The Impact of Different Types of Rice and Cooking on Postprandial Glycemic Trends in Children with Type 1 Diabetes with or without Celiac Disease
Abstract
1. Introduction
2. Materials and Methods
2.1. Rice Samples
2.2. Chemical Characterization
2.3. Subjects
2.4. Tandem Control-IQTM Technology
2.5. Statistical Analysis
3. Results
3.1. White Gigante Vercelli Rice: Chemical Characterization
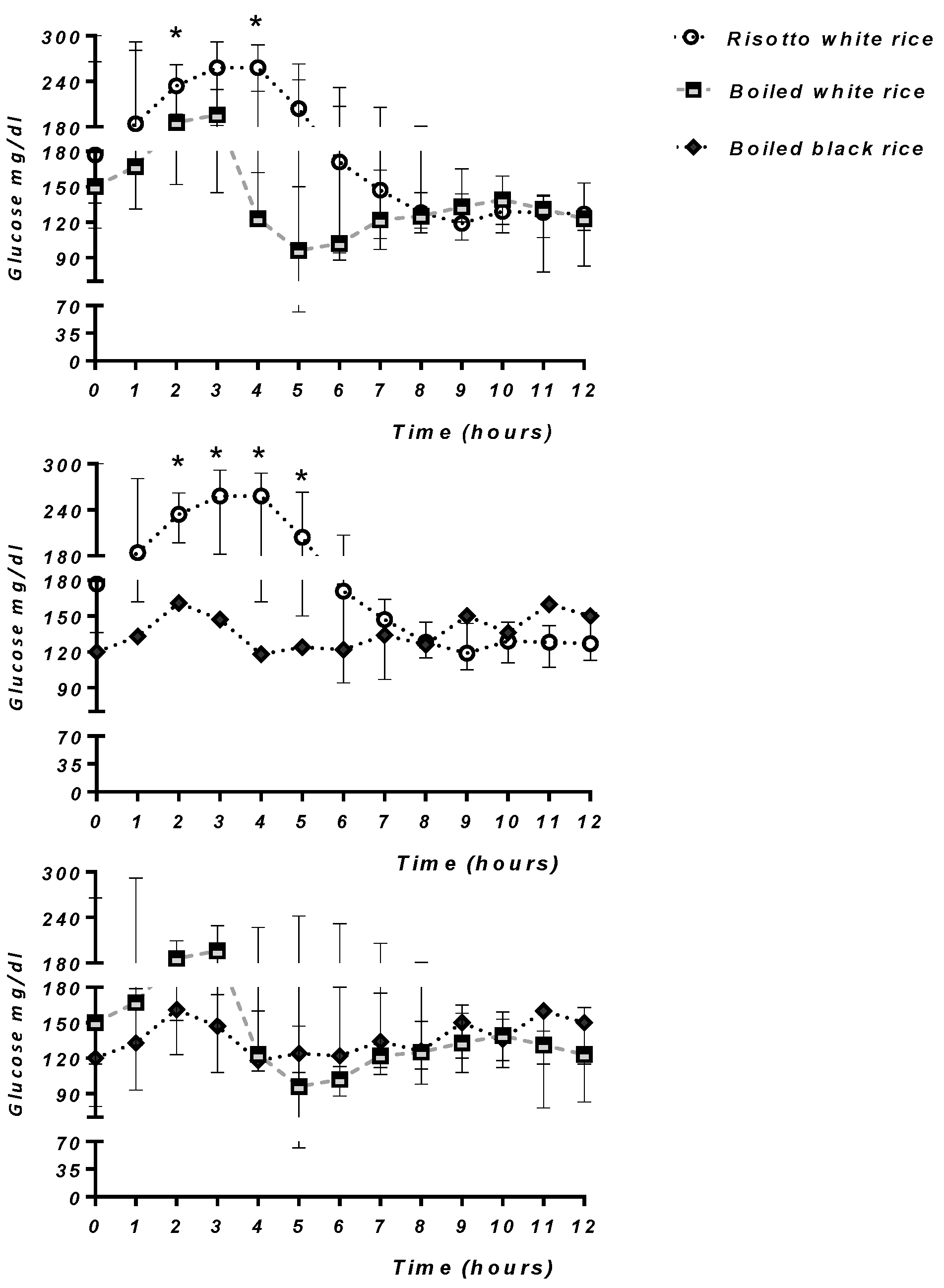
3.2. Postprandial Glucose Trends after Eating Risotto or Boiled Rice
4. Discussion
5. Conclusions
Supplementary Materials
Author Contributions
Funding
Institutional Review Board Statement
Informed Consent Statement
Data Availability Statement
Acknowledgments
Conflicts of Interest
References
- Pereira, C.; Lourenço, V.M.; Menezes, R.; Brites, C. Rice Compounds with Impact on Diabetes Control. Foods 2021, 10, 1992. [Google Scholar] [CrossRef] [PubMed]
- Colasanto, A.; Travaglia, F.; Bordiga, M.; Monteduro, S.; Arlorio, M.; Coïsson, J.; Locatelli, M. Cooking of Artemide Black Rice: Impact on Proximate Composition and Phenolic Compounds. Foods 2021, 10, 824. [Google Scholar] [CrossRef] [PubMed]
- Vitalini, S.; Sardella, A.; Fracassetti, D.; Secli, R.; Tirelli, A.; Lodi, G.; Carrassi, A.; Varoni, E.M.; Iriti, M. Polyphenol Bioavailability and Plasma Antiradical Capacity in Healthy Subjects after Acute Intake of Pigmented Rice: A Crossover Randomized Controlled Clinical Trial. J. Clin. Med. 2020, 9, 3209. [Google Scholar] [CrossRef] [PubMed]
- Urso, S.; Desiderio, F.; Biselli, C.; Bagnaresi, P.; Crispino, L.; Piffanelli, P.; Abbruscato, P.; Assenza, F.; Guarnieri, G.; Cattivelli, L.; et al. Genetic analysis of durable resistance to Magnaporthe oryzae in the rice accession Gigante Vercelli identified two blast resistance loci. Mol. Genet. Genom. 2015, 291, 17–32. [Google Scholar] [CrossRef] [PubMed]
- Roumen, E.; Levy, M.; Notteghem, J. Characterisation of the European pathogen population of Magnaporthe grisea by DNA fingerprinting and pathotype analysis. Eur. J. Plant Pathol. 1997, 103, 363–371. [Google Scholar] [CrossRef]
- Faivre-Rampant, O.; Bruschi, G.; Abbruscato, P.; Cavigiolo, S.; Picco, A.M.; Borgo, L.; Lupotto, E.; Piffanelli, P. Assessment of genetic diversity in Italian rice germplasm related to agronomic traits and blast resistance (Magnaporthe oryzae). Mol. Breed. 2010, 27, 233–246. [Google Scholar] [CrossRef]
- Porporato, D. Death and rebirth of a sustainable resource: The lands of water and “Gigante Vercelli” rice. Arch. Antropol. Mediterr. 2021, 23, 1–18. (In Italian) [Google Scholar] [CrossRef]
- Bordiga, M.; Gomez-Alonso, S.; Locatelli, M.; Travaglia, F.; Coïsson, J.D.; Hermosin-Gutierrez, I.; Arlorio, M. Phenolics characterization and antioxidant activity of six different pigmented Oryza sativa L. cultivars grown in Piedmont (Italy). Food Res. Int. 2014, 65, 282–290. [Google Scholar] [CrossRef]
- Nederstigt, C.; Uitbeijerse, B.S.; Janssen, L.G.M.; Corssmit, E.P.M.; de Koning, E.J.P.; Dekkers, O.M. Associated auto-immune disease in type 1 diabetes patients: A systematic review and meta-analysis. Eur. J. Endocrinol. 2019, 180, 135–144. [Google Scholar] [CrossRef]
- Fröhlich-Reiterer, E.; Elbarbary, N.S.; Simmons, K.; Buckingham, B.; Humayun, K.N.; Johannsen, J.; Holl, R.W.; Betz, S.; Mahmud, F.H. ISPAD Clinical Practice Consensus Guidelines 2022: Other complications and associated conditions in children and adolescents with type 1 diabetes. Pediatr. Diabetes 2022, 23, 1451–1467. [Google Scholar] [CrossRef] [PubMed]
- Eland, I.; Klieverik, L.; Mansour, A.A.; Al-Toma, A. Gluten-Free Diet in Co-Existent Celiac Disease and Type 1 Diabetes Mellitus: Is It Detrimental or Beneficial to Glycemic Control, Vascular Complications, and Quality of Life? Nutrients 2022, 15, 199. [Google Scholar] [CrossRef]
- Mozzillo, E.; Franceschi, R.; Di Candia, F.; Rosanio, F.M.; Leonardi, L.; Fedi, L.; Rosà, V.; Cauvin, V.; Franzese, A.; Marcovecchio, M.L. The impact of gluten-free diet on growth, metabolic control and quality of life in youth with type 1 diabetes and celiac disease: A systematic review. Diabetes Res. Clin. Pract. 2022, 191, 110032. [Google Scholar] [CrossRef] [PubMed]
- Atkinson, F.S.; Brand-Miller, J.C.; Foster-Powell, K.; Buyken, A.E.; Goletzke, J. International tables of glycemic index and glycemic load values 2021: A systematic review. Am. J. Clin. Nutr. 2021, 114, 1625–1632. [Google Scholar] [CrossRef] [PubMed]
- Kaur, B.; Ranawana, V.; Henry, J. The Glycemic Index of Rice and Rice Products: A Review, and Table of GI Values. Crit. Rev. Food Sci. Nutr. 2013, 56, 215–236. [Google Scholar] [CrossRef] [PubMed]
- Breton, M.D.; Kanapka, L.G.; Beck, R.W.; Ekhlaspour, L.; Forlenza, G.P.; Cengiz, E.; Schoelwer, M.; Ruedy, K.J.; Jost, E.; Carria, L.; et al. A Randomized Trial of Closed-Loop Control in Children with Type 1 Diabetes. N. Engl. J. Med. 2020, 383, 836–845. [Google Scholar] [CrossRef] [PubMed]
- Weisman, A.; Bai, J.-W.; Cardinez, M.; Kramer, C.K.; A Perkins, B. Effect of artificial pancreas systems on glycaemic control in patients with type 1 diabetes: A systematic review and meta-analysis of outpatient randomised controlled trials. Lancet Diabetes Endocrinol. 2017, 5, 501–512. [Google Scholar] [CrossRef] [PubMed]
- Cherubini, V.; Rabbone, I.; Berioli, M.G.; Giorda, S.; Presti, D.L.; Maltoni, G.; Mameli, C.; Marigliano, M.; Marino, M.; Minuto, N.; et al. Effectiveness of a closed-loop control system and a virtual educational camp for children and adolescents with type 1 diabetes: A prospective, multicentre, real-life study. Diabetes Obes. Metab. 2021, 23, 2484–2491. [Google Scholar] [CrossRef]
- Jones, S.M.; Quarry, J.L.; Caldwell-McMillan, M.; Mauger, D.T.; Gabbay, R.A. Optimal Insulin Pump Dosing and Postprandial Glycemia Following a Pizza Meal Using the Continuous Glucose Monitoring System. Diabetes Technol. Ther. 2005, 7, 233–240. [Google Scholar] [CrossRef] [PubMed]
- Zanfardino, A.; Confetto, S.; Curto, S.; Cocca, A.; Rollato, A.S.; Zanfardino, F.; Troise, A.D.; Testa, V.; Bologna, O.; Stanco, M.; et al. Demystifying the Pizza Bolus: The Effect of Dough Fermentation on Glycemic Response—A Sensor-Augmented Pump Intervention Trial in Children with Type 1 Diabetes Mellitus. Diabetes Technol. Ther. 2019, 21, 721–726. [Google Scholar] [CrossRef] [PubMed]
- Englyst, K.N.; Liu, S. Nutritional characterization and measurement of dietary carbohydrates. Eur. J. Clin. Nutr. 2007, 61, S19–S39. [Google Scholar] [CrossRef] [PubMed]
- McCleary, B.V. An integrated procedure for the measurement of total dietary fibre (including resistant starch), non-digestible oligosaccharides and available carbohydrates. Anal. Bioanal. Chem. 2007, 389, 291–308. [Google Scholar] [CrossRef] [PubMed]
- Cacciari, E.; Milani, S.; Balsamo, A.; Dammacco, F.; De Luca, F.; Chiarelli, F.; Pasquino, A.; Tonini, G.; Vanelli, M. Italian cross-sectional growth charts for height, weight and BMI (6–20 y). Eur. J. Clin. Nutr. 2002, 56, 171–180. [Google Scholar] [CrossRef]
- Boers, H.M.; Hoorn, J.S.T.; Mela, D.J. A systematic review of the influence of rice characteristics and processing methods on postprandial glycaemic and insulinaemic responses. Br. J. Nutr. 2015, 114, 1035–1045. [Google Scholar] [CrossRef] [PubMed]
- Sonia, S.; Witjaksono, F.; Ridwan, R. Effect of cooling of cooked white rice on resistant starch content and glycemic response. Asia Pac. J. Clin. Nutr. 2015, 24, 620–625. [Google Scholar] [PubMed]
- Chung, H.-J.; Lim, H.S.; Lim, S.-T. Effect of partial gelatinization and retrogradation on the enzymatic digestion of waxy rice starch. J. Cereal Sci. 2006, 43, 353–359. [Google Scholar] [CrossRef]
- Danne, T.; Nimri, R.; Battelino, T.; Bergenstal, R.M.; Close, K.L.; DeVries, J.H.; Garg, S.; Heinemann, L.; Hirsch, I.; Amiel, S.A.; et al. International Consensus on Use of Continuous Glucose Monitoring. Diabetes Care 2017, 40, 1631–1640. [Google Scholar] [CrossRef] [PubMed]

| Cooking Method | Rice: Water Ratio (g/mL) | Cooking Time (min) | Notes | |
|---|---|---|---|---|
| Gigante Vercelli | Boiling (BOI) | 100/500 | 15 | Rice added after the water had started boiling |
| Risotto (RIS) | 100/350 | 15 | Time including 2 min of toasting | |
| Artemide | Boiling (BOI) | 100/500 | 35 | Rice added after the water had started boiling |
| Sample | Moisture (%) | Proteins (% d.w.) | Total Dietary Fiber (% d.w.) | Total Polyphenols (mg CE/g d.w.) | Antiradical Activity (mg TE/g d.w.) |
|---|---|---|---|---|---|
| Raw | 10.8 ± 0.4 b | 7.02 ± 0.3 a | 1.14 ± 0.1 b | 0.21 ± 0.02 b | 0.20 ± 0.01 b |
| Risotto | 65.5 ± 0.2 a | 7.49 ± 0.3 a | 2.01 ± 0.2 a | 0.24 ± 0.01 a | 0.25 ± 0.01 a |
| Boiled | 65.4 ± 0.7 a | 7.39 ± 0.1 a | 1.79 ± 0.04 a | 0.09 ± 0.01 c | 0.10 ± 0.01 c |
| Sample | NR Starch | R Starch | Total Starch |
|---|---|---|---|
| Raw | 84.6 ± 1.2 a | 0.22 ± 0.1 b | 84.8 ± 1.3 a |
| Risotto | 84.8 ± 1.1 a | 0.80 ± 0.1 a | 85.6 ± 1.2 a |
| Boiled | 79.1 ± 2.3 b | 0.77 ± 0.03 a | 79.9 ± 2.3 b |
Disclaimer/Publisher’s Note: The statements, opinions and data contained in all publications are solely those of the individual author(s) and contributor(s) and not of MDPI and/or the editor(s). MDPI and/or the editor(s) disclaim responsibility for any injury to people or property resulting from any ideas, methods, instructions or products referred to in the content. |
© 2023 by the authors. Licensee MDPI, Basel, Switzerland. This article is an open access article distributed under the terms and conditions of the Creative Commons Attribution (CC BY) license (https://creativecommons.org/licenses/by/4.0/).
Share and Cite
Colasanto, A.; Savastio, S.; Pozzi, E.; Gorla, C.; Coïsson, J.D.; Arlorio, M.; Rabbone, I. The Impact of Different Types of Rice and Cooking on Postprandial Glycemic Trends in Children with Type 1 Diabetes with or without Celiac Disease. Nutrients 2023, 15, 1654. https://doi.org/10.3390/nu15071654
Colasanto A, Savastio S, Pozzi E, Gorla C, Coïsson JD, Arlorio M, Rabbone I. The Impact of Different Types of Rice and Cooking on Postprandial Glycemic Trends in Children with Type 1 Diabetes with or without Celiac Disease. Nutrients. 2023; 15(7):1654. https://doi.org/10.3390/nu15071654
Chicago/Turabian StyleColasanto, Antonio, Silvia Savastio, Erica Pozzi, Carlotta Gorla, Jean Daniel Coïsson, Marco Arlorio, and Ivana Rabbone. 2023. "The Impact of Different Types of Rice and Cooking on Postprandial Glycemic Trends in Children with Type 1 Diabetes with or without Celiac Disease" Nutrients 15, no. 7: 1654. https://doi.org/10.3390/nu15071654
APA StyleColasanto, A., Savastio, S., Pozzi, E., Gorla, C., Coïsson, J. D., Arlorio, M., & Rabbone, I. (2023). The Impact of Different Types of Rice and Cooking on Postprandial Glycemic Trends in Children with Type 1 Diabetes with or without Celiac Disease. Nutrients, 15(7), 1654. https://doi.org/10.3390/nu15071654

