The Relationship Between Fiber Intake and Gut Bacterial Diversity and Composition During the Third Trimester of Pregnancy
Abstract
1. Introduction
2. Methods
2.1. Study Population and Demographics
2.2. Dietary Assessment and Data Collection
2.3. DNA Extraction and Gene Sequencing
2.4. Sequencing Data Processing
2.5. Butyrate Production Gene Measurement
2.6. Statistical Analysis
3. Results
3.1. Participant Demographics
3.2. Pregnancy Dietary Fiber Intake
3.3. Pregnancy Vegetable Intake
3.4. Diversity of the Pregnancy Gut Microbiota
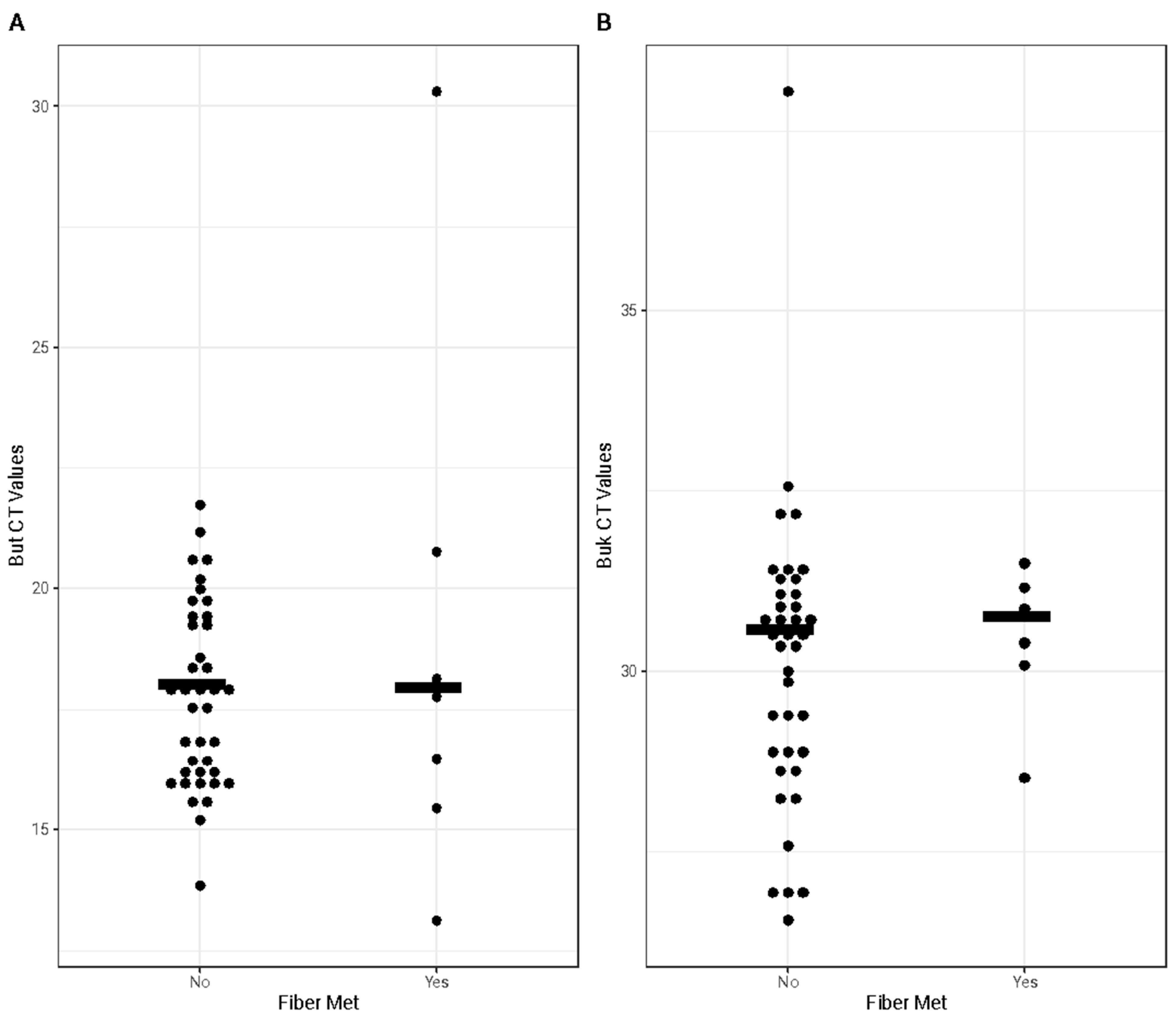
3.5. Butyrate Production Capacity of the Maternal Gut Microbiota
4. Discussion
Study Strengths and Limitations
5. Conclusions
Supplementary Materials
Author Contributions
Funding
Institutional Review Board Statement
Informed Consent Statement
Data Availability Statement
Acknowledgments
Conflicts of Interest
References
- Röytiö, H.; Mokkala, K.; Vahlberg, T.; Laitinen, K. Dietary Intake of Fat and Fibre According to Reference Values Relates to Higher Gut Microbiota Richness in Overweight Pregnant Women. Br. J. Nutr. 2017, 118, 343–352. [Google Scholar] [CrossRef] [PubMed]
- Schmidt, K.M.; Haddad, E.N.; Sugino, K.Y.; Vevang, K.R.; Peterson, L.A.; Koratkar, R.; Gross, M.D.; Kerver, J.M.; Comstock, S.S. Dietary and Plasma Carotenoids Are Positively Associated with Alpha Diversity in the Fecal Microbiota of Pregnant Women. J. Food Sci. 2021, 86, 602–613. [Google Scholar] [CrossRef]
- Anderson, J.W.; Baird, P.; Davis, R.H.; Ferreri, S.; Knudtson, M.; Koraym, A.; Waters, V.; Williams, C.L. Health Benefits of Dietary Fiber. Nutr. Rev. 2009, 67, 188–205. [Google Scholar] [CrossRef] [PubMed]
- Gill, S.K.; Rossi, M.; Bajka, B.; Whelan, K. Dietary Fibre in Gastrointestinal Health and Disease. Nat. Rev. Gastroenterol. Hepatol. 2021, 18, 101–116. [Google Scholar] [CrossRef] [PubMed]
- Qi, X.; Li, Y.; Fang, C.; Jia, Y.; Chen, M.; Chen, X.; Jia, J. The Associations between Dietary Fibers Intake and Systemic Immune and Inflammatory Biomarkers, a Multi-Cycle Study of NHANES 2015–2020. Front. Nutr. 2023, 10, 1216445. [Google Scholar] [CrossRef]
- Zerfu, T.A.; Mekuria, A. Pregnant Women Have Inadequate Fiber Intake While Consuming Fiber-rich Diets in Low-income Rural Setting: Evidences from Analysis of Common “Ready-to-eat” Stable Foods. Food Sci. Nutr. 2019, 7, 3286–3292. [Google Scholar] [CrossRef]
- Qiu, C.; Coughlin, K.B.; Frederick, I.O.; Sorensen, T.K.; Williams, M.A. Dietary Fiber Intake in Early Pregnancy and Risk of Subsequent Preeclampsia. Am. J. Hypertens. 2008, 21, 903–909. [Google Scholar] [CrossRef] [PubMed]
- Miyake, K.; Horiuchi, S.; Shinohara, R.; Kushima, M.; Otawa, S.; Yui, H.; Akiyama, Y.; Ooka, T.; Kojima, R.; Yokomichi, H.; et al. Maternal Dietary Fiber Intake during Pregnancy and Child Development: The Japan Environment and Children’s Study. Front. Nutr. 2023, 10, 1203669. [Google Scholar] [CrossRef] [PubMed]
- Bailey, R.L.; Pac, S.G.; Fulgoni, V.L.; Reidy, K.C.; Catalano, P.M. Estimation of Total Usual Dietary Intakes of Pregnant Women in the United States. JAMA Netw. Open 2019, 2, e195967. [Google Scholar] [CrossRef] [PubMed]
- Pretorius, R.A.; Palmer, D.J. High-Fiber Diet during Pregnancy Characterized by More Fruit and Vegetable Consumption. Nutrients 2020, 13, 35. [Google Scholar] [CrossRef] [PubMed]
- Arslanian, K.J.; Fidow, U.T.; Atanoa, T.; Naseri, T.; Duckham, R.L.; McGarvey, S.T.; Choy, C.; Hawley, N.L. Effect of Maternal Nutrient Intake during 31–37 Weeks Gestation on Offspring Body Composition in Samoa. Ann. Hum. Biol. 2020, 47, 587–596. [Google Scholar] [CrossRef] [PubMed]
- Dietary Guidelines for Americans, 2020–2025. 9th Edition. 2020. Available online: https://dietaryguidelines.gov/sites/default/files/2021-03/Dietary_Guidelines_for_Americans_2020-2025.pdf (accessed on 18 March 2023).
- Moshfegh, A.; Goldman, J.; Cleveland, L. WHAT WE Eat IN AMERICA, NHANES 2001–2002: Usual Nutrient Intake from Food Compared to Dietary Reference Intakes. 2005. Available online: https://www.ars.usda.gov/ARSUserFiles/80400530/pdf/0102/usualintaketables2001-02.pdf (accessed on 21 January 2025).
- El Habbal, N.; Filatava, E.J.; Overton, N.E.; Gregas, M.; Gregory, K.E. Pregnancy-Specific Dietary Guidelines for Americans Are Not Met: Findings from a Pilot Study. Reprod. Female Child. Health 2023, 2, 253–257. [Google Scholar] [CrossRef]
- Filatava, E.J.; Overton, N.E.; El Habbal, N.; Capotosto, M.P.; Gregas, M.; Gregory, K.E. Women Who Give Birth Preterm Do Not Meet Dietary Guidelines During Pregnancy. MCN Am. J. Matern./Child. Nurs. 2024, 49, 44. [Google Scholar] [CrossRef]
- Ruebel, M.L.; Gilley, S.P.; Sims, C.R.; Zhong, Y.; Turner, D.; Chintapalli, S.V.; Piccolo, B.D.; Andres, A.; Shankar, K. Associations between Maternal Diet, Body Composition and Gut Microbial Ecology in Pregnancy. Nutrients 2021, 13, 3295. [Google Scholar] [CrossRef]
- Barrett, H.L.; Gomez-Arango, L.F.; Wilkinson, S.A.; McIntyre, H.D.; Callaway, L.K.; Morrison, M.; Dekker Nitert, M. A Vegetarian Diet Is a Major Determinant of Gut Microbiota Composition in Early Pregnancy. Nutrients 2018, 10, 890. [Google Scholar] [CrossRef] [PubMed]
- Gomez-Arango, L.F.; Barrett, H.L.; Wilkinson, S.A.; Callaway, L.K.; McIntyre, H.D.; Morrison, M.; Dekker Nitert, M. Low Dietary Fiber Intake Increases Collinsella Abundance in the Gut Microbiota of Overweight and Obese Pregnant Women. Gut Microbes 2018, 9, 189–201. [Google Scholar] [CrossRef]
- Vital, M.; Penton, C.R.; Wang, Q.; Young, V.B.; Antonopoulos, D.A.; Sogin, M.L.; Morrison, H.G.; Raffals, L.; Chang, E.B.; Huffnagle, G.B.; et al. A Gene-Targeted Approach to Investigate the Intestinal Butyrate-Producing Bacterial Community. Microbiome 2013, 1, 8. [Google Scholar] [CrossRef]
- Matt, S.M.; Allen, J.M.; Lawson, M.A.; Mailing, L.J.; Woods, J.A.; Johnson, R.W. Butyrate and Dietary Soluble Fiber Improve Neuroinflammation Associated with Aging in Mice. Front. Immunol. 2018, 9, 1832. [Google Scholar] [CrossRef] [PubMed]
- Canani, R.B.; Costanzo, M.D.; Leone, L.; Pedata, M.; Meli, R.; Calignano, A. Potential Beneficial Effects of Butyrate in Intestinal and Extraintestinal Diseases. World J. Gastroenterol. 2011, 17, 1519–1528. [Google Scholar] [CrossRef]
- Hamilton, C.M.; Strader, L.C.; Pratt, J.G.; Maiese, D.; Hendershot, T.; Kwok, R.K.; Hammond, J.A.; Huggins, W.; Jackman, D.; Pan, H.; et al. The PhenX Toolkit: Get the Most from Your Measures. Am. J. Epidemiol. 2011, 174, 253–260. [Google Scholar] [CrossRef] [PubMed]
- PhenX Toolkit. Fiber Intake. Available online: https://www.Phenxtoolkit.Org/Protocols/View/50601 (accessed on 21 January 2025).
- Haddad, E.N.; Comstock, S.S. Archive for Research in Child Health (ARCH) and Baby Gut: Study Protocol for a Remote, Prospective, Longitudinal Pregnancy and Birth Cohort to Address Microbiota Development and Child Health. Methods Protoc. 2021, 4, 52. [Google Scholar] [CrossRef] [PubMed]
- Sugino, K.Y.; Paneth, N.; Comstock, S.S. Michigan Cohorts to Determine Associations of Maternal Pre-Pregnancy Body Mass Index with Pregnancy and Infant Gastrointestinal Microbial Communities: Late Pregnancy and Early Infancy. PLoS ONE 2019, 14, e0213733. [Google Scholar] [CrossRef] [PubMed]
- Kozich, J.J.; Westcott, S.L.; Baxter, N.T.; Highlander, S.K.; Schloss, P.D. Development of a Dual-Index Sequencing Strategy and Curation Pipeline for Analyzing Amplicon Sequence Data on the MiSeq Illumina Sequencing Platform. Appl. Environ. Microbiol. 2013, 79, 5112–5120. [Google Scholar] [CrossRef]
- Schloss, P.D.; Westcott, S.L.; Ryabin, T.; Hall, J.R.; Hartmann, M.; Hollister, E.B.; Lesniewski, R.A.; Oakley, B.B.; Parks, D.H.; Robinson, C.J.; et al. Introducing Mothur: Open-Source, Platform-Independent, Community-Supported Software for Describing and Comparing Microbial Communities. Appl. Environ. Microbiol. 2009, 75, 7537–7541. [Google Scholar] [CrossRef] [PubMed]
- Kinney, G.A.; Haddad, E.N.; Garrow, L.S.; Ng, P.K.W.; Comstock, S.S. An Intervention with Michigan-Grown Wheat in Healthy Adult Humans to Determine Effect on Gut Microbiota: Protocol for a Crossover Trial. JMIR Res. Protoc. 2021, 10, e29046. [Google Scholar] [CrossRef]
- Arumugam, M.; Raes, J.; Pelletier, E.; Le Paslier, D.; Yamada, T.; Mende, D.R.; Fernandes, G.R.; Tap, J.; Bruls, T.; Batto, J.-M.; et al. Enterotypes of the Human Gut Microbiome. Nature 2011, 473, 174–180. [Google Scholar] [CrossRef] [PubMed]
- Herman, A.; Taylor, M.; Hull, H. Differences in Gut Microbiota Following a High-Fiber Diet During Pregnancy. Curr. Dev. Nutr. 2020, 4, nzaa062_019. [Google Scholar] [CrossRef]
- Ferrocino, I.; Ponzo, V.; Gambino, R.; Zarovska, A.; Leone, F.; Monzeglio, C.; Goitre, I.; Rosato, R.; Romano, A.; Grassi, G.; et al. Changes in the Gut Microbiota Composition during Pregnancy in Patients with Gestational Diabetes Mellitus (GDM). Sci. Rep. 2018, 8, 12216. [Google Scholar] [CrossRef] [PubMed]
- Kunasegaran, T.; Balasubramaniam, V.R.M.T.; Arasoo, V.J.T.; Palanisamy, U.D.; Ramadas, A. Diet Gut Microbiota Axis in Pregnancy: A Systematic Review of Recent Evidence. Curr. Nutr. Rep. 2023, 12, 203–214. [Google Scholar] [CrossRef]
- Gryaznova, M.; Smirnova, Y.; Burakova, I.; Morozova, P.; Lagutina, S.; Chizhkov, P.; Korneeva, O.; Syromyatnikov, M. Fecal Microbiota Characteristics in Constipation-Predominant and Mixed-Type Irritable Bowel Syndrome. Microorganisms 2024, 12, 1414. [Google Scholar] [CrossRef] [PubMed]
- Astbury, S.; Atallah, E.; Vijay, A.; Aithal, G.P.; Grove, J.I.; Valdes, A.M. Lower Gut Microbiome Diversity and Higher Abundance of Proinflammatory Genus Collinsella Are Associated with Biopsy-Proven Nonalcoholic Steatohepatitis. Gut Microbes 2020, 11, 569–580. [Google Scholar] [CrossRef] [PubMed]
- Bull, M.J.; Plummer, N.T. Part 1: The Human Gut Microbiome in Health and Disease. Integr. Med. 2014, 13, 17–22. [Google Scholar]
- Larsen, J.M. The Immune Response to Prevotella Bacteria in Chronic Inflammatory Disease. Immunology 2017, 151, 363–374. [Google Scholar] [CrossRef] [PubMed]
- Sang, J.; Zhuang, D.; Zhang, T.; Wu, Q.; Yu, J.; Zhang, Z. Convergent and Divergent Age Patterning of Gut Microbiota Diversity in Humans and Nonhuman Primates. mSystems 2022, 7, e01512-21. [Google Scholar] [CrossRef] [PubMed]
- Li, W.; Li, L.; Yang, F.; Hu, Q.; Xiong, D. Correlation between Gut Bacteria Phascolarctobacterium and Exogenous Metabolite α-Linolenic Acid in T2DM: A Case-Control Study. Ann. Transl. Med. 2022, 10, 1056. [Google Scholar] [CrossRef] [PubMed]
- Kable, M.E.; Chin, E.L.; Storms, D.; Lemay, D.G.; Stephensen, C.B. Tree-Based Analysis of Dietary Diversity Captures Associations Between Fiber Intake and Gut Microbiota Composition in a Healthy US Adult Cohort. J. Nutr. 2022, 152, 779–788. [Google Scholar] [CrossRef] [PubMed]
- Oliver, A.; Xue, Z.; Villanueva, Y.T.; Durbin-Johnson, B.; Alkan, Z.; Taft, D.H.; Liu, J.; Korf, I.; Laugero, K.D.; Stephensen, C.B.; et al. Association of Diet and Antimicrobial Resistance in Healthy U.S. Adults. mBio 2022, 13, e00101-22. [Google Scholar] [CrossRef]
- Bourassa, M.W.; Alim, I.; Bultman, S.J.; Ratan, R.R. Butyrate, Neuroepigenetics and the Gut Microbiome: Can a High Fiber Diet Improve Brain Health? Neurosci. Lett. 2016, 625, 56–63. [Google Scholar] [CrossRef] [PubMed]
- Scott, J.; Hauspurg, A.; Muldoon, M.F.; Davis, E.M.; Catov, J.M. Neighborhood Deprivation, Perceived Stress, and Pregnancy-Related Hypertension Phenotypes a Decade Following Pregnancy. Am. J. Hypertens. 2024, 37, 220–229. [Google Scholar] [CrossRef] [PubMed]
- Nelson, K.; Jackson, A.M.; Nguyen, C.J.; Noonan, C.; Muller, C.; MacLehose, R.F.; Manson, S.M.; Dillard, D.A.; Buchwald, D. Food Insecurity in Urban American Indian and Alaska Native Populations during the COVID-19 Pandemic. BMC Public Health 2024, 24, 903. [Google Scholar] [CrossRef]





| Participant Characteristic | Met Recommendation (n = 8) | Did Not Meet Recommendation (n = 44) | p-Value | |
|---|---|---|---|---|
| Age (years) | Mean (SD) (overall) | 31.4 (5.1) | ||
| 18–27 (n = 10) | 25% (2) | 18% (8) | 0.07 | |
| 28–37 (n = 38) | 50% (4) | 77% (34) | ||
| 38–47 (n = 3) | 12.5% (1) | 4.5% (2) | ||
| 48–57 (n = 1) | 12.5% (1) | 0% (0) | ||
| BMI Category a | Mean (SD) (overall) | 27.28 (7.28) | ||
| Normal (n = 25) | 33% (2) | 55% (23) | 0.53 | |
| Overweight (n = 9) | 33% (2) | 28% (7) | ||
| Obese (n = 13) | 33% (2) | 17% (12) | ||
| Race b | ||||
| White (n = 41) | 67% (4) | 92.5% (37) | 0.02 * | |
| Black (n = 3) | 33% (2) | 2.5% (1) | ||
| Other (n = 2) | 0% (0) | 5% (2) | ||
| Ever Smoked c | ||||
| Yes (n = 8) | 0% (0) | 21% (8) | 0.52 | |
| No (n = 37) | 100% (6) | 79% (31) | ||
| Annual Household Income a | ||||
| <USD 50,000 (n = 28) | 50% (3) | 59.5% (25) | 0.49 | |
| USD 50,000–USD 75,000 (n = 7) | 0% (0) | 16.6% (7) | ||
| USD 75,000–USD 100,000 (n = 9) | 33% (2) | 16.6% (7) | ||
| >USD 100,000 (n = 4) | 17% (1) | 7% (3) | ||
| Education | ||||
| Did not finish high school (n = 1) | 0% (0) | 2% (1) | 0.47 | |
| High school graduate or GED (n = 7) | 25% (2) | 11% (5) | ||
| Some college, associate degree, or trade school (n = 17) | 12.5% (1) | 36% (16) | ||
| Bachelor’s degree or more (n = 27) | 62.5% (5) | 50% (22) | ||
Disclaimer/Publisher’s Note: The statements, opinions and data contained in all publications are solely those of the individual author(s) and contributor(s) and not of MDPI and/or the editor(s). MDPI and/or the editor(s) disclaim responsibility for any injury to people or property resulting from any ideas, methods, instructions or products referred to in the content. |
© 2025 by the authors. Licensee MDPI, Basel, Switzerland. This article is an open access article distributed under the terms and conditions of the Creative Commons Attribution (CC BY) license (https://creativecommons.org/licenses/by/4.0/).
Share and Cite
Schwartz, L.T.; Ladouceur, J.G.; Russell, M.M.; Xie, S.Y.L.; Bu, S.; Kerver, J.M.; Comstock, S.S. The Relationship Between Fiber Intake and Gut Bacterial Diversity and Composition During the Third Trimester of Pregnancy. Nutrients 2025, 17, 773. https://doi.org/10.3390/nu17050773
Schwartz LT, Ladouceur JG, Russell MM, Xie SYL, Bu S, Kerver JM, Comstock SS. The Relationship Between Fiber Intake and Gut Bacterial Diversity and Composition During the Third Trimester of Pregnancy. Nutrients. 2025; 17(5):773. https://doi.org/10.3390/nu17050773
Chicago/Turabian StyleSchwartz, Lindsay T., Jillian G. Ladouceur, Madeleine M. Russell, Shiyi Y. L. Xie, Sihan Bu, Jean M. Kerver, and Sarah S. Comstock. 2025. "The Relationship Between Fiber Intake and Gut Bacterial Diversity and Composition During the Third Trimester of Pregnancy" Nutrients 17, no. 5: 773. https://doi.org/10.3390/nu17050773
APA StyleSchwartz, L. T., Ladouceur, J. G., Russell, M. M., Xie, S. Y. L., Bu, S., Kerver, J. M., & Comstock, S. S. (2025). The Relationship Between Fiber Intake and Gut Bacterial Diversity and Composition During the Third Trimester of Pregnancy. Nutrients, 17(5), 773. https://doi.org/10.3390/nu17050773

