Acute Dose–Response Effectiveness of Combined Catechins and Chlorogenic Acids on Postprandial Glycemic Responses in Healthy Men: Results from Two Randomized Studies
Abstract
1. Introduction
2. Materials and Methods
2.1. Study Design
2.2. Participants
2.3. Experimental Procedures
2.4. Test Beverages
2.5. Biochemical Analysis
2.6. Statistical Analysis
3. Results
3.1. Participants
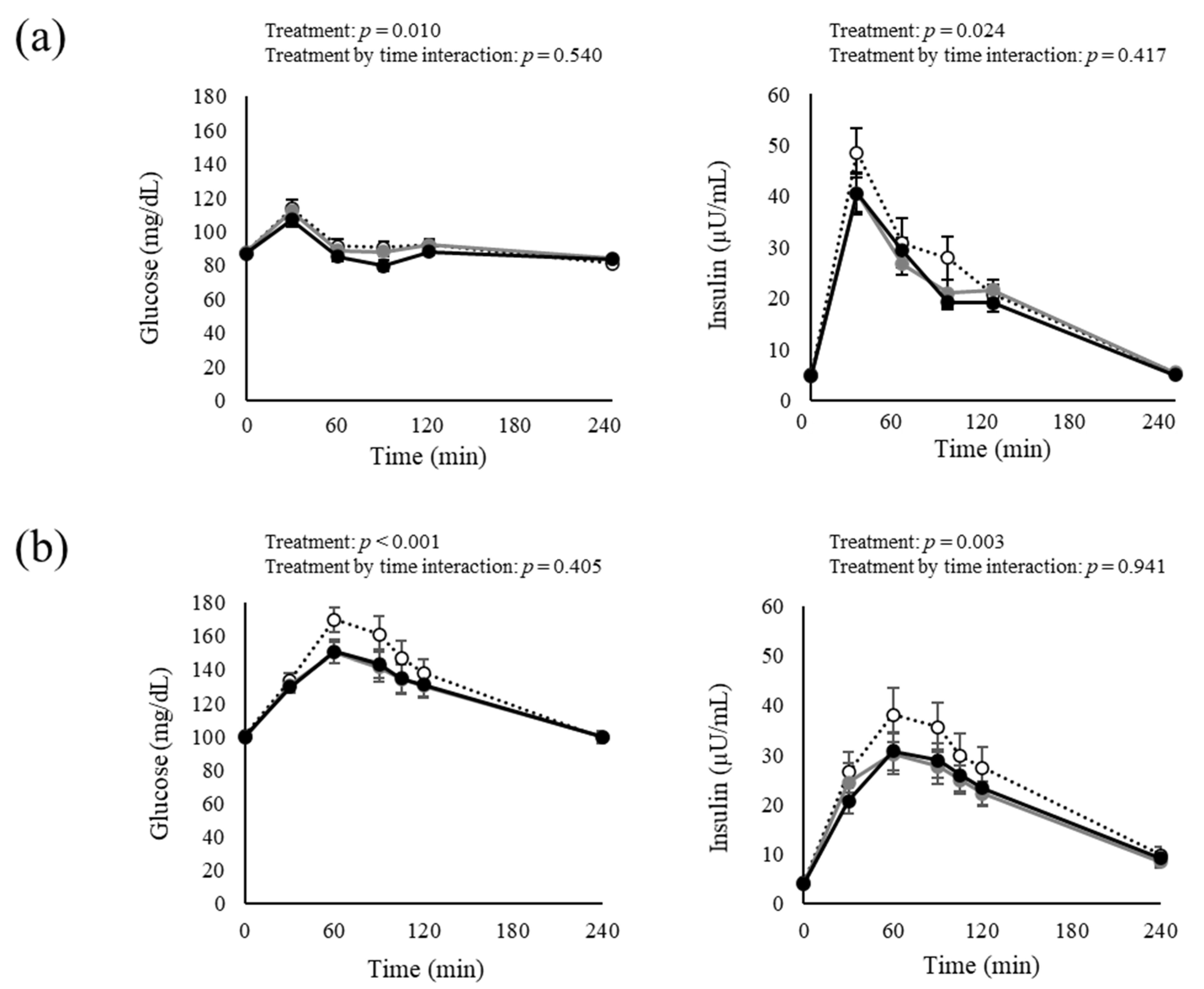
3.2. Blood Glucose and Insulin
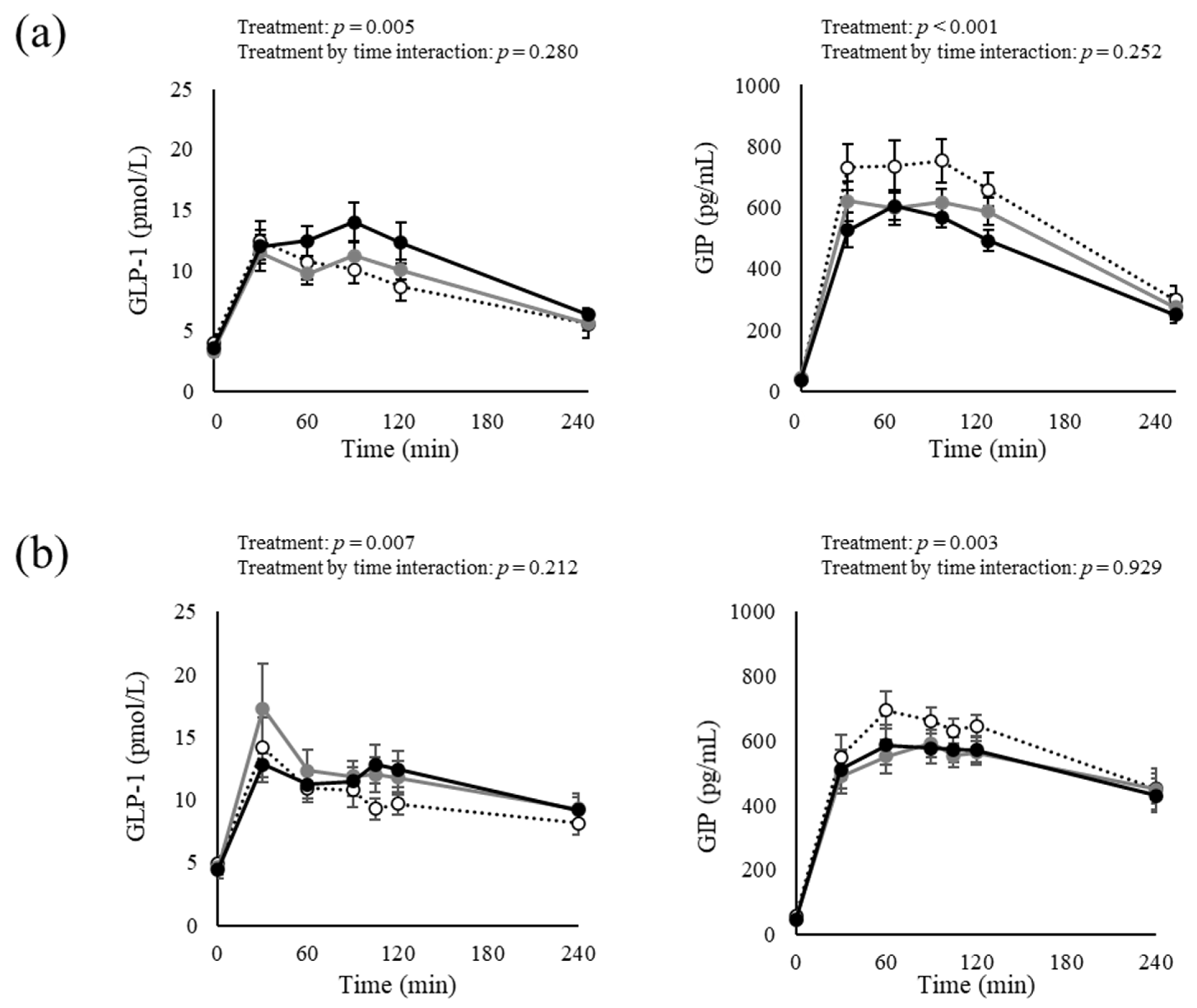
3.3. Incretins
4. Discussion
Author Contributions
Funding
Institutional Review Board Statement
Informed Consent Statement
Data Availability Statement
Acknowledgments
Conflicts of Interest
References
- Akash, M.S.; Rehman, K.; Chen, S. Role of inflammatory mechanisms in pathogenesis of type 2 diabetes mellitus. J. Cell. Biochem. 2013, 114, 525–531. [Google Scholar] [CrossRef] [PubMed]
- International Diabetes Federation. IDF Diabetes Atlas, 7th ed.; International Diabetes Federation: Brussels, Belgium, 2015. [Google Scholar]
- Fujishima, M.; Kiyohara, Y.; Kato, I.; Ohmura, T.; Iwamoto, H.; Nakayama, K.; Ohmori, S.; Yoshitake, T. Diabetes and cardiovascular disease in a prospective population survey in Japan: The Hisayama Study. Diabetes 1996, 45, S14–S16. [Google Scholar] [CrossRef] [PubMed]
- Baggio, L.L.; Drucker, D.J. Biology of incretins: GLP-1 and GIP. Gastroenterology 2007, 132, 2131–2157. [Google Scholar] [CrossRef] [PubMed]
- Seino, Y.; Fukushima, M.; Yabe, D. GIP and GLP-1, the two incretin hormones: Similarities and differences. J. Diabetes Investig. 2010, 1, 8–23. [Google Scholar] [CrossRef] [PubMed]
- Chen, S.; Okahara, F.; Osaki, N.; Shimotoyodome, A. Increased GIP signaling induces adipose inflammation via a HIF-1α-dependent pathway and impairs insulin sensitivity in mice. Am. J. Physiol. Endocrinol. Metab. 2014, 308, E414–E425. [Google Scholar] [CrossRef]
- Legeay, S.; Rodier, M.; Fillon, L.; Faure, S.; Clere, N. Epigallocatechin gallate: A review of its beneficial properties to prevent metabolic syndrome. Nutrients 2015, 7, 5443–5468. [Google Scholar] [CrossRef]
- Ferreira, M.; Silva, D.; de Morais, A., Jr.; Mota, J.; Botelho, P. Therapeutic potential of green tea on risk factors for type 2 diabetes in obese adults–a review. Obes. Rev. 2016, 17, 1316–1328. [Google Scholar] [CrossRef]
- Thielecke, F.; Boschmann, M. The potential role of green tea catechins in the prevention of the metabolic syndrome—A review. Phytochemistry 2009, 70, 11–24. [Google Scholar] [CrossRef]
- Tajik, N.; Tajik, M.; Mack, I.; Enck, P. The potential effects of chlorogenic acid, the main phenolic components in coffee, on health: A comprehensive review of the literature. Eur. J. Nutr. 2017, 56, 2215–2244. [Google Scholar] [CrossRef]
- Meng, S.; Cao, J.; Feng, Q.; Peng, J.; Hu, Y. Roles of chlorogenic acid on regulating glucose and lipids metabolism: A review. Evid. Based Complement. Alternat. Med. 2013, 2013, 801457. [Google Scholar] [CrossRef]
- Venables, M.C.; Hulston, C.J.; Cox, H.R.; Jeukendrup, A.E. Green tea extract ingestion, fat oxidation, and glucose tolerance in healthy humans. Am. J. Clin. Nutr. 2008, 87, 778–784. [Google Scholar] [CrossRef] [PubMed]
- Nagao, T.; Meguro, S.; Hase, T.; Otsuka, K.; Komikado, M.; Tokimitsu, I.; Yamamoto, T.; Yamamoto, K. A catechin-rich beverage improves obesity and blood glucose control in patients with type 2 diabetes. Obesity 2009, 17, 310–317. [Google Scholar] [CrossRef] [PubMed]
- Zuniga, L.Y.; Aceves-de la Mora, M.C.A.; Gonzalez-Ortiz, M.; Ramos-Nunez, J.L.; Martinez-Abundis, E. Effect of chlorogenic acid administration on glycemic control, insulin secretion, and insulin sensitivity in patients with impaired glucose tolerance. J. Med. Food 2018, 21, 469–473. [Google Scholar] [CrossRef] [PubMed]
- Iwai, K.; Narita, Y.; Fukunaga, T.; Nakagiri, O.; Kamiya, T.; Ikeguchi, M.; Kikuchi, Y. Study on the Postprandial Glucose Responses to a Chlorogenic Acid-Rich Extract of Decaffeinated Green Coffee Beans in Rats and Healthy Human Subjects. Food Sci. Technol. Res. 2012, 18, 849–860. [Google Scholar] [CrossRef]
- Jokura, H.; Watanabe, I.; Umeda, M.; Hase, T.; Shimotoyodome, A. Coffee polyphenol consumption improves postprandial hyperglycemia associated with impaired vascular endothelial function in healthy male adults. Nutr. Res. 2015, 35, 873–881. [Google Scholar] [CrossRef]
- Nauck, M.A.; Meier, J.J. Incretin hormones: Their role in health and disease. Diabetes Obes. Metab. 2018, 20 (Suppl. S1), 5–21. [Google Scholar] [CrossRef]
- Abdulla, H.; Phillips, B.; Smith, K.; Wilkinson, D.; Atherton, P.J.; Idris, I. Physiological mechanisms of action of incretin and insulin in regulating skeletal muscle metabolism. Curr. Diabetes Rev. 2014, 10, 327–335. [Google Scholar] [CrossRef]
- Yanagimoto, A.; Matsui, Y.; Yamaguchi, T.; Hibi, M.; Kobayashi, S.; Osaki, N. Effects of Ingesting Both Catechins and Chlorogenic Acids on Glucose, Incretin, and Insulin Sensitivity in Healthy Men: A Randomized, Double-Blinded, Placebo-Controlled Crossover Trial. Nutrients 2022, 14, 5063. [Google Scholar] [CrossRef]
- Kozuma, K.; Mizuno, T.; Hibi, M. Effect of tea catechins in Japanese adult on visceral fat—A meta-analysis using individual participant data from seven randomized controlled trials. Jpn. Pharmacol. Ther. 2018, 46, 973–981. [Google Scholar]
- Kozuma, K.; Watanabe, T.; Hibi, M. Effect of Coffee Chlorogenic Acid in Grade I Hypertension and High-normal blood pressure Japanese adults on blood pressure—A meta-analysis using individual participant data from randomized controlled trials—. Jpn. Pharmacol. Ther. 2018, 46, 1157–1166. [Google Scholar]
- Johnston, K.L.; Clifford, M.N.; Morgan, L.M. Coffee acutely modifies gastrointestinal hormone secretion and glucose tolerance in humans: Glycemic effects of chlorogenic acid and caffeine. Am. J. Clin. Nutr. 2003, 78, 728–733. [Google Scholar] [CrossRef] [PubMed]
- Fujii, Y.; Osaki, N.; Hase, T.; Shimotoyodome, A. Ingestion of coffee polyphenols increases postprandial release of the active glucagon-like peptide-1 (GLP-1(7-36)) amide in C57BL/6J mice. J. Nutr. Sci. 2015, 4, e9. [Google Scholar] [CrossRef] [PubMed]
- Buchholz, T.; Melzig, M.F. Polyphenolic Compounds as Pancreatic Lipase Inhibitors. Planta Med. 2015, 81, 771–783. [Google Scholar] [CrossRef] [PubMed]
- Kobayashi, M.; Ichitani, M.; Suzuki, Y.; Unno, T.; Sugawara, T.; Yamahira, T.; Kato, M.; Takihara, T.; Sagesaka, Y.; Kakuda, T.; et al. Black-tea polyphenols suppress postprandial hypertriacylglycerolemia by suppressing lymphatic transport of dietary fat in rats. J. Agric. Food Chem. 2009, 57, 7131–7136. [Google Scholar] [CrossRef]
- Toyoda-Ono, Y.; Yoshimura, M.; Nakai, M.; Fukui, Y.; Asami, S.; Shibata, H.; Kiso, Y.; Ikeda, I. Suppression of postprandial hypertriglyceridemia in rats and mice by oolong tea polymerized polyphenols. Biosci. Biotechnol. Biochem. 2007, 71, 971–976. [Google Scholar] [CrossRef]
- Kalita, D.; Holm, D.G.; LaBarbera, D.V.; Petrash, J.M.; Jayanty, S.S. Inhibition of alpha-glucosidase, alpha-amylase, and aldose reductase by potato polyphenolic compounds. PLoS ONE 2018, 13, e0191025. [Google Scholar] [CrossRef]
- Mikada, A.; Narita, T.; Yokoyama, H.; Yamashita, R.; Horikawa, Y.; Tsukiyama, K.; Yamada, Y. Effects of miglitol, sitagliptin, and initial combination therapy with both on plasma incretin responses to a mixed meal and visceral fat in over-weight Japanese patients with type 2 diabetes. “the MASTER randomized, controlled trial”. Diabetes Res. Clin. Pract. 2014, 106, 538–547. [Google Scholar] [CrossRef] [PubMed]
- Damci, T.; Yalin, S.; Balci, H.; Osar, Z.; Korugan, U.; Ozyazar, M.; Ilkova, H. Orlistat augments postprandial increases in glucagon-like peptide 1 in obese type 2 diabetic patients. Diabetes Care 2004, 27, 1077–1080. [Google Scholar] [CrossRef]
- Enc, F.Y.; Ones, T.; Akin, H.L.; Dede, F.; Turoglu, H.T.; Ulfer, G.; Bekiroglu, N.; Haklar, G.; Rehfeld, J.F.; Holst, J.J.; et al. Orlistat accelerates gastric emptying and attenuates GIP release in healthy subjects. Am. J. Physiol. Gastrointest. Liver Physiol. 2009, 296, G482–G489. [Google Scholar] [CrossRef]
- Reimann, F.; Habib, A.M.; Tolhurst, G.; Parker, H.E.; Rogers, G.J.; Gribble, F.M. Glucose sensing in L cells: A primary cell study. Cell Metab. 2008, 8, 532–539. [Google Scholar] [CrossRef]
- Rocca, A.S.; Brubaker, P.L. Stereospecific effects of fatty acids on proglucagon-derived peptide secretion in fetal rat intestinal cultures. Endocrinology 1995, 136, 5593–5599. [Google Scholar] [CrossRef] [PubMed]
- Lauffer, L.; Iakoubov, R.; Brubaker, P.L. GPR119: “double-dipping” for better glycemic control. Endocrinology 2008, 149, 2035–2037. [Google Scholar] [CrossRef] [PubMed]
- Narita, T.; Katsuura, Y.; Sato, T.; Hosoba, M.; Fujita, H.; Morii, T.; Yamada, Y. Miglitol induces prolonged and enhanced glucagon-like peptide-1 and reduced gastric inhibitory polypeptide responses after ingestion of a mixed meal in Japanese Type 2 diabetic patients. Diabet. Med. 2009, 26, 187–188. [Google Scholar] [CrossRef] [PubMed]
- Johnston, K.L.; Michael, N.C.; Linda, M.M. Possible role for apple juice phenolic compounds in the acute modification of glucose tolerance and gastrointestinal hormone secretion in humans. J. Sci. Food Agric. 2002, 82, 1800–1805. [Google Scholar] [CrossRef]
- Montelius, C.; Erlandsson, D.; Vitija, E.; Stenblom, E.L.; Egecioglu, E.; Erlanson-Albertsson, C. Body weight loss, reduced urge for palatable food and increased release of GLP-1 through daily supplementation with green-plant membranes for three months in overweight women. Appetite 2014, 81, 295–304. [Google Scholar] [CrossRef]
- da Silva, L.A.; Wouk, J.; Weber, V.M.R.; da Luz Eltchechem, C.; de Almeida, P.; Martins, J.C.L.; Malfatti, C.R.M.; Osiecki, R. Mechanisms and biological effects of Caffeine on substrate metabolism homeostasis: A systematic review. J. Appl. Pharm. Sci. 2017, 7, 215–221. [Google Scholar] [CrossRef]
- Graham, T.E.; Sathasivam, P.; Rowland, M.; Marko, N.; Greer, F.; Battram, D. Caffeine ingestion elevates plasma insulin response in humans during an oral glucose tolerance test. Can. J. Physiol. Pharmacol. 2001, 79, 559–565. [Google Scholar] [CrossRef]
- Thong, F.S.; Graham, T.E. Caffeine-induced impairment of glucose tolerance is abolished by β-adrenergic receptor blockade in humans. J. Appl. Physiol. 2002, 92, 2347–2352. [Google Scholar] [CrossRef]
- Robinson, L.E.; Savani, S.; Battram, D.S.; McLaren, D.H.; Sathasivam, P.; Graham, T.E. Caffeine ingestion before an oral glucose tolerance test impairs blood glucose management in men with type 2 diabetes. J. Nutr. 2004, 134, 2528–2533. [Google Scholar] [CrossRef]


| Study 1 | Study 2 | |||||
|---|---|---|---|---|---|---|
| Placebo | Dose A | Dose B | Placebo | Dose C | Dose D | |
| Catechin (mg) | 0 | 14 | 27 | 0 | 30 | 30 |
| Epicatechin (mg) | 0 | 15 | 30 | 0 | 32 | 32 |
| Gallocatechin (mg) | 0 | 60 | 119 | 0 | 119 | 119 |
| Epigallocatechin (mg) | 0 | 54 | 108 | 0 | 103 | 103 |
| Catechin gallate (mg) | 0 | 11 | 23 | 0 | 23 | 23 |
| Epicatechin gallate (mg) | 0 | 17 | 33 | 0 | 37 | 37 |
| Gallocatechin gallate (mg) | 0 | 49 | 99 | 0 | 93 | 93 |
| Epigallocatechin gallate (mg) | 0 | 50 | 101 | 0 | 105 | 105 |
| Total catechins (mg) | 0 | 270 | 540 | 0 | 540 | 540 |
| 3-caffeoylquinic acid (mg) | 0 | 82 | 83 | 0 | 46 | 92 |
| 4-caffeoylquinic acid (mg) | 0 | 62 | 62 | 0 | 34 | 68 |
| 5-caffeoylquinic acid (mg) | 0 | 73 | 74 | 0 | 41 | 82 |
| 3-feruloylquinic acid (mg) | 0 | 19 | 19 | 0 | 11 | 23 |
| 4-feruloylquinic acid (mg) | 0 | 15 | 15 | 0 | 16 | 16 |
| 5-feruloylquinic acid (mg) | 0 | 18 | 17 | 0 | 10 | 19 |
| Total chlorogenic acids (mg) | 0 | 270 | 270 | 0 | 150 | 300 |
| Caffeine (mg) | 112 | 113 | 113 | 99 | 99 | 99 |
| Study 1 | Study 2 | ||||
|---|---|---|---|---|---|
| Mean ± SD | Range | Mean ± SD | Range | ||
| Age | (y) | 41 ± 9 | 30–59 | 47 ± 11 | 33–63 |
| Weight | (kg) | 68.5 ± 1.7 | 55.8–88.8 | 69.0 ± 10.1 | 49.8–91.0 |
| BMI | (kg/m2) | 22.6 ± 1.8 | 19.5–26.5 | 23.2 ± 2.9 | 18.5–27.4 |
| Body Fat | (%) | 19.5 ± 3.5 | 14.1–26.2 | 21.6 ± 5.1 | 13.1–31.0 |
| HbA1c | (%) | 5.3 ± 0.2 | 4.8–5.6 | 5.4 ± 0.3 | 4.9–5.9 |
| FBG | (mg/dL) | 86 ± 5 | 79–98 | 103 ± 7 | 95–115 |
| Insulin | (µU/mL) | 5.0 ± 1.7 | 2.8–7.9 | 3.7 ± 1.4 | 1.6–6.4 |
| Placebo | Dose A vs. Placebo | Dose B vs. Placebo | p Value (3 Group) | ||
|---|---|---|---|---|---|
| Glucose | tAUC mg/dL for 4 h | 370 ± 7 | 363 ± 5 | 350 ± 6 * | 0.058 |
| Insulin | tAUC µU/mL for 4 h | 83.1 ± 6.4 | 79.5 ± 5.8 | 76.3 ± 5.3 | 0.152 |
| GLP-1 | iAUC pmol/L for 4 h | 17.7 ± 2.8 | 23.0 ± 2.5 | 26.6 ± 3.2 * | 0.065 |
| GIP | iAUC pg/mL for 4 h | 2243.7 ± 107.3 | 1659.1 ± 82.7 *** | 1518.8 ± 92.6 *** | <0.001 *** |
| PLA | Dose C vs. Placebo | Dose D vs. Placebo | p Value (3 Group) | ||
|---|---|---|---|---|---|
| Glucose | tAUC mg/dL for 4 h | 535 ± 19 | 490 ± 15 ** | 497 ± 18 ** | 0.001 ** |
| Insulin | tAUC µU/mL for 4 h | 94.5 ± 9.5 | 78.8 ± 5.8 | 77.4 ± 7.5 * | 0.048 * |
| GLP-1 | iAUC pmol/L for 4 h | 21.3 ± 2.1 | 26.1 ± 2.7 * | 26.8 ± 2.8 * | 0.011 * |
| GIP | iAUC pg/mL for 4 h | 1970.2 ± 115.4 | 1818.2 ± 94.0 | 1800.3 ± 103.1 ** | 0.004 ** |
Disclaimer/Publisher’s Note: The statements, opinions and data contained in all publications are solely those of the individual author(s) and contributor(s) and not of MDPI and/or the editor(s). MDPI and/or the editor(s) disclaim responsibility for any injury to people or property resulting from any ideas, methods, instructions or products referred to in the content. |
© 2023 by the authors. Licensee MDPI, Basel, Switzerland. This article is an open access article distributed under the terms and conditions of the Creative Commons Attribution (CC BY) license (https://creativecommons.org/licenses/by/4.0/).
Share and Cite
Yanagimoto, A.; Matsui, Y.; Yamaguchi, T.; Saito, S.; Hanada, R.; Hibi, M. Acute Dose–Response Effectiveness of Combined Catechins and Chlorogenic Acids on Postprandial Glycemic Responses in Healthy Men: Results from Two Randomized Studies. Nutrients 2023, 15, 777. https://doi.org/10.3390/nu15030777
Yanagimoto A, Matsui Y, Yamaguchi T, Saito S, Hanada R, Hibi M. Acute Dose–Response Effectiveness of Combined Catechins and Chlorogenic Acids on Postprandial Glycemic Responses in Healthy Men: Results from Two Randomized Studies. Nutrients. 2023; 15(3):777. https://doi.org/10.3390/nu15030777
Chicago/Turabian StyleYanagimoto, Aya, Yuji Matsui, Tohru Yamaguchi, Shinichiro Saito, Ryuzo Hanada, and Masanobu Hibi. 2023. "Acute Dose–Response Effectiveness of Combined Catechins and Chlorogenic Acids on Postprandial Glycemic Responses in Healthy Men: Results from Two Randomized Studies" Nutrients 15, no. 3: 777. https://doi.org/10.3390/nu15030777
APA StyleYanagimoto, A., Matsui, Y., Yamaguchi, T., Saito, S., Hanada, R., & Hibi, M. (2023). Acute Dose–Response Effectiveness of Combined Catechins and Chlorogenic Acids on Postprandial Glycemic Responses in Healthy Men: Results from Two Randomized Studies. Nutrients, 15(3), 777. https://doi.org/10.3390/nu15030777

