Extract from Sea Buckthorn Seeds—A Phytochemical, Antioxidant, and Hemostasis Study; Effect of Thermal Processing on Its Chemical Content and Biological Activity In Vitro
Abstract
1. Introduction
2. Materials and Methods
2.1. Chemicals
2.2. Plant Material
2.3. Preparation of Sea Buckthorn Seed Extracts and Fruit Extracts (Phenolic and Non-Polar Extract)
2.3.1. The Extract from Sea Buckthorn Seeds
2.3.2. The Extract from Roasted Sea Buckthorn Seeds
2.3.3. The Extracts from Sea Buckthorn Fruits
2.4. UHPLC-MS Analyses of Extracts from Sea Buckthorn Seeds
2.5. Phytochemical Characteristic of Sea Buckthorn Fruit Extracts (Phenolic and Non-Polar Extracts)
2.6. Preparation of Stock Plant Extracts
2.7. Blood Samples
2.8. Oxidative Stress Assays
2.8.1. Lipid Peroxidation Measurement
2.8.2. Thiol Group Oxidation Measurement
2.8.3. Protein Carbonylation Measurement
2.8.4. Measurement of Prothrombin Time
2.8.5. Thrombin Time
2.8.6. Activated Partial Thromboplastin Time
2.8.7. Total Thrombus-Formation Analysis System (T-TAS) (AR-Chip)
2.9. Statistical Analysis
3. Results
3.1. Phytochemical Analysis of the Extracts
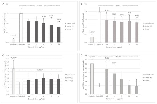
3.2. Oxidative Stress Assays
3.3. Measurement of Coagulation Times (PT, TT, and APTT)
3.4. Measurement of White Thrombus Formation with T-TAS (AR-Chip)
3.5. Comparison between Antioxidant Activity of Regular Seed Extract and Phenolic and Non-Polar Extracts from Sea Buckthorn Fruits
4. Discussion
5. Conclusions
Author Contributions
Funding
Institutional Review Board Statement
Informed Consent Statement
Data Availability Statement
Conflicts of Interest
Abbreviations
References
- Suryakumar, G.; Gupta, A. Medicinal and Therapeutic Potential of Sea Buckthorn (Hippophae rhamnoides L.). J. Ethnopharmacol. 2011, 138, 268–278. [Google Scholar] [CrossRef] [PubMed]
- Olas, B. Sea Buckthorn as a Source of Important Bioactive Compounds in Cardiovascular Diseases. Food Chem. Toxicol. 2016, 97, 199–204. [Google Scholar] [CrossRef] [PubMed]
- Olas, B.; Skalski, B.; Ulanowska, K. The Anticancer Activity of Sea Buckthorn [Elaeagnus rhamnoides (L.) A. Nelson]. Front. Pharmacol. 2018, 9, 232. [Google Scholar] [CrossRef] [PubMed]
- Olas, B. The Beneficial Health Aspects of Sea Buckthorn (Elaeagnus rhamnoides (L.) A.Nelson) Oil. J. Ethnopharmacol. 2018, 213, 183–190. [Google Scholar] [CrossRef] [PubMed]
- Pundir, S.; Garg, P.; Dviwedi, A.; Ali, A.; Kapoor, V.K.; Kapoor, D.; Kulshrestha, S.; Lal, U.R.; Negi, P. Ethnomedicinal Uses, Phytochemistry and Dermatological Effects of Hippophae rhamnoides L.: A Review. J. Ethnopharmacol. 2021, 266, 113434. [Google Scholar] [CrossRef]
- Zhang, J.; Wang, C.; Wang, C.; Sun, B.; Qi, C. Understanding the Role of Extracts from Sea Buckthorn Seed Residues in Anti-Melanogenesis Properties on B16F10 Melanoma Cells. Food Funct. 2018, 9, 5402–5416. [Google Scholar] [CrossRef]
- Fan, J.; Zhang, J.; Song, H.; Zhu, W.; Liu, Y. Antioxidant Activity and Phenolic Components of Sea Buckthorn (Hippophae rhamnoides) Seed Extracts. In Proceedings of the IEEE 2013 International Conference on Advanced Mechatronic Systems, Luoyang, China, 25–27 September 2013; pp. 96–101. [Google Scholar]
- Cenkowski, S.; Yakimishen, R.; Przybylski, R.; Muir, W.E. Quality of Extracted Sea Buckthorn Seed and Pulp Oil. Can. Biosyst. Eng. 2006, 48, 9–16. [Google Scholar]
- Arimboor, R.; Kumar, K.S.; Arumughan, C. Simultaneous Estimation of Phenolic Acids in Sea Buckthorn (Hippophaë rhamnoides) Using RP-HPLC with DAD. J. Pharm. Biomed. Anal. 2008, 47, 31–38. [Google Scholar] [CrossRef]
- Zhao, L.; Wen, E.; Upur, H.; Tian, S. High Performance Liquid Chromatography-Diode Array Detector Method for the Simultaneous Determination of Five Compounds in the Pulp and Seed of Sea Buckthorn. Pharmacogn. Mag. 2017, 13, 136. [Google Scholar] [CrossRef]
- Wang, Y.; Zhao, L.; Huo, Y.; Zhou, F.; Wu, W.; Lu, F.; Yang, X.; Guo, X.; Chen, P.; Deng, Q.; et al. Protective Effect of Proanthocyanidins from Sea Buckthorn (Hippophae rhamnoides L.) Seed against Visible Light-Induced Retinal Degeneration in Vivo. Nutrients 2016, 8, 245. [Google Scholar] [CrossRef]
- Sharma, U.K.; Sharma, K.; Sharma, N.; Sharma, A.; Singh, H.P.; Sinha, A.K. Microwave-Assisted Efficient Extraction of Different Parts of Hippophae rhamnoides for the Comparative Evaluation of Antioxidant Activity and Quantification of Its Phenolic Constituents by Reverse-Phase High-Performance Liquid Chromatography (RP-HPLC). J. Agric. Food Chem. 2008, 56, 374–379. [Google Scholar] [CrossRef] [PubMed]
- Vashishtha, V.; Barhwal, K.; Kumar, A.; Hota, S.K.; Chaurasia, O.P.; Kumar, B. Effect of Seabuckthorn Seed Oil in Reducing Cardiovascular Risk Factors: A Longitudinal Controlled Trial on Hypertensive Subjects. Clin. Nutr. 2017, 36, 1231–1238. [Google Scholar] [CrossRef] [PubMed]
- Olas, B.; Żuchowski, J.; Lis, B.; Skalski, B.; Kontek, B.; Grabarczyk, Ł.; Stochmal, A. Comparative Chemical Composition, Antioxidant and Anticoagulant Properties of Phenolic Fraction (a Rich in Non-Acylated and Acylated Flavonoids and Non-Polar Compounds) and Non-Polar Fraction from Elaeagnus rhamnoides (L.) A. Nelson Fruits. Food Chem. 2018, 247, 39–45. [Google Scholar] [CrossRef] [PubMed]
- Żuchowski, J.; Pecio, Ł.; Marciniak, B.; Kontek, R.; Stochmal, A. Unusual Isovalerylated Flavonoids from the Fruit of Sea Buckthorn (Elaeagnus rhamnoides) Grown in Sokółka, Poland. Phytochemistry 2019, 163, 178–186. [Google Scholar] [CrossRef] [PubMed]
- Bartosz, G. Druga Twarz Tlenu; Wydawnictwo Naukowe PWN: Warsaw, Poland, 2018; Volume 1.7. [Google Scholar]
- Levine, R.L.; Garland, D.; Oliver, C.N.; Amici, A.; Climent, I.; Lenz, A.G.; Ahn, B.W.; Shaltiel, S.; Stadtman, E.R. Determination of Carbonyl Content in Oxidatively Modified Proteins. Methods Enzymol. 1990, 186, 464–478. [Google Scholar] [CrossRef] [PubMed]
- Malinowska, J.; Kołodziejczyk-Czepas, J.; Moniuszko-Szajwaj, B.; Kowalska, I.; Oleszek, W.; Stochmal, A.; Olas, B. Phenolic Fractions from Trifolium Pallidum and Trifolium Scabrum Aerial Parts in Human Plasma Protect against Changes Induced by Hyperhomocysteinemia in Vitro. Food Chem. Toxicol. 2012, 50, 4023–4027. [Google Scholar] [CrossRef]
- Hosokawa, K.; Ohnishi, T.; Kondo, T.; Fukasawa, M.; Koide, T.; Maruyama, I.; Tanaka, K.A. A Novel Automated Microchip Flow-Chamber System to Quantitatively Evaluate Thrombus Formation and Antithrombotic Agents under Blood Flow Conditions. J. Thromb. Haemost. 2011, 9, 2029–2037. [Google Scholar] [CrossRef]
- Arimboor, R.; Arumughan, C. HPLC-DAD-MS/MS Profiling of Antioxidant Flavonoid Glycosides in Sea Buckthorn (Hippophae Rhamnoides L.) Seeds. Int. J. Food Sci. Nutr. 2012, 63, 730–738. [Google Scholar] [CrossRef]
- Tkacz, K.; Wojdyło, A.; Turkiewicz, I.P.; Nowicka, P. Triterpenoids, Phenolic Compounds, Macro- and Microelements in Anatomical Parts of Sea Buckthorn (Hippophaë rhamnoides L.) Berries, Branches and Leaves. J. Food Compos. Anal. 2021, 103, 104107. [Google Scholar] [CrossRef]
- Li, R.; Wang, Q.; Zhao, M.; Yang, P.; Hu, X.; Ouyang, D. Flavonoid Glycosides from Seeds of Hippophae rhamnoides Subsp. Sinensis with α-Glucosidase Inhibition Activity. Fitoterapia 2019, 137, 104248. [Google Scholar] [CrossRef]
- Gao, W.; Chen, C.; Kong, D.Y. Hippophins C-F, Four New Flavonoids, Acylated with One Monoterpenic Acid from the Seed Residue of Hippophae rhamnoides Subsp. Sinensis. J. Asian Nat. Prod. Res. 2013, 15, 507–514. [Google Scholar] [CrossRef] [PubMed]
- Fang, R.; Veitch, N.C.; Kite, G.C.; Porter, E.A.; Simmonds, M.S.J. Enhanced Profiling of Flavonol Glycosides in the Fruits of Sea Buckthorn (Hippophae rhamnoides). J. Agric. Food Chem. 2013, 61, 3868–3875. [Google Scholar] [CrossRef] [PubMed]
- Skalski, B.; Kontek, B.; Olas, B.; Zuchowski, J.; Stochmal, A. Phenolic Fraction and Nonpolar Fraction from Sea Buckthorn Leaves and Twigs: Chemical Profile and Biological Activity. Future Med. Chem. 2018, 10, 2381–2394. [Google Scholar] [CrossRef] [PubMed]
- Chen, C.; Gao, W.; Cheng, L.; Shao, Y.; Kong, D.Y. Four New Triterpenoid Glycosides from the Seed Residue of Hippophae rhamnoides Subsp. Sinensis. J. Asian Nat. Prod. Res. 2014, 16, 231–239. [Google Scholar] [CrossRef] [PubMed]
- Gao, W.; Chen, C.; Zhang, J.; Cheng, L.; Kong, D.Y. Two New Triterpene Saponins from the Seed Residue of Hippophae rhamnoides L. Helv. Chim. Acta 2015, 98, 60–66. [Google Scholar] [CrossRef]
- Chand, N.; Naz, S.; Irfan, M.; Khan, R.U.; Rehman, Z.U. Effect of Sea Buckthorn (Hippophae rhamnoides L.) Seed Supplementation on Egg Quality and Cholesterol of Rhode Island Laying Hens. Korean J. Food Sci. Anim. Resour. 2018, 38, 468. [Google Scholar] [CrossRef]
- Krejcarová, J.; Straková, E.; Suchý, P.; Herzig, I.; Karásková, K. Sea Buckthorn (Hippophae rhamnoides L.) as a Potential Source of Nutraceutics and Its Therapeutic Possibilities–A Review. Acta Vet. Brno. 2015, 84, 257–268. [Google Scholar] [CrossRef]
- Cheng, J.; Kondo, K.; Suzuki, Y.; Ikeda, Y.; Meng, X.; Umemura, K. Inhibitory Effects of Total Flavones of Hippophae rhamnoides L on Thrombosis in Mouse Femoral Artery and in Vitro Platelet Aggregation. Life Sci. 2003, 72, 2263–2271. [Google Scholar] [CrossRef]
- Munekata, P.E.S.; Domínguez, R.; Pateiro, M.; Lorenzo, J.M. Influence of Plasma Treatment on the Polyphenols of Food Products—A Review. Foods 2020, 9, 929. [Google Scholar] [CrossRef]
- Agbaria, R.; Gabarin, A.; Dahan, A.; Ben-Shabat, S. Anticancer Activity of Nigella sativa (Black Seed) and Its Relationship with the Thermal Processing and Quinone Composition of the Seed. Drug Des. Devel. Ther. 2015, 9, 3119. [Google Scholar] [CrossRef]
- Ursache, F.M.; Ghinea, I.O.; Turturică, M.; Aprodu, I.; Râpeanu, G.; Stănciuc, N. Phytochemicals Content and Antioxidant Properties of Sea Buckthorn (Hippophae rhamnoides L.) as Affected by Heat Treatment–Quantitative Spectroscopic and Kinetic Approaches. Food Chem. 2017, 233, 442–449. [Google Scholar] [CrossRef] [PubMed]





| tR | m/z # | Tentative Identification | Extract from Sea Buckthorn Seeds (mg g−1) | Extract from Sea Buckthorn Roasted Seeds (mg g−1) |
|---|---|---|---|---|
| 4.02 | 771 | Q-3-O-Hex-Hex-7-O-dHex | 2.9 ± 0.01 * | 2.3 ± 0.13 * |
| 4.10 | 771 | Q-3-O-Hex-Hex-7-O-dHex | 13.5 ± 0.02 * | 11.8 ± 0.22 * |
| 4.30 | 755 | K-3-O-Hex-Hex-7-O-dHex | 4.0 ± 0.02 * | 2.7 ± 0.07 * |
| 4.40 | 755 | K-3-O-Hex-Hex-7-O-dHex | 25.9 ± 0.17 * | 20.7 ± 0.36 * |
| 4.63 | 785 | I-3-O-Hex-Hex-7-O-dHex | 5.3 ± 0.06 * | 6.5 ± 0.15 * |
| 4.66 | 785 | I-3-O-Hex-Hex-7-O-dHex | 18.6 ± 0.26 * | 18.1 ± 0.28 * |
| 4.97 | 755 | Q-3-O-Hex-dHex-7-O-dHex | 4.8 ± 0.05 * | 3.1 ± 0.04 * |
| 5.43 | 739 | K-3-O-Hex-dHex-7-O-dHex | 2.7 ± 0.09 * | 1.9 ± 0.04 * |
| 5.55 | 623 | I-3-O-Hex-7-O-dHex | 3.9 ± 0.08 * | 2.9 ± 0.06 * |
| 5.71 | 623 | I-3-O-Hex-7-O-dHex | 16.6 ± 0.21 * | 10.7 ± 0.19 * |
| 5.80 | 961 | K-Hex-Hex-dHex-Sin | 4.4 ± 0.08 * | 3.1 ± 0.38 * |
| 5.88 | 991 | I-Hex-Hex-dHex-Sin | 5.8 ± 0.08 * | 4.7 ± 0.08 * |
| 6.01 | 961 | I-Hex-Hex-Fer-dHex-Fer | 2.0 ± 0.03 * | 1.3 ± 0.03 * |
| 6.40 | 623 | I-3-O-Rut | 5.4 ± 0.06 | 1.6 ± 0.02 |
| 8.58 | 937 | quercetin acylated derivative | 4.3 ± 0.08 * | 1.7 ± 0.02 * |
| 8.91 | 921 | isorhamnetin acylated derivative | 2.7 ± 0.02 * | 1.1 ± 0.05 * |
| 9.03 | 951 | isorhamnetin acylated derivative | 4.3 ± 0.06 * | 2.1 ± 0.07 * |
| other | 30.1 ± 0.39 * | 17.2 ± 0.18 * | ||
| Total | 157.2 ± 1.44 * | 113.5 ± 2.28 * |
Disclaimer/Publisher’s Note: The statements, opinions and data contained in all publications are solely those of the individual author(s) and contributor(s) and not of MDPI and/or the editor(s). MDPI and/or the editor(s) disclaim responsibility for any injury to people or property resulting from any ideas, methods, instructions or products referred to in the content. |
© 2023 by the authors. Licensee MDPI, Basel, Switzerland. This article is an open access article distributed under the terms and conditions of the Creative Commons Attribution (CC BY) license (https://creativecommons.org/licenses/by/4.0/).
Share and Cite
Sławińska, N.; Żuchowski, J.; Stochmal, A.; Olas, B. Extract from Sea Buckthorn Seeds—A Phytochemical, Antioxidant, and Hemostasis Study; Effect of Thermal Processing on Its Chemical Content and Biological Activity In Vitro. Nutrients 2023, 15, 686. https://doi.org/10.3390/nu15030686
Sławińska N, Żuchowski J, Stochmal A, Olas B. Extract from Sea Buckthorn Seeds—A Phytochemical, Antioxidant, and Hemostasis Study; Effect of Thermal Processing on Its Chemical Content and Biological Activity In Vitro. Nutrients. 2023; 15(3):686. https://doi.org/10.3390/nu15030686
Chicago/Turabian StyleSławińska, Natalia, Jerzy Żuchowski, Anna Stochmal, and Beata Olas. 2023. "Extract from Sea Buckthorn Seeds—A Phytochemical, Antioxidant, and Hemostasis Study; Effect of Thermal Processing on Its Chemical Content and Biological Activity In Vitro" Nutrients 15, no. 3: 686. https://doi.org/10.3390/nu15030686
APA StyleSławińska, N., Żuchowski, J., Stochmal, A., & Olas, B. (2023). Extract from Sea Buckthorn Seeds—A Phytochemical, Antioxidant, and Hemostasis Study; Effect of Thermal Processing on Its Chemical Content and Biological Activity In Vitro. Nutrients, 15(3), 686. https://doi.org/10.3390/nu15030686

