Prevalence, Risk Factors and Association with Clinical Outcomes of Malnutrition and Sarcopenia in Inflammatory Bowel Disease: A Prospective Study
Abstract
1. Introduction
2. Materials and Methods
2.1. Research Ethics
2.2. Clinical Data Collection
2.3. Physical Examination and Nutritional Assessment
2.4. Malnutrition and Sarcopenia Diagnoses
2.5. Statistical Analyses
3. Results
3.1. Nutritional Status and Risk Factors for Malnutrition
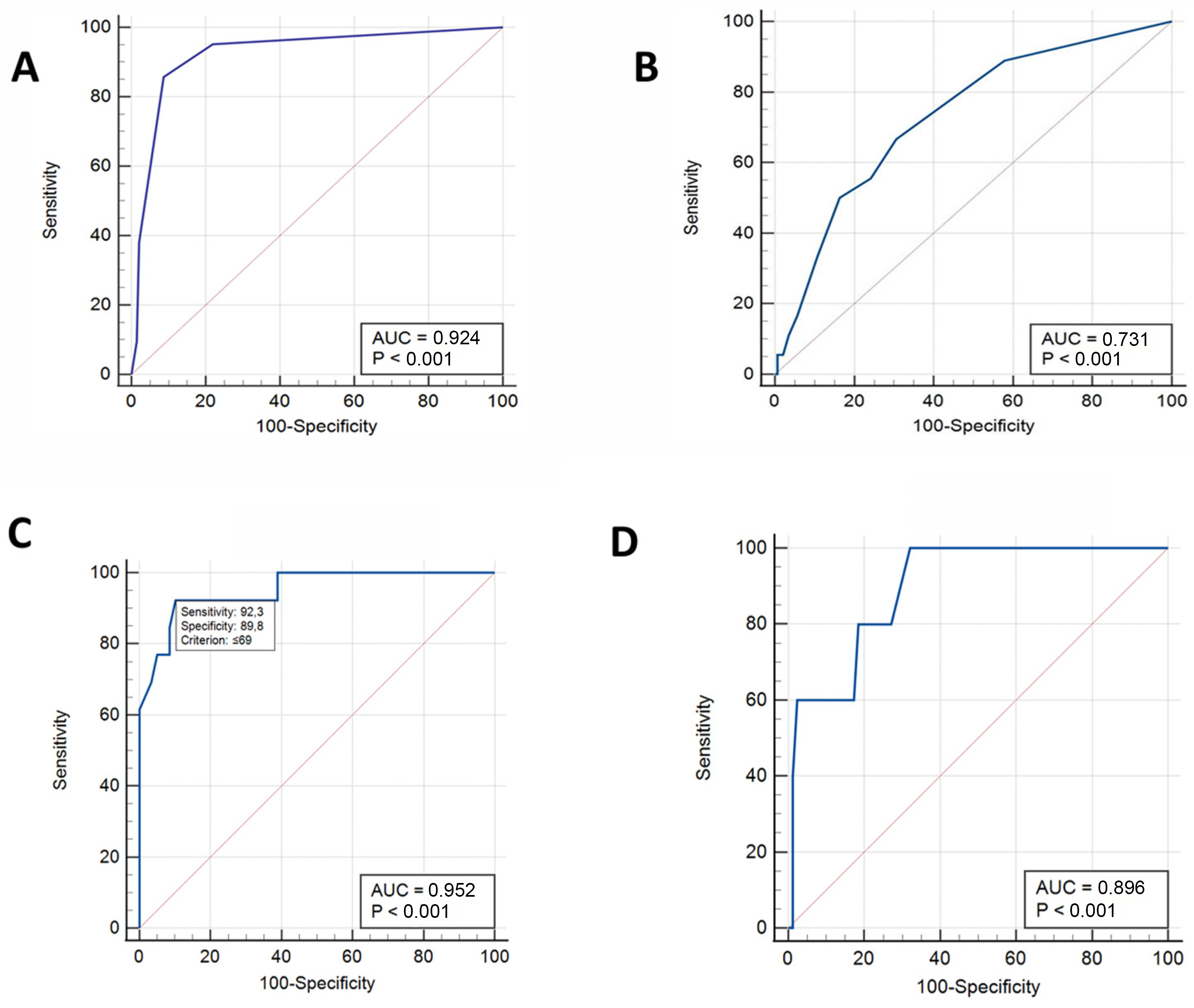
3.2. Assessment of Malnutrition Risk and Prediction of Malnutrition
3.3. Sarcopenia Diagnosis and Association with Malnutrition
3.4. Nutritional Consultation and Intervention; Association Between Sarcopenia–Malnutrition and Negative Clinical Outcomes
4. Discussion
5. Conclusions
Author Contributions
Funding
Institutional Review Board Statement
Informed Consent Statement
Data Availability Statement
Acknowledgments
Conflicts of Interest
References
- Wellcome Trust Case Control Consortium. Genome-wide association study of 14,000 cases of seven common diseases and 3000 shared controls. Nature 2007, 447, 661–678. [Google Scholar] [CrossRef] [PubMed]
- Franke, A.; Balschun, T.; Karlsen, T.H.; Sventoraityte, J.; Nikolaus, S.; Mayr, G.; Domingues, F.S.; Albrecht, M.; Nothnagel, M.; Ellinghaus, D.; et al. Sequence variants in IL10, ARPC2 and multiple other loci contribute to ulcerative colitis susceptibility. Nat. Genet. 2008, 40, 1319–1323. [Google Scholar] [CrossRef] [PubMed]
- Rioux, J.D.; Xavier, R.J.; Taylor, K.D.; Silverberg, M.S.; Goyette, P.; Huett, A.; Green, T.; Kuballa, P.; Barmada, M.M.; Datta, L.W.; et al. Genome-wide association study identifies new susceptibility loci for Crohn disease and implicates autophagy in disease pathogenesis. Nat. Genet. 2007, 39, 596–604. [Google Scholar] [CrossRef] [PubMed]
- Rao, S.S.; Holdsworth, C.D.; Read, N.W. Symptoms and stool patterns in patients with ulcerative colitis. Gut 1988, 29, 342–345. [Google Scholar] [CrossRef] [PubMed]
- Lennard-Jones, J.E.; Shivananda, S. Clinical uniformity of inflammatory bowel disease a presentation and during the first year of disease in the north and south of Europe. EC-IBD Study Group. Eur. J. Gastroenterol. Hepatol. 1997, 9, 353–359. [Google Scholar] [CrossRef]
- Fact Sheets—Malnutrition. Available online: https://www.who.int/news-room/fact-sheets/detail/malnutrition (accessed on 13 November 2024).
- Vadan, R.; Gheorghe, L.S.; Constantinescu, A.; Gheorghe, C. The prevalence of malnutrition and the evolution of nutritional status in patients with moderate to severe forms of Crohn’s disease treated with Infliximab. Clin. Nutr. Edinb. Scotl. 2011, 30, 86–91. [Google Scholar] [CrossRef]
- Nutritional Status in Patients with Active Inflammatory Bowel Disease: Prevalence of Malnutrition and Methods for Routine Nutritional Assessment—PubMed. Available online: https://pubmed.ncbi.nlm.nih.gov/20603043/ (accessed on 13 November 2024).
- Casanova, M.J.; Chaparro, M.; Molina, B.; Merino, O.; Batanero, R.; Dueñas-Sadornil, C.; Robledo, P.; Garcia-Albert, A.M.; Gómez-Sánchez, M.B.; Calvet, X.; et al. Prevalence of Malnutrition and Nutritional Characteristics of Patients With Inflammatory Bowel Disease. J. Crohns Colitis 2017, 11, 1430–1439. [Google Scholar] [CrossRef]
- Nationwide Prevalence and Prognostic Significance of Clinically Diagnosable Protein-Calorie Malnutrition in Hospitalized Inflammatory Bowel Disease Patients—PubMed. Available online: https://pubmed.ncbi.nlm.nih.gov/18302272/ (accessed on 13 November 2024).
- Viganò, C.; Palermo, A.; Mulinacci, G.; Pirola, L.; Losco, A.; Meucci, G.; Saibeni, S.; Pastorelli, L.; Amato, A.; Gatti, M.; et al. Prevalence of Disease-Related Malnutrition and Micronutrients Deficit in Patients with Inflammatory Bowel Disease: A Multicentric Cross-Sectional Study by the GSMII (Inflammatory Bowel Disease Study Group). Inflamm. Bowel Dis. 2024, 30, 1112–1120. [Google Scholar] [CrossRef]
- Singh, A.; Midha, V.; Mahajan, R.; Verma, S.; Kakkar, C.; Grover, J.; Singh, D.; Kaur, R.; Masih, A.; Bansal, N.; et al. Evaluation of Nutritional Characteristics Reveals Similar Prevalence of Malnutrition in Patients with Ulcerative Colitis and Crohn’s Disease. Dig. Dis. Sci. 2023, 68, 580–595. [Google Scholar] [CrossRef]
- Fiorindi, C.; Dragoni, G.; Scaringi, S.; Staderini, F.; Nannoni, A.; Ficari, F.; Giudici, F. Relationship between Nutritional Screening Tools and GLIM in Complicated IBD Requiring Surgery. Nutrients 2021, 13, 3899. [Google Scholar] [CrossRef]
- Magen-Rimon, R.; Day, A.S.; Shaoul, R. Nutritional aspects of inflammatory bowel disease. Expert Rev. Gastroenterol. Hepatol. 2023, 17, 731–740. [Google Scholar] [CrossRef] [PubMed]
- Bonsack, O.; Caron, B.; Baumann, C.; Heba, A.C.; Vieujean, S.; Arnone, D.; Netter, P.; Danese, S.; Quilliot, D.; Peyrin-Biroulet, L. Food avoidance and fasting in patients with inflammatory bowel disease: Experience from the Nancy IBD nutrition clinic. United Eur. Gastroenterol. J. 2023, 11, 361–370. [Google Scholar] [CrossRef]
- Guida, L.; Di Giorgio, F.M.; Busacca, A.; Carrozza, L.; Ciminnisi, S.; Almasio, P.L.; Di Marco, V.; Cappello, M. Perception of the Role of Food and Dietary Modifications in Patients with Inflammatory Bowel Disease: Impact on Lifestyle. Nutrients 2021, 13, 759. [Google Scholar] [CrossRef] [PubMed]
- Ghishan, F.K.; Kiela, P.R. Epithelial transport in inflammatory bowel diseases. Inflamm. Bowel Dis. 2014, 20, 1099–1109. [Google Scholar] [CrossRef] [PubMed][Green Version]
- Dua, A.; Corson, M.; Sauk, J.S.; Jaffe, N.; Limketkai, B.N. Impact of malnutrition and nutrition support in hospitalised patients with inflammatory bowel disease. Aliment. Pharmacol Ther. 2023, 57, 897–906. [Google Scholar] [CrossRef] [PubMed]
- Fiorindi, C.; Luceri, C.; Dragoni, G.; Piemonte, G.; Scaringi, S.; Staderini, F.; Nannoni, A.; Ficari, F.; Giudici, F. GLIM Criteria for Malnutrition in Surgical IBD Patients: A Pilot Study. Nutrients 2020, 12, 2222. [Google Scholar] [CrossRef]
- Hébuterne, X.; Filippi, J.; Al-Jaouni, R.; Schneider, S. Nutritional consequences and nutrition therapy in Crohn’s disease. Gastroenterol. Clin. Biol. 2009, 33 (Suppl. S3), S235–S244. [Google Scholar] [CrossRef]
- Mahmoud, M.; Syn, W.K. Impact of Obesity and Metabolic Syndrome on IBD Outcomes. Dig. Dis. Sci. 2024, 69, 2741–2753. [Google Scholar] [CrossRef]
- Ishige, T. Growth failure in pediatric onset inflammatory bowel disease: Mechanisms, epidemiology, and management. Transl. Pediatr. 2019, 8, 16–22. [Google Scholar] [CrossRef]
- Sumi, R.; Nakajima, K.; Iijima, H.; Wasa, M.; Shinzaki, S.; Nezu, R.; Inoue, Y.; Ito, T. Influence of nutritional status on the therapeutic effect of infliximab in patients with Crohn’s disease. Surg. Today 2016, 46, 922–929. [Google Scholar] [CrossRef]
- Rocha, R.; Sousa, U.H.; Reis, T.L.M.; Santana, G.O. Nutritional status as a predictor of hospitalization in inflammatory bowel disease: A review. World J. Gastrointest. Pharmacol. Ther. 2019, 10, 50–56. [Google Scholar] [CrossRef]
- Takaoka, A.; Sasaki, M.; Nakanishi, N.; Kurihara, M.; Ohi, A.; Bamba, S.; Andoh, A. Nutritional Screening and Clinical Outcome in Hospitalized Patients with Crohn’s Disease. Ann. Nutr. Metab. 2017, 71, 266–272. [Google Scholar] [CrossRef] [PubMed]
- Pulley, J.; Todd, A.; Flatley, C.; Begun, J. Malnutrition and quality of life among adult inflammatory bowel disease patients. JGH Open Open Access J. Gastroenterol. Hepatol. 2020, 4, 454–460. [Google Scholar] [CrossRef]
- ESPEN Practical Guideline: Clinical Nutrition in Inflammatory Bowel Disease—PubMed. Available online: https://pubmed.ncbi.nlm.nih.gov/32029281/ (accessed on 13 November 2024).
- Valentini, L.; Schulzke, J.D. Mundane, yet challenging: The assessment of malnutrition in inflammatory bowel disease. Eur. J. Intern. Med. 2011, 22, 13–15. [Google Scholar] [CrossRef]
- ‘Malnutrition Universal Screening Tool’ Predicts Mortality and Length of Hospital Stay in Acutely Ill Elderly—PubMed. Available online: https://pubmed.ncbi.nlm.nih.gov/16469149/ (accessed on 13 November 2024).
- Ferguson, M.; Capra, S.; Bauer, J.; Banks, M. Development of a valid and reliable malnutrition screening tool for adult acute hospital patients. Nutr. Burbank Los Angel Cty. Calif 1999, 15, 458–464. [Google Scholar] [CrossRef] [PubMed]
- Nutritional Risk Screening (NRS 2002): A New Method Based on an Analysis of Controlled Clinical Trials—PubMed. Available online: https://pubmed.ncbi.nlm.nih.gov/12765673/ (accessed on 13 November 2024).
- Tsai, A.C.; Hsu, H.Y.; Chang, T.L. The Mini Nutritional Assessment (MNA) is useful for assessing the risk of malnutrition in adults with intellectual disabilities. J. Clin. Nurs. 2011, 20, 3295–3303. [Google Scholar] [CrossRef] [PubMed]
- Cederholm, T.; Jensen, G.L.; Correia, M.I.T.D.; Gonzalez, M.C.; Fukushima, R.; Higashiguchi, T.; Baptista, G.; Barazzoni, R.; Blaauw, R.; Coats, A.; et al. GLIM criteria for the diagnosis of malnutrition—A consensus report from the global clinical nutrition community. Clin. Nutr. Edinb. Scotl. 2019, 38, 207–217. [Google Scholar]
- Haskey, N.; Peña-Sánchez, J.N.; Jones, J.L.; Fowler, S.A. Development of a screening tool to detect nutrition risk in patients with inflammatory bowel disease. Asia Pac. J. Clin. Nutr. 2018, 27, 756–762. [Google Scholar]
- Yuan, S.; Larsson, S.C. Epidemiology of sarcopenia: Prevalence, risk factors, and consequences. Metabolism 2023, 144, 155533. [Google Scholar] [CrossRef]
- Zhang, T.; Cao, L.; Cao, T.; Yang, J.; Gong, J.; Zhu, W.; Li, N.; Li, J. Prevalence of Sarcopenia and Its Impact on Postoperative Outcome in Patients With Crohn’s Disease Undergoing Bowel Resection. JPEN J. Parenter. Enteral Nutr. 2017, 41, 592–600. [Google Scholar] [CrossRef]
- Liu, S.; Ding, X.; Maggiore, G.; Pietrobattista, A.; Satapathy, S.K.; Tian, Z.; Jing, X. Sarcopenia is associated with poor clinical outcomes in patients with inflammatory bowel disease: A prospective cohort study. Ann. Transl. Med. 2022, 10, 367. [Google Scholar] [CrossRef] [PubMed]
- Giovannini, S.; Brau, F.; Forino, R.; Berti, A.; D’Ignazio, F.; Loreti, C.; Bellieni, A.; D’Angelo, E.; Di Caro, F.; Biscotti, L.; et al. Sarcopenia: Diagnosis and Management, State of the Art and Contribution of Ultrasound. J. Clin. Med. 2021, 10, 5552. [Google Scholar] [CrossRef] [PubMed]
- Michalak, A.; Kasztelan-Szczerbińska, B.; Cichoż-Lach, H. Impact of Obesity on the Course of Management of Inflammatory Bowel Disease—A Review. Nutrients 2022, 14, 3983. [Google Scholar] [CrossRef]
- Maaser, C.; Sturm, A.; Vavricka, S.R.; Kucharzik, T.; Fiorino, G.; Annese, V.; Calabrese, E.; Baumgart, D.C.; Bettenworth, D.; Borralho Nunes, P.; et al. ECCO-ESGAR Guideline for Diagnostic Assessment in IBD Part 1: Initial diagnosis, monitoring of known IBD, detection of complications. J. Crohns Colitis 2019, 13, 144K–164K. [Google Scholar] [CrossRef] [PubMed]
- Silverberg, M.S.; Satsangi, J.; Ahmad, T.; Arnott, I.D.R.; Bernstein, C.N.; Brant, S.R.; Caprilli, R.; Colombel, J.-F.; Gasche, C.; Geboes, K.; et al. Toward an integrated clinical, molecular and serological classification of inflammatory bowel disease: Report of a Working Party of the 2005 Montreal World Congress of Gastroenterology. Can. J. Gastroenterol. J. Can. Gastroenterol. 2005, 19 (Suppl. A), 5A–36A. [Google Scholar] [CrossRef] [PubMed]
- Harvey, R.F.; Bradshaw, J.M. A simple index of Crohn’s-disease activity. Lancet Lond. Engl. 1980, 1, 514. [Google Scholar] [CrossRef]
- Schroeder, K.W.; Tremaine, W.J.; Ilstrup, D.M. Coated oral 5-aminosalicylic acid therapy for mildly to moderately active ulcerative colitis. A randomized study. N. Engl. J. Med. 1987, 317, 1625–1629. [Google Scholar] [CrossRef]
- Barazzoni, R.; Jensen, G.L.; Correia, M.I.T.D.; Gonzalez, M.C.; Higashiguchi, T.; Shi, H.P.; Bischoff, S.C.; Boirie, Y.; Carrasco, F.; Cruz-Jentoft, A.; et al. Guidance for assessment of the muscle mass phenotypic criterion for the Global Leadership Initiative on Malnutrition (GLIM) diagnosis of malnutrition. Clin. Nutr. Edinb. Scotl. 2022, 41, 1425–1433. [Google Scholar] [CrossRef]
- Cruz-Jentoft, A.J.; Bahat, G.; Bauer, J.; Boirie, Y.; Bruyère, O.; Cederholm, T.; Cooper, C.; Landi, F.; Rolland, Y.; Sayer, A.A.; et al. Sarcopenia: Revised European consensus on definition and diagnosis. Age Ageing 2019, 48, 16–31. [Google Scholar] [CrossRef]
- Dodds, R.M.; Syddall, H.E.; Cooper, R.; Benzeval, M.; Deary, I.J.; Dennison, E.M.; Der, G.; Gale, C.R.; Inskip, H.M.; Jagger, C.; et al. Grip strength across the life course: Normative data from twelve British studies. PLoS ONE 2014, 9, e113637. [Google Scholar] [CrossRef]
- Martone, A.M.; Ciciarello, F.; Galluzzo, V.; Calvani, R.; Zazzara, M.B.; Tosato, M.; Coelho-Junior, H.J.; Marzetti, E.; Landi, F. A simple medical device development according to normative values of calf circumference across ages: Results from the Italian Longevity Check-up 7+ (Lookup 7+) project. J. Cachexia Sarcopenia Muscle 2024, 15, 36–44. [Google Scholar] [CrossRef] [PubMed]
- Neelam, P.B.; Sharma, A.; Sharma, V. Sarcopenia and frailty in inflammatory bowel disease: Emerging concepts and evidence. JGH Open Open Access J. Gastroenterol. Hepatol. 2024, 8, e13033. [Google Scholar] [CrossRef]
- Fatani, H.; Olaru, A.; Stevenson, R.; Alharazi, W.; Jafer, A.; Atherton, P.; Brook, M.; Moran, G. Systematic review of sarcopenia in inflammatory bowel disease. Clin. Nutr. Edinb. Scotl. 2023, 42, 1276–1291. [Google Scholar] [CrossRef] [PubMed]
- Godala, M.; Gaszyńska, E.; Walczak, K.; Małecka-Wojciesko, E. An Evaluation of the Usefulness of Selected Screening Methods in Assessing the Risk of Malnutrition in Patients with Inflammatory Bowel Disease. Nutrients 2024, 16, 814. [Google Scholar] [CrossRef]
- Taylor, L.M.; Eslamparast, T.; Farhat, K.; Kroeker, K.; Halloran, B.; Shommu, N.; Kumar, A.; Fitzgerald, Q.; Gramlich, L.; Abraldes, J.G.; et al. Using Patient Completed Screening Tools to Predict Risk of Malnutrition in Patients With Inflammatory Bowel Disease. Crohns Colitis 360 2021, 3, otab043. [Google Scholar] [CrossRef]
- Zhang, Y.; Zhang, L.; Gao, X.; Dai, C.; Huang, Y.; Wu, Y.; Zhou, W.; Cao, Q.; Jing, X.; Jiang, H.; et al. Impact of malnutrition and sarcopenia on quality of life in patients with inflammatory bowel disease: A multicentre study. J. Cachexia Sarcopenia Muscle 2023, 14, 2663–2675. [Google Scholar] [CrossRef] [PubMed]
- Zhang, C.; Yu, D.; Hong, L.; Zhang, T.; Liu, H.; Fan, R.; Wang, L.; Zhong, J.; Wang, Z. Prevalence of Sarcopenia and Its Effect on Postoperative Complications in Patients with Crohn’s Disease. Gastroenterol. Res. Pract. 2021, 2021, 3267201. [Google Scholar] [CrossRef]
- Ergenc, I.; Ismail Basa, C.; Uzum, A.; Sahin, S.; Kani, H.T.; Aslan, R.; Tufan, A.; Kasımay, Ö.; Atuğ, Ö.; Alahdab, Y.Ö. High prevalence of muscle weakness and probable sarcopenia in patients with inflammatory bowel disease. Nutr. Clin. Pract. Off. Publ. Am. Soc. Parenter. Enter. Nutr. 2024, 39, 557–567. [Google Scholar] [CrossRef]
- Bamba, S.; Sasaki, M.; Takaoka, A.; Takahashi, K.; Imaeda, H.; Nishida, A.; Inatomi, O.; Sugimoto, M.; Andoh, A. Sarcopenia is a predictive factor for intestinal resection in admitted patients with Crohn’s disease. PLoS ONE 2017, 12, e0180036. [Google Scholar] [CrossRef]
- Potcovaru, C.-G.; Filip, P.V.; Neagu, O.-M.; Diaconu, L.S.; Salmen, T.; Cinteză, D.; Pantea Stoian, A.; Bobirca, F.; Berteanu, M.; Pop, C. Diagnostic Criteria and Prognostic Relevance of Sarcopenia in Patients with Inflammatory Bowel Disease—A Systematic Review. J. Clin. Med. 2023, 12, 4713. [Google Scholar] [CrossRef]
- Cioffi, I.; Marra, M.; Imperatore, N.; Pagano, M.C.; Santarpia, L.; Alfonsi, L.; Testa, A.; Sammarco, R.; Contaldo, F.; Castiglione, F.; et al. Assessment of bioelectrical phase angle as a predictor of nutritional status in patients with Crohn’s disease: A cross sectional study. Clin. Nutr. Edinb. Scotl. 2020, 39, 1564–1571. [Google Scholar] [CrossRef] [PubMed]
- Bryant, R.V.; Ooi, S.; Schultz, C.G.; Goess, C.; Grafton, R.; Hughes, J.; Lim, A.; Bartholomeusz, F.D.; Andrews, J.M. Low muscle mass and sarcopenia: Common and predictive of osteopenia in inflammatory bowel disease. Aliment. Pharmacol. Ther. 2015, 41, 895–906. [Google Scholar] [CrossRef] [PubMed]
- Saibeni, S.; Zanetti, M.; Bezzio, C.; Pironi, L.; Armuzzi, A.; Riso, S.; Caprioli, F.; Lezo, A.; Macaluso, F.S.; Pugliese, D.; et al. Nutritional care at centres managing patients with inflammatory bowel disease: A nationwide survey in Italy. Dig. Liver Dis. Off. J. Ital. Soc. Gastroenterol. Ital. Assoc. Study Liver 2023, 55, 1028–1033. [Google Scholar] [CrossRef] [PubMed]



| Characteristic | Value | ||
|---|---|---|---|
| Age, years, mean (SD) | 45.4 (16.2) | ||
| Sex, n (%) | |||
| Male | 86 (54.4) | ||
| Female | 72 (45.6) | ||
| Smoking habit, n (%) | |||
| Never | 96 (60.8) | ||
| Former | 46 (29.1) | ||
| Current | 16 (10.1) | ||
| Disease duration, years, median (IQR) | 8.1 (4–15) | ||
| Previous abdominal surgery, n (%) | 45 (28.4) | ||
| Extended ileal disease, n (%) | 36 (37.5) | ||
| Steroid treatment, n (%) | |||
| No | 96 (60.8) | ||
| Previous | 46 (29.1) | ||
| Current | 16 (10.1) | ||
| Current biological therapy, n (%) | |||
| No | 33 (20.9) | ||
| Infliximab | 56 (35.4) | ||
| Adalimumab | 24 (15.2) | ||
| Vedolizumab | 21 (13.3) | ||
| Ustekinumab | 24 (15.2) | ||
| Albumin, g/dL, median (IQR) | 3.7 (3.3–4.2) | ||
| Ferritin, ng/mL, median (IQR) | 48.5 (17–110) | ||
| C-reactive protein, mg/L, median (IQR) | 2.1 (1.2–5.4) | ||
| Crohn’s disease patients (n = 96) | |||
| Disease location, n (%) | |||
| Ileal | 28 (29.2) | ||
| Colonic | 8 (8.3) | ||
| Ileocolonic | 56 (58.3) | ||
| Isolated upper disease | 4 (4.2) | ||
| Perianal disease | 15 (15.6) | ||
| Disease behavior, n (%) | |||
| Inflammatory | 37 (38.5) | ||
| Stricturing | 36 (37.5) | ||
| Penetrating | 23 (24.0) | ||
| Disease activity (Harvey-Bradshaw index), n (%) | |||
| Remission | 47 (49.0) | ||
| Mild | 25 (26.0) | ||
| Moderate | 18 (18.7) | ||
| Severe | 6 (6.3) | ||
| Ulcerative colitis patients (n = 62) | |||
| Disease location, n (%) | |||
| Proctitis | 10 (16.1) | ||
| Left-sided colitis | 30 (48.4) | ||
| Extensive colitis | 22 (35.5) | ||
| Disease activity (pMayo score), n (%) | |||
| Remission | 30 (48.4) | ||
| Mild | 18 (29.0) | ||
| Moderate | 13 (22.6) | ||
| Severe | 1 (0.02) | ||
| Characteristic | Value | |
|---|---|---|
| BMI (kg/m2), median (IQR) | 24.2 (20.9–28.3) | |
| <20 kg/m2 (for 152 patients < 70 years old), n (%) | 15 (9.9) | |
| <22 kg/m2 (for 6 patients > 70 years old), n (%) | 2 (33.3) | |
| >30 kg/m2, n (%) | 13 (8.2) | |
| Waist circumference, cm, median (IQR) | 80 (72–94) | |
| Calf circumference, cm, median (IQR) | 34 (32–37) | |
| Unintentional weight loss >10%, n (%) | 9 (5.9) | |
| Malnutrition according to GLIM criteria, n (%) | 21 (13.3) | |
| Men | 8 (9.3) | |
| Women | 13 (18.1) | |
| Crohn’s disease | 16 (16.7) | |
| Ulcerative colitis | 5 (8.1) | |
| Grip strength, kg, mean (SD) | 31.96 (10.72) | |
| Univariate Analysis | Multivariate Analysis | ||||
|---|---|---|---|---|---|
| OR (95% CI) | p * | OR (95% CI) | p | ||
| Age | 0.98 (0.95–1.01) | 0.24 | |||
| Sex, male vs. female | 0.28 (0.09–0.82) | 0.021 | 5.58 (0.43–71.57) | 0.186 | |
| Smoking habit, current vs. never | 0.44 (0.05–3.70) | 0.45 | |||
| CD vs. UC | 1.83 (0.62–5.44) | 0.27 | |||
| CD, colonic vs. ileocolonic | 0.89 (1.02–7.91) | 0.91 | |||
| CD behavior | |||||
| Stricturing vs. inflammatory | 1.65 (0.50–5.39) | 0.40 | |||
| Penetrating vs. inflammatory | 1.71 (0.62–1.85) | 0.47 | |||
| Perianal disease | 0.44 (0.05–3.70) | 0.45 | |||
| Harvey-Bradshaw index | 2.83 (1.49–5.38) | 0.001 | 1.44 (0.43–4.82) | 0.548 | |
| Extended ileal disease | 1.48 (0.45–4.83) | 0.51 | |||
| UC, proctitis vs. extensive colitis | 1.26 (0.19–8.21) | 0.80 | |||
| pMAYO score | 3.01 (0.88–10.30) | 0.07 | |||
| Steroid treatment, current vs. no | 5.42 (1.41–20.8) | 0.013 | 16.42 (0.22–18.21) | 0.202 | |
| Previous abdominal surgery | 1.70 (0.61–4.72) | 0.30 | |||
| Waist circumference | 0.72 (0.62–0.83) | <0.001 | 0.69 (0.54–0.89) | 0.004 | |
| Disease duration | 0.97 (0.92–1.03) | 0.43 | |||
| Ferritin | 1.01 (0.99–1.04) | 0.98 | |||
| Albumin | 0.09 (0.07–0.53) | 0.007 | 0.03 (0.01–0.85) | 0.040 | |
| C-reactive protein | 0.98 (0.90–1.08) | 0.79 | |||
| MUST | SaskIBD-NR | ||
|---|---|---|---|
| Risk category | |||
| Low | 107 (67.7) | 75 (47.4) | |
| Medium | 20 (12.6) | 53 (33.5) | |
| High | 31 (19.6) | 30 (18.9) | |
| Sensitivity (95% CI) | 88.9 (65.3–98.6) | 69.3 (41.1–86.7) | |
| Specificity (95% CI) | 90.2 (83.8–93.4) | 60.9 (60.9–76.8) | |
| Positive predictive value (95% CI) | 53.3 (40.1–65.9) | 21.8 (15.2–29.6) | |
| Negative predictive value (95% CI) | 94.8 (94.5–99.6) | 94.2 (89.3–96.9) | |
| Youden index | 0.78 | 0.36 |
Disclaimer/Publisher’s Note: The statements, opinions and data contained in all publications are solely those of the individual author(s) and contributor(s) and not of MDPI and/or the editor(s). MDPI and/or the editor(s) disclaim responsibility for any injury to people or property resulting from any ideas, methods, instructions or products referred to in the content. |
© 2024 by the authors. Licensee MDPI, Basel, Switzerland. This article is an open access article distributed under the terms and conditions of the Creative Commons Attribution (CC BY) license (https://creativecommons.org/licenses/by/4.0/).
Share and Cite
Bezzio, C.; Brinch, D.; Ribaldone, D.G.; Cappello, M.; Ruzzon, N.; Vernero, M.; Scalvini, D.; Loy, L.; Donghi, S.; Ciminnisi, S.; et al. Prevalence, Risk Factors and Association with Clinical Outcomes of Malnutrition and Sarcopenia in Inflammatory Bowel Disease: A Prospective Study. Nutrients 2024, 16, 3983. https://doi.org/10.3390/nu16233983
Bezzio C, Brinch D, Ribaldone DG, Cappello M, Ruzzon N, Vernero M, Scalvini D, Loy L, Donghi S, Ciminnisi S, et al. Prevalence, Risk Factors and Association with Clinical Outcomes of Malnutrition and Sarcopenia in Inflammatory Bowel Disease: A Prospective Study. Nutrients. 2024; 16(23):3983. https://doi.org/10.3390/nu16233983
Chicago/Turabian StyleBezzio, Cristina, Daniele Brinch, Davide Giuseppe Ribaldone, Maria Cappello, Natalie Ruzzon, Marta Vernero, Davide Scalvini, Laura Loy, Sofia Donghi, Stefania Ciminnisi, and et al. 2024. "Prevalence, Risk Factors and Association with Clinical Outcomes of Malnutrition and Sarcopenia in Inflammatory Bowel Disease: A Prospective Study" Nutrients 16, no. 23: 3983. https://doi.org/10.3390/nu16233983
APA StyleBezzio, C., Brinch, D., Ribaldone, D. G., Cappello, M., Ruzzon, N., Vernero, M., Scalvini, D., Loy, L., Donghi, S., Ciminnisi, S., Manes, G., Armuzzi, A., & Saibeni, S. (2024). Prevalence, Risk Factors and Association with Clinical Outcomes of Malnutrition and Sarcopenia in Inflammatory Bowel Disease: A Prospective Study. Nutrients, 16(23), 3983. https://doi.org/10.3390/nu16233983

