Metabolic and Hormonal Responses to Isomaltulose Ingestion Before or During Sustained Submaximal Exercise in Adults with Type 1 Diabetes Using Automated Insulin Delivery Systems
Abstract
1. Introduction
2. Methods and Materials
2.1. Study Design and Ethical Approval
2.2. Screening Procedures
2.3. Insulin Therapy Regime
2.4. Experimental Day Procedures
2.5. Blood Sampling Procedures
2.6. Participant Characteristics
2.7. Statistical Analyses
3. Results
3.1. Plasma Glucose Responses
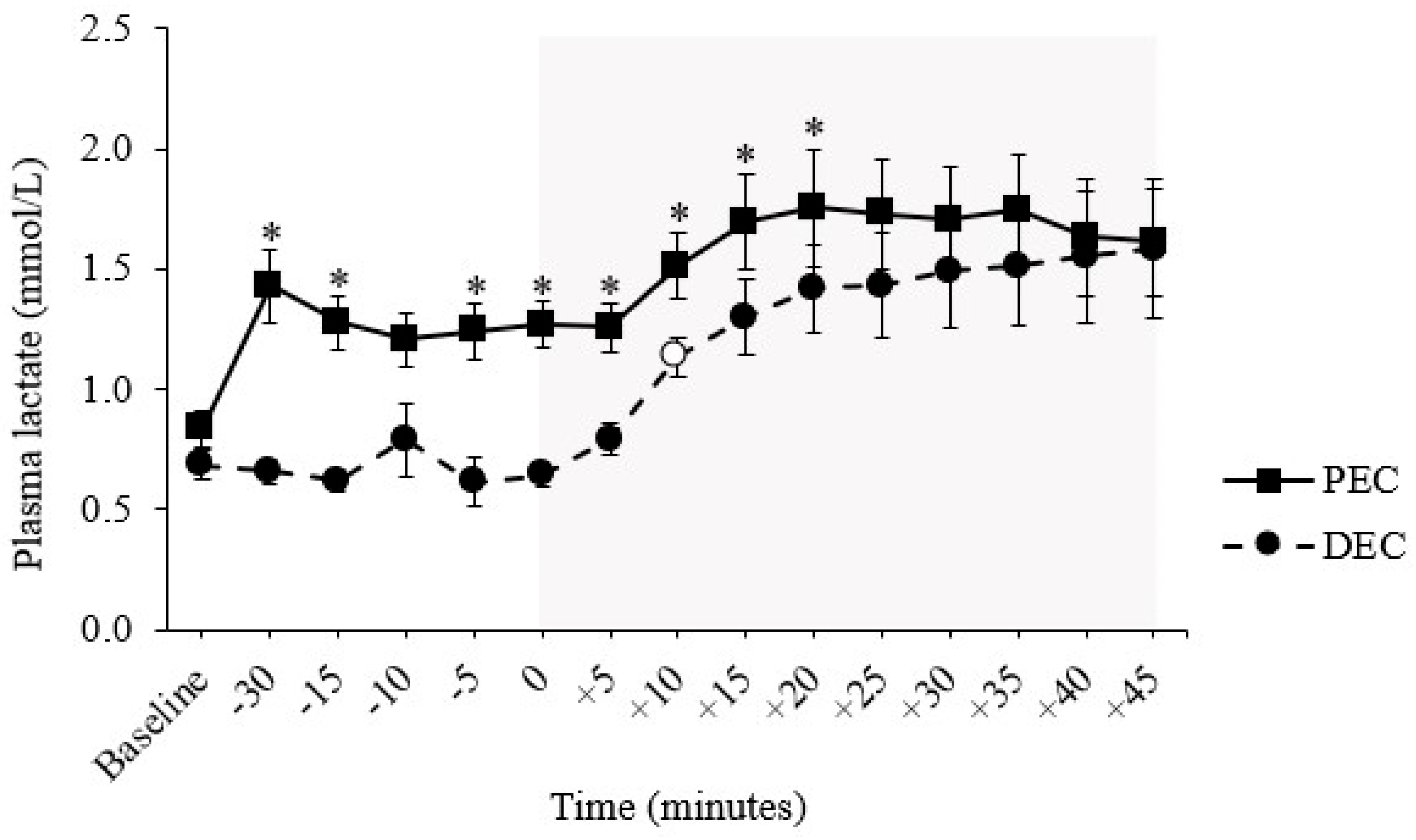
3.2. Plasma Lactate Responses
3.3. Incretin Hormone Responses
3.3.1. Glucagon-like Peptide-1 (GLP-1)
3.3.2. Glucose-Dependent Insulinotropic Polypeptide (GIP)
3.4. Pancreatic Hormone Responses
3.4.1. Glucagon
3.4.2. Insulin
3.5. Exercise Physiological Responses
4. Discussion
4.1. Glycemic Responses
4.2. Glucoregulatory Hormone Responses
4.3. Shifts in Fuel Metabolism
5. Concluding Remarks
6. Study Strengths, Limitations, and Future Research Directions
Author Contributions
Funding
Institutional Review Board Statement
Informed Consent Statement
Data Availability Statement
Acknowledgments
Conflicts of Interest
References
- Kim, W.; Egan, J.M. The Role of Incretins in Glucose Homeostasis and Diabetes Treatment. Pharmacol. Rev. 2008, 60, 470. [Google Scholar] [CrossRef]
- Alsalim, W.; Lindgren, O.; Ahrén, B. Glucose-dependent insulinotropic polypeptide and glucagon-like peptide-1 secretion in humans: Characteristics and regulation. J. Diabetes Investig. 2023, 14, 354–361. [Google Scholar] [CrossRef]
- Pitt, J.P.; McCarthy, O.M.; Hoeg-Jensen, T.; Wellman, B.M.; Bracken, R.M. Factors Influencing Insulin Absorption Around Exercise in Type 1 Diabetes. Front. Endocrinol. 2020, 11, 793. [Google Scholar] [CrossRef]
- McCarthy, O.M.; Christensen, M.B.; Kristensen, K.B.; Schmidt, S.; Ranjan, A.G.; Bain, S.C.; Bracken, R.M.; Nørgaard, K. Automated Insulin Delivery Around Exercise in Adults with Type 1 Diabetes: A Pilot Randomized Controlled Study. Diabetes Technol. Ther. 2023, 25, 476–484. [Google Scholar] [CrossRef]
- McCarthy, O.; Deere, R.; Churm, R.; Dunseath, G.J.; Jones, C.; Eckstein, M.L.; Williams, D.M.; Hayes, J.; Pitt, J.; Bain, S.C.; et al. Extent and prevalence of post-exercise and nocturnal hypoglycemia following peri-exercise bolus insulin adjustments in individuals with type 1 diabetes. Nutr. Metab. Cardiovasc. Dis. 2020, 31, 227–236. [Google Scholar] [CrossRef]
- Riddell, M.C.; Gallen, I.W.; Smart, C.E.; Taplin, C.E.; Adolfsson, P.; Lumb, A.N.; Kowalski, A.; Rabasa-Lhoret, R.; McCrimmon, R.J.; Hume, C.; et al. Exercise management in type 1 diabetes: A consensus statement. Lancet Diabetes Endocrinol. 2017, 5, 377–390. [Google Scholar] [CrossRef]
- Campbell, M.D.; Walker, M.; Bracken, R.M.; Turner, D.; Stevenson, E.J.; Gonzalez, J.T.; Shaw, J.A.; West, D.J. Insulin therapy and dietary adjustments to normalize glycemia and prevent nocturnal hypoglycemia after evening exercise in type 1 diabetes: A randomized controlled trial. BMJ Open Diabetes Res. Care 2015, 3, e000085. [Google Scholar] [CrossRef]
- West, D.J.; Stephens, J.W.; Bain, S.C.; Kilduff, L.P.; Luzio, S.; Still, R.; Bracken, R.M. A combined insulin reduction and carbohydrate feeding strategy 30 min before running best preserves blood glucose concentration after exercise through improved fuel oxidation in type 1 diabetes mellitus. J. Sports Sci. 2011, 29, 279–289. [Google Scholar] [CrossRef]
- West, D.J.; Morton, R.D.; Stephens, J.W.; Bain, S.C.; Kilduff, L.P.; Luzio, S.; Still, R.; Bracken, R.M. Isomaltulose improves postexercise glycemia by reducing CHO oxidation in T1DM. Med. Sci. Sports Exerc. 2011, 43, 204–210. [Google Scholar] [CrossRef]
- McCarthy, O.M.; Christensen, M.B.; Kristensen, K.B.; Schmidt, S.; Ranjan, A.G.; Bain, S.C.; Bracken, R.M.; Nørgaard, K. Glycaemia around exercise in adults with type 1 diabetes using automated and non-automated insulin delivery pumps: A switch pilot trial. Diabetes Technol. Ther. 2023, 25, 287–292. [Google Scholar] [CrossRef]
- O’Neal, D.N.; Zaharieva, D.P.; Morrison, D.; McCarthy, O.; Nørgaard, K. Exercising Safely with the MiniMedTM 780G Automated Insulin Delivery System. Diabetes Technol. Ther. 2024, 26, 84–96. [Google Scholar] [CrossRef]
- Bracken, R.M.; Page, R.; Gray, B.; Kilduff, L.P.; West, D.J.; Stephens, J.W.; Bain, S.C. Isomaltulose improves glycemia and maintains run performance in type 1 diabetes. Med. Sci. Sports Exerc. 2012, 44, 800–808. [Google Scholar] [CrossRef]
- Jeukendrup, A.E.; Jentjens, R. Oxidation of carbohydrate feedings during prolonged exercise: Current thoughts, guidelines and directions for future research. Sports Med. 2000, 29, 407–424. [Google Scholar] [CrossRef] [PubMed]
- Lina, B.A.R.; Jonker, D.; Kozianowski, G. Isomaltulose (Palatinose®): A review of biological and toxicological studies. Food Chem. Toxicol. 2002, 40, 1375–1381. [Google Scholar] [CrossRef]
- Ang, M.; Linn, T. Comparison of the effects of slowly and rapidly absorbed carbohydrates on postprandial glucose metabolism in type 2 diabetes mellitus patients: A randomized trial. Am. J. Clin. Nutr. 2014, 100, 1059–1068. [Google Scholar] [CrossRef]
- Maeda, A.; Miyagawa, J.I.; Miuchi, M.; Nagai, E.; Konishi, K.; Matsuo, T.; Tokuda, M.; Kusunoki, Y.; Ochi, H.; Murai, K.; et al. Effects of the naturally-occurring disaccharides, palatinose and sucrose, on incretin secretion in healthy non-obese subjects. J. Diabetes Investig. 2013, 4, 281–286. [Google Scholar] [CrossRef]
- Keyhani-Nejad, F.; Kemper, M.; Schueler, R.; Pivovarova, O.; Rudovich, N.; Pfeiffer, A.F.H. Effects of Palatinose and Sucrose Intake on Glucose Metabolism and Incretin Secretion in Subjects With Type 2 Diabetes. Diabetes Care 2016, 39, e38–e39. [Google Scholar] [CrossRef]
- Phillip, M.; Nimri, R.; Bergenstal, R.M.; Barnard-Kelly, K.; Danne, T.; Hovorka, R.; Kovatchev, B.P.; Messer, L.H.; Parkin, C.G.; Ambler-Osborn, L.; et al. Consensus Recommendations for the Use of Automated Insulin Delivery (AID) Technologies in Clinical Practice. Endocr Rev. 2022, 44, 254–280. [Google Scholar] [CrossRef]
- Guides and Manuals|Medtronic Diabetes. Available online: https://www.medtronic-diabetes.com.au/support/guides-and-manuals/minimed-780g/guides (accessed on 4 January 2023).
- Jeukendrup, A.E.; Wallis, G.A. Measurement of substrate oxidation during exercise by means of gas exchange measurements. Int. J. Sports Med. Suppl. 2005, 26, S28–S37. [Google Scholar] [CrossRef] [PubMed]
- Battelino, T.; Danne, T.; Bergenstal, R.M.; Amiel, S.A.; Beck, R.; Biester, T.; Bosi, E.; Buckingham, B.A.; Cefalu, W.T.; Close, K.L.; et al. Clinical Targets for Continuous Glucose Monitoring Data Interpretation: Recommendations From the International Consensus on Time in Range. Diabetes Care 2019, 42, 1593–1603. [Google Scholar] [CrossRef] [PubMed]
- Wolfe, R.R.; Nadel, E.R.; Shaw, J.H.F.; Stephenson, L.A. Role of changes in insulin and glucagon in glucose homeostasis in exercise. J. Clin. Investig. 1986, 77, 900–907. [Google Scholar] [CrossRef] [PubMed]
- Orskov, C.; Jeppesen, J.; Madsbad, S.; Holst, J.J. Proglucagon products in plasma of noninsulin-dependent diabetics and nondiabetic controls in the fasting state and after oral glucose and intravenous arginine. J. Clin. Investig. 1991, 87, 415–423. [Google Scholar] [CrossRef] [PubMed]
- Galbo, H. Hormonal and Metabolic Adaptation to Exercise; Georg Thieme Verlag: New York, NY, USA, 1983. [Google Scholar]
- Zilstorff, D.B.; Richter, M.M.; Hannibal, J.; Jørgensen, H.L.; Sennels, H.P.; Wewer Albrechtsen, N.J. Secretion of glucagon, GLP-1 and GIP may be affected by circadian rhythm in healthy males. BMC Endocr. Disord. 2024, 24, 38. [Google Scholar] [CrossRef]
- Bodnaruc, A.M.; Prud’Homme, D.; Blanchet, R.; Giroux, I. Nutritional modulation of endogenous glucagon-like peptide-1 secretion: A review. Nutr. Metab. 2016, 13, 92. [Google Scholar] [CrossRef]
- El, K.; Campbell, J.E. The role of GIP in α-cells and glucagon secretion. Peptides 2019, 125, 170213. [Google Scholar] [CrossRef]
- KAYE, R.; WILLIAMS, M.L.; BARBERO, G. Comparative study of glucose and fructose metabolism in infants with reference to utilization and to the accumulation of glycolytic intermediates. J. Clin. Investig. 1958, 37, 752–762. [Google Scholar] [CrossRef]
- Horowitz, J.F.; Mora-Rodriguez, R.; Byerley, L.O.; Coyle, E.F. Lipolytic suppression following carbohydrate ingestion limits fat oxidation during exercise. Am. J. Physiol. Endocrinol. Metab. 1997, 273, E768–E775. [Google Scholar] [CrossRef]
- Wu, C.L.; Nicholas, C.; Williams, C.; Took, A.; Hardy, L. The influence of high-carbohydrate meals with different glycaemic indices on substrate utilisation during subsequent exercise. Br. J. Nutr. 2003, 90, 1049–1056. [Google Scholar] [CrossRef]
- Trenell, M.I.; Stevenson, E.; Stockmann, K.; Brand-miller, J. Effect of high and low glycaemic index recovery diets on intramuscular lipid oxidation during aerobic exercise. Br. J. Nutr. 2008, 99, 326–332. [Google Scholar] [CrossRef]




| Characteristic | Mean ± SD |
|---|---|
| Age (years) | 47 ± 16 |
| BMI (kg/m2) | 27.5 ± 3.8 |
| Diabetes duration (years) | 23 ± 11 |
| Age of diabetes onset (years) | 25 ± 14 |
| HbA1c (% [mmol/mol]) | 8.3 ± 0.9 (67.5 ± 9.5) |
| TDD (U/kg) | 0.6 ± 0.1 |
| Systolic BP (mmHg) | 133 ± 12 |
| Diastolic BP (mmHg) | 77 ± 10 |
| MAP (mmHg) | 96 ± 8 |
| Total cholestrol (mmol/L) | 4.4 ± 0.7 |
| HDL (mmol/L) | 1.9 ± 0.6 |
| LDL (mmol/L) | 2.0 ± 0.5 |
| VLDL (mmol/L) | 0.5 ± 0.2 |
| Triglycerides (mmol/L) | 1.0 ± 0.4 |
| V̇O2peak (L/min [mL/min/kg]) | 1.9 ± 0.8 (24.2 ± 8.5) |
| Powerpeak (Watts [Watts/kg]) | 187.5 ± 62.3 (2.4 ± 0.7) |
| Parameter | PEC | DEC | p-Value |
|---|---|---|---|
| Overall (Baseline to +45 min) | |||
| Mean (mmol/L) | 8.2 ± 2.0 | 7.8 ± 0.7 | 0.687 |
| SD (mmol/L) | 1.3 ± 0.4 | 0.8 ± 0.4 | 0.040 |
| CV (%) | 16.0 ± 4.5 | 10.0 ± 5.0 | 0.059 |
| Max (mmol/L) | 9.8 ± 2.0 | 9.2 ± 1.1 | 0.515 |
| Min (mmol/L) | 5.8 ± 1.5 | 6.8 ± 0.9 | 0.168 |
| TBR (%) | 0.9 ± 2.5 | 0.0 ± 0.0 | 0.351 |
| TIR (%) | 73.3 ± 36.8 | 95.8 ± 6.1 | 0.136 |
| TAR (%) | 25.8 ± 37.4 | 4.2 ± 6.1 | 0.155 |
| Exercise (0 min to +45 min) | |||
| Mean (mmol/L) | 7.8 ± 2.1 | 8.1 ± 0.6 | 0.751 |
| SD (mmol/L) | 1.2 ± 0.4 | 0.7 ± 0.5 | 0.127 |
| CV (%) | 15.3 ± 4.9 | 8.9 ± 5.7 | 0.069 |
| Max (mmol/L) | 9.2 ± 2.3 | 9.1 ± 1.0 | 0.923 |
| Min (mmol/L) | 6.0 ± 2.0 | 7.1 ± 0.8 | 0.243 |
| TBR (%) | 1.4 ± 3.9 | 0.0 ± 0.0 | 0.351 |
| TIR (%) | 76.1 ± 35.4 | 96.3 ± 7.4 | 0.182 |
| TAR (%) | 22.5 ± 36.2 | 3.8 ± 7.4 | 0.221 |
| Parameter | PEC | DEC | p Value |
|---|---|---|---|
| Intensity (%V̇O2peak) | 61.4 ± 14.4 | 59.8 ± 12.2 | 0.714 |
| Heart rate (bpm) | 112 ± 11 | 113 ± 16 | 0.823 |
| V̇O2 (L/min) | 1.06 ± 0.28 | 1.02 ± 0.35 | 0.377 |
| V̇CO2 (L/min) | 0.94 ± 0.23 | 0.87 ± 0.29 | 0.096 |
| RER | 0.89 ± 0.04 | 0.85 ± 0.02 | 0.019 |
| O2 pulse (mL/min) | 9.5 ± 2.3 | 9.0 ± 2.9 | 0.331 |
| V̇E (L/min) | 31.6 ± 8.4 | 30.2 ± 13.4 | 0.522 |
| PETO2 (kPa) | 14.6 ± 0.71 | 14.4 ± 0.72 | 0.102 |
| PETCO2 (kPa) | 4.8 ± 0.4 | 4.8 ± 0.6 | 0.984 |
| EqO2 | 26.5 ± 3.8 | 25.4 ± 4.7 | 0.237 |
| EqCO2 | 29.8 ± 3.4 | 29.7 ± 5.3 | 0.915 |
| Carbohydrate oxidation (g/min) | 0.80 ± 0.21 | 0.63 ± 0.19 | 0.009 |
| Carbohydrate oxidation (% total energy) | 64.1 ± 13.3 | 53.4 ± 7.5 | 0.060 |
| Lipid oxidation (g/min) | 0.21 ± 0.11 | 0.26 ± 0.11 | 0.084 |
| Lipid oxidation (% total energy) | 35.9 ± 13.3 | 46.6 ± 7.5 | 0.014 |
| Total energy (kcals) | 228.6 ± 57.9 | 216.6 ± 73.7 | 0.242 |
Disclaimer/Publisher’s Note: The statements, opinions and data contained in all publications are solely those of the individual author(s) and contributor(s) and not of MDPI and/or the editor(s). MDPI and/or the editor(s) disclaim responsibility for any injury to people or property resulting from any ideas, methods, instructions or products referred to in the content. |
© 2024 by the authors. Licensee MDPI, Basel, Switzerland. This article is an open access article distributed under the terms and conditions of the Creative Commons Attribution (CC BY) license (https://creativecommons.org/licenses/by/4.0/).
Share and Cite
McCarthy, O.M.; Christensen, M.B.; Tawfik, S.; Kristensen, K.B.; Hartmann, B.; Holst, J.J.; Schmidt, S.; Nørgaard, K.; Bracken, R.M. Metabolic and Hormonal Responses to Isomaltulose Ingestion Before or During Sustained Submaximal Exercise in Adults with Type 1 Diabetes Using Automated Insulin Delivery Systems. Nutrients 2024, 16, 4098. https://doi.org/10.3390/nu16234098
McCarthy OM, Christensen MB, Tawfik S, Kristensen KB, Hartmann B, Holst JJ, Schmidt S, Nørgaard K, Bracken RM. Metabolic and Hormonal Responses to Isomaltulose Ingestion Before or During Sustained Submaximal Exercise in Adults with Type 1 Diabetes Using Automated Insulin Delivery Systems. Nutrients. 2024; 16(23):4098. https://doi.org/10.3390/nu16234098
Chicago/Turabian StyleMcCarthy, Olivia M., Merete Bechmann Christensen, Sandra Tawfik, Kasper Birch Kristensen, Bolette Hartmann, Jens Juul Holst, Signe Schmidt, Kirsten Nørgaard, and Richard M. Bracken. 2024. "Metabolic and Hormonal Responses to Isomaltulose Ingestion Before or During Sustained Submaximal Exercise in Adults with Type 1 Diabetes Using Automated Insulin Delivery Systems" Nutrients 16, no. 23: 4098. https://doi.org/10.3390/nu16234098
APA StyleMcCarthy, O. M., Christensen, M. B., Tawfik, S., Kristensen, K. B., Hartmann, B., Holst, J. J., Schmidt, S., Nørgaard, K., & Bracken, R. M. (2024). Metabolic and Hormonal Responses to Isomaltulose Ingestion Before or During Sustained Submaximal Exercise in Adults with Type 1 Diabetes Using Automated Insulin Delivery Systems. Nutrients, 16(23), 4098. https://doi.org/10.3390/nu16234098

