Abstract
This study aimed to describe nutritional and lifestyle parameters following one-anastomosis gastric bypass (OAGB). A multicenter study among OAGB patients across Israel (n = 277) and Portugal (n = 111) was performed. Patients were approached according to the time elapsed since surgery. An online survey with information regarding demographics, anthropometrics, and nutritional and lifestyle aspects was administered in both countries simultaneously. Respondents from Israel (pre-surgery age of 41.6 ± 11.0 years, 75.8% females) and Portugal (pre-surgery age of 45.6 ± 12.3 years, 79.3% females) reported changes in their appetite (≤94.0% and ≤94.6%), changes in their taste (≤51.0 and ≤51.4%), and intolerance to specific foods (i.e., red meat, pasta, bread, and rice). Bariatric surgery-related eating recommendations were generally followed well, but a trend toward lower adherence was evident in groups with longer time elapsed since surgery in both countries. Most respondents from Israel and Portugal reported participation in follow-up meetings with a surgeon (≤94.0% and 100%) and a dietitian (≤92.6% and ≤100%), while far fewer reported participation in any follow-up meeting with a psychologist/social worker (≤37.9% and ≤56.1%). Patients following OAGB might experience changes in appetite, taste, and intolerance to specific foods. Adherence to bariatric surgery-related eating recommendations is not always satisfying, especially in the longer term post-surgery.
1. Introduction
Bariatric surgery (BS) is a validated treatment modality for severe obesity that is usually considered when other modalities to lose weight have failed [1]. BS includes several procedure types with respective pros and cons [2]. One-anastomosis gastric bypass (OAGB) surgery is a bariatric procedure that is gaining popularity worldwide, but mainly in specific regions [3]. It is considered a “combined procedure” which includes both “restrictive” and “malabsorptive” components [4]. Presently, there are considerable variabilities in surgical technique administration, with the biliopancreatic limb length being one of the main debates among surgeons performing this procedure [2]. Nevertheless, several controversies as to the results and implications of this procedure exist, especially regarding the longer term [5]. One issue for which information is currently lacking are the nutritional implications of OAGB [4]. Although an increasing number of studies present information on nutritional status in terms of nutritional deficiencies and malnutrition following OAGB [2,6,7,8,9,10,11,12,13,14,15], data on other nutritional-related topics that could impact patients’ adjustments including aspects that could impact food intake and compliance with the nutritional and lifestyle recommendations are scarce [9,16,17]. As changes in eating behaviors and lifestyle habits are essential for optimal bariatric procedure outcomes, collecting data on this information is crucial [18]. Therefore, we aimed to gain information on nutritional and lifestyle parameters from two samples of OAGB patients living in different countries.
2. Materials and Methods
A multicenter study was performed in Israel and Portugal. OAGB patients were approached by study teams in each center according to a patient list based on time elapsed since the surgery (i.e., 1–6 months (1–6 M), 6–12 months (6–12 M), and 1–5 years (1–5 Y) post-surgery). Recruitment of patients according to defined time frames since the surgery was performed due to a priori expected differences in clinical and behavioral outcomes in different time periods since surgery. Inclusion criteria included age of ≥18 years and primary OAGB in the last 5 years, and exclusion criteria included revisional BS, present pregnancy, and lack of capacity to consent. All eligible patients were informed about the study, asked to consider participating, and informed that participation was voluntary. Patients who gave their verbal consent to participate in the study were asked to complete an anonymous online survey which was delivered using SurveyMonkey® software through email/SMS message. An invitation to participate in the study was re-sent to non-responders after 4 weeks. Data were collected between 26 June 2020 and 9 May 2021. A research coordinator led the local study management in each country. Ethics approval by local institutional review boards of each medical center was received. The work was reported based on the STROCSS criteria [19].
2.1. Survey-Included Data
The survey included data on demographics, medical condition, anthropometrics (i.e., weight history and self-reported weight and height, followed by a calculation of body mass index (BMI), and excess weight loss (EWL) percentages [20]), and nutritional, lifestyle, and gastrointestinal parameters. The English version of the survey is presented in Supplementary Materials. The survey was distributed in Hebrew (for the study in Israel) and Portuguese (for the study in Portugal). Linguistic translation and cultural adaptation of items were performed according to recommended methodologies when needed [21,22]. This paper reports specifically on nutritional- and lifestyle-related sections within the original full-length questionnaire, as detailed below. Due to differences in OAGB technique between the countries, outcomes are presented by country.
2.2. Food Tolerance
Food tolerance was assessed using a validated questionnaire for quick assessment of food tolerance after BS [9,23] with minor modifications (i.e., pulses were added to the list of food items, but not included in the final scoring) (Figure 1a,b). Cumulatively, scores range from 1 (lowest score) to 27 (highest score) [23]. Furthermore, patients were also asked if they have other food restrictions due to health, cultural, religious, ethical, and/or belief reasons. The questionnaire for quick assessment of food tolerance after BS was previously translated to Hebrew and Portuguese and has been used in numerous studies in both languages [9,24,25,26,27,28].
2.3. Appetite, Taste, Smell, and Food Aversion Alternations after OAGB
Appetite, taste, smell, and food aversion alternations after OAGB were assessed using selected items obtained from previously published validated questionnaires on these topics [29,30,31].
2.4. Compliance with the BS Eating Recommendations
Compliance with the BS eating recommendations was assessed by asking the patients to what extent they were following the BS eating recommendations during the last month (no/partially/always) [32].
2.5. Compliance with the BS Lifestyle Recommendations
Compliance with the BS lifestyle recommendations was assessed using questions targeting smoking habits, physical activity, and frequency of multivitamin intake. Additionally, patients were asked regarding participation in a follow-up regime with the multidisciplinary team and/or support groups since the surgery. Patients were also asked if they took part in a local BS group through social media and regarding the reasons for participation in these groups.
2.6. Statistical Analyses
Statistical analyses were performed using SPSS software (version 26). Tests for normality distribution were used for continuous variables. Continuous variables are presented as means ± SD or median with interquartile range as needed, and categorical variables as proportions. To test differences in continuous variables between the three time-points post-surgery one-way ANOVA or the Kruskal–Wallis test were used when needed. For comparison of dichotomous or categorical variables between the three time-points post-surgery the chi-square test or Fisher’s exact test were performed. The level of significance for all analyses was set at p < 0.05 and Bonferroni correction was applied when needed.
Power calculation. When applying a sample size of n = 277 (Israel) or n = 111 (Portugal), a 0.05 two-sided alpha level, and a medium effect size (Cohen d = 0.5) [33] in G*power software (version 3.1.9.4) for one sample t-tests, a power of >0.999 was calculated.
3. Results
3.1. Study Participant Characteristics
A total of n = 277 responses from Israel (n = 109, n = 59, and n = 109 for 1–6 M, 6–12 M, and 1–5 Y groups, respectively) and n = 111 responses from Portugal (n = 40, n = 17, and n = 54 for 1–6 M, 6–12 M, and 1–5 Y groups, respectively) were obtained. Mean months elapsed since surgery for responses from Israel and Portugal were 3.2 ± 1.7 and 2.5 ± 1.7 (1–6 M group), 9.2 ± 1.6 and 8.6 ± 1.5 (6–12 M group), and 33.0 ± 15.1 and 27.3 ± 13.0 (1–5 Y groups).
Mean reported pre-surgery age, BMI, and gender distribution (% female) were 41.6 ± 11.0 and 45.6 ± 12.3 years, 41.2 ± 4.8 and 40.1 ± 5.6 kg/m2, and 75.8 and 79.3% for respondents from Israel and Portugal, respectively. Pre-surgery characteristics of the survey respondents grouped by time elapsed since surgery and by country are presented in Table 1. Respondents from Israel and Portugal reported pre-surgery prevalence of 17.0% and 19.3% type 2 diabetes, 25.6% and 44.0% hypertension, and 39.0% and 51.4% dyslipidemia.
Table 1.
Self-reported demographic and anthropometric parameters grouped by time elapsed since surgery and by country.
3.2. Anthropometrics
Respondents from Israel and Portugal presented mean %EWL of 51.0 ± 19.9 and 62.4 ± 26.5% (1–6 M group), 89.0 ± 22.0 and 86.2 ± 21.4% (6–12 M group), and 89.9 ± 23.6 and 98.2 ± 20.9% (1–5 Y group), respectively (p < 0.001 for both countries). The median of weight-regain at 1–5 Y, calculated as current weight minus nadir weight, was 2.8 kg (range: 0–35.0 kg) and 2.0 kg (range: 0–23.0 kg) among respondents from Israel and Portugal, respectively (Table 1).
3.3. Food Tolerance, Appetite, Taste, Smell, and Food Aversion Alternations
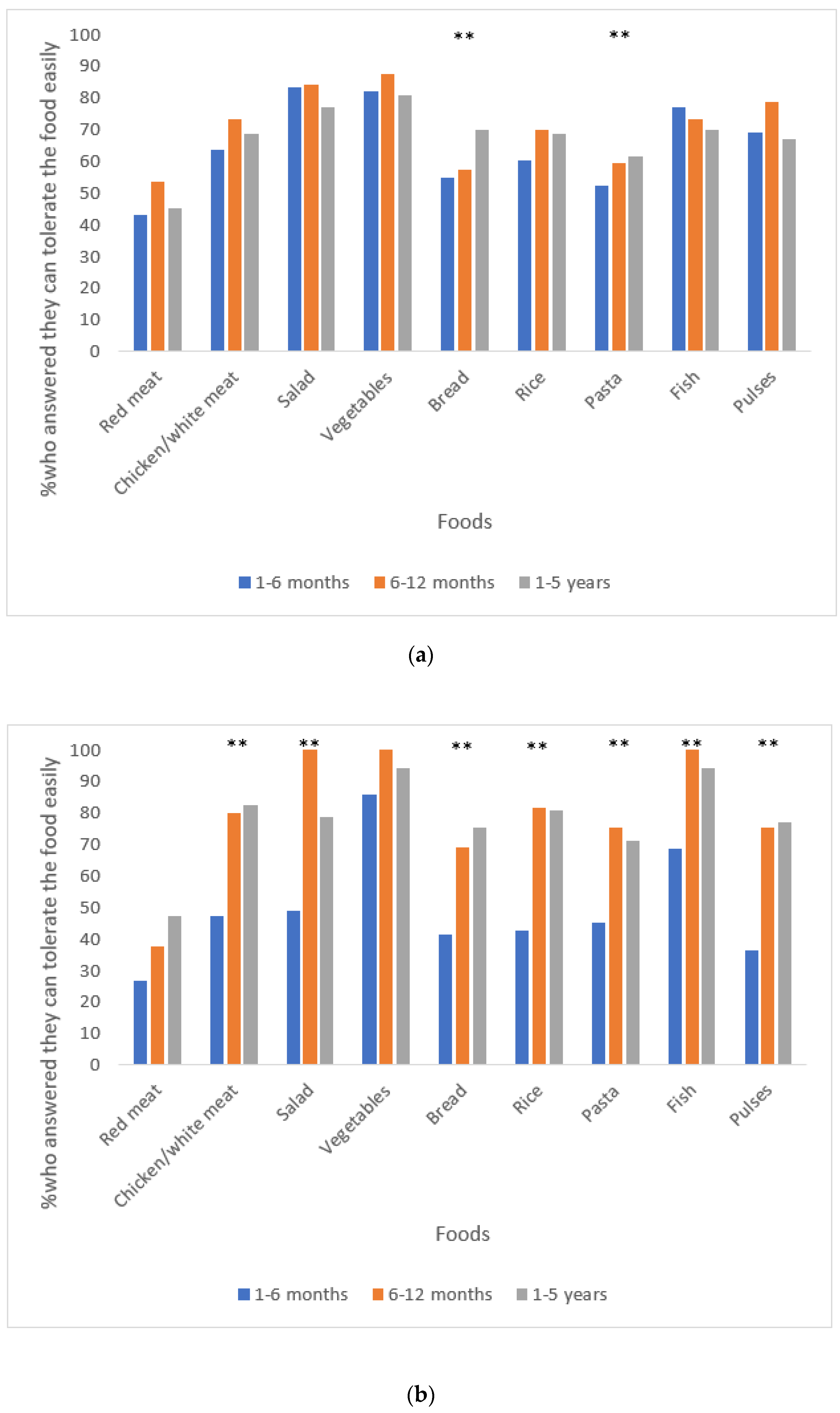
Tolerance to specific food items grouped by time elapsed since surgery per country is presented in Figure 1a,b. Aspects that could impact food intake grouped by time elapsed since surgery and by country are presented in Table 2. The great majority of respondents from Israel and Portugal in all time-elapsed-since-surgery groups reported changes in their appetite (≤94.0% and ≤94.6%), while only a minority reported eating less due to bad taste or smell (≤23.5% and ≤9.8%). Experiencing changes in taste was reported by 51.0% and 51.4% (1–6 M group), 46.6% and 43.8% (6–12 M group), and 51.0% and 38.0% (1–5 Y group) of respondents from Israel and Portugal, respectively (Table 2).
Table 2.
Aspects that could impact food intake grouped by time elapsed since surgery and by country.
Figure 1.
(a): Tolerance to different food items by time elapsed since surgery (Israel) 1,2,3. (b): Tolerance to different food items by time elapsed since surgery (Portugal) 1,2,3. 1 Data were available for participants from Israel and Portugal for n = 101 and n = 36 respondents between 1–6 months post-surgery, n = 56 and n = 16 respondents between 6–12 months post-surgery, and n = 104 and n = 52 respondents between 1–5 years post-surgery. 2 Patients were asked how they can eat each of the following food items (easily/with some difficulties/not at all). 3 Pulses (e.g., lentils, chickpeas, peas, beans) were added to the original questionnaire for quick assessment of food tolerance after bariatric surgery. ** Significant differences between groups divided by time elapsed since surgery.
Figure 1.
(a): Tolerance to different food items by time elapsed since surgery (Israel) 1,2,3. (b): Tolerance to different food items by time elapsed since surgery (Portugal) 1,2,3. 1 Data were available for participants from Israel and Portugal for n = 101 and n = 36 respondents between 1–6 months post-surgery, n = 56 and n = 16 respondents between 6–12 months post-surgery, and n = 104 and n = 52 respondents between 1–5 years post-surgery. 2 Patients were asked how they can eat each of the following food items (easily/with some difficulties/not at all). 3 Pulses (e.g., lentils, chickpeas, peas, beans) were added to the original questionnaire for quick assessment of food tolerance after bariatric surgery. ** Significant differences between groups divided by time elapsed since surgery.

3.4. Compliance with the BS Nutritional and Lifestyle Recommendations
The majority of respondents from Israel and Portugal reported adherence to most of the BS eating recommendations within the 1–6 M group. However, a trend toward lower adherence to most of them was noticed within groups with longer time elapsed since surgery in each country (Figure 2a,b). Postoperative health behaviors grouped by time elapsed since surgery and by country are presented in Table 3. Daily intake of multivitamin was reported to be lower within groups with longer time elapsed since surgery among respondents from Israel (90.0%, 84.9%, and 63.0%, within 1–6 M, 6–12 M, and 1–5 Y groups, respectively, p < 0.001), but similar within groups with different time elapsed since surgery among respondents from Portugal (90.5%, 90.0%, and 90.9%, within 1–6 M, 6–12 M, and 1–5 Y groups, respectively, p = 1.000). Attendance to the follow-up regime grouped by time elapsed since surgery and by country is presented in Table 4. The majority of respondents from Israel and Portugal in all time-elapsed-since-surgery groups reported participation in follow-up meetings with a surgeon (≤94.0% and 100%) and a dietitian (≤92.6% and ≤100%), while far fewer reported participation in any follow-up meeting with a psychologist/social worker (≤37.9% and ≤56.1%) (Table 4).

Figure 2.
(a): Adherence to bariatric surgery eating recommendations grouped by time elapsed since surgery (Israel) 1,2,3,4. (b): Adherence to bariatric surgery eating recommendations grouped by time elapsed since surgery (Portugal) 1,2,3,4. 1 Data were available for participants from Israel and Portugal for n = 100 and n = 37 respondents between 1–6 months post-surgery, n = 56 and n = 16 respondents between 6–12 months post-surgery, and n = 103 and n = 51 respondents between 1–5 years post-surgery, respectively. 2 Patients were asked if they keep the following recommended behaviors for the last month (always maintained/partially maintained/not maintained). 3 A glass of drink was considered as 200 mL. 4 Preference to eat solid food items (e.g., boiled egg, chicken breast, salad) over soft or crunchy food items (e.g., ice cream, cookies, cakes, cookies) in most meals. ** Significant differences between time elapsed since surgery groups.
Table 3.
Postoperative health behaviors grouped by time elapsed since surgery and by country.
Table 4.
Attendance to the follow-up regime grouped by time elapsed since surgery and by country.
4. Discussion
In the present study, we aimed to gain information on nutritional and lifestyle parameters following OAGB including food tolerance, eating difficulties, taste and smell changes, and adherence to the BS nutritional and lifestyle recommendations. In terms of anthropometric results, satisfying weight outcomes were reported within all the time-elapsed-since-surgery groups in each country. Nonetheless, the median weight regain reported by respondents from both countries at the mid-term post-surgery was 2–3 kg, which is within the acceptable range up to 5 years following bariatric procedures [34]. However, the range of reported weight-regain was wide between individuals in both countries.
Adherence to the BS eating recommendations, adequate follow-up support, and physical activity were all found to be associated with surgical outcomes [18,35,36]. Therefore, collecting data on these parameters following surgery is important to identify patients prone to poorer outcomes that may be in need of behavioral and nutritional intervention. In the present study, relatively high adherence to the BS eating recommendations was reported within the 1–6 M group, but a trend toward lower adherence to most of them was noticed within groups with longer time elapsed since surgery in each country. This result is in accordance with previous studies which found a similar trend [18,37]. One plausible explanation for this phenomenon could be “behavioral fatigue”, as multiple health behavior changes are required in the long-term following bariatric procedures [18]. In addition, patients report that during the “honeymoon period” when weight loss is drastic and rapid with the “surgery doing the work” in limiting appetite, portion sizes, and interest in foods, it is easier to follow the BS rules compared to later periods when weight has stabilized and “the work begins” as physiological adjustments occur resulting in increased hunger, portion sizes, and interest in foods [18,38]. Food intolerances may impact the diet quality of patients who undergo different types of bariatric procedures, but some adjustments and adaptations of the gastrointestinal system probably occur over time [16,39]. A recently published systematic review found that red meat, rice, bread, pasta, dairy, and fibrous vegetables were the most prevalent reported food intolerances following different types of bariatric procedures [39]. In the present study, we observed food intolerance mainly for red meat, pasta, bread, and rice, but for most a trend toward better tolerance was noticed within groups with a longer time passed since surgery in both countries. Additionally, in both countries the mean food tolerance score was found to be higher within groups with longer time elapsed since surgery in comparison to within the 1–6 M group. Nonetheless, it seems that the prevalence of food intolerance for specific food items was different between respondents from both countries which might reflect differences in eating habits and food preferences.
Further nutritional aspects that should be taken into consideration following bariatric procedures are changes in appetite, taste, and smell. In the present study, changes in appetite were notable among groups with different elapsed times since surgery in each country. Gut hormones, which affect appetite and satiety, may play a causal role in mediating weight loss following BS, but the extent of their role following OAGB is presently less clear [40,41]. Experiencing changes in taste was reported by about half of the respondents in each country, while changes in the taste of water, coffee, and sweets were the most prevalent reported in free text. Experiencing changes in smell was reported by a minority of respondents in each country. Changes in taste and smell perceptions are probably related to adipose–gut–brain-axis modifications which occur following BS and may influence food preferences [42,43]. However, the extent of sensory changes presumably varies between different patients and bariatric procedures. A previous cross-sectional study among 103 Roux-en-Y gastric bypass (RYGB) patients with a median follow-up of 19 months post-surgery, which used similar tools to assess such outcomes, revealed higher postoperative sensory changes in appetite, taste, and smell [29]. Nevertheless, another cross-sectional study, which included 126 patients who underwent RYGB or sleeve gastrectomy (SG) with a mean of 5.0 ± 4.0 years since surgery and used similar tools to assess such outcomes, revealed similar trends [42]. Collectively, future studies should further investigate changes in appetite, taste, and smell following OAGB, preferably using validated and objective methodologies [44], as these may significantly impact the dietary patterns and nutritional outcomes of patients.
As the irregular intake of supplementation may trigger nutritional deficiencies following bariatric procedures and impose health risks, lifelong supplementation is required [45,46]. In the present study, we focused on multivitamin as a marker of adherence to the ”supplementation regime”, although protocols, products, and dosages might be diverse between locations. Daily intake of a multivitamin was reported to be lower within groups with longer time elapsed since surgery among respondents from Israel, but similar within groups with different times elapsed since surgery among respondents from Portugal. This result might reflect differences in patient education, health policies, and cost issues. Nonetheless, our results are more positive than a previous study among 128 OAGB patients which found that during three years of follow-up ≥59% reported compliance to the “supplementation regime”, defined as 5 intakes/week or more [17]. Moreover, adherence to taking supplements following bariatric procedures was previously found to decrease over time [39,46,47,48]; plausible explanations could be patient-related, product-related, economics-related, and healthcare-related. According to a recently published multicenter survey study which was based on the patients’ perspective, factors affecting adherence to multivitamin intake after surgery include mainly forgetfulness, gastrointestinal side effects, unpleasant taste, smell and/or size of the pill, and high costs. Therefore, these factors should be taken into consideration while educating and treating patients who undergo bariatric procedures [47].
In the present study, a minority of respondents from both countries reported reaching the physical activity target of at least 150 min/week of exercising, which is lower than reported in a previous study on 86 OAGB patients 12–20 months post-OAGB [10]. Barriers to perform physical activity among BS patients include both internal barriers (i.e., motivational and physical factors) and external barriers (i.e., resources, support, time, and weather) [18,49]. Reduction in sedentary activities while increasing performance of a physical activity is a known strategy to attenuate weight regain and promote general health [50,51]. Therefore, physical activity promotion and reducing barriers should be an important area of focus for clinicians [18].
The great majority of respondents reported meetings with a surgeon and a dietitian, while much fewer reported meetings with a psychologist/social worker in both countries. Nonetheless, it seems that utilization of BS groups through social media was far more popular among respondents from Israel. Follow-up visits are difficult to enforce post-operatively [18], thus identifying adherence barriers is crucial. The main identified causes of attrition from follow-up meetings after bariatric procedures are probably related to logistic issues, but also lack of awareness of their importance [52]. Therefore, along with patient education and engagement, efforts should be made to address these barriers, and digital communication methods should be utilized to diminish barriers such as distance, time, and cost [18,32,53].
The major strength of this study includes the use of acceptable tools to assess nutrition and lifestyle outcomes. Moreover, the inclusion of patients with three time intervals since the surgery is one of its strengths, as sensory changes and adherence to clinical recommendations could gradually decrease over time [18,37,42]. However, there are some limitations to be mentioned. First, reporting bias and more specifically social-desirability bias cannot be ruled out. Second, data were collected during the COVID-19 pandemic which was related to changes in eating and lifestyle behaviors by a great part of the world population [54]. Third, objective measurements were not collected, thus data on nutritional deficiencies or nutrient intake could not be assessed objectively.
5. Conclusions
Patients following OAGB might experience changes in appetite, taste, and intolerance to specific food items. Adherence to BS nutritional recommendations is not always satisfying, especially in the longer term after surgery. Although the trend for most aspects that could impact food intake outcomes in time-elapsed-since-surgery groups was alike between respondents from Israel and Portugal, some differences regarding adherence to specific BS eating and lifestyle recommendations, attendance to meetings with the multidisciplinary team, and utilization of BS groups through social media were noticed. These results might reflect differences in health policies, clinical practices, eating habits, and culture between participants from the two different countries. Future high-quality prospective long-term studies are needed to increase our knowledge regarding the effect of OAGB on a broad spectrum of nutritional and lifestyle outcomes.
Supplementary Materials
The following supporting information can be downloaded at: https://www.mdpi.com/article/10.3390/nu15061515/s1, File S1: Survey for One Anastomosis Gastric Bypass patients.
Author Contributions
The authors’ responsibilities were as follows—S.S.-D., R.B. (Reut Biton), R.R., T.B.-P., K.M. and Y.G. designed the research; R.B. (Reut Biton), S.S.-D., Y.K., A.R., H.K., N.S., D.G., R.R., C.R., R.B. (Rossela Bragança), Z.S. and O.V. performed the research; S.S.-D. and R.B. (Reut Biton) analyzed the data; and S.S.-D., R.B. (Reut Biton) and T.B.-P. wrote the manuscript. All authors have read and agreed to the published version of the manuscript.
Funding
This study was supported (in part) by an independent grant from Celebrate Nutritional Supplements. The funder was not involved in the study design, collecting, and analyzing the data, writing the report, and submitting this paper for publication.
Institutional Review Board Statement
The study was conducted in accordance with the Declaration of Helsinki and approved by the Assuta Medical Center Institutional Ethics Committee-#0104-19-ASMC (Israel) and the Clínica de Santo António Ethics Committee (Portugal).
Informed Consent Statement
Informed consent was obtained from all study participants.
Data Availability Statement
Data are available on reasonable request. All data relevant to the study are included in the article or uploaded as Supplementary Information.
Acknowledgments
We thank Mary O’Kane (UK) for her advice regarding the construction of the research survey.
Conflicts of Interest
R.R. was paid honoraria for teaching or discussion sessions about OAGB by Ethicon and Medtronic. K.M. has been paid honoraria by several NHS Trusts, Ethicon Inc., Medtronic Inc. Gore Inc., and Olympus Inc. for educational activities related to OAGB. All other authors declare that there are no conflicts of interest.
References
- Wharton, S.; Lau, D.C.; Vallis, M.; Sharma, A.M.; Biertho, L.; Campbell-Scherer, D.; Adamo, K.; Alberga, A.; Bell, R.; Boulé, N.; et al. Obesity in adults: A clinical practice guideline. Can. Med. Assoc. J. 2020, 192, E875–E891. [Google Scholar] [CrossRef] [PubMed]
- Tasdighi, E.; Barzin, M.; Mahawar, K.K.; Hosseinpanah, F.; Ebadinejad, A.; Taraghikhah, N.; Mansoori, A.; Khalaj, A.; Niroomand, M.; Valizadeh, M.; et al. Effect of Biliopancreatic Limb Length on Weight Loss, Postoperative Complications, and Remission of Comorbidities in One Anastomosis Gastric Bypass: A Systematic Review and Meta-analysis. Obes. Surg. 2022, 32, 892–903. [Google Scholar] [CrossRef] [PubMed]
- Angrisani, L.; Santonicola, A.; Iovino, P.; Ramos, A.; Shikora, S.; Kow, L. Bariatric Surgery Survey 2018: Similarities and Disparities Among the 5 IFSO Chapters. Obes. Surg. 2021, 31, 1937–1948. [Google Scholar] [CrossRef] [PubMed]
- De Luca, M.; Piatto, G.; Merola, G.; Himpens, J.; Chevallier, J.M.; Carbajo, M.A.; Mahawar, K.; Sartori, A.; Clemente, N.; Herrera, M.; et al. IFSO Update Position Statement on One Anastomosis Gastric Bypass (OAGB). Obesity Surgery 2021, 31, 3251–3278. [Google Scholar] [CrossRef]
- Ramos, A.C.; Contributors, I.C.C.; Chevallier, J.-M.; Mahawar, K.; Brown, W.; Kow, L.; White, K.P.; Shikora, S. IFSO (International Federation for Surgery of Obesity and Metabolic Disorders) Consensus Conference Statement on One-Anastomosis Gastric Bypass (OAGB-MGB): Results of a Modified Delphi Study. Obes. Surg. 2020, 30, 1625–1634. [Google Scholar] [CrossRef]
- Bruzzi, M.; Rau, C.; Voron, T.; Guenzi, M.; Berger, A.; Chevallier, J.-M. Single anastomosis or mini-gastric bypass: Long-term results and quality of life after a 5-year follow-up. Surg. Obes. Relat. Dis. 2015, 11, 321–326. [Google Scholar] [CrossRef] [PubMed]
- Charalampos, T.; Maria, N.; Vrakopoulou, V.G.Z.; Tania, T.; Raptis, D.; George, Z.; Emmanouil, L.; Konstantinos, A. Tailored One Anastomosis Gastric Bypass: 3-Year Outcomes of 94 Patients. Obes. Surg. 2018, 29, 542–551. [Google Scholar] [CrossRef]
- Jedamzik, J.; Eilenberg, M.; Felsenreich, D.M.; Krebs, M.; Ranzenberger-Haider, T.; Langer, F.B.; Prager, G. Impact of limb length on nutritional status in one-anastomosis gastric bypass: 3-year results. Surg. Obes. Relat. Dis. 2020, 16, 476–484. [Google Scholar]
- Kessler, Y.; Adelson, D.; Mardy-Tilbor, L.; Ben-Porat, T.; Szold, A.; Goitein, D.; Sakran, N.; Raziel, A.; Sherf-Dagan, S. Nutritional status following One Anastomosis Gastric Bypass. Clin. Nutr. 2019, 39, 599–605. [Google Scholar] [CrossRef]
- Liagre, A.; Debs, T.; Kassir, R.; Ledit, A.; Juglard, G.; du Rieu, M.C.; Lazzati, A.; Martini, F.; Petrucciani, N. One Anastomosis Gastric Bypass with a Biliopancreatic Limb of 150 cm: Weight Loss, Nutritional Outcomes, Endoscopic Results, and Quality of Life at 8-Year Follow-Up. Obes. Surg. 2020, 30, 4206–4217. [Google Scholar] [CrossRef]
- Omar, I.; Sam, M.A.; Pegler, M.E.; Pearson, E.J.B.; Boyle, M.; Mahawar, K. Effect of One Anastomosis Gastric Bypass on Haematinics, Vitamin D and Parathyroid Hormone Levels: A Comparison Between 150 and 200 cm Bilio-Pancreatic Limbs. Obes. Surg. 2021, 31, 2954–2961. [Google Scholar] [CrossRef]
- Komaei, I.; Sarra, F.; Lazzara, C.; Ammendola, M.; Memeo, R.; Sammarco, G.; Navarra, G.; Currò, G. One Anastomosis Gastric Bypass–Mini Gastric Bypass with Tailored Biliopancreatic Limb Length Formula Relative to Small Bowel Length: Preliminary Results. Obes. Surg. 2019, 29, 3062–3070. [Google Scholar] [CrossRef] [PubMed]
- Elgeidie, A.; El-Magd, E.-S.A.; Elghadban, H.; Abdelgawad, M.; Hamed, H. Protein Energy Malnutrition After One-Anastomosis Gastric Bypass with a Biliopancreatic Limb ≤200 cm: A Case Series. J. Laparoendosc. Adv. Surg. Tech. 2020, 30, 1320–1328. [Google Scholar] [CrossRef]
- Khalaj, A.; Motamedi, M.A.K.; Mousapour, P.; Valizadeh, M.; Barzin, M. Protein-Calorie Malnutrition Requiring Revisional Surgery after One-Anastomosis-Mini-Gastric Bypass (OAGB-MGB): Case Series from the Tehran Obesity Treatment Study (TOTS). Obes. Surg. 2019, 29, 1714–1720. [Google Scholar] [CrossRef] [PubMed]
- Gentileschi, P.; Siragusa, L.; Alicata, F.; Campanelli, M.; Bellantone, C.; Musca, T.; Bianciardi, E.; Arcudi, C.; Benavoli, D.; Sensi, B. Nutritional Status after Roux-En-Y (Rygb) and One Anastomosis Gastric Bypass (Oagb) at 6-Month Follow-Up: A Comparative Study. Nutrients 2022, 14, 2823. [Google Scholar] [CrossRef]
- Zarshenas, N.; Tapsell, L.C.; Batterham, M.; Neale, E.P.; Talbot, M.L. Changes in Anthropometric Measures, Nutritional Indices and Gastrointestinal Symptoms Following One Anastomosis Gastric Bypass (OAGB) Compared with Roux-en-y Gastric Bypass (RYGB). Obes. Surg. 2021, 31, 2619–2631. [Google Scholar] [CrossRef] [PubMed]
- Andrade, L.; Chiote, I.; Santos-Cruz, A.; Brito-Costa, A.; Mendes, L.; Silva-Nunes, J.; Pereira, J. Protein Intake, Adherence to Vitamin–Mineral Supplementation, and Dumping Syndrome in Patients Undergoing One Anastomosis Gastric Bypass. Obes. Surg. 2021, 31, 3557–3564. [Google Scholar] [CrossRef] [PubMed]
- Hood, M.M.; Corsica, J.; Bradley, L.; Wilson, R.; Chirinos, D.A.; Vivo, A. Managing severe obesity: Understanding and improving treatment adherence in bariatric surgery. J. Behav. Med. 2016, 39, 1092–1103. [Google Scholar] [CrossRef] [PubMed]
- Agha, R.; Abdall-Razak, A.; Crossley, E.; Dowlut, N.; Iosifidis, C.; Mathew, G.; Beamishaj; Bashashati, M.; Millham, F.H.; Orgill, D.P.; et al. STROCSS 2019 Guideline: Strengthening the reporting of cohort studies in surgery. Int. J. Surg. 2019, 72, 156–165. [Google Scholar] [CrossRef] [PubMed]
- Brethauer, S.A.; Kim, J.; el Chaar, M.; Papasavas, P.; Eisenberg, D.; Rogers, A.; Ballem, N.; Kligman, M.; Kothari, S. Standardized outcomes reporting in metabolic and bariatric surgery. Surg. Obes. Relat. Dis. 2015, 11, 489–506. [Google Scholar] [CrossRef] [PubMed]
- Beaton, D.E.; Bombardier, C.; Guillemin, F.; Ferraz, M.B. Guidelines for the Process of Cross-Cultural Adaptation of Self-Report Measures. Spine 2000, 25, 3186–3191. [Google Scholar] [CrossRef] [PubMed]
- Tsang, S.; Royse, C.F.; Terkawi, A.S. Guidelines for developing, translating, and validating a questionnaire in perioperative and pain medicine. Saudi J. Anaesth. 2017, 11 (Suppl. S1), S80–S89. [Google Scholar] [CrossRef] [PubMed]
- Suter, M.; Calmes, J.-M.; Paroz, A.; Giusti, V. A New Questionnaire for Quick Assessment of Food Tolerance after Bariatric Surgery. Obes. Surg. 2007, 17, 2–8. [Google Scholar] [CrossRef]
- Godoy, C.M.D.A.; Caetano, A.L.; Viana, K.R.S.; De Godoy, E.P.; Barbosa, A.L.C.; Ferraz, E.M. Food Tolerance in Patients Submitted to Gastric Bypass: The Importance of Using an Integrated and Interdisciplinary Approach. Obes. Surg. 2011, 22, 124–130. [Google Scholar] [CrossRef] [PubMed]
- Gobato, R.C.; Cazzo, E.; Baltieri, L.; Modena, D.A.O.; Chaim, E.A. Food Intolerance 1 Year After Banded Roux-En-Y Gastric Bypass. Obes. Surg. 2018, 29, 485–491. [Google Scholar] [CrossRef] [PubMed]
- de A Godoy, C.M.; Aprígio, L.C.S.; de Godoy, E.P.; Furtado, M.C.; Coelho, D.; de Souza, L.B.R.; de Oliveira, A.M.G. Food Tolerance and Eating Behavior After Roux-en-Y Gastric Bypass Surgery. Obes Surg. 2018, 28, 1540–1545. [Google Scholar] [CrossRef] [PubMed]
- Reis, G.M.F.; Malheiros, C.A.; Savassi-Rocha, P.R.; Júnior, O.L.C.; Thuler, F.R.; Faria, M.L.; Filho, V.G. Gastric Emptying and Food Tolerance Following Banded and Non-banded Roux-en-Y Gastric Bypass. Obes Surg. 2019, 29, 560–568. [Google Scholar] [CrossRef]
- Schweiger, C.; Weiss, R.; Keidar, A. Effect of Different Bariatric Operations on Food Tolerance and Quality of Eating. Obes. Surg. 2010, 20, 1393–1399. [Google Scholar] [CrossRef]
- Graham, L.; Murty, G.; Bowrey, D.J. Taste, Smell and Appetite Change After Roux-en-Y Gastric Bypass Surgery. Obes. Surg. 2014, 24, 1463–1468. [Google Scholar] [CrossRef] [PubMed]
- Tichansky, D.S.; Boughter, J.D.; Madan, A.K., Jr. Taste change after laparoscopic Roux-en-Y gastric bypass and laparoscopic adjustable gastric banding. Surg. Obes. Relat. Dis. 2006, 2, 440–444. [Google Scholar] [CrossRef] [PubMed]
- Zerrweck, C.; Zurita, L.; Álvarez, G.; Maydón, H.G.; Sepúlveda, E.M.; Campos, F.; Caviedes, A.; Guilbert, L. Taste and Olfactory Changes Following Laparoscopic Gastric Bypass and Sleeve Gastrectomy. Obes. Surg. 2015, 26, 1296–1302. [Google Scholar] [CrossRef] [PubMed]
- Dagan, S.S.; Goldenshluger, A.; Globus, I.; Schweiger, C.; Kessler, Y.; Sandbank, G.K.; Ben-Porat, T.; Sinai, T. Nutritional Recommendations for Adult Bariatric Surgery Patients: Clinical Practice. Adv. Nutr. 2017, 8, 382–394. [Google Scholar] [CrossRef] [PubMed]
- Kim, H.-Y. Statistical notes for clinical researchers: Effect size. Restor. Dent. Endod. 2015, 40, 328–331. [Google Scholar] [CrossRef] [PubMed]
- Voorwinde, V.; Steenhuis, I.H.M.; Janssen, I.M.C.; Monpellier, V.M.; van Stralen, M.M. Definitions of Long-Term Weight Regain and Their Associations with Clinical Outcomes. Obes. Surg. 2019, 30, 527–536. [Google Scholar] [CrossRef]
- Pizato, N.; Botelho, P.B.; Gonçalves, V.S.S.; Dutra, E.S.; De Carvalho, K.M.B. Effect of Grazing Behavior on Weight Regain Post-Bariatric Surgery: A Systematic Review. Nutrients 2017, 9, 1322. [Google Scholar] [CrossRef]
- Athanasiadis, D.I.; Martin, A.; Kapsampelis, P.; Monfared, S.; Stefanidis, D. Factors associated with weight regain post-bariatric surgery: A systematic review. Surg. Endosc. 2021, 35, 4069–4084. [Google Scholar] [CrossRef] [PubMed]
- Hood, M.M.; Kelly, M.C.; Feig, E.H.; Webb, V.; Bradley, L.E.; Corsica, J. Measurement of adherence in bariatric surgery: A systematic review. Surg. Obes. Relat. Dis. 2018, 14, 1192–1201. [Google Scholar] [CrossRef]
- Lynch, A. When the honeymoon is over, the real work begins: Gastric bypass patients weight loss trajectories and dietary change experiences. Soc. Sci. Med. 2016, 151, 241–249. [Google Scholar] [CrossRef]
- Zarshenas, N.; Tapsell, L.C.; Neale, E.P.; Batterham, M.; Talbot, M.L. The Relationship Between Bariatric Surgery and Diet Quality: A Systematic Review. Obes. Surg. 2020, 30, 1768–1792. [Google Scholar] [CrossRef]
- De Bandt, D.; Rives-Lange, C.; Frigout, Y.; Bergerot, D.; Blanchard, A.; Le Gall, M.; Lacorte, J.-M.; Chevallier, J.-M.; Czernichow, S.; Poghosyan, T.; et al. Similar Gut Hormone Secretions Two Years After One Anastomosis Gastric Bypass and Roux-en-Y Gastric Bypass: A Pilot Study. Obes Surg. 2022, 32, 757–762. [Google Scholar] [CrossRef] [PubMed]
- Kim, M.J.; Park, H.K.; Byun, D.W.; Suh, K.I.; Hur, K.Y. Incretin levels 1 month after laparoscopic single anastomosis gastric bypass surgery in non-morbid obese type 2 diabetes patients. Asian J. Surg. 2014, 37, 130–137. [Google Scholar] [CrossRef]
- Lopes, K.G.; dos Santos, G.P.; Romagna, E.C.; Mattos, D.M.F.; Braga, T.G.; Cunha, C.B.; Maranhão, P.A.; Kraemer-Aguiar, L.G. Changes in appetite, taste, smell, and food aversion in post-bariatric patients and their relations with surgery time, weight loss and regain. Eat. Weight. Disord. Stud. Anorexia, Bulim. Obes. 2021, 27, 1679–1686. [Google Scholar] [CrossRef]
- Pucci, A.; Batterham, R.L. Mechanisms underlying the weight loss effects of RYGB and SG: Similar, yet different. J. Endocrinol. Investig. 2018, 42, 117–128. [Google Scholar] [CrossRef]
- Gero, D.; Steinert, R.E.; le Roux, C.W.; Bueter, M. Do Food Preferences Change After Bariatric Surgery? Curr. Atheroscler. Rep. 2017, 19, 38. [Google Scholar] [CrossRef] [PubMed]
- Parrott, J.M.; Craggs-Dino, L.; Faria, S.L.; O’Kane, M. The Optimal Nutritional Programme for Bariatric and Metabolic Surgery. Curr. Obes. Rep. 2020, 9, 326–338. [Google Scholar] [CrossRef] [PubMed]
- Smelt, H.J.; Pouwels, S.; Smulders, J.F.; Hazebroek, E.J. Patient adherence to multivitamin supplementation after bariatric surgery: A narrative review. J. Nutr. Sci. 2020, 9, e46. [Google Scholar] [CrossRef] [PubMed]
- Smelt, H.J.M.; Heusschen, L.; Theel, W.; van Rutte, P.W.J.; Nijboer, T.; Pouwels, S.; Smulders, J.F.; Hazebroek, E.J. Factors Affecting Patient Adherence to Multivitamin Intake After Bariatric Surgery: A Multicentre Survey Study from the Patient’s Perspective. Obes. Surg. 2021, 31, 4316–4326. [Google Scholar] [CrossRef] [PubMed]
- Ben-Porat, T.; Elazary, R.; Goldenshluger, A.; Dagan, S.S.; Mintz, Y.; Weiss, R. Nutritional deficiencies four years after laparoscopic sleeve gastrectomy-are supplements required for a lifetime? Surg. Obes. Relat. Dis. 2017, 13, 1138–1144. [Google Scholar] [CrossRef] [PubMed]
- Peacock, J.C.; Sloan, S.S.; Cripps, B. A Qualitative Analysis of Bariatric Patients’ Post-surgical Barriers to Exercise. Obes. Surg. 2013, 24, 292–298. [Google Scholar] [CrossRef]
- Melby, C.L.; Paris, H.L.; Foright, R.M.; Peth, J. Attenuating the Biologic Drive for Weight Regain Following Weight Loss: Must What Goes Down Always Go Back Up? Nutrients 2017, 9, 468. [Google Scholar] [CrossRef]
- Tabesh, M.R.; Maleklou, F.; Ejtehadi, F.; Alizadeh, Z. Nutrition, Physical Activity, and Prescription of Supplements in Pre- and Post-bariatric Surgery Patients: A Practical Guideline. Obes. Surg. 2019, 29, 3385–3400. [Google Scholar] [CrossRef] [PubMed]
- Goldenshluger, A.; Elazary, R.; Cohen, M.J.; Goldenshluger, M.; Ben-Porat, T.; Nowotni, J.; Geraisi, H.; Amun, M.; Pikarsky, A.J.; Keinan-Boker, L. Predictors for Adherence to Multidisciplinary Follow-Up Care after Sleeve Gastrectomy. Obes. Surg. 2018, 28, 3054–3061. [Google Scholar] [CrossRef] [PubMed]
- McGrice, M.; Paul, K.D. Interventions to improve long-term weight loss in patients following bariatric surgery: Challenges and solutions. Diabetes Metab. Syndr. Obesity: Targets Ther. 2015, 8, 263–274. [Google Scholar] [CrossRef] [PubMed]
- Bakaloudi, D.R.; Jeyakumar, D.T.; Jayawardena, R.; Chourdakis, M. The impact of COVID-19 lockdown on snacking habits, fast-food and alcohol consumption: A systematic review of the evidence. Clin. Nutr. 2021, 41, 3038–3045. [Google Scholar] [CrossRef] [PubMed]
Disclaimer/Publisher’s Note: The statements, opinions and data contained in all publications are solely those of the individual author(s) and contributor(s) and not of MDPI and/or the editor(s). MDPI and/or the editor(s) disclaim responsibility for any injury to people or property resulting from any ideas, methods, instructions or products referred to in the content. |
© 2023 by the authors. Licensee MDPI, Basel, Switzerland. This article is an open access article distributed under the terms and conditions of the Creative Commons Attribution (CC BY) license (https://creativecommons.org/licenses/by/4.0/).

