Association of Serum Polyunsaturated Fatty Acids (PUFAs) and Children’s Dietary Inflammatory Index (C-DIITM) with Recurrent Respiratory Infections in Children: A Cross-Sectional Study
Abstract
1. Introduction
2. Materials and Methods
2.1. Study Groups
- (1)
- Have suffered more than six respiratory infections per year.
- (2)
- Have suffered more than one respiratory infection per month involving the upper airways between September and April.
- (3)
- Have suffered more than three respiratory infections per year involving the lower airways.
- -
- Systemic diseases or chronic inflammatory diseases.
- -
- History of any illness that affected growth.
- -
- Acute febrile illness based on medical history and clinical examination.
- -
- Family history of immunologic defects.
- -
- Currently breastfeeding.
- -
- Intake of PUFA-containing supplements.
2.2. Study Design
2.3. Dietary Assessment
2.4. Laboratory Analyses
2.4.1. Immunological Parameters
2.4.2. PUFA Concentrations in Serum
2.5. Statistical Analyses
3. Results
3.1. Characteristics of the Groups
3.2. Analysis of Diet
3.3. Serum PUFA Profile
3.4. The Relation of Dietary Parameters to Serum PUFA and the Impact of Dietary Related Factors on RRI Risk
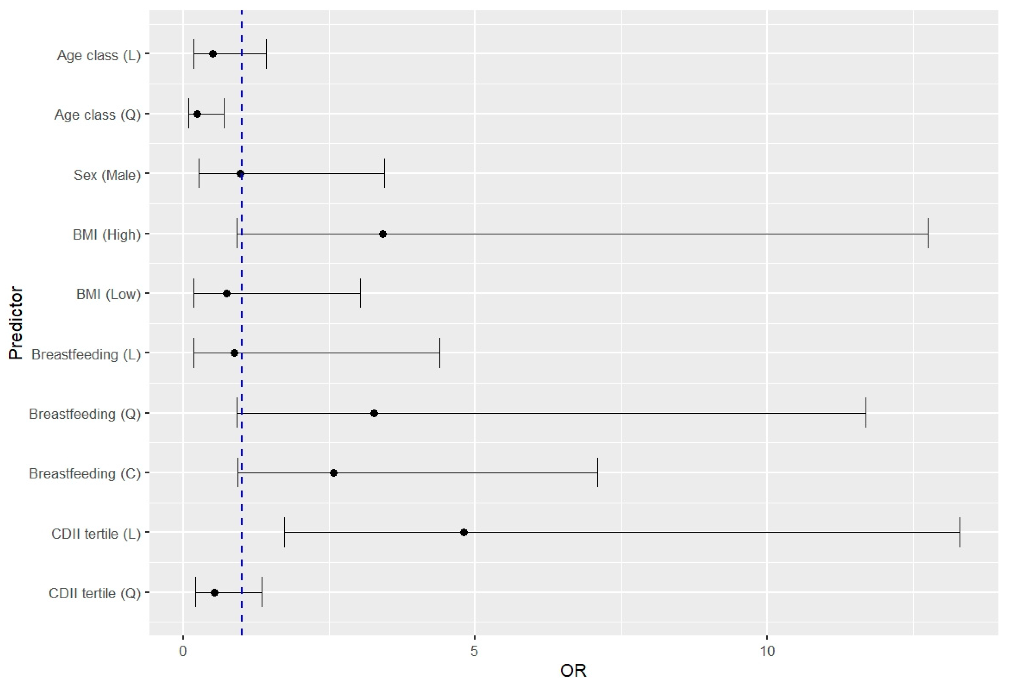
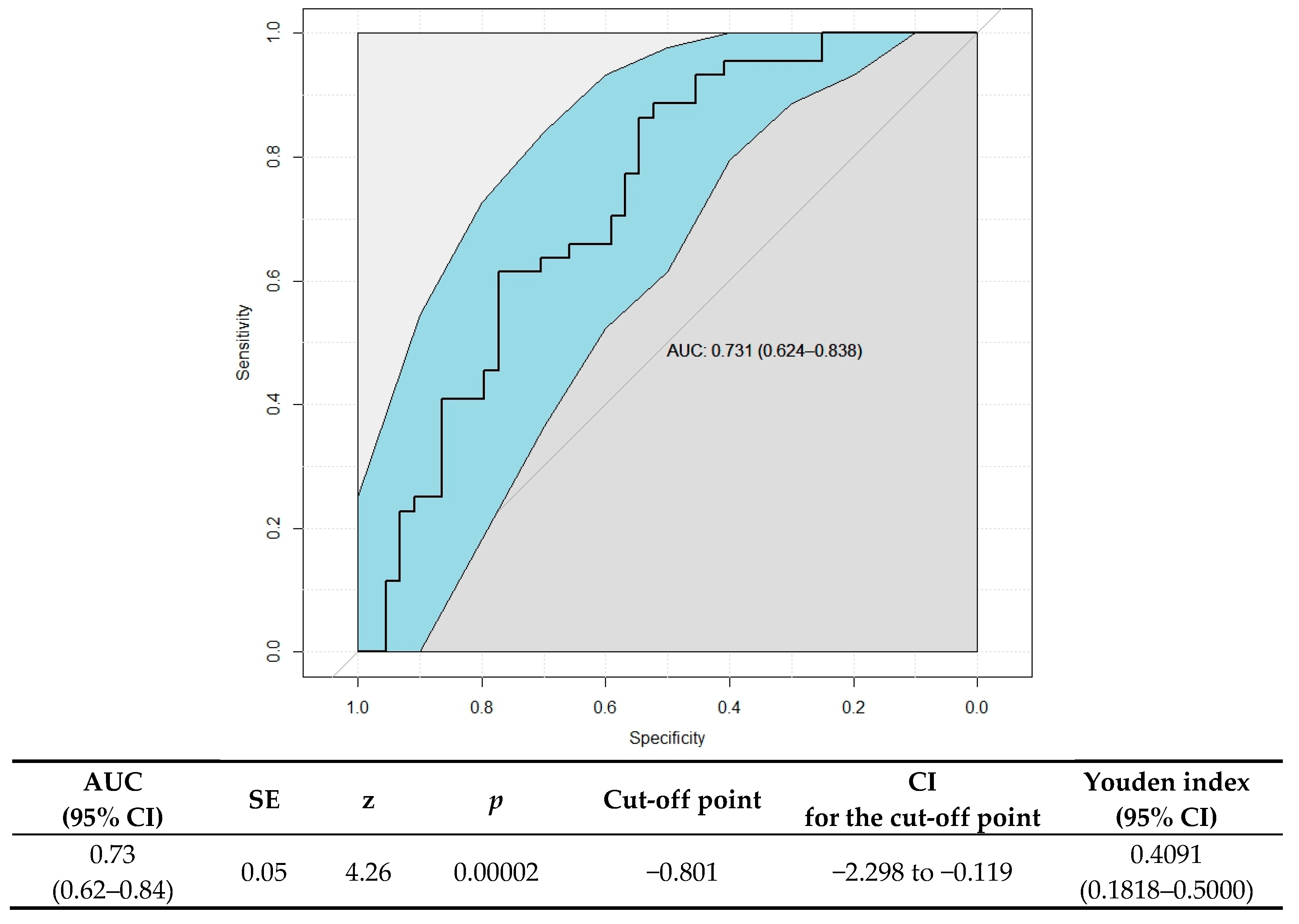
3.5. Estimation of the RRI Risk Associated with the Studied Parameters
4. Discussion
5. Conclusions
Author Contributions
Funding
Institutional Review Board Statement
Informed Consent Statement
Data Availability Statement
Acknowledgments
Conflicts of Interest
Abbreviations
References
- Rudan, I.; Boschi-Pinto, C.; Biloglav, Z.; Mulholland, K.; Campbell, H. Epidemiology and Etiology of Childhood Pneumonia. Bull. World Health Organ. 2008, 86, 408–416. [Google Scholar] [CrossRef] [PubMed]
- Toivonen, L.; Karppinen, S.; Schuez-Havupalo, L.; Teros-Jaakkola, T.; Vuononvirta, J.; Mertsola, J.; He, Q.; Waris, M.; Peltola, V. Burden of Recurrent Respiratory Tract Infections in Children: A Prospective Cohort Study. Pediatr. Infect. Dis. J. 2016, 35, e362–e369. [Google Scholar] [CrossRef] [PubMed]
- Simon, A.K.; Hollander, G.A.; McMichael, A. Evolution of the Immune System in Humans from Infancy to Old Age. Proc. R. Soc. B Biol. Sci. 2015, 282, 20143085. [Google Scholar] [CrossRef] [PubMed]
- Chiappini, E.; Santamaria, F.; Marseglia, G.L.; Marchisio, P.; Galli, L.; Cutrera, R.; de Martino, M.; Antonini, S.; Becherucci, P.; Biasci, P.; et al. Prevention of Recurrent Respiratory Infections: Inter-Society Consensus. Ital. J. Pediatr. 2021, 47, 211. [Google Scholar] [CrossRef] [PubMed]
- Shao, T.; Verma, H.K.; Pande, B.; Costanzo, V.; Ye, W.; Cai, Y.; Bhaskar, L.V.K.S. Physical Activity and Nutritional Influence on Immune Function: An Important Strategy to Improve Immunity and Health Status. Front. Physiol. 2021, 12, 751374. [Google Scholar] [CrossRef] [PubMed]
- Calder, P.C. Omega-3 Polyunsaturated Fatty Acids and Inflammatory Processes: Nutrition or Pharmacology? Br. J. Clin. Pharmacol. 2013, 75, 645–662. [Google Scholar] [CrossRef] [PubMed]
- Wang, X.; Nijman, R.; Camuzeaux, S.; Sands, C.; Jackson, H.; Kaforou, M.; Emonts, M.; Herberg, J.A.; Maconochie, I.; Carrol, E.D.; et al. Plasma Lipid Profiles Discriminate Bacterial from Viral Infection in Febrile Children. Sci. Rep. 2019, 9, 17714. [Google Scholar] [CrossRef] [PubMed]
- Birch, E.E.; Khoury, J.C.; Berseth, C.L.; Castañeda, Y.S.; Couch, J.M.; Bean, J.; Tamer, R.; Harris, C.L.; Mitmesser, S.H.; Scalabrin, D.M. The Impact of Early Nutrition on Incidence of Allergic Manifestations and Common Respiratory Illnesses in Children. J. Pediatr. 2010, 156, 902–906. [Google Scholar] [CrossRef]
- Thienprasert, A.; Samuhaseneetoo, S.; Popplestone, K.; West, A.L.; Miles, E.A.; Calder, P.C. Fish Oil N-3 Polyunsaturated Fatty Acids Selectively Affect Plasma Cytokines and Decrease Illness in Thai Schoolchildren: A Randomized, Double-Blind, Placebo-Controlled Intervention Trial. J. Pediatr. 2009, 154, 391–395. [Google Scholar] [CrossRef] [PubMed]
- Calatayud, F.M.; Calatayud, B.; Gallego, J.G.; González-Martín, C.; Alguacil, L.F. Effects of Mediterranean Diet in Patients with Recurring Colds and Frequent Complications. Allergol. Immunopathol. 2017, 45, 417–424. [Google Scholar] [CrossRef]
- Shivappa, N.; Steck, S.E.; Hurley, T.G.; Hussey, J.R.; Hébert, J.R. Designing and Developing a Literature-Derived, Population-Based Dietary Inflammatory Index. Public Health Nutr. 2014, 17, 1689–1696. [Google Scholar] [CrossRef]
- Khan, S.; Wirth, M.D.; Ortaglia, A.; Alvarado, C.R.; Shivappa, N.; Hurley, T.G.; Hebert, J.R. Design, Development and Construct Validation of the Children’s Dietary Inflammatory Index. Nutrients 2018, 10, 993. [Google Scholar] [CrossRef]
- Gruppo di studio di Immunologia della società Italiana di Pediatria. Le Infezioni Ricorrenti Nel Bambino: Definizione Ed Approccio Diagnostico. Riv. Immunol. Allergol. Pediatr. 1988, 2, 127–134. [Google Scholar]
- Notarangelo, L.D. Primary Immunodeficiencies. J. Allergy Clin. Immunol. 2010, 125, S182–S194. [Google Scholar] [CrossRef] [PubMed]
- Palczewska, I.N.Z. Somatic Development Indices in Children and Youth of Warsaw. Med. Wieku Rozw. 2001, 5, 18–118. (In Polish) [Google Scholar]
- Jarosz, M.; Rychlik, E.; Stoś, K.; Charzewska, J. Nutrition Standards for the Polish Population and Their Application; Narodowy Instytut Zdrowia Publicznego—Państwowy Zakład Higieny: Warszawa, Poland, 2020. [Google Scholar]
- Whicher, J.T.; Price, C.P.; Spencer, K.; Ward, A.M. Immunonephelometric and Immunoturbidimetric Assays for Proteins. CRC Crit. Rev. Clin. Lab. Sci. 1982, 18, 213–260. [Google Scholar] [CrossRef]
- Finak, G.; Langweiler, M.; Jaimes, M.; Malek, M.; Taghiyar, J.; Korin, Y.; Raddassi, K.; Devine, L.; Obermoser, G.; Pekalski, M.L.; et al. Standardizing Flow Cytometry Immunophenotyping Analysis from the Human ImmunoPhenotyping Consortium. Sci. Rep. 2016, 6, 20686. [Google Scholar] [CrossRef] [PubMed]
- Zagami, F. Phagocytic Index: A Valid Method of Phagocytosis Study. Aggiorn. Med. Chir. 1993, 11, 469–479. [Google Scholar]
- Klerx, J.P.A.M.; Beukelman, C.J.; Van Dijk, H.; Willers, J.M.N. Microassay for Colorimetric Estimation of Complement Activity in Guinea Pig, Human and Mouse Serum. J. Immunol. Methods 1983, 63, 215–220. [Google Scholar] [CrossRef] [PubMed]
- Gorczyca, D.; Paściak, M.; Szponar, B.; Gamian, A.; Jankowski, A. An Impact of the Diet on Serum Fatty Acid and Lipid Profiles in Polish Vegetarian Children and Children with Allergy. Eur. J. Clin. Nutr. 2011, 65, 191–195. [Google Scholar] [CrossRef] [PubMed]
- Peeters, D.; Verhulst, P.; Vaessen-Verberne, A.A.P.H.; Van Den Tweel, X.W.; Noordzij, J.G.; Driessen, G.J.A. Low Prevalence of Severe Underlying Pathology in Children with Recurrent Respiratory Tract Infections. Pediatr. Infect. Dis. J. 2021, 40, E424–E426. [Google Scholar] [CrossRef] [PubMed]
- Djuricic, I.; Calder, P.C. Beneficial Outcomes of Omega-6 and Omega-3 Polyunsaturated Fatty Acids on Human Health: An Update for 2021. Nutrients 2021, 13, 2421. [Google Scholar] [CrossRef]
- Gutiérrez, S.; Svahn, S.L.; Johansson, M.E. Effects of Omega-3 Fatty Acids on Immune Cells. Int. J. Mol. Sci. 2019, 20, 5028. [Google Scholar] [CrossRef]
- Basil, M.C.; Levy, B.D. Specialized Pro-Resolving Mediators: Endogenous Regulators of Infection and Inflammation. Nat. Rev. Immunol. 2016, 16, 51–67. [Google Scholar] [CrossRef]
- Minns, L.M.; Kerling, E.H.; Neely, M.R.; Sullivan, D.K.; Wampler, J.L.; Harris, C.L.; Berseth, C.L.; Carlson, S.E. Toddler Formula Supplemented with Docosahexaenoic Acid (DHA) Improves DHA Status and Respiratory Health in a Randomized, Double-Blind, Controlled Trial of US Children Less than 3 Years of Age. Prostaglandins Leukot. Essent. Fat. Acids 2010, 82, 287–293. [Google Scholar] [CrossRef] [PubMed]
- Louca, P.; Murray, B.; Klaser, K.; Graham, M.S.; Mazidi, M.; Leeming, E.R.; Thompson, E.; Bowyer, R.; Drew, D.A.; Nguyen, L.H.; et al. Modest Effects of Dietary Supplements during the COVID-19 Pandemic: Insights from 445 850 Users of the COVID-19 Symptom Study App. BMJ Nutr. Prev. Health 2021, 4, 149–157. [Google Scholar] [CrossRef]
- Muka, T.; Kiefte-De Jong, J.C.; Hofman, A.; Dehghan, A.; Rivadeneira, F.; Franco, O.H. Polyunsaturated Fatty Acids and Serum C-Reactive Protein. Am. J. Epidemiol. 2015, 181, 846–856. [Google Scholar] [CrossRef] [PubMed]
- Su, H.; Liu, R.; Chang, M.; Huang, J.; Jin, Q.; Wang, X. Effect of Dietary Alpha-Linolenic Acid on Blood Inflammatory Markers: A Systematic Review and Meta-Analysis of Randomized Controlled Trials. Eur. J. Nutr. 2018, 57, 877–891. [Google Scholar] [CrossRef]
- Han, Y.Y.; Forno, E.; Shivappa, N.; Wirth, M.D.; Hébert, J.R.; Celedón, J.C. The Dietary Inflammatory Index and Current Wheeze Among Children and Adults in the United States. J. Allergy Clin. Immunol. Pract. 2018, 6, 834–841.e2. [Google Scholar] [CrossRef] [PubMed]
- Berthon, B.S.; MacDonald-Wicks, L.K.; Gibson, P.G.; Wood, L.G. Investigation of the Association between Dietary Intake, Disease Severity and Airway Inflammation in Asthma. Respirology 2013, 18, 447–454. [Google Scholar] [CrossRef]
- Alwarith, J.; Kahleova, H.; Crosby, L.; Brooks, A.; Brandon, L.; Levin, S.M.; Barnard, N.D. The Role of Nutrition in Asthma Prevention and Treatment. Nutr. Rev. 2020, 78, 928–938. [Google Scholar] [CrossRef] [PubMed]
- Williams, L.M.; Stoodley, I.L.; Berthon, B.S.; Wood, L.G. The Effects of Prebiotics, Synbiotics, and Short-Chain Fatty Acids on Respiratory Tract Infections and Immune Function: A Systematic Review and Meta-Analysis. Adv. Nutr. 2022, 13, 167–192. [Google Scholar] [CrossRef]
- McAleer, J.P.; Kolls, J.K. Contributions of the Intestinal Microbiome in Lung Immunity. Eur. J. Immunol. 2018, 48, 39–49. [Google Scholar] [CrossRef] [PubMed]
- Yin, Z.; Liu, X.; Guo, L.; Ren, M.; Kang, W.; Ma, C.; Waterhouse, G.I.N.; Sun-Waterhouse, D. The Potential of Dietary Fiber in Building Immunity against Gastrointestinal and Respiratory Disorders. Crit. Rev. Food Sci. Nutr. 2023, 64, 13318–13336. [Google Scholar] [CrossRef]
- Budden, K.F.; Gellatly, S.L.; Wood, D.L.A.; Cooper, M.A.; Morrison, M.; Hugenholtz, P.; Hansbro, P.M. Emerging Pathogenic Links between Microbiota and the Gut–Lung Axis. Nat. Rev. Microbiol. 2017, 15, 55–63. [Google Scholar] [CrossRef] [PubMed]
- Brown, R.L.; Sequeira, R.P.; Clarke, T.B. The Microbiota Protects against Respiratory Infection via GM-CSF Signaling. Nat. Commun. 2017, 8, 1512. [Google Scholar] [CrossRef]
- Baky, M.H.; Salah, M.; Ezzelarab, N.; Shao, P.; Elshahed, M.S.; Farag, M.A. Insoluble Dietary Fibers: Structure, Metabolism, Interactions with Human Microbiome, and Role in Gut Homeostasis. Crit. Rev. Food Sci. Nutr. 2024, 64, 1954–1968. [Google Scholar] [CrossRef] [PubMed]
- Yamaguchi, A.; Botta, E.; Holinstat, M. Eicosanoids in Inflammation in the Blood and the Vessel. Front. Pharmacol. 2022, 13, 997403. [Google Scholar] [CrossRef]
- Vangaveti, V.N.; Jansen, H.; Kennedy, R.L.; Malabu, U.H. Hydroxyoctadecadienoic Acids: Oxidised Derivatives of Linoleic Acid and Their Role in Inflammation Associated with Metabolic Syndrome and Cancer. Eur. J. Pharmacol. 2016, 785, 70–76. [Google Scholar] [CrossRef]
- Christi, W.W.; Harwoo, J.L. Oxidation of Polyunsaturated Fatty Acids to Produce Lipid Mediators. Essays Biochem. 2020, 64, 401–421. [Google Scholar]
- Hakola, L.; Oikarinen, M.; Niinistö, S.; Cuthbertson, D.; Lehtonen, J.; Puustinen, L.; Sioofy-Khojine, A.B.; Honkanen, J.; Knip, M.; Krischer, J.P.; et al. Serum 25-Hydroxyvitamin D and Fatty Acids in Relation to the Risk of Microbial Infections in Children: The TRIGR Divia Study. Clin. Nutr. 2022, 41, 2729–2739. [Google Scholar] [CrossRef] [PubMed]
- Rocklin’, R.E.; Thistlea, L.; Gallant%, L.; Mankub, M.S.; Horrobinb, D. Altered Arachidonic Acid Content in Polymorphonuclear and Mononuclear Cells from Patients with Allergic Rhinitis and/or Asthma. Lipids 1986, 21, 17–20. [Google Scholar] [CrossRef] [PubMed]
- Ekström, S.; Sdona, E.; Klevebro, S.; Hallberg, J.; Georgelis, A.; Kull, I.; Melén, E.; Risérus, U.; Bergström, A. Dietary Intake and Plasma Concentrations of PUFAs in Childhood and Adolescence in Relation to Asthma and Lung Function up to Adulthood. Am. J. Clin. Nutr. 2022, 115, 886–896. [Google Scholar] [CrossRef]
- Griese, M.I.; Schur, N.I.; Laryea, M.D.; Bremer, H.; Reinhardt, D.; Biggemann, B. Fatty Acid Composition of Phospholipids of Plasma and of Mononuclear Blood Cells in Children with Allergic Asthma and the Influence of Glucocorticoids; Springer: Berlin/Heidelberg, Germany, 1990; Volume 149. [Google Scholar]
- Burrows, T.; Berthon, B.; Garg, M.L.; Collins, C.E. A Comparative Validation of a Child Food Frequency Questionnaire Using Red Blood Cell Membrane Fatty Acids. Eur. J. Clin. Nutr. 2012, 66, 825–829. [Google Scholar] [CrossRef]
- Schulze, M.B.; Minihane, A.M.; Saleh, R.N.M.; Risérus, U. Intake and Metabolism of Omega-3 and Omega-6 Polyunsaturated Fatty Acids: Nutritional Implications for Cardiometabolic Diseases. Lancet Diabetes Endocrinol. 2020, 8, 915–930. [Google Scholar] [CrossRef] [PubMed]
- Yuan, C.; Spiegelman, D.; Rimm, E.B.; Rosner, B.A.; Stampfer, M.J.; Barnett, J.B.; Chavarro, J.E.; Rood, J.C.; Harnack, L.J.; Sampson, L.K.; et al. Relative validity of nutrient intakes assessed by questionnaire, 24-hour recalls, and diet records as compared with urinary recovery and plasma concentration biomarkers: Findings for women. Am. J. Epidemiol. 2018, 187, 1051–1063. [Google Scholar] [CrossRef]
- Baylin, A.; Campos, H. The use of fatty acid biomarkers to reflect dietary intake. Curr. Opin. Lipidol. 2006, 17, 22–27. [Google Scholar] [CrossRef] [PubMed]
- Zárate, R.; el Jaber-Vazdekis, N.; Tejera, N.; Pérez, J.A.; Rodríguez, C. Significance of long chain polyunsaturated fatty acids in human health. Clin. Transl. Med. 2017, 6, 1–19. [Google Scholar] [CrossRef] [PubMed]
- Liput, K.P.; Lepczyński, A.; Ogłuszka, M.; Nawrocka, A.; Poławska, E.; Grzesiak, A.; Ślaska, B.; Pareek, C.S.; Czarnik, U.; Pierzchała, M. Effects of dietary n-3 and n-6 polyunsaturated fatty acids in inflammation and cancerogenesis. Int. J. Mol. Sci. 2021, 22, 6965. [Google Scholar] [CrossRef]
- Poli, A.; Agostoni, C.; Visioli, F. Dietary fatty acids and inflammation: Focus on the n-6 series. Int. J. Mol. Sci. 2023, 24, 4567. [Google Scholar] [CrossRef] [PubMed]
- Kalogeropoulos, N.; Panagiotakos, D.B.; Pitsavos, C.; Chrysohoou, C.; Rousinou, G.; Toutouza, M.; Stefanadis, C. Unsaturated fatty acids are inversely associated and n-6/n-3 ratios are positively related to inflammation and coagulation markers in plasma of apparently healthy adults. Clin. Chim. Acta. 2010, 411, 584–591. [Google Scholar] [CrossRef]
- Dai, B.; Huang, S.; Deng, Y. Modified Insoluble Dietary Fibers in Okara Affect Body Composition, Serum Metabolic Properties, and Fatty Acid Profiles in Mice Fed High-Fat Diets: An NMR Investigation. Food Res. Int. 2019, 116, 1239–1246. [Google Scholar] [CrossRef]
- Zhao, J.V.; Schooling, C.M. The Role of Linoleic Acid in Asthma and Inflammatory Markers: A Mendelian Randomization Study. Am. J. Clin. Nutr. 2019, 110, 685–690. [Google Scholar] [CrossRef] [PubMed]
- Gorczyca, D.; Postępski, J.; Czajkowska, A.; Paściak, M.; Prescha, A.; Olesińska, E.; Gruenpeter, A.; Lachór-Motyka, I.; Szponar, B. The Profile of Polyunsaturated Fatty Acids in Juvenile Idiopathic Arthritis and Association with Disease Activity. Clin. Rheumatol. 2017, 36, 1269–1279. [Google Scholar] [CrossRef] [PubMed]
- Horta, B.L.; Rollins, N.; Dias, M.S.; Garcez, V.; Pérez-Escamilla, R. Systematic Review and Meta-Analysis of Breastfeeding and Later Overweight or Obesity Expands on Previous Study for World Health Organization. Acta Paediatr. Int. J. Paediatr. 2023, 112, 34–41. [Google Scholar] [CrossRef] [PubMed]
- Grummer-Strawn, L.M.; Mei, Z. Does Breastfeeding Protect Against Pediatric Overweight? Analysis of Longitudinal Data From the Centers for Disease Control and Prevention Pediatric Nutrition Surveillance System. Pediatrics 2004, 113, e81–e86. [Google Scholar] [CrossRef]
- Zhou, B.; Niu, W.; Liu, F.; Yuan, Y.; Wang, K.; Zhang, J.; Wang, Y.; Zhang, Z. Risk Factors for Recurrent Respiratory Tract Infection in Preschool-Aged Children. Pediatr. Res. 2021, 90, 223–231. [Google Scholar] [CrossRef] [PubMed]
- Zhang, C.; Ren, W.; Li, M.; Wang, W.; Sun, C.; Liu, L.; Fang, Y.; Liu, L.; Yang, X.; Zhang, X.; et al. Association Between the Children’s Dietary Inflammatory Index (C-DII) and Markers of Inflammation and Oxidative Stress Among Children and Adolescents: NHANES 2015–2018. Front. Nutr. 2022, 9, 894966. [Google Scholar] [CrossRef] [PubMed]


| RRI Group (n = 44) | Control Group (n = 44) | p-Value | |
|---|---|---|---|
| Age (y), median (Q1–Q3) | 6.5 (3.0–16.3) | 6.3 (2.5–17.0) | 0.49 |
| Sex, female/male, n (%)/n(%) | 20 (45)/24 (55) | 20 (45)/24 (55) | 0.99 |
| Weight (percentile ranges), n (%) | |||
| <25 | 5 (11) | 6 (14) | 0.58 |
| 25–75 | 21 (48) | 25 (57) | |
| >75 | 18 (41) | 13 (30) | |
| Height (percentile ranges), n (%) | |||
| <25 | 6 (14) | 3 (7) | 0.57 |
| 25–75 | 25 (57) | 26 (59) | |
| >75 | 13 (30) | 15 (34) | |
| BMI (percentile ranges), n (%) | |||
| <25 | 4 (9) | 11 (25) | 0.0068 |
| 25–75 | 16 (36) | 23 (52) | |
| >75 | 24 (55) | 10 (23) | |
| Breastfeeding (months), n (%) | |||
| 0 | 9 (20) | 2 (5) | 0.033 |
| 1–6 | 12 (9) | 23 (52) | |
| 7–12 | 17 (39) | 14 (32) | |
| >12 | 6 (14) | 5 (11) | |
| Subjects with IgA levels lower than the normal range depended on age, n (%) | 5 (12) | 0 (0) | … |
| Subjects with IgM and IgG levels lower than the normal range depended on age, n (%) | 0 (0) | 0 (0) | … |
| Subjects with IgE levels higher than the normal range depended on age, n (%) | 8 (33) * | 0 (0) ** | … |
| Subjects with eosinophilia, n (%) | 6 (14) | 0 (0) | … |
| Subjects with CD3+, CD3+CD4+, CD3+CD8+, CD3–56+, and CD19+ levels lower than the normal range depended on age, n (%) | 0 (0) | 0 (0) | … |
| Phagocytic index, median (Q1–Q3) | 3.42 (2.78–4.61) | 3.38 (2.80–3.98) | 0.716 |
| CH50, median (Q1–Q3) | 77.66 (55.52–92.08) | 85.12 (70.46–119.83) | 0.740 |
| Dietary Parameter | Recommended Intake | RRI Group | Control Group | p-Value |
|---|---|---|---|---|
| Energy | ||||
| Intake, kcal % EER | (a) | 1493 (1308–1831) 91.6 (70.3–123.8) | 1397 (1261–1900) 92.7 (68.1–111.0) | 0.728 0.210 |
| Protein | ||||
| Intake, g/1000 kcal % RDA | (b) | 38.3 (33.4–41.1) 235.2 (140.6–285.6) | 37.8 (35.1–42.1) 277.1 (145.5–271.6) | 0.966 0.299 |
| Carbohydrates (available) | ||||
| Intake, g/1000 kcal RI (%) | 45–65% energy | 135.2 (123.6–146.5) 54.4 (49.8–58.9) | 135.3 (122.9–142.6) 54.5 (49.5–57.4) | 0.172 0.732 |
| Fiber | ||||
| Intake, g/1000 kcal % AI | (b) | 7.97 (6.75–8.90) 77.8 (70.2–94.3) | 9.43 (7.41–10.91) 103.5 (75.1–116.3) | 0.004 0.006 * |
| Fat | ||||
| Intake, g/1000 kcal % RDA | (a) | 33.0 (28.4–35.5) 87.6 (67.5–113.6) | 33.1 (28.0–38.4) 83.0 (43.4–156.4) | 0.220 * 0.344 |
| SFA, % energy | Lower than 10% energy (<10 y); 5–6% energy (≥10 y) | 12.0 (9.6–13.3) | 11.7 (10.5–13.7) | 0.368 |
| MUFA, % energy | - | 10.7 (9.0–12.2) | 10.3 (8.6–12.8) | 0.160 |
| PUFA, % energy | - | 3.33 (2.52–4.25) | 3.86 (2.70–4.81) | 0.073 |
| LA, % energy | 4% energy | 2.73 (2.17–3.55) | 3.17 (2.27–3.87) | 0.083 * |
| ALA, % energy | 0.5% energy | 0.42 (0.34–0.58) | 0.45 (0.37–0.56) | 0.394 |
| AA intake, mg/day | - | 54.5 (33.5–102.6) | 55.4 (28.5–92.7) | 0.730 |
| EPA intake, mg/day | - | 7.4 (3.27–16.71) | 14.8 (3.97–35.7) | 0.104 |
| DHA intake, mg/day | - | 26.4 (9.08–43.69) | 33.3 (17.6–60.1) | 0.224 |
| VLC-PUFA, % AI | 250 mg/day EPA + DHA | 15.3 (6.6–24.6) | 20.4 (11.4–46.6) | 0.107 |
| n-6/n-3 FA ratio | - | 6.02 (4.64–7.30) | 6.00 (4.71–7.62) | 0.689 |
| Vitamin A, µg/1000 kcal %RDA | (b) | 353.8 (284.2–500.2) 103.2 (77.6–189.6) | 511.3 (363.5–774.5) 138.1 (99.1–239.3) | 0.039 |
| Vitamin C, mg/1000 kcal %RDA | (b) | 36.7 (18.3–46.8) 104.1 (65.9–128.7) | 41.3 (23.6–66.9) 109.5 (73.2–196.3) | 0.157 |
| Calcium, mg/1000 kcal %RDA | (b) | 366.7 (280.5–477.3) 56.5 (35.6–68.9) | 364.1 (303.7–497.2) 57.3 (40.9–81.9) | 0.486 |
| Iron, mg/1000 kcal %RDA | (b) | 4.61 (4.13–5.31) 71.0 (56.8–86.2) | 5.06 (4.50–5.70) 82.9 (61.6–100.1) | 0.104 * |
| C-DII | - | 0.26 (0.95–2.53) | −0.92 (−1.30–1.66) | <0.001 * |
| Fatty Acid | RRI Group | Control Group | p-Value |
|---|---|---|---|
| LA | 59.78 (41.51–79.11) | 51.28 (36.00–78.23) | 0.025 |
| AA | 12.62 (6.92–20.18) | 10.59 (6.98–18.22) | 0.042 |
| ALA | 1.57 (0.61–3.46) | 1.89 (0.42–3.62) | 0.911 |
| EPA | 1.74 (0.76–3.05) | 1.30 (0.55–2.69) | 0.007 |
| DHA | 2.76 (1.32–8.75) | 2.38 (1.20–4.47) | 0.113 |
| n-6/n-3 FA ratio | 12.52 (4.64–22.40) | 12.52 (4.99–21.52) | 0.841 * |
| Serum PUFAs | ||||||
|---|---|---|---|---|---|---|
| LA | AA | ALA | EPA | DHA | PUFA n-6/n-3 | |
| RRI group | ||||||
| Fat, intake/1000 kcal | 0.15 (0.35) | 0.39 (0.013, 0.784) | 0.16 (0.32) | 0.07 (0.65) | −0.08 (0.62) | 0.10 (0.56) |
| LA, % energy of diet | −0.08 (0.63) | −0.14 (0.40) | 0.42 (0.007, 0.851) | 0.12 (0.48) | 0.11 (0.50) | −0.25 (0.12) |
| ALA, % energy of diet | −0.17 (0.31) | −0.15 (0.36) | 0.09 (0.59) | 0.12 (0.45) | 0.34 (0.032, 0.649) | −0.36 (0.03, 0.706) |
| PUFAs, % energy of diet | −0.01 (0.94) | −0.20 (0.21) | 0.39 (0.0012, 0.784) | 0.11 (0.48) | 0.18 (0.28) | −0.32 (0.046, 0.591) |
| n-3 PUFAs, % energy of diet | −0.01 (0.94) | −0.20 (0.21) | 0.04 (0.82) | −0.10 (0.54) | −0.34 (0.031, 0.561) | −0.20 (0.22) |
| EPA, mg/day | −0.16 (0.32) | −0.34 (0.032, 0.591) | −0.12 (0.48) | −0.06 (0.74) | 0.02 (0.91) | 0.02 (0.89) |
| DHA, mg/day | −0.21 (0.14) | −0.34 (0.031, 0.561) | 0.05 (0.75) | −0.18 (0.25) | 0.14 (0.39) | −0.11 (0.50) |
| Fiber, intake/1000 kcal | −0.20 (0.21) | −0.44 (0.004, 0.888) | 0.05 (0.77) | −0.04 (0.80) | 0.45 (0.005, 0.904) | −0.47 (0.002, 0.932) |
| C-DIITM | 0.29 (0.07) | 0.55 (<0.0001, 0.989) | −0.09 (0.57) | −0.05 (0.77) | −0.29 (0.07) | 0.30 (0.06) |
| Control group | ||||||
| Fat, intake/1000 kcal | 0.12 (0.48) | −0.15 (0.35) | −0.01 (0.95) | −0.06 (0.69) | −0.15 (0.37) | 0.15 (0.35) |
| LA, % energy of diet | −0.18 (0.26) | 0.01 (0.93) | −0.04 (0.80) | −0.16 (0.33) | −0.07 (0.66) | 0.03 (0.86) |
| ALA, % energy of diet | −0.14 (0.38) | 0.17 (0.29) | −0.08 (0.64) | 0.19 (0.23) | −0.09 (0.60) | −0.09 (0.57) |
| PUFAs, % energy of diet | −0.22 (0.18) | −0.02 (0.91) | −0.07 (0.69) | −0.10 (0.55) | −0.07 (0.65) | −0.01 (0.95) |
| n−3 PUFAs, % energy of diet | −0.04 (0.83) | −0.22 (0.18) | −0.18 (0.27) | 0.06 (0.71) | −0.23 (0.15) | 0.13 (0.41) |
| EPA, mg/day | −0.14 (0.38) | −0.28 (0.082) | −0.24 (0.13) | 0.31 (0.052) | −0.05 (0.75) | −0.09 (0.56) |
| DHA, mg/day | −0.05 (0.76) | −0.31 (0.05) | −0.10 (0.56) | 0.01 (0.95) | 0.03 (0.84) | −0.05 (0.76) |
| Fiber, intake/1000 kcal | 0.13 (0.41) | −0.31 (0.049, 0.561) | −0.11 (0.50) | −0.04 (0.82) | 0.20 (0.21) | −0.11 (0.50) |
| C-DIITM | 0.24 (0.13) | 0.20 (0.22) | 0.05 (0.75) | −0.23 (0.15) | −0.25 (0.13) | 0.37 (0.018, 0.722) |
Disclaimer/Publisher’s Note: The statements, opinions and data contained in all publications are solely those of the individual author(s) and contributor(s) and not of MDPI and/or the editor(s). MDPI and/or the editor(s) disclaim responsibility for any injury to people or property resulting from any ideas, methods, instructions or products referred to in the content. |
© 2024 by the authors. Licensee MDPI, Basel, Switzerland. This article is an open access article distributed under the terms and conditions of the Creative Commons Attribution (CC BY) license (https://creativecommons.org/licenses/by/4.0/).
Share and Cite
Gorczyca, D.; Szeremeta, K.; Paściak, M.; Szponar, B.; Zhao, L.; Wirth, M.D.; Hebert, J.R.; Związek, N.; Prescha, A. Association of Serum Polyunsaturated Fatty Acids (PUFAs) and Children’s Dietary Inflammatory Index (C-DIITM) with Recurrent Respiratory Infections in Children: A Cross-Sectional Study. Nutrients 2025, 17, 153. https://doi.org/10.3390/nu17010153
Gorczyca D, Szeremeta K, Paściak M, Szponar B, Zhao L, Wirth MD, Hebert JR, Związek N, Prescha A. Association of Serum Polyunsaturated Fatty Acids (PUFAs) and Children’s Dietary Inflammatory Index (C-DIITM) with Recurrent Respiratory Infections in Children: A Cross-Sectional Study. Nutrients. 2025; 17(1):153. https://doi.org/10.3390/nu17010153
Chicago/Turabian StyleGorczyca, Daiva, Karolina Szeremeta, Mariola Paściak, Bogumiła Szponar, Longgang Zhao, Michael D. Wirth, James R. Hebert, Natalia Związek, and Anna Prescha. 2025. "Association of Serum Polyunsaturated Fatty Acids (PUFAs) and Children’s Dietary Inflammatory Index (C-DIITM) with Recurrent Respiratory Infections in Children: A Cross-Sectional Study" Nutrients 17, no. 1: 153. https://doi.org/10.3390/nu17010153
APA StyleGorczyca, D., Szeremeta, K., Paściak, M., Szponar, B., Zhao, L., Wirth, M. D., Hebert, J. R., Związek, N., & Prescha, A. (2025). Association of Serum Polyunsaturated Fatty Acids (PUFAs) and Children’s Dietary Inflammatory Index (C-DIITM) with Recurrent Respiratory Infections in Children: A Cross-Sectional Study. Nutrients, 17(1), 153. https://doi.org/10.3390/nu17010153

