 | 0.011 |
| Year 9 | 530.0 (105.7) | 61 | 529.5 (69.9) | 132 | 0.969 | 540.9 (48.4) | 14 | 541.4 (90.2) | 21 | 0.986 |
| Numeracy Score | ||||||||||
| Year 3 | 384.9 (84.6) | 69 | 378.6 (79.9) | 172 | 0.583 | 432.1 (72.8) | 14 | 400.9 (81.1) | 30 | 0.228 |
| Year 5 | 465.2 (69.1) | 78 | 457.7 (65.4) | 175 | 0.412 | 490.5 (41.4) | 15 | 469.0 (57.0) | 29 | 0.203 |
| Year 7 | 520.4 (66.6) | 61 | 508.9 (59.0) | 146 | 0.219 | 545.1 (56.8) | 12 | 511.7 (61.3) | 23 | 0.127 |
| Year 9 | 562.5 (63.8) | 63 | 558.6 (53.1) | 130 | 0.654 | 579.7 (39.3) | 14 | 564.3 (57.1) | 20 | 0.390 |
| NAPLAN | School Year of Test | (a) UIC Continuous | (b) UIC Categorical (<150 μg/L vs. ≥150 μg/L) | |||||||||
|---|---|---|---|---|---|---|---|---|---|---|---|---|
| β Coefficient | p Value | n | Unadjusted | Adjusted for Biological Factors 3 | Adjusted for Biological & Socioeconomic Factors 4 | Adjusted for Biological & Socioeconomic Factors & Adolescent UIC 5 | ||||||
| β (95% CI) 6 | p Value | β (95% CI) | p Value | β (95% CI) | p Value | β (95% CI) | p Value | |||||
| Spelling | Year 3 | 0.043 | 0.011 | 248 | −43.6 (−65.9 to −21.4) | <0.0001 | −43.4 (−65.3 to −21.5) | <0.0001 | −44.4 (−66.2 to −22.5) | <0.001 | −41.4 (−65.1 to −17.6) | 0.001 |
| Year 5 | 0.040 | 0.002 | 252 | −34.1 (−56.2 to −11.9) | 0.003 | −34.1 (−55.8 to −12.4) | 0.002 | −35.0 (−56.6 to −13.4) | 0.002 | −31.9 (−55.4 to −8.4) | 0.008 | |
| Year 7 | 0.042 | 0.002 | 211 | −35.1 (−57.4 to −12.7) | 0.002 | −35.0 (−56.9 to −13.1) | 0.002 | −35.9 (−57.7 to −14.2) | 0.001 | −32.6 (−56.5 to −8.8) | 0.008 | |
| Year 9 | 0.037 | 0.005 | 194 | −33.5 (−56.8 to −10.1) | 0.005 | −33.6 (−56.5 to −10.7) | 0.004 | −34.8 (−57.6 to −12.0) | 0.003 | −31.6 (−57.0 to −6.2) | 0.015 | |
| Grammar | Year 3 | 0.027 | 0.150 | 248 | −24.2 (−47.7 to −0.7) | 0.043 | −23.3 (−46.4 to −0.3) | 0.047 | −24.2 (−47.2 to −1.3) | 0.039 | −26.2 (−50.0 to −2.3) | 0.031 |
| Year 5 | 0.035 | 0.015 | 252 | −28.3 (−51.6 to −5.0) | 0.017 | −26.9 (−49.8 to −4.0) | 0.021 | −28.0 (−50.8 to −5.2) | 0.016 | −29.6 (−53.5 to −5.7) | 0.015 | |
| Year 7 | 0.036 | 0.016 | 211 | −24.8 (−48.9 to −0.8) | 0.043 | −23.8 (−47.3 to −0.3) | 0.047 | −24.9 (−48.3 to −1.5) | 0.037 | −26.3 (−50.3 to −2.3) | 0.057 | |
| Year 9 | 0.032 | 0.003 | 194 | −13.8 (−37.7 to +10.1) | 0.256 | −13.1 (−36.8 to +10.6) | 0.278 | −13.9 (−37.3 to +9.6) | 0.246 | −15.7 (−40.2 to +8.9) | 0.211 | |
| Reading | Year 3 | 0.042 | 0.013 | 247 | −30.2 (−52.1 to −8.3) | 0.007 | −29.4 (−51.0 to −7.8) | 0.008 | −30.5 (−51.9 to −9.1) | 0.005 | −29.4 (−51.6 to −7.2) | 0.010 |
| Year 5 | 0.022 | 0.115 | 253 | −23.8 (−45.4 to −2.1) | 0.031 | −22.7 (−43.9 to −1.5) | 0.036 | −23.9 (−44.8 to −2.9) | 0.026 | −22.8 (−44.4 to −1.2) | 0.039 | |
| Year 7 | 0.031 | 0.018 | 207 | −14.0 (−36.8 to +8.7) | 0.226 | −13.2 (−35.5 to +9.1) | 0.246 | −14.2 (−36.3 to +7.8) | 0.205 | −13.2 (−35.6 to +9.2) | 0.249 | |
| Year 9 | 0.028 | 0.017 | 186 | −15.4 (−38.0 to +7.2) | 0.181 | −14.5 (−36.7 to +7.6) | 0.198 | −15.6 (−37.4 to +6.3) | 0.163 | −14.5 (−36.8 to +7.8) | 0.202 | |
| Writing | Year 3 | 0.017 | 0.216 | 245 | −11.2 (−32.2 to +9.9) | 0.297 | −7.6 (−27.7 to +12.5) | 0.459 | −8.3 (−28.4 to +11.7) | 0.415 | −9.5 (−30.6 to +11.6) | 0.377 |
| Year 5 | 0.029 | 0.016 | 251 | −25.5 (−46.1 to −4.9) | 0.015 | −22.1 (−41.9 to −2.3) | 0.029 | −22.9 (−42.6 to −3.1) | 0.023 | −24.0 (−44.9 to −3.2) | 0.024 | |
| Year 7 | 0.025 | 0.070 | 209 | −7.9 (−30.9 to +15.1) | 0.498 | −3.7 (−26.0 to +18.6) | 0.746 | −4.1 (−26.3 to +18.1) | 0.717 | −5.6 (−29.7 to +18.5) | 0.647 | |
| Year 9 | 0.030 | 0.036 | 193 | +1.2 (−23.4 to +25.7) | 0.927 | +4.0 (−19.7 to +27.6) | 0.741 | +3.5 (−20.2 to +27.2) | 0.772 | +2.1 (−22.4 to +26.5) | 0.869 | |
| Numeracy | Year 3 | 0.017 | 0.269 | 241 | −9.6 (−28.1 to +9.0) | 0.314 | −9.8 (−28.2 to +8.5) | 0.292 | −10.7 (−28.9 to +7.5) | 0.248 | −11.7 (−32.2 to +14.8) | 0.263 |
| Year 5 | 0.028 | 0.011 | 253 | −9.7 (−27.6 to +8.3) | 0.291 | −10.2 (−28.0 to +7.6) | 0.262 | −11.1 (−28.7 to +6.6) | 0.221 | −12.0 (−31.8 to +7.8) | 0.235 | |
| Year 7 | 0.022 | 0.041 | 207 | −12.3 (−30.4 to +5.8) | 0.183 | −12.7 (−30.6 to +5.1) | 0.163 | −13.6 (−31.4 to +4.2) | 0.133 | −14.6 (−34.3 to +5.2) | 0.149 | |
| Year 9 | 0.022 | 0.025 | 193 | −9.0 (−27.6 to +9.6) | 0.343 | −9.6 (−28.0 to +8.9) | 0.308 | −10.4 (−28.7 to +7.8) | 0.263 | −11.4 (−31.0 to +8.3) | 0.255 | |
| UIC ≥ 150 μg/L | UIC < 150 μg/L | p Value 5 | Unadjusted | Adjusted for Biological Factors 2 | Adjusted for Biological & Socioeconomic Factors 3 | Adjusted for Biological & Socioeconomic Factors & Adolescent UIC 4 | |||||
|---|---|---|---|---|---|---|---|---|---|---|---|
| β (95% CI) | p Value | β (95% CI) | p Value | β (95% CI) | p Value | β (95% CI) | p Value | ||||
| Indexes (Standard Scores) | |||||||||||
| Core Language Index (RS, FS, WC-T & WD) 6 | 101.5 (12.0) | 94.3 (14.5) | 0.106 | −7.2 (−16.0 to 1.6) | 0.106 | −7.1 (−15.6 to 1.5) | 0.101 | −7.9 (−16.9 to 1.1) | 0.085 | −8.6 (−18.2 to 1.0) | 0.076 |
| Receptive Language Index (WC-R, USP & SR) 6 | 101.1 (9.5) | 96.9 (15.5) | 0.352 | −4.1 (−13.0 to 4.7) | 0.352 | −4.4 (−12.9 to 4.2) | 0.307 | −4.9 (−13.9 to 4.1) | 0.279 | −5.8 (−15.5 to 4.0) | 0.236 |
| Expressive Language Index (RS, FS & WC-E) 6 | 103.3 (11.5) | 95.2 (14.6) | 0.069 | −8.1 (−16.9 to 0.7) | 0.069 | −7.6 (−16.4 to 1.1) | 0.085 | −8.5 (−17.6 to 0.7) | 0.069 | −8.9 (−18.7 to 1.0) | 0.077 |
| Language Content Index (WD, USP & SA) 6 | 102.5 (11.0) | 96.9 (15.9) | 0.231 | −5.6 (−14.8 to 3.7) | 0.231 | −5.7 (−14.4 to 2.9) | 0.186 | −7.0 (−15.9 to 1.9) | 0.121 | −7.8 (−17.2 to 1.6) | 0.103 |
| Language Memory Index (RS, FS & SR) 6 | 100.6 (11.0) | 94.7 (15.4) | 0.193 | −5.9 (−14.9 to 3.1) | 0.193 | −4.9 (−13.6 to 3.9) | 0.271 | −5.3 (−14.6 to 4.0) | 0.254 | −5.8 (−15.9 to 4.3) | 0.249 |
| Working Memory Index (NR-T & FSq1) 6 | 96.8 (10.9) | 90.7 (15.1) | 0.169 | −6.1 (−15.0 to 2.7) | 0.169 | −6.4 (−15.3 to 2.5) | 0.154 | −4.8 (−13.8 to 4.3) | 0.292 | −5.5 (−15.3 to 4.2) | 0.258 |
| Sub-tests (Scaled Scores) | |||||||||||
| Recalling Sentences (RS) | 10.07 (2.15) | 9.27 (2.79) | 0.336 | −0.8 (−2.5 to 0.9) | 0.336 | −0.5 (−2.1 to 1.1) | 0.532 | −0.7 (−2.4 to 0.9) | 0.374 | −0.6 (−2.4 to 1.2) | 0.477 |
| Formulated Sentences (FS) | 10.73 (2.43) | 8.93 (3.11) | 0.057 | −1.8 (−3.7 to 0.1) | 0.057 | −1.7 (−3.5 to 0.2) | 0.075 | −1.7 (−3.6 to 0.3) | 0.091 | −1.8 (−3.9 to 0.3) | 0.087 |
| Word Classes—Receptive (WC-R) | 9.40 (2.26) | 8.86 (2.77) | 0.521 | −0.5 (−2.2 to 1.1) | 0.521 | −0.7 (−2.3 to 0.9) | 0.396 | −0.8 (−2.5 to 0.9) | 0.366 | −0.8 (−2.6 to 1.1) | 0.392 |
| Word Classes—Expressive (WC-E) | 10.73 (2.76) | 9.69 (3.64) | 0.336 | −1.0 (−3.2 to 1.1) | 0.336 | −1.2 (−3.4 to 1.0) | 0.268 | −1.4 (−3.7 to 0.9) | 0.224 | −1.6 (−4.1 to 0.8) | 0.190 |
| Word Classes—Total (WC-T) | 9.93 (2.74) | 9.24 (3.28) | 0.488 | −0.7 (−2.7 to 1.3) | 0.488 | −0.9 (−2.8 to 1.1) | 0.389 | −1.0 (−3.1 to 1.1) | 0.358 | −1.1 (−3.4 to 1.1) | 0.314 |
| Word Definitions (WD) | 10.13 (3.20) | 9.40 (3.46) | 0.496 | −0.7 (−2.9 to 1.4) | 0.496 | −0.8 (−2.9 to 1.3) | 0.430 | −1.1 (−3.3 to 1.1) | 0.330 | −1.4 (−3.7 to 0.9) | 0.221 |
| Understanding Spoken Paragraphs (USP) | 11.40 (2.47) | 10.67 (3.29) | 0.451 | −0.7 (−2.7 to 1.2) | 0.451 | −0.8 (−2.6 to 1.1) | 0.400 | −1.0 (−2.8 to 0.8) | 0.279 | −1.2 (−3.1 to 0.8) | 0.247 |
| Sentence Assembly (SA) | 9.33 (2.61) | 8.07 (2.75) | 0.146 | −1.3 (−3.0 to 0.5) | 0.146 | −1.3 (−2.9 to 0.4) | 0.131 | −1.4 (−3.1 to 0.3) | 0.113 | −1.3 (−3.1 to 0.6) | 0.161 |
| Semantic Relationships (SR) | 9.53 (1.77) | 8.83 (3.12) | 0.426 | −0.7 (−2.5 to 1.1) | 0.426 | −0.7 (−2.4 to 1.1) | 0.443 | −0.6 (−2.4 to 1.2) | 0.513 | −0.9 (2.9 to 1.1) | 0.360 |
| Number Repetition—Forwards (NR-F) | 9.07 (2.38) | 8.20 (2.47) | 0.267 | −0.9 (−2.4 to 0.7) | 0.267 | −0.9 (−2.5 to 0.6) | 0.229 | −1.1 (−2.7 to 0.5) | 0.187 | −1.4 (−3.1 to 0.4) | 0.116 |
| Number Repetition—Backwards (NR-B) | 9.67 (1.50) | 9.60 (3.11) | 0.938 | −0.1 (−1.8 to 1.7) | 0.938 | −0.1 (−1.9 to 1.7) | 0.926 | −0.1 (−1.8 to 1.9) | 0.947 | +0.1 (−1.9 to 2.1) | 0.946 |
| Number Repetition—Total (NR-T) | 9.20 (1.78) | 8.47 (2.93) | 0.380 | −0.7 (−2.4 to 0.9) | 0.380 | −0.8 (−2.5 to 0.9) | 0.338 | −0.8 (−2.5 to 1.0) | 0.363 | −1.0 (−2.8 to 0.9) | 0.308 |
| Familiar Sequences 1 (FSq1) | 9.67 (2.55) | 8.53 (2.96) | 0.213 | −1.3 (−2.9 to 0.7) | 0.212 | −1.2 (−3.0 to 0.6) | 0.188 | −0.7 (−2.4 to 1.1) | 0.448 | −0.7 (−2.6 to 1.2) | 0.456 |
| UIC ≥ 150 μg/L | UIC < 150 μg/L | Unadjusted | Adjusted for Biological Factors 2 | Adjusted for Biological & Socioeconomic Factors 3 | Adjusted for Biological & Socioeconomic Factors & Adolescent UIC 4 | ||||||
|---|---|---|---|---|---|---|---|---|---|---|---|
| p Value 5 | β (95% CI) | p Value | β (95% CI) | p Value | β (95% CI) | p Value | β (95% CI) | p Value | |||
| LiSN 6 | |||||||||||
| SRT(dB) High Cue: | |||||||||||
| different voices, different direction (dv90) | −15.6 (1.7) | −16.3 (1.8) | 0.230 | −0.7 (−1.8 to 0.4) | 0.229 | −0.7 (−1.8 to 0.5) | 0.263 | −0.5 (−1.7 to 0.7) | 0.408 | −0.4 (−1.7 to 0.9) | 0.517 |
| same voices, diff direction (sv90) | −14.2 (1.8) | −14.7 (1.9) | 0.371 | −0.5 (−1.7 to 0.6) | 0.371 | −0.6 (−1.8 to 0.6) | 0.310 | −0.5 (−1.7 to 0.8) | 0.458 | −0.2 (−1.5 to 1.1) | 0.727 |
| diff voices, same direction (dv0) | −6.3 (2.1) | −7.2 (2.9) | 0.298 | −0.9 (−2.6 to 0.8) | 0.298 | −0.8 (−2.5 to 1.0) | 0.387 | −0.7 (−2.5 to 1.1) | 0.462 | −0.5 (−2.5 to 1.5) | 0.607 |
| SRT(dB) Low Cue: | |||||||||||
| same voices, same direction (sv0) | −1.5 (1.0) | −1.3 (1.6) | 0.682 | 0.2 (−0.7 to 1.1) | 0.682 | 0.3 (−0.6 to 1.2) | 0.539 | 0.3 (−0.6 to 1.3) | 0.469 | 0.4 (−0.7 to 1.4) | 0.477 |
| Advantage Measures (dB) 7: | |||||||||||
| Talker Advantage (dv0–sv0) | 5.2 (2.3) | 5.9 (2.5) | 0.393 | 0.7 (−0.9 to 2.2) | 0.393 | 0.7 (−0.9 to 2.3) | 0.375 | 0.7 (−0.9 to 2.4) | 0.377 | 0.6 (−1.2 to 2.4) | 0.528 |
| Spatial Advantage (sv90–sv0) | 12.7 (1.5) | 13.4 (1.9) | 0.208 | 0.7 (−0.4 to 1.8) | 0.208 | 0.9 (−0.3 to 2.0) | 0.128 | 0.8 (−0.4 to 2.0) | 0.186 | 0.6 (−0.7 to 1.9) | 0.353 |
| Total Advantage (dv90–sv0) | 14.1 (1.6) | 15.0 (1.9) | 0.140 | 0.9 (−0.3 to 2.0) | 0.140 | 0.9 (−0.3 to 2.1) | 0.127 | 0.8 (−0.4 to 2.1) | 0.188 | 0.8 (−0.6 to 2.1) | 0.249 |
| TAPS-3 8 | |||||||||||
| Number Memory Forward (NMF) | 8.3 (3.3) | 8.7 (3.0) | 0.708 | 0.4 (−1.6 to 2.3) | 0.708 | 0.4 (−1.7 to 2.5) | 0.678 | 0.5 (−1.7 to 2.7) | 0.658 | 0.7 (−1.6 to 3.0) | 0.556 |
| Number Memory Reversed (NMR) | 9.7 (2.3) | 8.8 (2.3) | 0.188 | −1.0 (−2.4 to 0.5) | 0.188 | −1.0 (−2.5 to 0.4) | 0.153 | −1.1 (−2.6 to 0.5) | 0.162 | −1.1 (−2.7 to 0.5) | 0.184 |
| Dichotic Digits | |||||||||||
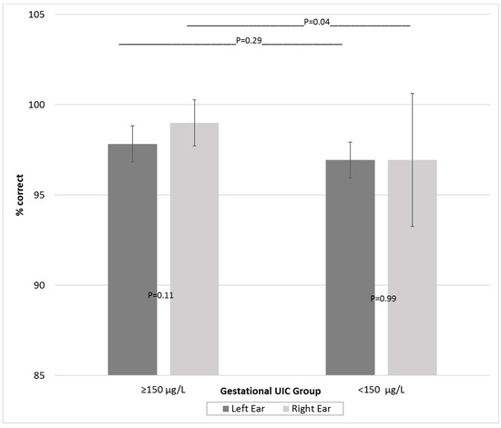
| Right Ear | 99.0 (1.3) | 96.9 (3.7) | 0.043 | −2.1 (−4.1 to −0.1) | 0.043 | −2.0 (−3.9 to 0.0) | 0.048 | −2.2 (−4.2 to −0.2) | 0.035 | −2.2 (−4.4 to 0.0) | 0.054 |
| Left Ear | 97.8 (2.3) | 96.9 (2.8) | 0.293 | −0.9 (−2.6 to 0.8) | 0.293 | −0.7 (−2.2 to 0.9) | 0.391 | −0.7 (−2.3 to 1.0) | 0.422 | −1.0 (−2.7 to 0.8) | 0.271 |
| Right Ear Advantage (REA) (Right-Left Ear) | 1.17 (2.65) | 0.01 (3.14) | 0.227 | −1.2(−3.1 to 0.8) | 0.227 | −1.3 (−3.3 to 0.8) | 0.212 | −1.5 (−3.7 to 0.6) | 0.156 | −1.2 (−3.5 to 1.1) | 0.295 |
| Right Handed | 78.6% (11/14) | 82.8% (24/29) | 0.741 | ||||||||
© 2017 by the authors. Licensee MDPI, Basel, Switzerland. This article is an open access article distributed under the terms and conditions of the Creative Commons Attribution (CC BY) license (http://creativecommons.org/licenses/by/4.0/).
Share and Cite
Hynes, K.L.; Otahal, P.; Burgess, J.R.; Oddy, W.H.; Hay, I. Reduced Educational Outcomes Persist into Adolescence Following Mild Iodine Deficiency in Utero, Despite Adequacy in Childhood: 15-Year Follow-Up of the Gestational Iodine Cohort Investigating Auditory Processing Speed and Working Memory. Nutrients 2017, 9, 1354. https://doi.org/10.3390/nu9121354
Hynes KL, Otahal P, Burgess JR, Oddy WH, Hay I. Reduced Educational Outcomes Persist into Adolescence Following Mild Iodine Deficiency in Utero, Despite Adequacy in Childhood: 15-Year Follow-Up of the Gestational Iodine Cohort Investigating Auditory Processing Speed and Working Memory. Nutrients. 2017; 9(12):1354. https://doi.org/10.3390/nu9121354
Chicago/Turabian StyleHynes, Kristen L., Petr Otahal, John R. Burgess, Wendy H. Oddy, and Ian Hay. 2017. "Reduced Educational Outcomes Persist into Adolescence Following Mild Iodine Deficiency in Utero, Despite Adequacy in Childhood: 15-Year Follow-Up of the Gestational Iodine Cohort Investigating Auditory Processing Speed and Working Memory" Nutrients 9, no. 12: 1354. https://doi.org/10.3390/nu9121354
APA StyleHynes, K. L., Otahal, P., Burgess, J. R., Oddy, W. H., & Hay, I. (2017). Reduced Educational Outcomes Persist into Adolescence Following Mild Iodine Deficiency in Utero, Despite Adequacy in Childhood: 15-Year Follow-Up of the Gestational Iodine Cohort Investigating Auditory Processing Speed and Working Memory. Nutrients, 9(12), 1354. https://doi.org/10.3390/nu9121354

