Nutritional Adequacy of Flour Product Enrichment with Iodine-Fortified Plant-Based Products
Abstract
1. Introduction
2. Materials and Methods
2.1. Material
2.1.1. Carriers Preparation
2.1.2. Products Formulations
Gnocchi Dumplings Formulations
- -
- Potato 80%; wheat flour (10%); water (10%) (GWN) and KIO3 (GWN_KIO3) or KI (GWN_KI);
- -
- Potato 56%; wheat flour (10%); water (10%) and pumpkin non-iodised (GP_NI) or KIO3 (GP_KIO3) or KI (GP_KI)
- -
- Potato 56%; wheat flour (10%); water (10%) and carrot non-iodised (GCR_NI) or KIO3 (GCR_KIO3) or KI (GCR_KI)
- -
- Potato 56%; wheat flour (10%); water (10%) and cauliflower non-iodised (GCF_NI) or KIO3 (GCF_KIO3) or KI (GCF_KI)
- -
- Potato 56%; wheat flour (10%); water (10%) and broccoli non-iodised (GB_NI) or KIO3 (GB_KIO3) or KI (GB_KI)
- -
- Potato 56%; wheat flour (10%); water (10%) and beetroot non-iodised (GBT_NI) or KIO3 (GBT_KIO3) or KI (GBT_KI)
Ciabatta Roll Formulations
- -
- Wheat flour (57%); water (41.8%); instant yeast (0.9%) and salt (0.3%)—non-iodised salt (BWN), %); KIO3—iodised salt (BWN_KIO3) or KI-iodised salt (BWN_KI);
- -
- Wheat flour (52%); water (41.8%); instant yeast (0.9%); and pumpkin-impregnated with salt (5%) non-iodised (BPN), KIO3 (BPN_KIO3) or KI (BPN_KI);
- -
- Wheat flour (52%); water (41.8%); instant yeast (0.9%); and carrot-impregnated with salt (5%) non-iodised (BCRN), KIO3 (BCRN_KIO3) or KI (BCRN_KI);
- -
- Wheat flour (52%); water (41.8%); instant yeast (0.9%); and cauliflower-impregnated with salt (5%)—non-iodised (BCFN), KIO3 (BCFN_KIO3) or KI (BCFN_KI);
- -
- Wheat flour (52%); water (41.8%); instant yeast (0.9%); and broccoli-impregnated with salt (5%)—non-iodised (BBN), KIO3 (BBN_KIO3) or KI (BBN_KI);
- -
- Wheat flour (52%); water (41.8%); instant yeast (0.9%); and beetroot-impregnated with salt (5%)—non-iodised (BBTN), KIO3 (BBTN_KIO3) or KI (BBTN_KI);
2.1.3. Storage Conditions of Gnocchi Dumplings and Ciabatta Rolls
2.2. Methods
2.2.1. Stability of Iodine
2.2.2. Stability of Thiamine
2.2.3. Antioxidant Activity
2.2.4. Statistical Methods
3. Results
3.1. Changes in Nutritional Value During Thermal Processing of Gnocchi Dumplings and Ciabatta Rolls with Iodine Sources
3.1.1. Iodine Stability
3.1.2. Thiamine Stability
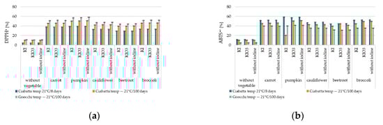
3.1.3. Antioxidant Activity
3.2. Changes in Nutritional Value After Storage of Gnocchi Dumplings and Ciabatta Rolls with Iodine Sources
3.2.1. Iodine Stability

| Predictors | SS | df | MSE | F-Value | p-Value |
|---|---|---|---|---|---|
| IODINE | |||||
| GNOCCHI | |||||
| Storage −21 °C/100 days | |||||
| Vegetable type | 591.37 | 5 | 118.27 | 0.65 | 0.00 |
| Iodine form | 31,027.57 | 2 | 15,513.79 | 908.15 | 0.00 |
| CIABATTA | |||||
| Storage 21 °C/8 days | |||||
| Vegetable type | 202.7 | 5 | 40.5 | 9.56 | 0.00 |
| Iodine form | 2.80 | 2 | 1.40 | 0.13 | 0.88 |
| Storage −21 °C/100 days | |||||
| Vegetable type | 386.60 | 5 | 77.3 | 43.71 | 0.00 |
| Iodine form | 3.30 | 2 | 1.60 | 0.29 | 0.76 |
| THIAMINE | |||||
| CIABATTA | |||||
| Storage 21 °C/8 days | |||||
| Vegetable type | 202.70 | 5 | 40.50 | 9.56 | 0.00 |
| Iodine form | 16.70 | 2 | 8.30 | 0.53 | 0.60 |
| Storage −21 °C/100 days | |||||
| Vegetable type | 386.60 | 5 | 77.30 | 43.71 | 0.00 |
| Iodine form | 10.20 | 2 | 5.10 | 0.19 | 0.83 |
| DPPH• | |||||
| GNOCCHI | |||||
| Storage −21 °C/100 days | |||||
| Vegetable type | 2452.79 | 5 | 490.56 | 49,431 | 0 |
| Iodine form | 0.00 | 2 | 0.00 | 0.00 | 1.00 |
| CIABATTA | |||||
| Storage 21 °C/8 days | |||||
| Vegetable type | 2623.20 | 5.00 | 524.60 | 2618.00 | 0.00 |
| Iodine form | 0.43 | 2.00 | 0.21 | 0.00 | 1.00 |
| −21 °C/100 dni | |||||
| Vegetable type | 4200.55 | 5 | 840.11 | 6820.10 | 0.00 |
| Iodine form | 0.67 | 2 | 0.33 | 0.00 | 1.00 |
| ABTS•+ | |||||
| GNOCCHI | |||||
| Storage −21 °C/100 days | |||||
| Vegetable type | 2716.77 | 5 | 543.35 | 7232.70 | 0.00 |
| Iodine form | 0.15 | 2 | 0.08 | 0.00 | 1.00 |
| CIABATTA | |||||
| Storage 21 °C/8 days | |||||
| Vegetable type | 2188.86 | 5.00 | 437.77 | 7810.55 | 0.00 |
| Iodine form | 0.45 | 2 | 0.22 | 0.00 | 0.99 |
| Storage −21 °C/100 days | |||||
| Vegetable type | 4185.59 | 5 | 837.12 | 4489.4 | 0.00 |
| Iodine form | 171.85 | 2.00 | 85.93 | 0.38 | 0.69 |
3.2.2. Thiamine Stability
3.2.3. Antioxidant Activity
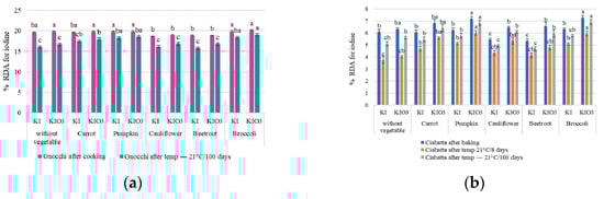
3.3. Analysis of the Effectiveness of Using the Addition of Iodine-Fortified Dried Vegetables to Cereal Products (Gnocchi Dumplings and Ciabatta Rolls) Based on the RDA Coverage for Iodine
4. Discussion
5. Conclusions
Supplementary Materials
Author Contributions
Funding
Institutional Review Board Statement
Informed Consent Statement
Data Availability Statement
Conflicts of Interest
References
- Cardoso, R.V.; Fernandes, A.; Gonzaléz-Paramás, A.M.; Barros, L.; Ferreira, I.C. Flour Fortification for Nutritional and Health Improvement: A Review. Food Res. Int. 2019, 125, 108576. [Google Scholar] [CrossRef] [PubMed]
- Páramo-Calderón, D.E.; Aparicio-Saguilán, A.; Aguirre-Cruz, A.; Carrillo-Ahumada, J.; Hernández-Uribe, J.P.; Acevedo-Tello, S.; Torruco-Uco, J.G. Tortilla Added with Moringa Oleífera Flour: Physicochemical, Texture Properties and Antioxidant Capacity. LWT 2019, 100, 409–415. [Google Scholar] [CrossRef]
- Sajdakowska, M.; Gębski, J.; Żakowska-Biemans, S.; Jeżewska-Zychowicz, M. Willingness to Eat Bread with Health Benefits: Habits, Taste and Health in Bread Choice. Public Health 2019, 167, 78–87. [Google Scholar] [CrossRef] [PubMed]
- Appleton, K.M.; Hemingway, A.; Saulais, L.; Dinnella, C.; Monteleone, E.; Depezay, L.; Morizet, D.; Armando Perez-Cueto, F.J.; Bevan, A.; Hartwell, H. Increasing Vegetable Intakes: Rationale and Systematic Review of Published Interventions. Eur. J. Nutr. 2016, 55, 869–896. [Google Scholar] [CrossRef] [PubMed]
- Nagraj, G.S.; Chouksey, A.; Jaiswal, S.; Jaiswal, A.K. Chapter 1—Broccoli. In Nutritional Composition and Antioxidant Properties of Fruits and Vegetables; Jaiswal, A.K., Ed.; Academic Press: Cambridge, MA, USA, 2020; pp. 5–17. ISBN 978-0-12-812780-3. [Google Scholar]
- Liu, M.; Zhang, L.; Ser, S.L.; Cumming, J.R.; Ku, K.M. Comparative Phytonutrient Analysis of Broccoli By-Products: The Potentials for Broccoli by-Product Utilization. Molecules 2018, 23, 900. [Google Scholar] [CrossRef]
- Syed, R.U.; Moni, S.S.; Khaled, M.; Break, B.; Khojali, W.M.A.; Jafar, M.; Alshammari, M.D.; Abdelsalam, K.; Taymour, S.; Saad, K.; et al. Broccoli: A Multi-Faceted Vegetable for Health: An In-Depth Review of Its Nutritional Attributes, Antimicrobial Abilities, and Anti-Inflammatory Properties. Antibiotics 2023, 12, 1157. [Google Scholar] [CrossRef]
- Mahn, A.; Reyes, A. An Overview of Health-Promoting Compounds of Broccoli (Brassica oleracea Var. Italica) and the Effect of Processing. Food Sci. Technol. Int. 2012, 18, 503–514. [Google Scholar] [CrossRef]
- Moreno, D.A.; Carvajal, M.; López-Berenguer, C.; García-Viguera, C. Chemical and Biological Characterisation of Nutraceutical Compounds of Broccoli. J. Pharm. Biomed. Anal. 2006, 41, 1508–1522. [Google Scholar] [CrossRef]
- Plumb, G.W.; Price, K.R.; Rhodes, M.J.C.; Williamson, G. Antioxidant Properties of the Major Polyphenolic Compounds in Broccoli. Free Radic. Res. 1997, 27, 429–435. [Google Scholar] [CrossRef]
- Hodder, R.K.; O’Brien, K.M.; Wyse, R.J.; Tzelepis, F.; Yoong, S.; Stacey, F.G.; Wolfenden, L. Interventions for Increasing Fruit and Vegetable Consumption in Children Aged Five Years and Under. Cochrane Database Syst. Rev. 2024, 2024, CD008552. [Google Scholar] [CrossRef]
- Stea, T.H.; Nordheim, O.; Bere, E.; Stornes, P.; Eikemo, T.A. Fruit and Vegetable Consumption in Europe According to Gender, Educational Attainment and Regional Affiliation—A Cross-Sectional Study in 21 European Countries. PLoS ONE 2020, 15, e0232521. [Google Scholar] [CrossRef] [PubMed]
- Wallace, T.C.; Bailey, R.L.; Blumberg, J.B.; Burton-Freeman, B.; Chen, C.y.O.; Crowe-White, K.M.; Drewnowski, A.; Hooshmand, S.; Johnson, E.; Lewis, R.; et al. Fruits, Vegetables, and Health: A Comprehensive Narrative, Umbrella Review of the Science and Recommendations for Enhanced Public Policy to Improve Intake. Crit. Rev. Food Sci. Nutr. 2020, 60, 2174–2211. [Google Scholar] [CrossRef] [PubMed]
- Wu, Y.; Zhang, D.; Jiang, X.; Jiang, W. Fruit and Vegetable Consumption and Risk of Type 2 Diabetes Mellitus: A Dose-Response Meta-Analysis of Prospective Cohort Studies. Nutr. Metab. Cardiovasc. Dis. 2015, 25, 140–147. [Google Scholar] [CrossRef] [PubMed]
- Angelino, D.; Godos, J.; Ghelfi, F.; Tieri, M.; Titta, L.; Lafranconi, A.; Marventano, S.; Alonzo, E.; Gambera, A.; Sciacca, S.; et al. Fruit and Vegetable Consumption and Health Outcomes: An Umbrella Review of Observational Studies. Int. J. Food Sci. Nutr. 2019, 70, 652–667. [Google Scholar] [CrossRef]
- Fulton, S.L.; McKinley, M.C.; Young, I.S.; Cardwell, C.R.; Woodside, J.V. The Effect of Increasing Fruit and Vegetable Consumption on Overall Diet: A Systematic Review and Meta-Analysis. Crit. Rev. Food Sci. Nutr. 2016, 56, 802–816. [Google Scholar] [CrossRef]
- Zhan, J.; Liu, Y.J.; Cai, L.B.; Xu, F.R.; Xie, T.; He, Q.Q. Fruit and Vegetable Consumption and Risk of Cardiovascular Disease: A Meta-Analysis of Prospective Cohort Studies. Crit. Rev. Food Sci. Nutr. 2017, 57, 1650–1663. [Google Scholar] [CrossRef]
- Halvorsen, R.E.; Elvestad, M.; Molin, M.; Aune, D. Fruit and Vegetable Consumption and the Risk of Type 2 Diabetes: A Systematic Review and Dose-Response Meta-Analysis of Prospective Studies. BMJ Nutr. Prev. Health 2021, 4, 519–531. [Google Scholar] [CrossRef]
- Ramya, V.; Patel, P. Health Benefits of Vegetables. Int. J. Chem. Study 2019, 7, 82–87. [Google Scholar]
- Zaremba, A.; Waszkowiak, K.; Kmiecik, D.; Jędrusek-Golińska, A.; Jarzębski, M.; Szymandera-Buszka, K. The Selection of the Optimal Impregnation Conditions of Vegetable Matrices with Iodine. Molecules 2022, 27, 3351. [Google Scholar] [CrossRef]
- Szymandera-Buszka, K.; Piechocka, J.; Zaremba, A.; Przeor, M.; Jędrusek-Golińska, A. Pumpkin, Cauliflower and Broccoli as New Carriers of Thiamine Compounds for Food Fortification. Foods 2021, 10, 578. [Google Scholar] [CrossRef]
- Winder, M.; Kosztyła, Z.; Boral, A.; Kocełak, P.; Chudek, J. The Impact of Iodine Concentration Disorders on Health and Cancer. Nutrients 2022, 14, 2209. [Google Scholar] [CrossRef] [PubMed]
- Lisco, G.; De Tullio, A.; Triggiani, D.; Zupo, R.; Giagulli, V.A.; De Pergola, G.; Piazzolla, G.; Guastamacchia, E.; Sabbà, C.; Triggiani, V. Iodine Deficiency and Iodine Prophylaxis: An Overview and Update. Nutrients 2023, 15, 1004. [Google Scholar] [CrossRef] [PubMed]
- Bouga, M.; Lean, M.E.J.; Combet, E. Contemporary Challenges to Iodine Status and Nutrition: The Role of Foods, Dietary Recommendations, Fortification and Supplementation. Proc. Nutr. Soc. 2018, 77, 302–313. [Google Scholar] [CrossRef] [PubMed]
- Food and Agriculture Organization of the United Nations (FAO); International Fund for Agricultural Development (IFAD); World Food Programme (WFP); World Health Organization (WHO); The United Nations Children’s Fund (UNICEF). The State of Food Security and Nutrition in the World 2020. In Transforming Food Systems for Affordable Healthy Diets; FAO: Rome, Itay, 2020; ISBN 978-92-5-109888-2. [Google Scholar]
- Food and Agriculture Organization of the United Nations (FAO); World Health Organization (WHO); International Council for the Control of Iodine Deficiency Disorders Global Network (ICCIDD). Assessment of Iodine Deficiency Disorders and Monitoring Their Elimination: A Guide for Programme Managers; World Health Organization: Geneva, Switzerland, 2007; ISBN 978 92 4 159582 7. [Google Scholar]
- Benoist, B.; Andersson, M.; Allen, I.; Takkouche, B.; Allen, H. (Eds.) WHO Iodine Status Worldwide: WHO Global Database on Iodine Deficiency; WHO Press: Geneva, Switzerland, 2004. [Google Scholar]
- Pahuja, D.N.; Rajan, M.G.R.; Borkar, A.V.; Samuel, A.M. Potassium Iodate and Its Comparison to Potassium Iodide As a Blocker of 131I Uptake by the Thyroid in Rats. Health Phys. 1993, 65, 545–549. [Google Scholar] [CrossRef]
- Iwan, P.; Stepniak, J.; Karbownik-Lewinska, M. Pro-Oxidative Effect of KIO3 and Protective Effect of Melatonin in the Thyroid—Comparison to Other Tissues. Life 2021, 11, 592. [Google Scholar] [CrossRef]
- Li, X.; Cao, X.; Li, J.; Xu, J.; Ma, W.; Wang, H.; Wang, J.; Zhang, Y. Effects of High Potassium Iodate Intake on Iodine Metabolism and Antioxidant Capacity in Rats. J. Trace Elem. Med. Biol. 2020, 62, 126575. [Google Scholar] [CrossRef]
- Winger, R.J.; König, J.; House, D.A. Technological Issues Associated with Iodine Fortification of Foods. Trends Food Sci. Technol. 2008, 19, 94–101. [Google Scholar] [CrossRef]
- Wang, H.; Wang, J.; Xu, J.; Cai, R.X. Study on the Influence of Potassium Iodate on the Metabolism of Escherichia Coli by Intrinsic Fluorescence. Spectrochim. Acta A Mol. Biomol. Spectrosc. 2006, 64, 316–320. [Google Scholar] [CrossRef]
- Waszkowiak, K.; Szymandera-Buszka, K. Effect of Collagen Preparations Used as Carriers of Potassium Iodide on Retention of Iodine and Thiamine during Cooking and Storage of Pork Meatballs. J. Sci. Food Agric. 2007, 87, 1473–1479. [Google Scholar] [CrossRef]
- Szymandera-Buszka, K.; Waszkowiak, K. Qualitative and Quantitative Changes of Thiamine in Turkey Meatballs in the Presence of Potassium Iodide. Acta Sci. Pol. Technol. Aliment. 2003, 2, 95–101. [Google Scholar]
- Szymandera-Buszka, K.; Janitz, W.; Górecka, D. The Influence Of Iodized Salt On Quantitative And Qualitative Changes Of Thiamine In The Meat Dishes. Żywność 2000, 4, 114–121. [Google Scholar]
- Doley, J. Chapter 14—Vitamins and Minerals in Older Adults: Causes, Diagnosis, and Treatment of Deficiency. In Nutrition and Functional Foods for Healthy Aging; Watson, R.R., Ed.; Academic Press: Cambridge, MA, USA, 2017; pp. 125–137. ISBN 978-0-12-805376-8. [Google Scholar]
- Jankowska, A.; Kobus-Cisowska, J.; Szymandera-Buszka, K. Antioxidant Properties of Beetroot Fortified with Iodine. J. Res. Appl. Agric. Eng. 2023, 68, 10–15. [Google Scholar] [CrossRef]
- Zaremba, A.; Cichoń, N.; Szymandera-Buszka, K. Designing a New Plant Product Enriched in Iodine with the additive of Beetroot-Fortified with Iodine. In Food Nowadays. Local or Global, Traditional or Innovative? Post-Conference Monograph; Beszterda-Buszczak, M., Przeor, M., Eds.; Publishing House of the Poznań University of Life Sciences: Poznań, Poland, 2022; pp. 22–36. ISBN 978-83-67112-29-1. [Google Scholar]
- Vulicevic, I.R.; Abdel-Aal, E.-S.M.; Mittal, G.S.; Lu, X. Quality and Storage Life of Par-Baked Frozen Breads. LWT-Food Sci. Technol. 2004, 37, 205–213. [Google Scholar] [CrossRef]
- Kühne, D.; Wirth, F.; Wagner, H. Jodbestimmung in Jodierten Fleischerzeugnissen. Fleischwirtschaft 1993, 73, 175–178. [Google Scholar]
- Moxon, R.E.; Dixon, E.J. Semi-Automatic Method for the Determination of Total Iodine in Food. Analyst 1980, 105, 344–352. [Google Scholar] [CrossRef]
- Waszkowiak, K.; Szymandera-Buszka, K. The Application of Wheat Fibre and Soy Isolate Impregnated with Iodine Salts to Fortify Processed Meats. Meat Sci. 2008, 80, 1340–1344. [Google Scholar] [CrossRef]
- Kunachowicz, H.; Nadolna, I.; Iwanow, K.; Przygoda, B. Nutritional Value of Selected Food Products and Typical Dishes, 6th ed.; Medical Publishing House PZWL: Warszawa, Poland, 2012; ISBN 9788320044447. [Google Scholar]
- Szymandera-Buszka, K.; Waszkowiak, K. Effect of Selected Fat Products on Stability of Thiamine Hydrochloride. Food Sci. Technol. Qual. 2014, 21, 150–158. [Google Scholar] [CrossRef]
- Gudiño, I.; Martín, A.; Casquete, R.; Prieto, M.H.; Ayuso, M.C.; Córdoba, M.G. Evaluation of Broccoli (Brassica oleracea Var. Italica) Crop by-Products as Sources of Bioactive Compounds. Sci. Hortic. 2022, 304, 111284. [Google Scholar] [CrossRef]
- Re, R.; Pellegrini, N.; Protegente, A.; Pannala, A.; Yang, M.; Rice-Evans, C. Antioxidant Activity an Improved ABTS Radical Cation Decolorization Assay. Free Radic. Biol. Med. 1999, 26, 1231–1237. [Google Scholar] [CrossRef]
- Chu, Y.-H.; Chang, C.-L.; Hsu, H.-F. Flavonoid Content of Several Vegetables and Their Antioxidant Activity. J. Sci. Food Agric. 2000, 80, 561–566. [Google Scholar] [CrossRef]
- Nuutila, A.M.; Puupponen-Pimiä, R.; Aarni, M.; Oksman-Caldentey, K.-M. Comparison of Antioxidant Activities of Onion and Garlic Extracts by Inhibition of Lipid Peroxidation and Radical Scavenging Activity. Food Chem. 2003, 81, 485–493. [Google Scholar] [CrossRef]
- Wisnu, C. Determination of Iodine Species Content in Iodized Salt and Foodstuff during Cooking. Int. Food Res. J. 2008, 15, 325–330. [Google Scholar]
- Kulczynski, B.; Gramza-Michałowska, A. The Profile of Secondary Metabolites and Other Bioactive Compounds in Cucurbita pepo L. and Cucurbita moschata Pumpkin Cultivars. Molecules 2019, 24, 2945. [Google Scholar] [CrossRef]
- Hassan, M.F.Y.; Barakat, H. Effect of Carrot and Pumpkin Pulps Adding on Chemical, Rheological, Nutritional and Organoleptic Properties of Ice Cream. Food Nutr. Sci. 2018, 9, 969–982. [Google Scholar] [CrossRef][Green Version]
- Wruss, J.; Waldenberger, G.; Huemer, S.; Uygun, P.; Lanzerstorfer, P.; Müller, U.; Höglinger, O.; Weghuber, J. Compositional Characteristics of Commercial Beetroot Products and Beetroot Juice Prepared from Seven Beetroot Varieties Grown in Upper Austria. J. Food Compos. Anal. 2015, 42, 46–55. [Google Scholar] [CrossRef]
- Akan, S.; Tuna Gunes, N.; Erkan, M. Red Beetroot: Health Benefits, Production Techniques, and Quality Maintaining for Food Industry. J. Food Process Preserv. 2021, 45, e15781. [Google Scholar] [CrossRef]
- Liliana, C.; Oana-Viorela, N. Red Beetroot: Composition and Health Effects—A Review. J. Nutr. Med. Diet Care 2020, 6, 1–9. [Google Scholar] [CrossRef]
- Bemfeito, C.M.; Carneiro, J.d.D.S.; Carvalho, E.E.N.; Coli, P.C.; Pereira, R.C.; Vilas Boas, E.V.d.B. Nutritional and Functional Potential of Pumpkin (Cucurbita moschata) Pulp and Pequi (Caryocar brasiliense Camb.) Peel Flours. J. Food Sci. Technol. 2020, 57, 3920–3925. [Google Scholar] [CrossRef]
- Immaculate, N.; Eunice, A.O.; Grace, K.-R. Nutritional Physico-Chemical Composition of Pumpkin Pulp for Value Addition: Case of Selected Cultivars Grown in Uganda. Afr. J. Food Sci. 2020, 14, 233–243. [Google Scholar] [CrossRef]
- Malkanthi, A.; Hiremath, U. Pumpkin Powder (Cucurbita maxima)-Supplemented String Hoppers as a Functional Food. Int. J. Food Nutr. Sci. 2020, 9, 2. [Google Scholar] [CrossRef]
- Saewan, S.A.; George, S. Preparation of Pumpkin Pulp and Peel Flour and Study Their Impact in the Biscuit Industry. J. Biol. Agric. Healthc. 2020, 10, 25–33. [Google Scholar] [CrossRef]
- Szymandera-Buszka, K.; Waszkowiak, K.; Kaczmarek, A.; Zaremba, A. Wheat Dietary Fibre and Soy Protein as New Carriers of Iodine Compounds for Food Fortification—The Effect of Storage Conditions on the Stability of Potassium Iodide and Potassium Iodate. LWT-Food Sci. Technol. 2021, 137, 110424. [Google Scholar] [CrossRef]
- Lena, J.; Maisam, S.; Zaid, A. Study of the Effect of Storage Conditions on Stability of Iodine in Iodized Table Salt. J. Chem. Pharm. Res. 2015, 7, 701–706. Available online: www.jocpr.com (accessed on 30 October 2024).
- Milczarek, M.; Stepniak, J.; Lewinski, A.; Karbownik-Lewinska, M. Potassium Iodide, but Not Potassium Iodate, as a Potential Protective Agent against Oxidative Damage to Membrane Lipids in Porcine Thyroid. Thyroid Res. 2013, 6, 1. [Google Scholar] [CrossRef]
- Piechocka, J.; Gramza-Michałowska, A.; Szymandera-Buszka, K. The Changes in Antioxidant Activity of Selected Flavonoids and Caffeine Depending on the Dosage and Form of Thiamine. Molecules 2021, 26, 4702. [Google Scholar] [CrossRef]
- Jankowska, A.; Szymandera-Buszka, K.E. The effect of iodine fortification on—The antioxidant activity of carrots and cauliflower. Acta Sci. Pol. Technol. Aliment. 2024, 23, 371–378. [Google Scholar] [CrossRef]
- Zaremba, A.; Hęś, M.; Jędrusek-Golińska, A.; Przeor, M.; Szymandera-Buszka, K. The Antioxidant Properties of Selected Varieties of Pumpkin Fortified with Iodine in the Form of Potassium Iodide and Potassium Iodate. Foods 2023, 12, 2792. [Google Scholar] [CrossRef]
- Betoret, E.; Rosell, C.M. Enrichment of Bread with Fruits and Vegetables: Trends and Strategies to Increase Functionality. Cereal Chem. 2020, 97, 9–19. [Google Scholar] [CrossRef]
- Amoah, I.; Cairncross, C.; Rush, E. Vegetable-Enriched Bread: Pilot and Feasibility Study of Measurement of Changes in Skin Carotenoid Concentrations by Reflection Spectroscopy as a Biomarker of Vegetable Intake. Food Sci. Nutr. 2023, 11, 3376–3384. [Google Scholar] [CrossRef]
- Adubofuor, J.; Anomah, J.W.; Amoah, I. Anti-Nutritional Factors and Mineral Composition of Pumpkin Pulp and Functional Properties of Pumpkin—Wheat Composite Flour for Bread Preparation. Int. J. Innov. Food Sci. Technol. 2018, 1, 1–9. [Google Scholar] [CrossRef]
- Mohammed, N.S.; Awaad, E.A.; Salah, A.A.; Gaballa, A.S. Technological and Chemical Studies on Bread Supplemented with Some Vegetables Powder. J. Home Econ. Menoufia Univ. 2022, 32, 76–93. [Google Scholar]
- Prerana, S.; Anupama, D. Influence of Carrot Puree Incorporation on Quality Characteristics of Instant Noodles. J. Food Process Eng. 2020, 43, e13270. [Google Scholar] [CrossRef]
- Minarovičová, L.; Lauková, M.; Kohajdová, Z.; Karovičová, J.; Kuchtová, V. Effect of Pumpkin Powder Incorporation on Cooking and Sensory Parameters of Pasta. Potravin. Slovak J. Food Sci. 2017, 11, 373–379. [Google Scholar] [CrossRef] [PubMed]
- Novita Indrianti, N.; Sholichah, E.; Afifah, N. Pumpkin Flour Effects on Antioxidant Activity, Texture, and Sensory Attributes of Flat Tubers Noodle. In Proceedings of the IOP Conference Series: Materials Science and Engineering, Tangerang, Indonesia, 18–20 November 2020; IOP Publishing Ltd.: Bristol, UK; Volume 1011. [Google Scholar]
- Rasmussen, L.B.; Jørgensen, T.; Perrild, H.; Knudsen, N.; Krejbjerg, A.; Laurberg, P.; Pedersen, I.B.; Bjergved, L.; Ovesen, L. Mandatory Iodine Fortification of Bread and Salt Increases Iodine Excretion in Adults in Denmark—A 11-Year Follow-up Study. Clin. Nutr. 2014, 33, 1033–1040. [Google Scholar] [CrossRef]
- Verkaik-Kloosterman, J.; Buurma-Rethans, E.J.M.; Dekkers, A.L.M.; Van Rossum, C.T.M. Decreased, but Still Sufficient, Iodine Intake of Children and Adults in the Netherlands. Br. J. Nutr. 2017, 117, 1020–1031. [Google Scholar] [CrossRef]





| Predictors | SS | df | MSE | F-Value | p-Value |
|---|---|---|---|---|---|
| GNOCCHI | |||||
| after the thermal processing | |||||
| IODINE | |||||
| Vegetable type | 1083.10 | 5.00 | 216.62 | 1.06 | 0.40 |
| Iodine form | 9680.54 | 2.00 | 4840.27 | 19,063.34 | 0.00 |
| DPPH• | |||||
| Vegetable type | 2623.20 | 5.00 | 524.60 | 2618.00 | 0.00 |
| Iodine form | 188.40 | 2.00 | 94.20 | 1.73 | 0.19 |
| ABTS•+ | |||||
| Vegetable type | 2188.86 | 5.00 | 437.77 | 7810.55 | 0.00 |
| Iodine form | 171.90 | 2.00 | 86.00 | 1.92 | 0.16 |
| CIABATTA | |||||
| after the thermal processing | |||||
| IODINE | |||||
| Vegetable type | 8.58 | 4.00 | 2.15 | 3.26 | 0.03 |
| Iodine form | 16.06 | 1.00 | 16.06 | 50.03 | 0.00 |
| THIAMINE | |||||
| Vegetable type | 0.01 | 5.00 | 0.00 | 20.08 | 0.00 |
| Iodine form | 0.00 | 2.00 | 0.00 | 0.51 | 0.60 |
| DPPH• | |||||
| Vegetable type | 2623.20 | 5.00 | 524.60 | 2618.00 | 0.00 |
| Iodine form | 188.40 | 2.00 | 94.20 | 1.73 | 0.19 |
| ABTS•+ | |||||
| Vegetable type | 2188.86 | 5.00 | 437.77 | 7810.55 | 0.00 |
| Iodine form | 171.90 | 2.00 | 86.00 | 1.92 | 0.16 |
Disclaimer/Publisher’s Note: The statements, opinions and data contained in all publications are solely those of the individual author(s) and contributor(s) and not of MDPI and/or the editor(s). MDPI and/or the editor(s) disclaim responsibility for any injury to people or property resulting from any ideas, methods, instructions or products referred to in the content. |
© 2024 by the authors. Licensee MDPI, Basel, Switzerland. This article is an open access article distributed under the terms and conditions of the Creative Commons Attribution (CC BY) license (https://creativecommons.org/licenses/by/4.0/).
Share and Cite
Jankowska, A.; Szymandera-Buszka, K. Nutritional Adequacy of Flour Product Enrichment with Iodine-Fortified Plant-Based Products. Nutrients 2024, 16, 4261. https://doi.org/10.3390/nu16244261
Jankowska A, Szymandera-Buszka K. Nutritional Adequacy of Flour Product Enrichment with Iodine-Fortified Plant-Based Products. Nutrients. 2024; 16(24):4261. https://doi.org/10.3390/nu16244261
Chicago/Turabian StyleJankowska, Agata, and Krystyna Szymandera-Buszka. 2024. "Nutritional Adequacy of Flour Product Enrichment with Iodine-Fortified Plant-Based Products" Nutrients 16, no. 24: 4261. https://doi.org/10.3390/nu16244261
APA StyleJankowska, A., & Szymandera-Buszka, K. (2024). Nutritional Adequacy of Flour Product Enrichment with Iodine-Fortified Plant-Based Products. Nutrients, 16(24), 4261. https://doi.org/10.3390/nu16244261

