Water Extract of Chrysanthemum indicum L. Flower Inhibits Capsaicin-Induced Systemic Low-Grade Inflammation by Modulating Gut Microbiota and Short-Chain Fatty Acids
Abstract
1. Introduction
2. Materials and Methods
2.1. Preparation of CIF Extract
2.2. Preparation of Laboratory Animals
2.3. Determination of LPS and Inflammatory Factors in the Serum of Mice
2.4. Analysis of Mouse Gut Microbiota
2.5. Determination of SCFAs Content
2.6. Statistical Analysis
3. Results
3.1. Effects of Capsaicin and CIF on the Levels of Serum Inflammatory Factor in Mice
3.2. Effects of Capsaicin and CIF on Serum LPS Levels in Mice
3.3. Effects of Capsaicin and CIF on the Diversity of Intestinal Microflora in Mice
3.4. Effects of Capsaicin and CIF on Gut Microbiota at Phylum and Genus Levels in Mice
3.5. Correlation between Inflammatory Factors and Gut Microbiota
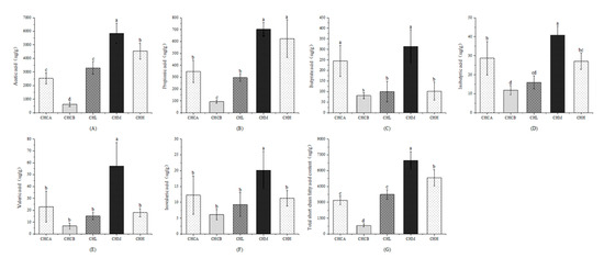
3.6. Effects of Capsaicin and CIF on SCFAs Content of Feces in Mice
4. Discussion
5. Conclusions
Author Contributions
Funding
Institutional Review Board Statement
Informed Consent Statement
Data Availability Statement
Conflicts of Interest
Abbreviations
| Abbreviations | Full Name |
| CIF | Chrysanthemum indicum L. flower |
| FSLI | food-induced systemic low-grade inflammation |
| IL-10 | Interleukin-10 |
| IL-1β | Interleukin-1beta |
| IL-6 | Interleukin-6 |
| LPS | lipopolysaccharide |
| NSAIDs | nonsteroidal anti-inflammatory drugs |
| OTU | operational taxonomic unit |
| PCoA | principal coordinate analysis |
| SCFAs | short-chain fatty acids |
| TNF-α | tumor necrosis factor-α |
References
- Huang, C.J.; Wu, M.C. Differential effects of foods traditionally regarded as ‘heating’ and ‘cooling’ on prostaglandin E-2 production by a macrophage cell line. J. Biomed. Sci. 2002, 9, 596–606. [Google Scholar] [CrossRef]
- Yan, H.; Ji, Q.; Chen, D.; Wu, J.; Peng, S.A.; Ma, Z.; Deng, X. A novel macromolecular extract screened from satsuma with pro-inflammatory effect. Food Funct. 2014, 5, 295–302. [Google Scholar] [CrossRef]
- Ma, J.; Xiao, W.; Wang, J.; Wu, J.; Ren, J.; Hou, J.; Gu, J.; Fan, K.; Yu, B. Propofol Inhibits NLRP3 Inflammasome and Attenuates Blast-Induced Traumatic Brain Injury in Rats. Inflammation 2016, 39, 2094–2103. [Google Scholar] [CrossRef]
- Arias, M.; Cobo, M.; Jaime-Sanchez, P.; Pastor, J.; Marijuan, P.; Pardo, J.; Rezusta, A.; Del Campo, R. Gut microbiota and systemic inflammation changes after bread consumption: The ingredients and the processing influence. J. Funct. Foods 2017, 32, 98–105. [Google Scholar] [CrossRef]
- Suneson, K.; Lindahl, J.; Chamli Harsmar, S.; Soderberg, G.; Lindqvist, D. Inflammatory Depression-Mechanisms and Non-Pharmacological Interventions. Int. J. Mol. Sci. 2021, 22, 1640. [Google Scholar] [CrossRef]
- Candido, F.G.; Valente, F.X.; Grzeskowiak, L.M.; Boroni Moreira, A.P.; Usuda Prado Rocha, D.M.; Goncalves Alfenas, R.D.C. Impact of dietary fat on gut microbiota and low-grade systemic inflammation: Mechanisms and clinical implications on obesity. Int. J. Food Sci. Nutr. 2018, 69, 125–143. [Google Scholar] [CrossRef] [PubMed]
- Lontchi-Yimagou, E.; Sobngwi, E.; Matsha, T.E.; Kengne, A.P. Diabetes Mellitus and Inflammation. Curr. Diabetes Rep. 2013, 13, 435–444. [Google Scholar] [CrossRef] [PubMed]
- Bindu, S.; Mazumder, S.; Bandyopadhyay, U. Non-steroidal anti-inflammatory drugs (NSAIDs) and organ damage: A current perspective. Biochem. Pharmacol. 2020, 180, 114147. [Google Scholar] [CrossRef] [PubMed]
- Ming, K.; Yuan, W.; Chen, Y.; Du, H.; He, M.; Hu, Y.; Wang, D.; Wu, Y.; Liu, J. PI3KC3-dependent autophagosomes formation pathway is of crucial importance to anti-DHAV activity of Chrysanthemum indicum polysaccharide. Carbohydr. Polym. 2019, 208, 22–31. [Google Scholar] [CrossRef]
- Zhu, S.; Yang, Y.; Yu, H.; Yue, Y.; Zou, G.L. Chemical composition and antimicrobial activity of the essential oils of Chrysanthemum indicum. J. Ethnopharmacol. 2005, 96, 151–158. [Google Scholar] [CrossRef]
- Luyen, B.T.T.; Tai, B.H.; Thao, N.P.; Lee, Y.M.; Lee, S.H.; Jang, H.D.; Kim, Y.H. The Anti-Osteoporosis and Antioxidant Activities of Chemical Constituents from Chrysanthemum indicum Flowers. Phytother. Res. 2015, 29, 540–548. [Google Scholar] [CrossRef]
- Liu, Y.M.; Li, Y.C.; Fang, X.Y.; Wang, C.; Wang, L.L.; Miao, M.S. Study on antidepressant effect of water extract of wild chrysanthemum. New Chin. Med. Clin. Pharmacol. 2019, 30, 1195–1199. [Google Scholar]
- Maslowski, K.M.; Mackay, C.R. Diet, gut microbiota and immune responses. Nat. Immunol. 2011, 12, 5–9. [Google Scholar] [CrossRef]
- Gao, J.; Xu, K.; Liu, H.; Liu, G.; Bai, M.; Peng, C.; Li, T.; Yin, Y. Impact of the Gut Microbiota on Intestinal Immunity Mediated by Tryptophan Metabolism. Front. Cell. Infect. Microbiol. 2018, 8. [Google Scholar] [CrossRef] [PubMed]
- Li, G.L.; Kuang, H. Application of high-throughput sequencing technology in food microbial detection. J. Food Saf. Qual. Test. 2019, 10, 5091–5097. [Google Scholar]
- Pan, M.-H.; Zhu, S.-R.; Duan, W.-J.; Ma, X.-H.; Luo, X.; Liu, B.; Kurihara, H.; Li, Y.-F.; Chen, J.-X.; He, R.-R. “Shanghuo” increases disease susceptibility: Modern significance of an old TCM theory. J. Ethnopharmacol. 2019, 250, 112491. [Google Scholar] [CrossRef] [PubMed]
- Tu, X.; Deng, Y.; Chen, J.; Hu, Q.; He, C.; Jordan, J.B.; Zhong, S. Screening study on the anti-angiogenic effects of Traditional Chinese Medicine—Part I: Heat-clearing and detoxicating TCM. J. Ethnopharmacol. 2016, 194, 280–287. [Google Scholar] [CrossRef]
- Tu, X.; Wang, H.B.; Huang, Q.; Cai, Y.; Deng, Y.P.; Yong, Z.; Hu, Q.; Feng, J.; Jordan, J.B.; Zhong, S. Screening Study on the Anti-Angiogenic Effects of Traditional Chinese Medicine—Part II: Wild Chrysanthemum. J. Cancer 2021, 12, 124–133. [Google Scholar] [CrossRef]
- Bae, J.-W.; Kim, D.-H.; Lee, W.-W.; Kim, H.-Y.; Son, C.-G. Characterizing the human equivalent dose of herbal medicines in animal toxicity studies. J. Ethnopharmacol. 2015, 162, 1–6. [Google Scholar] [CrossRef]
- Nair, A.; Morsy, M.A.; Jacob, S. Dose translation between laboratory animals and human in preclinical and clinical phases of drug development. Drug Dev. Res. 2018, 79, 373–382. [Google Scholar] [CrossRef]
- Han, M.; Hao, L.; Lin, Y.; Li, F.; Wang, J.; Yang, H.; Xiao, L.; Kristiansen, K.; Jia, H.; Li, J. A novel affordable reagent for room temperature storage and transport of fecal samples for metagenomic analyses. Microbiome 2018, 6, 43. [Google Scholar] [CrossRef] [PubMed]
- Ghosh, S.S.; Wang, J.; Yannie, P.J.; Ghosh, S. Intestinal Barrier Dysfunction, LPS Translocation, and Disease Development. J. Endocr. Soc. 2020, 4, bvz039. [Google Scholar] [CrossRef]
- Zhang, H.; Qi, R.; Zeng, Y.; Tsao, R.; Mine, Y. Chinese Sweet Leaf Tea (Rubus suavissimus) Mitigates LPS-Induced Low-Grade Chronic Inflammation and Reduces the Risk of Metabolic Disorders in a C57BL/6J Mouse Model. J. Agric. Food Chem. 2020, 68, 138–146. [Google Scholar] [CrossRef]
- Panchal, S.K.; Bliss, E.; Brown, L. Capsaicin in Metabolic Syndrome. Nutrients 2018, 10, 630. [Google Scholar] [CrossRef] [PubMed]
- Rosca, A.E.; Iesanu, M.I.; Zahiu, C.D.M.; Voiculescu, S.E.; Paslaru, A.C.; Zagrean, A.-M. Capsaicin and Gut Microbiota in Health and Disease. Molecules 2020, 25, 5681. [Google Scholar] [CrossRef]
- Bode, A.M.; Dong, Z. The Two Faces of Capsaicin. Cancer Res. 2011, 71, 2809–2814. [Google Scholar] [CrossRef]
- Lin, Q.; Wu, J.; Willis, W.D. Dorsal root reflexes and cutaneous neurogenic inflammation after intradermal injection of capsaicin in rats. J. Neurophysiol. 1999, 82, 2602–2611. [Google Scholar] [CrossRef] [PubMed]
- Xu, Q.; Sun, L.; Zhang, W.; Wu, H.; Jiao, C.; Xu, L.; Qian, X.; Yao, H.; Chen, Q.; Xu, F.; et al. A novel visceral pain model of uterine cervix inflammation in rat. Eur. J. Pharmacol. 2021, 900, 174080. [Google Scholar] [CrossRef]
- Krishnatreyya, H.; Hazarika, H.; Saha, A.; Chattopadhyay, P. Fundamental pharmacological expressions on ocular exposure to capsaicin, the principal constituent in pepper sprays. Sci. Rep. 2018, 8, 12153. [Google Scholar] [CrossRef]
- Panpetch, W.; Visitchanakun, P.; Saisorn, W.; Sawatpanich, A.; Chatthanathon, P.; Somboonna, N.; Tumwasorn, S.; Leelahavanichkul, A. Lactobacillus rhamnosus attenuates Thai chili extracts induced gut inflammation and dysbiosis despite capsaicin bactericidal effect against the probiotics, a possible toxicity of high dose capsaicin. PLoS ONE 2021, 16, e0261189. [Google Scholar] [CrossRef]
- Debnath, T.; Jin, H.L.; Hasnat, M.A.; Kim, Y.; Samad, N.B.; PARK, P.J.; Lim, B.O. Antioxidant potential and oxidative DNA damage preventive activity of Chrysanthemum indicum extracts. J. Food Biochem. 2013, 37, 440–448. [Google Scholar] [CrossRef]
- Jeong, S.C.; Kim, S.M.; Jeong, Y.T.; Song, C.H. Hepatoprotective effect of water extract from Chrysanthemum indicum L. flower. Chin. Med. 2013, 8, 7. [Google Scholar] [CrossRef]
- Cheng, W.M.; Li, J.; You, T.P.; Hu, C.M. Anti-inflammatory and immunomodulatory activities of the extracts from the inflorescence of Chrysanthemum indicum Linne. J. Ethnopharmacol. 2005, 101, 334–337. [Google Scholar] [CrossRef]
- Hirano, T. IL-6 in inflammation, autoimmunity and cancer. Int. Immunol. 2021, 33, 127–148. [Google Scholar] [CrossRef] [PubMed]
- Alves-Santos, A.M.; Araujo Sugizaki, C.S.; Lima, G.C.; Veloso Naves, M.M. Prebiotic effect of dietary polyphenols: A systematic review. J. Funct. Foods 2020, 74, 104169. [Google Scholar] [CrossRef]
- Juskewitch, J.E.; Knudsen, B.E.; Platt, J.L.; Nath, K.A.; Knutson, K.L.; Brunn, G.J.; Grande, J.P. LPS-Induced Murine Systemic Inflammation Is Driven by Parenchymal Cell Activation and Exclusively Predicted by Early MCP-1 Plasma Levels. Am. J. Pathol. 2012, 180, 32–40. [Google Scholar] [CrossRef]
- Kalita, A.; Das, M.; Baro, M.R.; Das, B. Exploring the role of Aquaporins (AQPs) in LPS induced systemic inflammation and the ameliorative effect of Garcinia in male Wistar rat. Inflammopharmacology 2021, 29, 801–823. [Google Scholar] [CrossRef]
- Pushpanathan, P.; Mathew, G.S.; Selvarajan, S.; Seshadri, K.G.; Srikanth, P. Gut Microbiota and Its Mysteries. Indian J. Med. Microbiol. 2019, 37, 268–277. [Google Scholar] [CrossRef]
- Zhai, Q.; Chu, C.; He, P.; Chen, W. Diet, intestinal microorganisms and human health. J. Food Biotechnol. 2020, 39, 1–9. [Google Scholar]
- Alberto, M.-T.J.; Patricia, D.-E.; Teresa, V.; Laura, H.-G.; Jesús, R.-M.A.; Jesús, R.-S.M.; Miguel, R.; Iñaki, R.-V.; Federico, G.; Julio, P.-D.; et al. Lactobacillus fermentum CECT5716 ameliorates high fat diet-induced obesity in mice through modulation of gut microbiota dysbiosis. Pharmacol. Res. 2021, 167, 105471. [Google Scholar]
- Hu, T.; Song, J.; Zeng, W.; Li, J.; Wang, H.; Zhang, Y.; Suo, H. Lactobacillus plantarum LP33 attenuates Pb-induced hepatic injury in rats by reducing oxidative stress and inflammation and promoting Pb excretion. Food Chem. Toxicol. 2020, 143, 111533. [Google Scholar] [CrossRef] [PubMed]
- Wang, Y.-J.; Su, J.; Yu, J.-J.; Yan, M.-Q.; Shi, M.-L.; Huang, Q.-D.; Li, B.; Wu, W.-Y.; Xia, R.-S.; Li, S.-F.; et al. Buddleoside-Rich Chrysanthemum indicum L. Extract has a Beneficial Effect on Metabolic Hypertensive Rats by Inhibiting the Enteric-Origin LPS/TLR4 Pathway. Front. Pharmacol. 2021, 12, 2768. [Google Scholar] [CrossRef] [PubMed]
- Zhang, P.; Jiao, H.; Wang, C.; Lin, Y.; You, S. Chlorogenic Acid Ameliorates Colitis and Alters Colonic Microbiota in a Mouse Model of Dextran Sulfate Sodium-Induced Colitis. Front. Physiol. 2019, 10, 325. [Google Scholar] [CrossRef]
- Ma, G.; Chen, Y. Polyphenol supplementation benefits human health via gut microbiota: A systematic review via meta-analysis. J. Funct. Foods 2020, 66, 103829. [Google Scholar] [CrossRef]
- Peng, L.; Li, Z.-R.; Green, R.S.; Holzman, I.R.; Lin, J. Butyrate Enhances the Intestinal Barrier by Facilitating Tight Junction Assembly via Activation of AMP-Activated Protein Kinase in Caco-2 Cell Monolayers. J. Nutr. 2009, 139, 1619–1625. [Google Scholar] [CrossRef] [PubMed]
- Jung, T.-H.; Park, J.H.; Jeon, W.-M.; Han, K.-S. Butyrate modulates bacterial adherence on LS174T human colorectal cells by stimulating mucin secretion and MAPK signaling pathway. Nutr. Res. Pract. 2015, 9, 343–349. [Google Scholar] [CrossRef]
- Vonk, R.J.; Priebe, M.; Meijer, K.; Venema, K.; Rnelofsen, H. The Interaction of Short-Chain Fatty Acids (SCFA) with Adipose Tissue; Relevance for Systemic Inflammation. Gastroenterology 2011, 140, S860. [Google Scholar] [CrossRef]






| Shannon | Simpson | Chao1 | Ace | Goods_Coverage | |
|---|---|---|---|---|---|
| CHCA | 4.835 ± 0.409 a | 0.920 ± 0.017 a | 260.974 ± 48.874 ab | 253.707 ± 55.233 ab | 0.999 |
| CHCB | 1.949 ± 0.538 b | 0.554 ± 0.185 b | 141.000 ± 17.298 c | 144.3369 ± 17.075 c | 0.999 |
| CHL | 3.694 ± 0.548 ab | 0.851 ± 0.071 ab | 287.075 ± 22.114 a | 285.381 ± 19.954 a | 0.999 |
| CHM | 2.636 ± 1.474 b | 0.574 ± 0.256 b | 211.657 ± 35.323 b | 210.172 ± 35.070 bc | 0.999 |
| CHH | 3.578 ± 0.687 ab | 0.805 ± 0.086 ab | 244.786 ± 19.736 ab | 238.95 ± 21.048 ab | 0.999 |
Disclaimer/Publisher’s Note: The statements, opinions and data contained in all publications are solely those of the individual author(s) and contributor(s) and not of MDPI and/or the editor(s). MDPI and/or the editor(s) disclaim responsibility for any injury to people or property resulting from any ideas, methods, instructions or products referred to in the content. |
© 2023 by the authors. Licensee MDPI, Basel, Switzerland. This article is an open access article distributed under the terms and conditions of the Creative Commons Attribution (CC BY) license (https://creativecommons.org/licenses/by/4.0/).
Share and Cite
Yang, B.; Sun, D.; Sun, L.; Cheng, Y.; Wang, C.; Hu, L.; Fang, Z.; Deng, Q.; Zhao, J. Water Extract of Chrysanthemum indicum L. Flower Inhibits Capsaicin-Induced Systemic Low-Grade Inflammation by Modulating Gut Microbiota and Short-Chain Fatty Acids. Nutrients 2023, 15, 1069. https://doi.org/10.3390/nu15051069
Yang B, Sun D, Sun L, Cheng Y, Wang C, Hu L, Fang Z, Deng Q, Zhao J. Water Extract of Chrysanthemum indicum L. Flower Inhibits Capsaicin-Induced Systemic Low-Grade Inflammation by Modulating Gut Microbiota and Short-Chain Fatty Acids. Nutrients. 2023; 15(5):1069. https://doi.org/10.3390/nu15051069
Chicago/Turabian StyleYang, Bing, Dongfang Sun, Lijun Sun, Yaokun Cheng, Chen Wang, Lianhua Hu, Zhijia Fang, Qi Deng, and Jian Zhao. 2023. "Water Extract of Chrysanthemum indicum L. Flower Inhibits Capsaicin-Induced Systemic Low-Grade Inflammation by Modulating Gut Microbiota and Short-Chain Fatty Acids" Nutrients 15, no. 5: 1069. https://doi.org/10.3390/nu15051069
APA StyleYang, B., Sun, D., Sun, L., Cheng, Y., Wang, C., Hu, L., Fang, Z., Deng, Q., & Zhao, J. (2023). Water Extract of Chrysanthemum indicum L. Flower Inhibits Capsaicin-Induced Systemic Low-Grade Inflammation by Modulating Gut Microbiota and Short-Chain Fatty Acids. Nutrients, 15(5), 1069. https://doi.org/10.3390/nu15051069

