The Effect of Novel Low-Dose Caffeine Products on Physical Performance
Abstract
1. Introduction
2. Materials and Methods
2.1. Participants
2.2. Study Design
2.3. Supplementation Protocol
2.4. Procedure
2.5. Physical Performance Assessment
2.6. Statistical Analysis
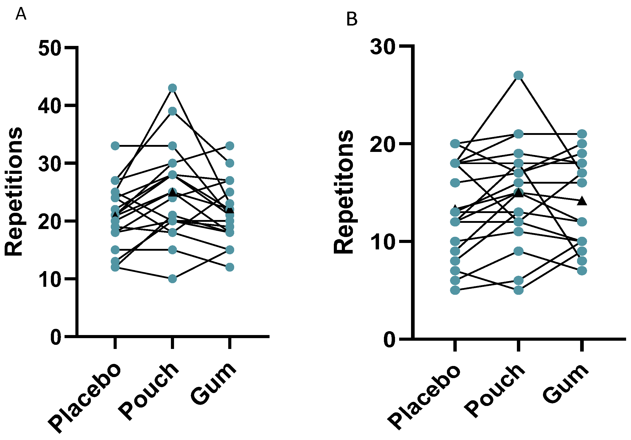
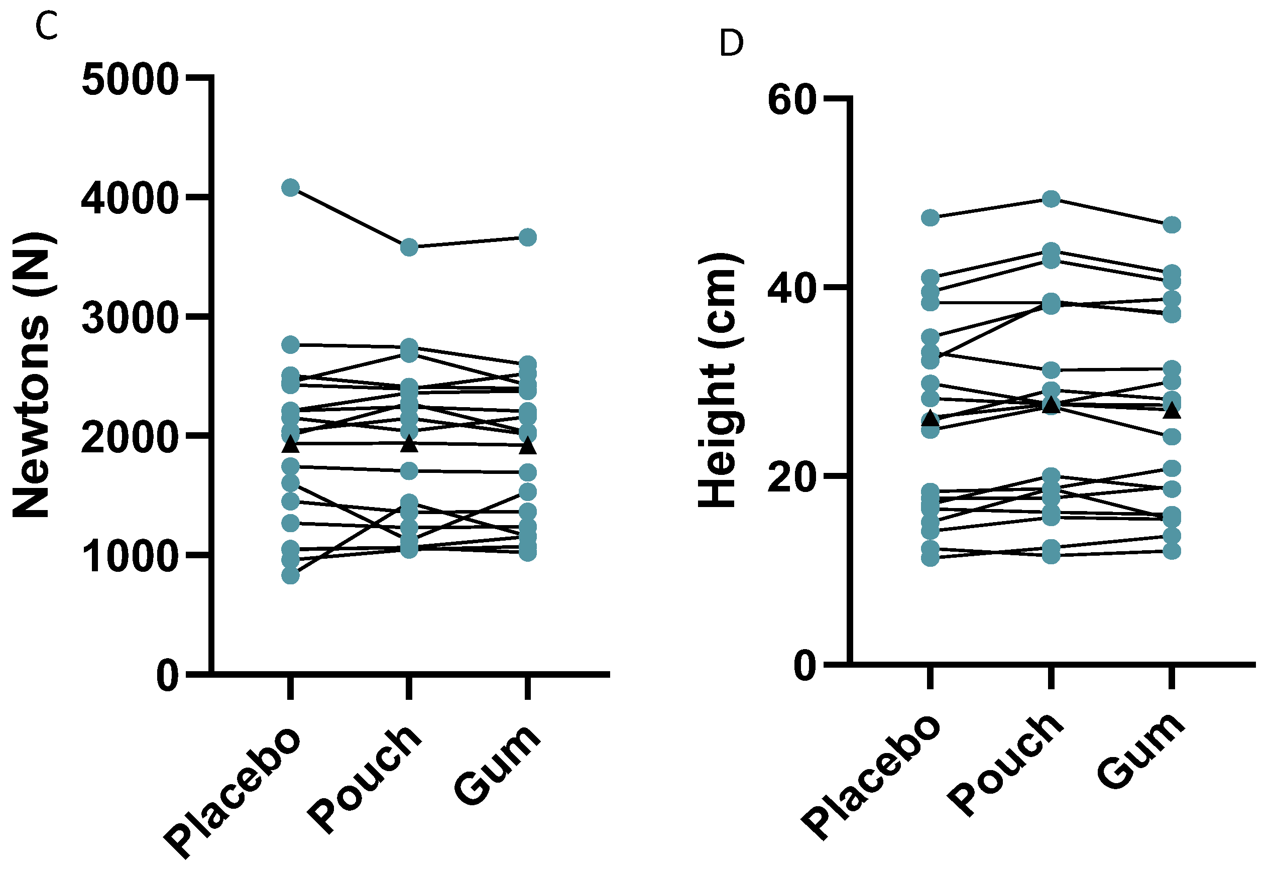
3. Results
4. Discussion
5. Conclusions
Author Contributions
Funding
Institutional Review Board Statement
Informed Consent Statement
Data Availability Statement
Acknowledgments
Conflicts of Interest
Abbreviations
| LP | Leg Press |
| SP | Shoulder Press |
| RPE | Rating of Perceived Exertion |
| CNS | Central Nervous System |
| RM | Repetition Maximum |
| IMTP | Isometric Mid-Thigh Pull |
| CMJ | Counter-Movement Jump |
| LSD | Least Significant Difference |
References
- Institute of Medicine. Caffeine for the Sustainment of Mental Task Performance: Formulations for Military Operations; The National Academies Press: Washington, DC, USA, 2001. [Google Scholar] [CrossRef]
- Heckman, M.A.; Weil, J.; de Mejia, E.G. Caffeine (1, 3, 7-trimethylxanthine) in Foods: A Comprehensive Review on Consumption, Functionality, Safety, and Regulatory Matters. J. Food Sci. 2010, 75, R77–R87. [Google Scholar] [CrossRef]
- Guest, N.S.; VanDusseldorp, T.A.; Nelson, M.T.; Grgic, J.; Schoenfeld, B.J.; Jenkins, N.D.M.; Arent, S.M.; Antonio, J.; Stout, J.R.; Trexler, E.T.; et al. International society of sports nutrition position stand: Caffeine and exercise performance. J. Int. Soc. Sports Nutr. 2021, 18, 1. [Google Scholar] [CrossRef] [PubMed] [PubMed Central]
- Costill, D.L.; Dalsky, G.P.; Fink, W.J. Effects of caffeine ingestion on metabolism and exercise performance. Med. Sci. Sports 1978, 10, 155–158. [Google Scholar] [PubMed]
- McLellan, T.M.; Caldwell, J.A.; Lieberman, H.R. A review of caffeine’s effects on cognitive, physical and occupational performance. Neurosci. Biobehav. Rev. 2016, 71, 294–312. [Google Scholar] [CrossRef] [PubMed]
- Fredholm, B.B.; Bättig, K.; Holmén, J.; Nehlig, A.; Zvartau, E.E. Actions of caffeine in the brain with special reference to factors that contribute to its widespread use. Pharmacol. Rev. 1999, 51, 83–133. [Google Scholar] [CrossRef] [PubMed]
- Tallis, J.; Duncan, M.J.; James, R.S. What can isolated skeletal muscle experiments tell us about the effects of caffeine on exercise performance? Br. J. Pharmacol. 2015, 172, 3703–3713. [Google Scholar] [CrossRef] [PubMed] [PubMed Central]
- Davis, J.K.; Green, J.M. Caffeine and anaerobic performance: Ergogenic value and mechanisms of action. Sports Med. 2009, 39, 813–832. [Google Scholar] [CrossRef] [PubMed]
- Doherty, M.; Smith, P.M. Effects of caffeine ingestion on rating of perceived exertion during and after exercise: A meta-analysis. Scand. J. Med. Sci. Sports 2005, 15, 69–78. [Google Scholar] [CrossRef] [PubMed]
- Grgic, J.; Grgic, I.; Pickering, C.; Schoenfeld, B.J.; Bishop, D.J.; Pedisic, Z. Wake up and smell the coffee: Caffeine supplementation and exercise performance-an umbrella review of 21 published meta-analyses. Br. J. Sports Med. 2020, 54, 681–688. [Google Scholar] [CrossRef] [PubMed]
- Chester, N.; Wojek, N. Caffeine consumption amongst British athletes following changes to the 2004 WADA prohibited list. Int. J. Sports Med. 2008, 29, 524–528. [Google Scholar] [CrossRef] [PubMed]
- Tallis, J.; Clarke, N.; Morris, R.; Richardson, D.; Ellis, M.; Eyre, E.; Duncan, M.; Noon, M. The prevalence and practices of caffeine use as an ergogenic aid in English professional soccer. Biol. Sport. 2021, 38, 525–534. [Google Scholar] [CrossRef] [PubMed] [PubMed Central]
- Morris, G.B.; Manders, R.J.F.; Hulton, A.T. Caffeine consumption within British fencing athletes. Front. Nutr. 2022, 9, 999847. [Google Scholar] [CrossRef] [PubMed] [PubMed Central]
- De Souza, J.G.; Del Coso, J.; Fonseca, F.S.; Silva, B.V.C.; de Souza, D.B.; da Silva Gianoni, R.L.; Filip-Stachnik, A.; Serrão, J.C.; Claudino, J.G. Risk or benefit? Side effects of caffeine supplementation in sport: A systematic review. Eur. J. Nutr. 2022, 61, 3823–3834. [Google Scholar] [CrossRef] [PubMed]
- Graham, T.E.; Spriet, L.L. Metabolic, catecholamine, and exercise performance responses to various doses of caffeine. J. Appl. Physiol. 1995, 78, 867–874. [Google Scholar] [CrossRef]
- Del Coso, J.; Salinero, J.J.; González-Millán, C.; Abián-Vicén, J.; Pérez-González, B. Dose response effects of a caffeine-containing energy drink on muscle performance: A repeated measures design. J. Int. Soc. Sports Nutr. 2012, 9, 21. [Google Scholar] [CrossRef]
- Spriet, L.L. Exercise and sport performance with low doses of caffeine. Sports Med. 2014, 44, S175–S184. [Google Scholar] [CrossRef] [PubMed] [PubMed Central]
- Grgic, J. Exploring the minimum ergogenic dose of caffeine on resistance exercise performance: A meta-analytic approach. Nutrition 2022, 97, 111604. [Google Scholar] [CrossRef] [PubMed]
- Yang, A.; Palmer, A.A.; de Wit, H. Genetics of caffeine consumption and responses to caffeine. Psychopharmacology 2010, 211, 245–257. [Google Scholar] [CrossRef] [PubMed] [PubMed Central]
- Kreutzer, A.; Graybeal, A.J.; Moss, K.; Braun-Trocchio, R.; Shah, M. Caffeine Supplementation Strategies Among Endurance Athletes. Front. Sports Act. Living 2022, 4, 821750. [Google Scholar] [CrossRef]
- Kamimori, G.H.; Karyekar, C.S.; Otterstetter, R.; Cox, D.S.; Balkin, T.J.; Belenky, G.L.; Eddington, N.D. The rate of absorption and relative bioavailability of caffeine administered in chewing gum versus capsules to normal healthy volunteers. Int. J. Pharm. 2002, 234, 159–167. [Google Scholar] [CrossRef] [PubMed]
- Ryan, E.J.; Kim, C.H.; Fickes, E.J.; Williamson, M.; Muller, M.D.; Barkley, J.E.; Gunstad, J.; Glickman, E.L. Caffeine gum and cycling performance: A timing study. J. Strength Cond. Res. 2013, 27, 259–264. [Google Scholar] [CrossRef] [PubMed]
- Paton, C.; Costa, V.; Guglielmo, L. Effects of caffeine chewing gum on race performance and physiology in male and female cyclists. J. Sports Sci. 2015, 33, 1076–1083. [Google Scholar] [CrossRef] [PubMed]
- Yang, C.C.; Hsieh, M.H.; Ho, C.C.; Chang, Y.H.; Shiu, Y.J. Effects of Caffeinated Chewing Gum on Exercise Performance and Physiological Responses: A Systematic Review. Nutrients 2024, 16, 3611. [Google Scholar] [CrossRef] [PubMed] [PubMed Central]
- Yildirim, U.C.; Akcay, N.; Alexe, D.I.; Esen, O.; Gulu, M.; Cîrtiţă-Buzoianu, C.; Cinarli, F.S.; Cojocaru, M.; Sari, C.; Alexe, C.I.; et al. Acute effect of different doses of caffeinated chewing gum on exercise performance in caffeine-habituated male soccer players. Front. Nutr. 2023, 10, 1251740. [Google Scholar] [CrossRef] [PubMed] [PubMed Central]
- Thomas, S.; Reading, J.; Shephard, R.J. Revision of the Physical Activity Readiness Questionnaire (PAR-Q). Can. J. Sport. Sci. 1992, 17, 338–345. [Google Scholar] [PubMed]
- Harriss, D.J.; Macsween, A.; Atkinson, G. Ethical standards in sport and exercise science research: 2020 update. Int. J. Sports Med. 2019, 40, 813–817. [Google Scholar] [CrossRef]
- Haff, G.G.; Triplett, N.T. (Eds.) Essentials of Strength Training and Conditioning, 4th ed.; Human Kinetics: Champaign, IL, USA, 2015. [Google Scholar]
- Drust, B.; Waterhouse, J.; Atkinson, G.; Edwards, B.; Reilly, T. Circadian rhythms in sports performance—An update. Chronobiol. Int. 2005, 22, 21–44. [Google Scholar] [CrossRef]
- Hoeger, W.W.K.; Hopkins, D.R.; Barette, S.L.; Hale, D.F. Relationship between Repetitions and Selected percentages of One Repetition Maximum: A Comparison between Untrained and Trained Males and Females. J. Strength Cond. Res. 1990, 4, 47–54. [Google Scholar] [CrossRef]
- Borg, G.A. Psychophysical bases of perceived exertion. Med. Sci. Sports Exerc. 1982, 14, 377–381. [Google Scholar] [CrossRef]
- Borg, G. Borg’s Perceived Exertion and Pain Scales; Human Kinetics: Champaign, IL, USA, 1998. [Google Scholar]
- Glatthorn, J.F.; Gouge, S.; Nussbaumer, S.; Stauffacher, S.; Impellizzeri, F.M.; Maffiuletti, N.A. Validity and reliability of Optojump photoelectric cells for estimating vertical jump height. J. Strength Cond. Res. 2011, 25, 556–560. [Google Scholar] [CrossRef] [PubMed]
- Guppy, S.N.; Brady, C.J.; Comfort, P.; Haff, G.G. The isometric mid-thigh pull: A review and methodology—Part 2. Prof. Strength Cond. 2018, 51, 21–29. [Google Scholar]
- Haff, G.G.; Stone, M.; O’Bryant, H.S.; Harman, E.; Dinan, C.; Johnson, R.; Han, K. Force-Time Dependent Characteristics of Dynamic and Isometric Muscle Actions. J. Strength Cond. Res. 1997, 11, 269–272. [Google Scholar]
- Field, A. Discovering Statistics Using IBM SPSS Statistics; Sage: London, UK, 2013. [Google Scholar]
- Mauchly, J.W. Significance test for sphericity of a normal n-variate distribution. Ann. Math. Stat. 1940, 11, 204–209. [Google Scholar] [CrossRef]
- Cohen, J. Statistical Power Analysis for the Behavioural Sciences, 2nd ed.; Lawrence Erlbaum Associates: Hillsdale, NJ, USA, 1988. [Google Scholar]
- Astorino, T.A.; Roberson, D.W. Efficacy of acute caffeine ingestion for short-term high-intensity exercise performance: A systematic review. J. Strength Cond. Res. 2010, 24, 257–265. [Google Scholar] [CrossRef]
- Duncan, M.J.; Thake, C.D.; Downs, P.J. Effect of caffeine ingestion on torque and muscle activity during resistance exercise in men. Muscle Nerve 2014, 50, 523–527. [Google Scholar] [CrossRef] [PubMed]
- Beck, T.W. The importance of a priori sample size estimation in strength and conditioning research. J. Strength Cond. Res. 2013, 27, 2323–2337. [Google Scholar] [CrossRef]
- Reno, A.M.; Green, M.; Killen, L.G.; O’Neal, E.K.; Pritchett, K.; Hanson, Z. Effects of Magnesium Supplementation on Muscle Soreness and Performance. J. Strength Cond. Res. 2022, 36, 2198–2203. [Google Scholar] [CrossRef] [PubMed]
- Lakens, D. Calculating and reporting effect sizes to facilitate cumulative science: A practical primer for t-tests and ANOVAs. Front. Psychol. 2013, 4, 863. [Google Scholar] [CrossRef] [PubMed] [PubMed Central]
- Grgic, J.; Mikulic, P. Acute effects of caffeine supplementation on resistance exercise, jumping, and Wingate performance: No influence of habitual caffeine intake. Eur. J. Sport. Sci. 2021, 21, 1165–1175. [Google Scholar] [CrossRef] [PubMed]
- Jones, L.; Johnstone, I.; Day, C.; Le Marquer, S.; Hulton, A.T. The Dose-Effects of Caffeine on Lower Body Maximal Strength, Muscular Endurance, and Rating of Perceived Exertion in Strength-Trained Females. Nutrients 2021, 13, 3342. [Google Scholar] [CrossRef] [PubMed] [PubMed Central]
- Venier, S.; Grgic, J.; Mikulic, P. Acute Enhancement of Jump Performance, Muscle Strength, and Power in Resistance-Trained Men After Consumption of Caffeinated Chewing Gum. Int. J. Sports Physiol. Perform. 2019, 14, 1415–1421. [Google Scholar] [CrossRef] [PubMed]
- Grgic, J.; Sabol, F.; Venier, S.; Mikulic, I.; Bratkovic, N.; Schoenfeld, B.J.; Pickering, C.; Bishop, D.J.; Pedisic, Z.; Mikulic, P. What Dose of Caffeine to Use: Acute Effects of 3 Doses of Caffeine on Muscle Endurance and Strength. Int. J. Sports Physiol. Perform. 2019, 15, 470–477. [Google Scholar] [CrossRef] [PubMed]
- Ranchordas, M.K.; King, G.; Russell, M.; Lynn, A.; Russell, M. Effects of Caffeinated Gum on a Battery of Soccer-Specific Tests in Trained University-Standard Male Soccer Players. Int. J. Sport. Nutr. Exerc. Metab. 2018, 28, 629–634. [Google Scholar] [CrossRef] [PubMed]
- Ranchordas, M.K.; Pratt, H.; Parsons, M.; Parry, A.; Boyd, C.; Lynn, A. Effect of caffeinated gum on a battery of rugby-specific tests in trained university-standard male rugby union players. J. Int. Soc. Sports Nutr. 2019, 16, 17. [Google Scholar] [CrossRef] [PubMed] [PubMed Central]
- Sullivan, G.M.; Feinn, R. Using Effect Size-or Why the P Value Is Not Enough. J. Grad. Med. Educ. 2012, 4, 279–282. [Google Scholar] [CrossRef] [PubMed] [PubMed Central]
- Polito, M.D.; Souza, D.A.; Casonatto, J.; Farinatti, P. Acute effect of caffeine consumption on isotonic muscular strength and endurance: A systematic review and meta-analysis. Sci. Sport. 2016, 31, 119–128. [Google Scholar] [CrossRef]
- Black, C.D.; Waddell, D.E.; Gonglach, A.R. Caffeine’s Ergogenic Effects on Cycling: Neuromuscular and Perceptual Factors. Med. Sci. Sports Exerc. 2015, 47, 1145–1158. [Google Scholar] [CrossRef] [PubMed]
- Duncan, M.J.; Stanley, M.; Parkhouse, N.; Cook, K.; Smith, M. Acute caffeine ingestion enhances strength performance and reduces perceived exertion and muscle pain perception during resistance exercise. Eur. J. Sport. Sci. 2013, 13, 392–399. [Google Scholar] [CrossRef] [PubMed]
- Duncan, M.J.; Oxford, S.W. Acute caffeine ingestion enhances performance and dampens muscle pain following resistance exercise to failure. J. Sports Med. Phys. Fitness. 2012, 52, 280–285. [Google Scholar] [PubMed]
- Green, J.M.; Wickwire, P.J.; McLester, J.R.; Gendle, S.; Hudson, G.; Pritchett, R.C.; Laurent, C.M. Effects of caffeine on repetitions to failure and ratings of perceived exertion during resistance training. Int. J. Sports Physiol. Perform. 2007, 2, 250–259. [Google Scholar] [CrossRef] [PubMed]
- Astorino, T.A.; Rohmann, R.L.; Firth, K. Effect of caffeine ingestion on one-repetition maximum muscular strength. Eur. J. Appl. Physiol. 2008, 102, 127–132. [Google Scholar] [CrossRef] [PubMed]
- Woolf, K.; Bidwell, W.K.; Carlson, A.G. The effect of caffeine as an ergogenic aid in anaerobic exercise. Int. J. Sport. Nutr. Exerc. Metab. 2008, 18, 412–429. [Google Scholar] [CrossRef] [PubMed]
- Astorino, T.A.; Terzi, M.N.; Roberson, D.W.; Burnett, T.R. Effect of caffeine intake on pain perception during high-intensity exercise. Int. J. Sport. Nutr. Exerc. Metab. 2011, 21, 27–32. [Google Scholar] [CrossRef] [PubMed]
- Marcora, S.M.; Staiano, W. The limit to exercise tolerance in humans: Mind over muscle? Eur. J. Appl. Physiol. 2010, 109, 763–770, Erratum in Eur. J. Appl. Physiol. 2010, 110, 1305. [Google Scholar] [CrossRef] [PubMed]
- Bourdon, P.C.; Cardinale, M.; Murray, A.; Gastin, P.; Kellmann, M.; Varley, M.C.; Gabbett, T.J.; Coutts, A.J.; Burgess, D.J.; Gregson, W.; et al. Monitoring Athlete Training Loads: Consensus Statement. Int. J. Sports Physiol. Perform. 2017, 12, S2161–S2170. [Google Scholar] [CrossRef] [PubMed]
- Nehlig, A. Interindividual Differences in Caffeine Metabolism and Factors Driving Caffeine Consumption. Pharmacol. Rev. 2018, 70, 384–411. [Google Scholar] [CrossRef] [PubMed]
- Bell, D.G.; McLellan, T.M. Exercise endurance 1, 3, and 6 h after caffeine ingestion in caffeine users and nonusers. J. Appl. Physiol. 2002, 93, 1227–1234. [Google Scholar] [CrossRef] [PubMed]
- Pickering, C.; Kiely, J. What Should We Do About Habitual Caffeine Use in Athletes? Sports Med. 2019, 49, 833–842. [Google Scholar] [CrossRef] [PubMed] [PubMed Central]
- Gonçalves, L.S.; Painelli, V.S.; Yamaguchi, G.; Oliveira, L.F.; Saunders, B.; da Silva, R.P.; Maciel, E.; Artioli, G.G.; Roschel, H.; Gualano, B. Dispelling the myth that habitual caffeine consumption influences the performance response to acute caffeine supplementation. J. Appl. Physiol. 2017, 123, 213–220. [Google Scholar] [CrossRef] [PubMed]
- De Salles Painelli, V.; Teixeira, E.L.; Tardone, B.; Moreno, M.; Morandini, J.; Larrain, V.H.; Pires, F.O. Habitual Caffeine Consumption Does Not Interfere with the Acute Caffeine Supplementation Effects on Strength Endurance and Jumping Performance in Trained Individuals. Int. J. Sport. Nutr. Exerc. Metab. 2021, 31, 321–328. [Google Scholar] [CrossRef] [PubMed]
- Saunders, B.; De Oliveira, L.F.; Da Silva, R.P.; de Salles Painelli, V.; Gonçalves, L.S.; Yamaguchi, G.; Mutti, T.; Maciel, E.; Roschel, H.; Artioli, G.G.; et al. Placebo in sports nutrition: A proof-of-principle study involving caffeine supplementation. Scand. J. Med. Sci. Sports 2017, 27, 1240–1247. [Google Scholar] [CrossRef] [PubMed]
- Foad, A.J.; Beedie, C.J.; Coleman, D.A. Pharmacological and psychological effects of caffeine ingestion in 40-km cycling performance. Med. Sci. Sports Exerc. 2008, 40, 158–165. [Google Scholar] [CrossRef] [PubMed]
- Duncan, M.J.; Lyons, M.; Hankey, J. Placebo effects of caffeine on short-term resistance exercise to failure. Int. J. Sports Physiol. Perform. 2009, 4, 244–253. [Google Scholar] [CrossRef] [PubMed]





| Participant | Leg Press (Response Based on LSD) | Shoulder Press (Response Based on LSD) | ||
|---|---|---|---|---|
| Placebo vs. Pouch | Placebo vs. Gum | Placebo vs. Pouch | Placebo vs. Gum | |
| 1 | − | − | NC | NC |
| 2 | − | − | + | NC |
| 3 | + | NC | − | NC |
| 4 | NC | NC | NC | NC |
| 5 | + | + | + | NC |
| 6 | NC | NC | + | NC |
| 7 | + | + | − | NC |
| 8 | NC | + | NC | NC |
| 9 | NC | NC | NC | NC |
| 10 | NC | + | NC | NC |
| 11 | O | O | NC | + |
| 12 | + | NC | + | NC |
| 13 | + | + | + | + |
| 14 | + | NC | + | + |
| 15 | + | + | + | + |
| 16 | NC | NC | NC | NC |
| 17 | NC | − | NC | NC |
| 18 | + | NC | + | − |
| 19 | + | + | NC | NC |
Disclaimer/Publisher’s Note: The statements, opinions and data contained in all publications are solely those of the individual author(s) and contributor(s) and not of MDPI and/or the editor(s). MDPI and/or the editor(s) disclaim responsibility for any injury to people or property resulting from any ideas, methods, instructions or products referred to in the content. |
© 2026 by the authors. Licensee MDPI, Basel, Switzerland. This article is an open access article distributed under the terms and conditions of the Creative Commons Attribution (CC BY) license.
Share and Cite
Hulton, A.T.; Staines, I.; Clark, O.; Subramaniam, A.; Green, J.M. The Effect of Novel Low-Dose Caffeine Products on Physical Performance. Nutrients 2026, 18, 791. https://doi.org/10.3390/nu18050791
Hulton AT, Staines I, Clark O, Subramaniam A, Green JM. The Effect of Novel Low-Dose Caffeine Products on Physical Performance. Nutrients. 2026; 18(5):791. https://doi.org/10.3390/nu18050791
Chicago/Turabian StyleHulton, Andrew Thomas, Isobel Staines, Oscar Clark, Arun Subramaniam, and James Matt Green. 2026. "The Effect of Novel Low-Dose Caffeine Products on Physical Performance" Nutrients 18, no. 5: 791. https://doi.org/10.3390/nu18050791
APA StyleHulton, A. T., Staines, I., Clark, O., Subramaniam, A., & Green, J. M. (2026). The Effect of Novel Low-Dose Caffeine Products on Physical Performance. Nutrients, 18(5), 791. https://doi.org/10.3390/nu18050791

