Efficacy and Satisfaction of a Chemically Characterized Malva sylvestris L. Extract-Based Food Supplement for Functional Constipation in Healthy Consumers: Preliminary Results of a Questionnaire-Based Survey
Abstract
1. Introduction
2. Materials and Methods
2.1. Food Supplement
2.2. Total Dietary Fiber Determination
2.3. UHPLC-HRMS Analysis of M. sylvestris Extract
2.3.1. Sample Preparation
2.3.2. UHPLC-HRMS Analysis
2.4. Evaluation of Efficacy and Tolerability
2.4.1. Survey Design
2.4.2. Primary and Secondary Objectives
2.5. Statistical Analysis
3. Results
3.1. Chemical Composition of M. sylvestris Extract
3.1.1. TDF Content
3.1.2. RP-UHPLC-MS Analysis
3.2. Survey Among Consumers on the Evaluation of Efficacy and Satisfaction of the Food Supplement
3.2.1. Primary and Secondary Objectives
3.2.2. Tolerance and Satisfaction Assessment
4. Discussion
5. Conclusions
Author Contributions
Funding
Institutional Review Board Statement
Informed Consent Statement
Data Availability Statement
Acknowledgments
Conflicts of Interest
References
- Vriesman, M.H.; Koppen, I.J.; Camilleri, M.; Di Lorenzo, C.; Benninga, M.A. Management of functional constipation in children and adults. Nat. Rev. Gastroenterol. Hepatol. 2020, 17, 21–39. [Google Scholar] [CrossRef] [PubMed]
- Pannemans, J.; Masuy, I.; Tack, J. Functional constipation: Individualising assessment and treatment. Drugs 2020, 80, 947–963. [Google Scholar] [CrossRef] [PubMed]
- Suares, N.C.; Ford, A.C. Prevalence of, and risk factors for, chronic idiopathic constipation in the community: Systematic review and meta-analysis. Am. J. Gastroenterol. 2011, 106, 1582–1591. [Google Scholar] [CrossRef] [PubMed]
- Arco, S.; Saldaña, E.; Serra-Prat, M.; Palomera, E.; Ribas, Y.; Font, S.; Clavé, P.; Mundet, L. Functional constipation in older adults: Prevalence, clinical symptoms and subtypes, association with frailty, and impact on quality of life. Gerontology 2022, 68, 397–406. [Google Scholar] [CrossRef]
- Shin, J.E.; Park, K.S.; Nam, K. Chronic functional constipation. Korean J. Gastroenterol. 2019, 73, 92–98. [Google Scholar] [CrossRef] [PubMed]
- Rao, S.S.C.; Yu, S.; Fedewa, A. Systematic review: Dietary fibre and FODMAP-restricted diet in the management of constipation and irritable bowel syndrome. Aliment. Pharmacol. Ther. 2015, 41, 1256–1270. [Google Scholar] [CrossRef] [PubMed]
- Suares, N.C.; Ford, A.C. Systematic review: The effects of fibre in the management of chronic idiopathic constipation. Aliment. Pharmacol. Ther. 2011, 33, 895–901. [Google Scholar] [CrossRef]
- Ashraf, W.; Park, F.; Lof, J.; Quigley, E.M.M. Effects of psyllium therapy on stool characteristics, colon transit and anorectal function in chronic idiopathic constipation. Aliment. Pharmacol. Ther. 1995, 9, 639–647. [Google Scholar] [CrossRef] [PubMed]
- Liu, T.; Asif, I.M.; Bai, C.; Huang, Y.; Li, B.; Wang, L. The effectiveness and safety of natural food and food-derived extract supplements for treating functional gastrointestinal disorders—Current perspectives. Nutr. Rev. 2024, nuae047, online ahead of print. [Google Scholar] [CrossRef] [PubMed]
- Henry, A.G.; Piperno, D.R. Using plant microfossils from dental calculus to recover human diet: A case study from Tell al-Raqā’i, Syria. J. Archaeol. Sci. 2008, 35, 1943–1950. [Google Scholar] [CrossRef]
- Gasparetto, J.C.; Martins, C.A.F.; Hayashi, S.S.; Otuky, M.F.; Pontarolo, R. Ethnobotanical and scientific aspects of Malva sylvestris L.: A millennial herbal medicine. J. Pharm. Pharmacol. 2012, 64, 172–189. [Google Scholar] [CrossRef] [PubMed]
- Sleiman, N.H.; Daher, C.F. Malva sylvestris water extract: A potential anti-inflammatory and anti-ulcerogenic remedy. Planta Med. 2009, 75, PH10. [Google Scholar] [CrossRef]
- Franova, S.; Nosalova, G.; Mokry, J. Phytotherapy of cough. Adv. Phytomed. 2006, 2, 111–131. [Google Scholar]
- Karawya, M.S.; Balbaa, S.I.; Afifi, M.S.A. Investigation of the carbohydrate contents of certain mucilaginous plants. Planta Med. 1971, 20, 14–23. [Google Scholar] [CrossRef] [PubMed]
- Classen, B.; Blaschek, W. High molecular weight acidic polysaccharides from Malva sylvestris and Alcea rosea. Planta Med. 1998, 64, 640–644. [Google Scholar] [CrossRef]
- Hiçsönmez, Ü.; Ereeş, F.S.; Özdemir, C.; Özdemir, A.; Cam, S. Determination of major and minor elements in the Malva sylvestris L. from Turkey using ICP-OES techniques. Biol. Trace Elem. Res. 2009, 128, 248–257. [Google Scholar] [CrossRef] [PubMed]
- Katapodis, P.; Kavarnou, A.; Kintzios, S.; Pistola, E.; Kekos, D.; Macris, B.J.; Christakopoulos, P. Production of acidic xylo-oligosaccharides by a family 10 endoxylanase from Thermoascus aurantiacus and use as plant growth regulators. Biotechnol. Lett. 2002, 24, 1413–1416. [Google Scholar] [CrossRef]
- Barros, L.; Carvalho, A.M.; Ferreira, I.C. Leaves, flowers, immature fruits and leafy flowered stems of Malva sylvestris: A comparative study of the nutraceutical potential and composition. Food Chem. Toxicol. 2010, 48, 1466–1472. [Google Scholar] [CrossRef] [PubMed]
- McRorie, J.; Zorich, N.; Riccardi, K.; Bishop, L.; Filloon, T.; Wason, S.; Giannella, R. Effects of olestra and sorbitol consumption on objective measures of diarrhea: Impact of stool viscosity on common gastrointestinal symptoms. Regul. Toxicol. Pharmacol. 2000, 31, 59–67. [Google Scholar] [CrossRef] [PubMed]
- CFR—Code of Federal Regulations Title 21. Available online: https://www.accessdata.fda.gov/scripts/cdrh/cfdocs/cfcfr/CFRSearch.cfm?fr=184.1835&SearchTerm=sorbitol (accessed on 13 November 2024).
- Megazyme Total Dietary Fiber. Available online: https://www.megazyme.com/total-dietary-fiber-assay-kit (accessed on 19 March 2024).
- Bonjoch, N.P.; Tamayo, P.R. Protein content quantification by bradford method. In Handbook of Plant Ecophysiology Techniques; Roger, M.J.R., Ed.; Springer: Dordrecht, The Netherlands, 2001; pp. 283–295. [Google Scholar]
- VigiErbe. Available online: www.vigierbe.it (accessed on 15 November 2024).
- R Core Team, R. A Language and Environment for Statistical Computing; R Foundation for Statistical Computing: Vienna, Austria, 2020; Available online: http://www.r-project.org/index.html (accessed on 13 September 2024).
- Bates, D.; Maechler, M.; Bolker, B.; Walker, S. Fitting linear mixed-effects models using lme4. J. Stat. Softw. 2015, 67, 1–48. [Google Scholar] [CrossRef]
- Sumner, L.W.; Amberg, A.; Barrett, D.; Beale, M.H.; Beger, R.; Daykin, C.A.; Fan, T.W.M.; Fiehn, O.; Goodacre, R.; Griffin, J.L.; et al. Proposed minimum reporting standards for chemical analysis: Chemical analysis working group (CAWG) metabolomics standards initiative (MSI). Metabolomics 2007, 3, 211–221. [Google Scholar] [CrossRef]
- Calvert, M.; Blazeby, J.; Altman, D.G.; Revicki, D.A.; Moher, D.; Brundage, M.D.; CONSORT PRO Group. Reporting of patient-reported outcomes in randomized trials: The CONSORT PRO extension. JAMA 2013, 309, 814–822. [Google Scholar] [CrossRef]
- Katsirma, Z.; Dimidi, E.; Rodriguez-Mateos, A.; Whelan, K. Fruits and their impact on the gut microbiota, gut motility and constipation. Food Funct. 2021, 12, 8850–8866. [Google Scholar] [CrossRef] [PubMed]
- Mousavi, S.M.; Hashemi, S.A.; Behbudi, G.; Mazraedoost, S.; Omidifar, N.; Gholami, A.; Chiang, W.H.; Babapoor, A.; Pynadathu Rumjit, N. A review on health benefits of Malva sylvestris L. nutritional compounds for metabolites, antioxidants, and anti-inflammatory, anticancer, and antimicrobial applications. Evid.-Based Complement. Altern. Med. 2021, 2021, 5548404. [Google Scholar] [CrossRef]
- Sharifi-Rad, J.; Melgar-Lalanne, G.; Hernández-Álvarez, A.J.; Taheri, Y.; Shaheen, S.; Kregiel, D.; Antolak, H.; Pawlikowska, E.; Brdar-Jokanović, M.; Rajkovic, J.; et al. Malva species: Insights on its chemical composition towards pharmacological applications. Phytother. Res. 2020, 34, 546–567. [Google Scholar] [CrossRef] [PubMed]
- Sari, Y.P.; Candraruna, D.B. The Potential of Polysaccharides from Various Plants as Constipation Treatment. J. Appl. Food Technol. 2023, 10, 48–57. [Google Scholar] [CrossRef]
- Islambulchilar, M. Thirst-quenching and mucilage-containing herbs in Persian Medicine: New perspectives on old practice. Adv. Integr. Med. 2024. e-pub ahead of print. [Google Scholar] [CrossRef]
- Yang, Y.; Gupta, V.K.; Du, Y.; Aghbashlo, M.; Show, P.L.; Pan, J.; Tabatabaei, M.; Rajaei, A. Potential application of polysaccharide mucilages as a substitute for emulsifiers: A review. Int. J. Biol. Macromol. 2023, 242, 124800. [Google Scholar] [CrossRef] [PubMed]
- Chen, Y.; Ding, Z.; Wu, Y.; Chen, Q.; Liu, M.; Yu, H.; Wang, D.; Zhang, Y.; Wang, T. Effects of Allium mongolicum Regel and its flavonoids on constipation. Biomolecules 2019, 10, 14. [Google Scholar] [CrossRef]
- Zhou, P.; Wang, X.; Sun, M.; Yan, S. Effects of natural products on functional constipation: Analysis of active ingredient and mechanism. Naunyn Schmiedebergs Arch. Pharmacol. 2024, 397, 2083–2103. [Google Scholar] [CrossRef]
- Kim, J.E.; Choi, Y.J.; Lee, S.J.; Gong, J.E.; Lee, Y.J.; Sung, J.E.; Jung, Y.S.; Lee, H.S.; Hong, J.T.; Hwang, D.Y. Antioxidant activity and laxative effects of tannin-enriched extract of Ecklonia cava in loperamide-induced constipation of SD rats. PLoS ONE 2021, 16, e0246363. [Google Scholar] [CrossRef] [PubMed]
- Wang, J.; Kong, W.; Liu, M.; Wang, Y.; Zheng, Y.; Zhou, Y. Association between dietary carotenoids intake and chronic constipation in American men and women adults: A cross-sectional study. BMC Public Health 2023, 23, 1597. [Google Scholar] [CrossRef] [PubMed]
- Sun, W.; Wang, Y.; Han, L.; Liu, Y.; Liu, H.; Tong, Y.; Jiang, Z.; Sun, D.; Xu, C. Association between different composite dietary antioxidant indexes and constipation in American male adults: A cross-sectional study. Front. Nutr. 2024, 11, 1404400. [Google Scholar]
- Wei, S.; Yu, S.; Lan, Y.; Jia, Y. Association between the composite dietary antioxidant index and constipation: Evidence from NHANES 2005–2010. PLoS ONE 2024, 19, e0311168. [Google Scholar] [CrossRef] [PubMed]
- Rollet, M.; Bohn, T.; Vahid, F.; ORISCAV Working Group. Association between dietary factors and constipation in adults living in Luxembourg and taking part in the ORISCAV-LUX 2 survey. Nutrients 2021, 14, 122. [Google Scholar] [CrossRef]
- Renny, A.; Snape Jr, W.J.; Sun, E.A.; London, R.; Cohen, S. Role of cholecystokinin in the gastrocolonic response to a fat meal. Gastroenterology 1983, 85, 17–21. [Google Scholar] [CrossRef] [PubMed]
- Soltanian, N.; Janghorbani, M. A randomized trial of the effects of flaxseed to manage constipation, weight, glycemia, and lipids in constipated patients with type 2 diabetes. Nutr. Metab. 2018, 15, 36. [Google Scholar] [CrossRef]
- Ramos, C.I.; de Lima, A.F.A.; Grilli, D.G.; Cuppari, L. The short-term effects of olive oil and flaxseed oil for the treatment of constipation in hemodialysis patients. J. Ren. Nutr. 2015, 25, 50–56. [Google Scholar] [CrossRef]
- Mukai, R. High-fat diet and constipation. Free Radic. Biol. Med. 2018, 120, S134–S135. [Google Scholar] [CrossRef]
- Elsagh, M.; Fartookzadeh, M.R.; Kamalinejad, M.; Anushiravani, M.; Feizi, A.; Behbahani, F.A.; Rafiei, R.; Arjmandpour, A.; Adibi, P. Efficacy of the Malva sylvestris L. flowers aqueous extract for functional constipation: A placebo-controlled trial. Complement. Ther. Clin. Pract. 2015, 21, 105–111. [Google Scholar] [CrossRef] [PubMed]
- Esteves, P.F.; Sato, A.; Esquibel, M.A.; de Campos-Buzzi, F.; Meira, A.V.; Cechinel-Filho, V. Antinociceptive activity of Malva sylvestris L. Lat. Am. J. Pharm. 2009, 28, 454–456. [Google Scholar]
- Hamedi, A.; Rezaei, H.; Azarpira, N.; Jafarpour, M.; Ahmadi, F. Effects of Malva sylvestris and its isolated polysaccharide on experimental ulcerative colitis in rats. J. Evid. Based Complement. Altern. Med. 2016, 21, 14–22. [Google Scholar] [CrossRef]



| Peak | Rt | Compound | [M-H]− | MS/MS | Molecular Formula | Error (ppm) |
|---|---|---|---|---|---|---|
| 1 | 0.78 | Malic acid | 133.05 | 115.0035; 71.0137 | C4H6O5 | 4.3 |
| 2 | 4.35 | Gallic acid | 169.0142 | 125.0244; 79 | C7H6O5 | 5.8 |
| 3 | 4.81 | Vanillin (4-methoxybenzoic acid) | 151.0401 | 136.0163; 107.0501 | C8H8O3 | 6.06 |
| 4 | 5.33 | Caffeic acid | 179.0346 | 135.0449; 134.0375 | C9H8O4 | 4.2 |
| 5 | 5.53 | Rosmarinic acid | 359.0772 | 135.0452 | C18H16O8 | 0.67 |
| 6 | 6.2 | Vicenin 2 | 593.1505 | 353.0660; 473.1084; 383.0766; 503.1191 | C27H30O15 | 0.7 |
| 7 | 6.26 | p-Coumaric acid | 163.0401 | 119.0502; 91.0555 | C9H8O3 | 0.8 |
| 8 | 6.36 | Myricetin-3-hexoside-glucuronide | 655.1152 | 479.0824; 316.0220 | C27H28O19 | −1.02 |
| 9 | 6.7 | Quercitrin | 447.0933 | 327.0507; 357.0609 | C21H20O11 | −0.67 |
| 10 | 7.07 | Apigenin-4′-O-β-glucopyranoside | 431.0984 | 269.0472; 311.0557; 341.0664 | C21H20O10 | −0.81 |
| 11 | 7.11 | 4-hydroxybenzoic acid | 137.0242 | 93.0344 | C7H6O3 | 2.3 |
| 12 | 7.53 | Azelaic acid | 187.0972 | 125.0970; 169.0869; 97.0657 | C9H16O4 | 0.8 |
| 13 | 7.85 | Gossypetin | 317.0303 | 299.0194; 271.0243; 194.9932 | C15H10O8 | 1.87 |
| 14 | 8.11 | Myricetin-3-O-glucuronide | 493.0616 | 317.0298 | C21H18O14 | 0.74 |
| 15 | 8.17 | Protocatechuic acid | 153.0193 | 109.0294 | C7H6O4 | 5.88 |
| 16 | 8.38 | Quercetin-3-O-glucuronide | 477.0675 | 301.035 | C21H18O13 | 0.98 |
| 17 | 8.47 | Rubone | 373.1293 | 343.1179; 340.0942; 311.0916; 355.1180 | C20H22O7 | 2.93 |
| 18 | 8.59 | Kaempferol-3-O-glucuronide (orluteolin) | 461.0725 | 285.0401 | C21H18O12 | 2.09 |
| 19 | 8.65 | Chysin | 253.0502 | 143.1028; 119.0815 | C15H10O4 | 1.69 |
| 20 | 8.65 | Fisetin | 285.0399 | 135.3614 | C15H10O6 | 1.94 |
| 21 | 8.89 | Quercetin | 301.0354 | 178.9985; 151.0033 | C15H10O7 | 2.31 |
| 22 | 9.19 | Luteolin | 285.0402 | 151 | C15H10O6 | 2.26 |
| 23 | 9.57 | Kaempferide-3-glucuronide | 475.0898 | 299.0558; 284.0320 | C22H20O12 | 5.77 |
| 24 | 9.59 | Naringenin | 270.95 | 151.0034; 119.0503; 107.0135 | C15H12O5 | 2.66 |
| 25 | 9.73 | Hesperetin | 301.0718 | 151.0036; 178.9983 | C16H14O6 | 2.81 |
| 26 | 9.99 | Apigenin/Genistein | 269.0455 | 149.0242; 117.0363 | C15H10O5 | 2.66 |
| 27 | 9.99 | 9,12,13-trihydroxy-octadecadienoic acid | 327.2172 | 211.1336; 229.1442; 171.1025 | C18H32O5 | 1.91 |
| 28 | 10.07 | Kaempferol | 285.0401 | 257.0454; 217.2520; 151.0031 | C15H10O6 | 2.58 |
| 29 | 10.28 | Rhamnetin | 315.051 | 164.9829; 300.0273 | C16H12O7 | 2.41 |
| 30 | 10.52 | 9,12,13-trihydroxy-octadecenoic acid | 329.233 | 229.1444; 211.1339; 171.1025 | C18H34O5 | 2.19 |
| 31 | 10.94 | 1-O-palmitoylglyceride | 329.2697 | 229.1443; 211.1337; 171.1020 | C19H38O4 | 1.91 |
| 32 | 13.97 | 9-hydroxy-10(E),12(Z),15(Z)-octadecatrienoic acid | 293.2118 | 275.2013; 183.1389; 171.1025 | C18H30O3 | 0.98 |
| Peak | Rt | Compound | [M-H]+ | MS/MS | Molecular Formula | Error (ppm) |
|---|---|---|---|---|---|---|
| 1 | 6.2 | Vicenin 2 | 595.1641 | 379.0807; 409.0908; 325.0702; 457.1110 | C27H30O15 | −0.57 |
| 2 | 6.53 | N-(9-oxodecyl) acetamide | 214.1797 | 214.1798; 161.1321; 95.0853; 137.1322 | C12H23O2N | −1.47 |
| 3 | 6.83 | Loliolide | 197.1167 | 197.1169; 179.1063; 135.1165; 107.0853 | C11H16O3 | −0.34 |
| 4 | 8.35 | Quercetin-3-O-β-glucuronide (Miquelianin) | 479.0808 | 303.0493; 141.8239; 53.2160 | C21H18O13 | −0.73 |
| 5 | 8.53 | Quercetin-3-O-β-glucuronide (Miquelianin) | 479.0806 | 303.0493; 141.8239; 53.2160 | C21H18O13 | −0.73 |
| 6 | 8.6 | Kaempferol-3-O-glucuronide (orluteolin) | 463.0858 | 287.0544; 152.0563; 72.5275 | C21H18O12 | −0.8 |
| 7 | 10.89 | Dehydrophytosphingosine | 316.2839 | 60.0443; 280.2631; 316.2847 | C18H37O3N | −0.68 |
| 8 | 11.04 | Dehydrophytosphingosine | 316.2838 | 60.0443; 280.2631; 316.2847 | C18H37O3N | −0.81 |
| 9 | 11.46 | Phytosphingosine | 318.2994 | 60.0442; 282.2787; 318.2996 | C18H39O3N | −0.5 |
| 10 | 13.96 | Stearidonic acid | 277.2155 | 135.1166; 121.1010; 277.2161 | C19H28O2 | −0.66 |
| 11 | 15.01 | LPC (16:0) | 496.3388 | 184.0730; 104.1068; 478.3288 | C24H50O7NP | −2.79 |
| 12 | 15.6 | 1-O-linolenoyl glyceride | 353.2677 | 335.2576; 317.2469; 289.2525 | C21H36O4 | 0.35 |
| 13 | 17.94 | Oleamide | 282.2784 | 247.2416; 265.2520 | C18H35NO | −0.73 |
| 14 | 18.83 | Pheophorbide a | 593.2738 | 533.2534 | C35H36O5N4 | −2.31 |
| 15 | 19.19 | Pheophorbide a (isomer) | 593.274 | 533.2535 | C35H36O5N4 | −2.31 |
| 16 | 20.85 | Erucamide (13-cis-docosenamide) | 338.3408 | 303.3041; 321.3145 | C22H43ON | −2 |
| Characteristics | Values |
|---|---|
| Gender | |
| 12 |
| 44 |
| Age | |
| 58.1 ± 18.3 |
| 52.2 ± 17.5 |
| Ethnicity | Caucasian |
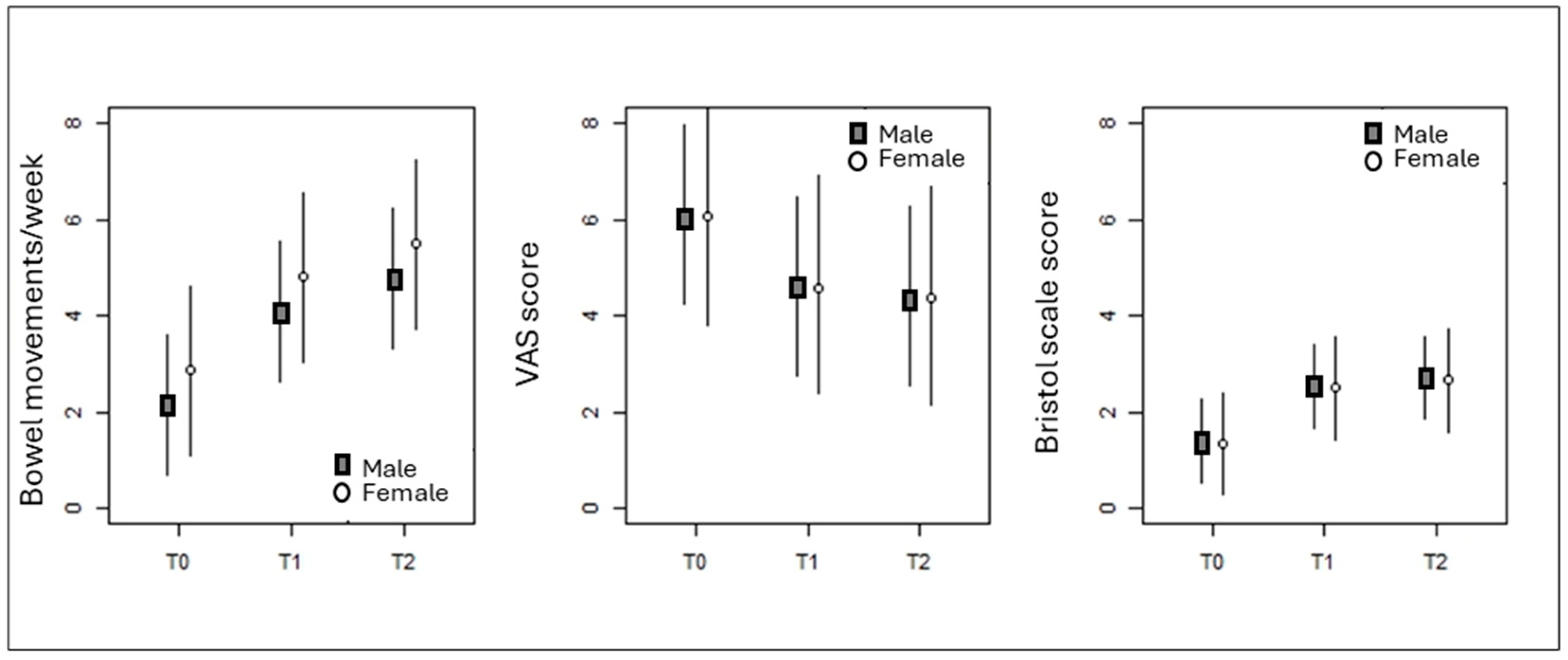
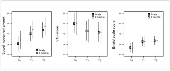
| Variable | Gender | T0 | T1 | T2 |
|---|---|---|---|---|
| Bowel movements per week | Male (n = 12) | 3.2 ± 1.9 (1–4) | 5.5 ± 2.6 (1–10) | 6 ± 2.5 (1–10) |
| Female (n = 44) | 2.6 ± 0.8 (1–4) | 4.5 ± 1.7 (1–7) | 5.2 ± 2.1 (1–11) | |
| VAS | Male (n = 12) | 4.2 ± 2.6 (0–8) | 2.3 ± 2.2 (0–8) | 2.3 ± 2.2 (0–8) |
| Female (n = 44) | 4.2 ± 2.7 (0–8) | 2.8 ± 2.1 (0–8) | 2.5 ± 1.9 (0–8) | |
| Bristol | Male (n = 12) | 2.2 ± 0.6 (1–3) | 3.2 ± 0.8 (2–4) | 3.2 ± 0.8 (2–4) |
| Female (n = 44) | 2.0 ± 1.1 (1–3) | 3.2 ± 1.2 (1–7) | 3.4 ± 1.2 (1–7) |
| Model | Gdl | F | p | ||
|---|---|---|---|---|---|
| EV/WK | Measurement | 2 | 110 | 94.149 | <0.001 |
| Sex | 1 | 53 | 1.873 | 0.18 | |
| Age | 1 | 53 | 0.459 | 0.50 | |
| VAS | Measurement | 2 | 110 | 43.743 | <0.001 |
| Sex | 1 | 53 | 0.001 | 0.98 | |
| Age | 1 | 53 | 4.402 | 0.04 | |
| Bristol | Measurement | 2 | 110 | 68.958 | <0.001 |
| Sex | 1 | 53 | 0.026 | 0.87 | |
| Age | 1 | 53 | 2.311 | 0.13 |
Disclaimer/Publisher’s Note: The statements, opinions and data contained in all publications are solely those of the individual author(s) and contributor(s) and not of MDPI and/or the editor(s). MDPI and/or the editor(s) disclaim responsibility for any injury to people or property resulting from any ideas, methods, instructions or products referred to in the content. |
© 2024 by the authors. Licensee MDPI, Basel, Switzerland. This article is an open access article distributed under the terms and conditions of the Creative Commons Attribution (CC BY) license (https://creativecommons.org/licenses/by/4.0/).
Share and Cite
Lellis, L.F.D.; Ullah, H.; Morone, M.V.; Buccato, D.G.; Baldi, A.; Minno, A.D.; Larsen, D.S.; Sacchi, R.; Daglia, M. Efficacy and Satisfaction of a Chemically Characterized Malva sylvestris L. Extract-Based Food Supplement for Functional Constipation in Healthy Consumers: Preliminary Results of a Questionnaire-Based Survey. Nutrients 2025, 17, 77. https://doi.org/10.3390/nu17010077
Lellis LFD, Ullah H, Morone MV, Buccato DG, Baldi A, Minno AD, Larsen DS, Sacchi R, Daglia M. Efficacy and Satisfaction of a Chemically Characterized Malva sylvestris L. Extract-Based Food Supplement for Functional Constipation in Healthy Consumers: Preliminary Results of a Questionnaire-Based Survey. Nutrients. 2025; 17(1):77. https://doi.org/10.3390/nu17010077
Chicago/Turabian StyleLellis, Lorenza Francesca De, Hammad Ullah, Maria Vittoria Morone, Daniele Giuseppe Buccato, Alessandra Baldi, Alessandro Di Minno, Danaé S. Larsen, Roberto Sacchi, and Maria Daglia. 2025. "Efficacy and Satisfaction of a Chemically Characterized Malva sylvestris L. Extract-Based Food Supplement for Functional Constipation in Healthy Consumers: Preliminary Results of a Questionnaire-Based Survey" Nutrients 17, no. 1: 77. https://doi.org/10.3390/nu17010077
APA StyleLellis, L. F. D., Ullah, H., Morone, M. V., Buccato, D. G., Baldi, A., Minno, A. D., Larsen, D. S., Sacchi, R., & Daglia, M. (2025). Efficacy and Satisfaction of a Chemically Characterized Malva sylvestris L. Extract-Based Food Supplement for Functional Constipation in Healthy Consumers: Preliminary Results of a Questionnaire-Based Survey. Nutrients, 17(1), 77. https://doi.org/10.3390/nu17010077

