Consuming High-Fat and Low-Fat Ground Beef Depresses High-Density and Low-Density Lipoprotein Cholesterol Concentrations, and Reduces Small, Dense Low-Density Lipoprotein Particle Abundance
Abstract
1. Introduction
2. Materials and Methods
2.1. Ethics Statements and Participant Recruitment
2.2. Inclusion Criteria
2.3. Study Design
2.4. Source of Ground Beef
2.5. Diet Records
2.6. Body Composition
2.7. General Blood Sampling and Analyses
2.8. Lipoprotein Density Profiles
2.9. Statistics
3. Results
3.1. Ground Beef Composition and Participant Nutrient Intake
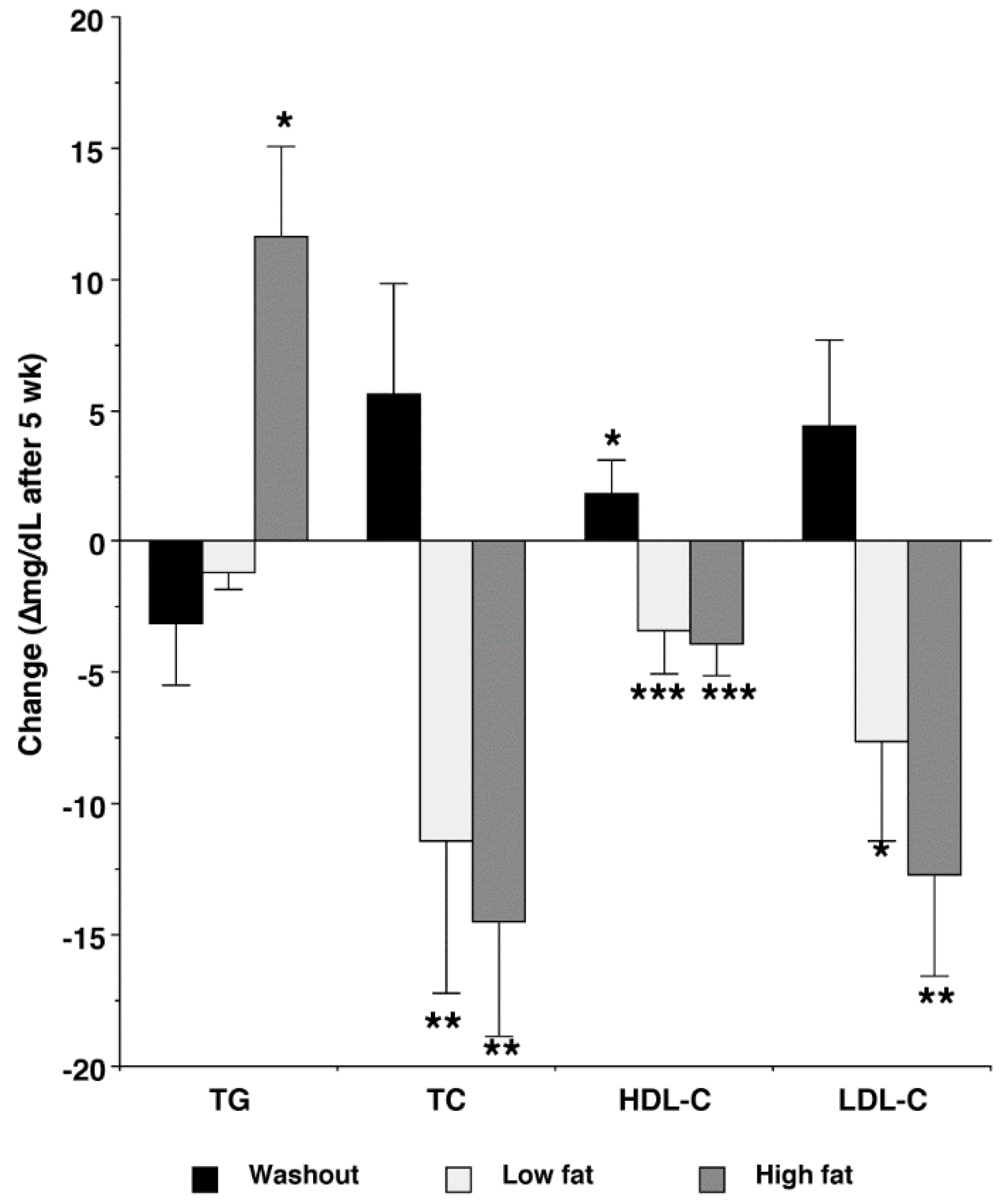
3.2. Plasma Lipid Concentrations
3.3. Lipoprotein Density Distributions
3.4. Pearson Correlation Coefficients
4. Discussion
4.1. Energy and Macronutrient Intake and Composition of Patties
4.2. High-Density Lipoprotein Cholesterol Concentrations
4.3. Low-Density Lipoprotein Cholesterol Abundance
4.4. Lipoprotein Area under the Curve
4.5. Nutrient Intake and Lipoprotein Cholesterol
4.6. Limitations
5. Conclusions
Author Contributions
Funding
Institutional Review Board Statement
Informed Consent Statement
Data Availability Statement
Conflicts of Interest
Abbreviations
References
- Adams, T.H.; Walzem, R.L.; Smith, D.R.; Tseng, S.; Smith, S.B. Hamburger high in total, saturated and trans-fatty acids decreases HDL cholesterol and LDL particle diameter, and increases TAG, in mildly hypercholesterolaemic men. Br. J. Nutr. 2010, 103, 91–98. [Google Scholar] [CrossRef]
- Gilmore, L.A.; Walzem, R.L.; Crouse, S.F.; Smith, D.R.; Adams, T.H.; Vaidyanathan, V.; Cao, X.; Smith, S.B. Consumption of high-oleic acid ground beef increases HDL-cholesterol concentration but both high- and low-oleic acid ground beef decrease HDL particle diameter in normocholesterolemic men. J. Nutr. 2011, 141, 1188–1194. [Google Scholar] [CrossRef]
- Gilmore, L.A.; Crouse, S.F.; Carbuhn, A.; Klooster, J.; Calles, J.A.E.; Meade, T.; Smith, S.B. Exercise attenuates the increase in plasma monounsaturated fatty acids and high-density lipoprotein cholesterol but not high-density lipoprotein 2b cholesterol caused by high-oleic ground beef in women. Nutr. Res. 2013, 33, 1003–1011. [Google Scholar] [CrossRef]
- Choi, S.H.; Gharahmany, G.; Walzem, R.L.; Meade, T.H.; Smith, S.B. Ground beef high in total fat and saturated fatty acids decreases X Receptor Signaling Targets in peripheral blood mononuclear cells of men and women. Lipids 2018, 53, 279–290. [Google Scholar] [CrossRef] [PubMed]
- Smith, S.B.; Lunt, D.K.; Smith, D.R.; Walzem, R.L. Producing high-oleic acid beef and the impact of ground beef consumption on risk Factors for cardiovascular disease: A review. Meat Sci. 2020, 163, 108076. [Google Scholar] [CrossRef] [PubMed]
- Stender, S.; Astrup, A.; Dyerberg, J. Ruminant and industrially produced trans fatty acids: Health aspects. Food Nutr. Res. 2008, 52, 1651. [Google Scholar] [CrossRef] [PubMed]
- Wu, X.; Roussell, M.A.; Hill, A.M.; Kris-Etherton, P.M.; Walzem, R.L. Baseline insulin resistance is a determinant of the small, dense low-density lipoprotein response to diets differing in saturated fat, protein, and carbohydrate contents. Nutrients 2021, 13, 4328. [Google Scholar] [CrossRef]
- World Medical Association. Declaration of Helsinki: Ethical principles for medical research involving human subjects. JAMA 2000, 284, 3043–3045. [Google Scholar] [CrossRef]
- Clevidence, B.A.; Fong, A.K.H.; Todd, K.; Brinkley, L.J.; Heiser, C.R.; Swain, J.F.; Rasmussen, H.; Tsay, R.; Oexmann, M.J.; Salbe, A.D.; et al. Planning diet studies. In Well-Controlled Diet Studies in Humans; Dennis, B.H., Ershow, A.G., Obarzanek, E., Clevidence, B.A., Eds.; The American Dietetic Association: Chicago, IL, USA, 1997; pp. 144–145. [Google Scholar]
- Blackmon, T.; Miller, R.K.; Kerth, C.; Smith, S.B. Ground beef patties prepared from brisket, flank and plate have unique fatty acid and sensory characteristics. Meat Sci. 2015, 103, 46–53. [Google Scholar] [CrossRef]
- Oliver, J.M.; Joubert, D.P.; Caldwell, A.; Martin, S.E.; Crouse, S.F. A longitudinal study examining the effects of a season of American football on lipids and lipoproteins. Lipids Health Dis. 2015, 14, 35. [Google Scholar] [CrossRef] [PubMed]
- Orsoni, A.; Saheb, S.; Levels, J.H.M.; Dallinga-Thie, G.; Atassi, M.; Bittar, R.; Robillard, P.; Bruckert, E.; Kontush, A.; Carrie, A.; et al. LDL-apheresis depletes apoE-HDL and pre-ß1-HDL in familial hypercholesterolemia: Relevance to atheroprotection. J. Lipid Res. 2011, 52, 2304–2313. [Google Scholar] [CrossRef]
- Scott, L.W.; Dunn, J.K.; Pownall, H.J.; Brauchi, D.J.; McMann, M.C.; Herd, J.A.; Harris, K.B.; Savell, J.W.; Cross, H.R. Effects of beef and chicken consumption on plasma lipid levels in hypercholesterolemic men. Arch. Inter. Med. 1994, 154, 1261–1267. [Google Scholar] [CrossRef]
- Roussell, M.A.; Hill, A.M.; Gaugler, T.L.; West, S.G.; Heuvel, J.P.; Alaupovic, P.; Gillies, P.J.; Kris-Etherton, P.M. Beef in an Optimal Lean Diet study: Effects on lipids, lipoproteins, and apolipoproteins. Am. J. Clin. Nutr. 2012, 95, 9–16. [Google Scholar] [CrossRef] [PubMed]
- Bowen, K.J.; Kris-Etherton, P.M.; West, S.G.; Fleming, J.A.; Connelly, P.W.; Lamarche, B.; Courture, P.; Jenkins, D.J.A.; Taylor, C.G.; Zahradka, P.; et al. Diets enriched with conventional or high-oleic acid canola oil lower atherogenic lipids and lipoproteins compared to a diet with a Western fatty acid profile in adults with central adiposity. J. Nutr. 2019, 149, 471–478. [Google Scholar] [CrossRef]
- Wang, L.; Bordi, P.L.; Fleming, J.A.; Hill, A.M.; Kris-Etherton, P.M. Effect of a moderate fat diet with and without avocados on lipoprotein particle number, size and subclasses in overweight and obese adults: A randomized, controlled trial. J. Am. Heart Assoc. 2015, 4, e001355. [Google Scholar] [CrossRef]
- Cannell, L.E.; Savell, J.W.; Smith, S.B.; Cross, H.R.; St John, L.C. Fatty acid composition and caloric value of ground beef containing low levels of fat. J. Food Sci. 1989, 54, 1163–1168. [Google Scholar] [CrossRef]
- Smith, D.R.; Savell, J.W.; Smith, S.B.; Cross, H.R. Fatty acid and proximate composition of raw and cooked retail cuts of beef trimmed to different external fat levels. Meat Sci. 1989, 26, 295–311. [Google Scholar] [CrossRef] [PubMed]
- U.S. Department of Agriculture; U.S. Department of Health and Human Services. Dietary Guidelines for Americans, 2020–2025, 9th ed.; U.S. Department of Health and Human Services: Washington, DC, USA, 2020. Available online: DietaryGuidelines.gov (accessed on 2 December 2022).
- Maki, K.C.; Dicklin, M.R.; Kirkpatrick, C.F. Saturated fats and cardiovascular health: Current evidence and contraversies. J. Clin. Lipidol. 2021, 15, 765–772. [Google Scholar] [CrossRef]
- Ouimet, M.; Barrett, T.J.; Fisher, E.A. HDL and reverse cholesterol transport: Basic mechanisms and their roles in vascular health and disease. Circ. Res. 2019, 124, 1505–1518. [Google Scholar] [CrossRef] [PubMed]
- Sean Davidson, W.; Silva, R.A.G.D.; Chantepie, S.; Lagor, W.R.; Chapman, M.J.; Kontush, A. Proteomic analysis of defined HDL subpopulations reveals particle-specific protein clusters: Relevance to antioxidative function. Arterioscler. Thromb. Vasc. Biol. 2009, 29, 870–876. [Google Scholar] [CrossRef] [PubMed]
- Nichols, A.V.; Krauss, R.M.; Musliner, T.A. Nondenaturing polyacrylamide gradient gel electrophoresis. Methods Enzymol. 1986, 128, 417–431. [Google Scholar] [CrossRef] [PubMed]
- Patsch, J.; Gotto, A., Jr. Metabolism of high density lipoproteins. In New Comprehensive Biochemistry; Gotto, J.A.M., Ed.; Elsevier Science Publishers: New York, NY, USA, 1987; pp. 221–259. [Google Scholar]
- Kontush, A.; Chapman, M.J. Antiatherogenic small, dense HDL—Guardian angel of the arterial wall? Nat. Clin. Pract. Cardiovasc. Med. 2006, 3, 144–153. [Google Scholar] [CrossRef] [PubMed]
- Vaisar, T.; Pennathur, S.; Green, P.S.; Gharib, S.A.; Hoofnagle, A.N.; Cheung, M.C.; Byun, J.; Vuletic, S.; Kassim, S.; Singh, P.; et al. Shotgun proteomics implicates protease inhibition and complement activation in the antiinflammatory properties of HDL. J. Clin. Investig. 2007, 117, 746–756. [Google Scholar] [CrossRef] [PubMed]
- Kontush, A.; Therond, P.; Zerrad, A.; Couturier, M.; Negre-Salvayre, A.; de Souza, J.A.; Chantepie, S.; Chapman, M.J. Preferential sphingosine-1-phosphate enrichment and sphingomyelin depletion are key features of small dense HDL3 particles: Relevance to antiapoptotic and antioxidative activities. Arterioscler. Thromb. Vasc. Biol. 2007, 27, 1843–1849. [Google Scholar] [CrossRef]
- Ai, M.; Otokozawa, S.; Asztalos, B.F.; Ito, Y.; Nakajima, K.; White, C.C.; Cupples, L.A.; Wilson, P.W.; Schaefer, E.J. Small dense low density lipoprotein cholesterol and coronary heart disease: Results from the Framingham Offspring Study. Clin. Chem. 2010, 56, 967–976. [Google Scholar] [CrossRef]
- Véniant, M.M.; Sullivan, M.A.; Kim, S.K.; Ambroziak, P.; Chu, A.; Wilson, M.D.; Mellerstein, M.K.; Rudel, L.L.; Walzem, R.L.; Young, S.G. Defining the atherogenicity of large and small lipoproteins containing apolipoprotein B100. J. Clin. Investig. 2000, 106, 1501–1510. [Google Scholar] [CrossRef]
- Sniderman, A.D.; Thanassoulis, G.; Glavinovic, T.; Navar, A.M.; Pencina, M.; Catapano, A.; Ference, B.A. Apolipoprotein B particles and cardiovascular disease: A Narrative Review. JAMA Cardiol. 2019, 4, 1287–1295. [Google Scholar] [CrossRef]
- Campos, H.; Genest, J.J., Jr.; Blijlevens, E.; McNamara, J.R.; Jenner, J.L.; Ordovas, J.M.; Wilson, P.W.; Schaefer, E.J. Low density lipoprotein size and coronary artery disease. Arterioscler. Thromb. 1992, 12, 187–195. [Google Scholar] [CrossRef]
- Austin, M.A.; Breslow, J.L.; Hennekens, C.H.; Buring, J.E.; Willet, W.C.; Krauss, R.M. Low-density lipoprotein subclass patterns and risk of myocardial infarction. JAMA 1988, 260, 1917–1921. [Google Scholar] [CrossRef]
- Shore, V.G. Nondenaturing electrophoresis of lipoproteins in agarose and polyacrylamide gradient gels. In Analyses of Fats, Oils and Lipoproteins; Perkins, E.G., Ed.; AOAC Press: Rockville, MD, USA, 1991; pp. 573–588. [Google Scholar]




| Fatty Acid | Low-Fat | High-Fat | ||
|---|---|---|---|---|
| Raw | Pan-Broiled | Raw | Pan-Broiled | |
| g fatty acid/114-g beef patty | ||||
| Myristic, 14:0 | 0.16 ± 0.02 | 0.15 ± 0.01 | 0.80 ± 0.04 | 0.46 ± 0.02 |
| Palmitic, 16:0 | 1.49 ± 0.16 | 1.45 ± 0.06 | 6.37 ± 0.35 | 3.74 ± 0.48 |
| Palmitoleic, 16:1n-7 | 0.21 ± 0.02 | 0.20 ± 0.01 | 0.98 ± 0.05 | 0.56 ± 0.02 |
| Stearic, 18:0 | 0.79 ± 0.08 | 0.77 ± 0.08 | 3.53 ± 0.19 | 2.11 ± 0.08 |
| Oleic, 18:1n-9 | 2.52 ± 0.27 | 2.17 ± 0.01 | 9.70 ± 0.53 | 5.55 ± 0.20 |
| cis-Vaccenic, 18:1n-7 | 0.11 ± 0.01 | 0.13 ± 0.01 | 0.52 ± 0.03 | 0.33 ± 0.01 |
| Linoleic, 18:2n-6 | 0.27 ± 0.03 | 0.27 ± 0.03 | 0.65 ± 0.04 | 0.41 ± 0.02 |
| α-Linolenic, 18:3n-3 | 0.01 ± 0.01 | 0.01 ± 0.01 | 0.05 ± 0.01 | 0.02 ± 0.01 |
| Total SFA 2 | 2.44 ± 0.26 | 2.37 ± 0.23 | 10.70 ± 0.58 | 6.32 ± 0.22 |
| Total MUFA 2 | 2.84 ± 0.30 | 2.50 ± 0.11 | 11.29 ± 0.71 | 6.44 ± 0.23 |
| Total PUFA 2 | 0.28 ± 0.03 | 0.28 ± 0.01 | 0.71 ± 0.04 | 0.43 ± 0.02 |
| MUFA:SFA | 1.16 ± 0.01 | 1.06 ± 0.01 | 1.05 ± 0.01 | 1.02 ± 0.01 |
| PUFA:SFA | 0.11 ± 0.01 | 0.12 ± 0.01 | 0.07 ± 0.01 | 0.07 ± 0.01 |
| Total trans-fatty acids 3 | 0.17 ± 0.02 | 0.16 ± 0.02 | 1.44 ± 0.08 | 0.84 ± 0.03 |
| Total lipid per patty 4 | 6.4 ± 0.7 | 6.2 ± 0.3 | 26.9 ± 1.5 | 15.9 ± 0.6 |
| Item | Entry (Range) | Final | p-Values |
|---|---|---|---|
| Age, years | 39.9 ± 2.2 (24–58) | 40.0 ± 2.2 | 0.489 |
| Height, cm | 177.4 ± 1.4 (168–191) | 177.8 ± 1.3 | 0.409 |
| Weight, kg | 97.3 ± 5.0 (76–178) | 97.4 ± 5.0 | 0.499 |
| BMI | 31.2 ± 1.8 (23–58) | 30.9 ± 1.7 | 0.461 |
| DXA measurements | |||
| Fat, kg | 30.6 ± 3.9 (14–83) | 29.6 ± 3.8 | 0.425 |
| Lean, kg | 64.5 ± 1.9 (52–95) | 66.9 ± 1.9 | 0.200 |
| Body fat, % | 30.6 ± 3.8 (18–59) | 29.6 ± 3.8 | 0.425 |
| Android fat, % | 35.8 ± 2.8 (20–68) | 32.0 ± 2.3 | 0.160 |
| Gynoid fat, % | 31.0 ± 2.0 (16–60) | 29.7 ± 1.5 | 0.247 |
| Item 2 | Entry | Washout | Low-Fat | High-Fat | p-Value |
|---|---|---|---|---|---|
| Total, MJ/d | 8.7 ± 0.4 | 8.1 ± 0.3 | 7.9 ± 0.4 | 8.6 ± 0.4 | 0.071 |
| %MJ/d | |||||
| Protein | 18.2 ± 0.7 b | 19.1 ± 0.9 b | 21.9 ± 1.0 a | 18.2 ± 1.1 b | 0.002 |
| Carbohydrate | 42.3 ± 1.7 | 41.9 ± 1.5 | 40.9 ± 1.6 | 38.5 ± 1.7 | 0.060 |
| Fat | 38.4 ± 1.1 b | 36.7 ± 1.4 b | 36.5 ± 1.4 b | 42.4 ± 1.7 a | 0.006 |
| SFA 3 | 12.6 ± 0.6 b | 12.3 ± 0.5 b | 12.6 ± 0.7 b | 14.7 ± 0.7 a | 0.004 |
| MUFA | 6.5 ± 0.6 b | 6.7 ± 0.9 b | 7.1 ± 0.5 b | 9.8 ± 0.9 a | 0.003 |
| PUFA | 3.6 ± 0.3 | 3.5 ± 0.4 | 3.5 ± 0.4 | 3.4 ± 0.3 | 0.376 |
| Intake, g/d | |||||
| Protein | 93.8 ± 5.5 | 91.3 ± 4.2 | 102.2 ± 6.2 | 93.2 ± 7.5 | 0.078 |
| Carbohydrate | 217.4 ± 12.2 a | 203.4 ± 9.9 ab | 190.5 ± 9.8 b | 197.0 ± 12.6 ab | 0.048 |
| Dietary fiber | 17.8 ± 1.2 | 17.4 ± 1.5 | 15.4 ± 0.9 | 15.3 ± 1.2 | 0.062 |
| Soluble fiber | 0.8 ± 0.2 | 0.9 ± 0.1 | 0.9 ± 0.1 | 0.8 ± 0.1 | 0.334 |
| Insoluble fiber | 2.0 ± 0.4 | 2.6 ± 0.6 | 2.5 ± 0.4 | 2.4 ± 0.4 | 0.175 |
| Total sugars | 68.6 ± 7.0 | 58.9 ± 5.7 | 65.6 ± 5.5 | 64.5 ± 7.9 | 0.140 |
| Added sugars | 8.6 ± 3.1 | 10.5 ± 3.8 | 14.6 ± 3.9 | 14.0 ± 4.3 | 0.114 |
| Total fat | 89.2 ± 5.1 ab | 80.2 ± 4.9 bc | 76.7 ± 4.4 c | 96.6 ± 6.0 a | 0.006 |
| SFA | 29.2 ± 1.8 ab | 26.9 ± 1.8 b | 26.5 ± 1.7 b | 33.7 ± 2.5 a | 0.013 |
| MUFA | 15.4 ± 1.6 b | 14.1 ± 1.7 b | 15.2 ± 1.4 b | 22.2 ± 2.2 a | 0.002 |
| PUFA | 8.1 ± 0.8 | 7.6 ± 0.9 | 7.4 ± 1.0 | 7.6 ± 0.7 | 0.293 |
| trans-Vaccenic acid | 0.7 ± 0.2 a | 0.5 ± 0.1 ab | 0.3 ± 0.1 b | 0.6 ± 0.2 ab | 0.011 |
| Linoleic acid | 5.9 ± 0.8 | 5.4 ± 0.7 | 5.1 ± 0.9 | 4.9 ± 0.5 | 0.152 |
| α-Linolenic acid | 0.7 ± 0.1 | 0.7 ± 0.1 | 0.6 ± 0.1 | 0.5 ± 0.1 | 0.053 |
| Cholesterol, mg/d | 415 ± 57 | 335 ± 34 | 328 ± 39 | 314 ± 33 | 0.066 |
| Item | Entry | Washout | Low-Fat | High-Fat | p-Value |
|---|---|---|---|---|---|
| TG, mg/dL 2 | 111.4 ± 9.6 | 114.6 ± 10.9 | 110.1 ± 8.6 | 123.0 ± 11.1 | 0.058 |
| TC, mg/dL | 203.0 ± 8.2 a | 197.4 ± 8.5 ab | 191.5 ± 8.8 bc | 188.5 ± 8.1 c | 0.008 |
| HDL cholesterol, mg/dL | 49.3 ± 2.0 a | 47.6 ± 2.2 ab | 46.0 ± 1.9 bc | 45.4 ± 1.8 c | 0.001 |
| LDL cholesterol, mg/dL | 131.2 ± 8.1 a | 126.9 ± 7.9 ab | 123.6 ± 8.5 bc | 118.5 ± 7.5 c | 0.011 |
| Total AUC | 1920 ± 46 a | 1844 ± 44 b | 1815 ± 51 b | 1811 ± 48 b | 0.003 |
| TRL AUC | 150 ± 14 b | 165 ± 18 ab | 173 ± 17 a | 159 ± 15 ab | 0.050 |
| Total LDL AUC | 827 ± 34 a | 772 ± 31 b | 752 ± 34 b | 746 ± 32 b | 0.001 |
| LDL1 AUC | 29 ± 1 | 28 ± 2 | 29 ± 2 | 30 ± 2 | 0.225 |
| LDL2 AUC | 50 ± 3 | 48 ± 28 | 48 ± 3 | 48 ± 3 | 0.450 |
| LDL3 AUC | 170 ± 11 a | 159 ± 9 b | 155 ± 12 b | 152 ± 9 b | 0.024 |
| LDL4 AUC | 387 ± 25 a | 354 ± 22 b | 341 ± 24 b | 341 ± 22 b | 0.002 |
| LDL5 AUC | 189 ± 15 a | 181 ± 15 ab | 178 ± 10 ab | 173 ± 13 b | 0.041 |
| Total HDL AUC | 942 ± 29 a | 906 ± 25 b | 884 ± 301 b | 905 ± 28 b | 0.003 |
| HDL2b AUC | 225 ± 18 a | 209 ± 174 b | 211 ± 20 b | 212 ± 18 ab | 0.012 |
| HDL2a AUC | 245 ± 11 a | 230 ± 8 b | 225 ± 11 b | 234 ± 10 ab | 0.007 |
| HDL3a AUC | 278 ± 8 a | 268 ± 5 ab | 259 ± 7 b | 264 ± 6 b | 0.002 |
| HDL3b AUC | 135 ± 4 | 133 ± 4 | 128 ± 4 | 130 ± 5 | 0.058 |
| HDL3c AUC | 58 ± 1 b | 64 ± 1 a | 62 ± 1 a | 64 ± 2 a | 0.003 |
| Item | Entry | Washout | Low-Fat | High-Fat | p-Value |
|---|---|---|---|---|---|
| %LDL1 AUC 2 | 3.7 ± 0.2 b | 3.7 ± 0.2 b | 4.0 ± 0.2 ab | 4.1 ± 0.2 a | 0.021 |
| %LDL2 AUC | 6.1 ± 0.3 b | 6.3 ± 0.3 ab | 6.4 ± 0.3 ab | 6.5 ± 0.2 a | 0.023 |
| %LDL3 AUC | 20.6 ± 0.9 | 20.5 ± 0.8 | 20.5 ± 0.9 | 20.2 ± 0.7 | 0.534 |
| %LDL4 AUC | 46.3 ± 1.8 | 45.7 ± 1.7 | 45.0 ± 1.9 | 45.4 ± 1.6 | 0.229 |
| %LDL5 AUC | 23.3 ± 1.8 | 23.7 ± 1.8 | 24.1 ± 1.7 | 23.7 ± 1.8 | 0.325 |
| %HDL2b AUC | 23.3 ± 1.2 | 22.5 ± 1.2 | 23.0 ± 1.3 | 22.8 ± 1.2 | 0.164 |
| %HDL2a AUC | 25.9 ± 0.5 | 25.4 ± 0.4 | 25.3 ± 0.5 | 25.7 ± 0.5 | 0.125 |
| %HDL3a AUC | 29.8 ± 0.7 | 29.9 ± 0.7 | 29.8 ± 0.9 | 29.6 ± 0.7 | 0.256 |
| %HDL3b AUC | 14.7 ± 0.6 | 15.0 ± 0.5 | 14.8 ± 0.6 | 14.7 ± 0.6 | 0.472 |
| %HDL3c AUC | 6.3 ± 0.2 b | 7.2 ± 0.3 a | 7.1 ± 0.3 a | 7.3 ± 0.3 a | 0.001 |
| Item | Area under the Curve | ||||||
|---|---|---|---|---|---|---|---|
| TRL | HDL2b | HDL2a | HDL3a | HDL3b | HDL3c | Total HDL | |
| HDL-C | −0.383 *** | 0.914 **** | 0.905 **** | 0.128 | −0.277 ** | −0.046 | 0.658 **** |
| TRL | LDL1 | LDL2 | LDL3 | LDL4 | LDL5 | Total LDL | |
| LDL-C | −0.208 | 0.332 *** | 0.600 **** | 0.731 **** | 0.736 **** | 0.251 * | 0.911 **** |
Disclaimer/Publisher’s Note: The statements, opinions and data contained in all publications are solely those of the individual author(s) and contributor(s) and not of MDPI and/or the editor(s). MDPI and/or the editor(s) disclaim responsibility for any injury to people or property resulting from any ideas, methods, instructions or products referred to in the content. |
© 2023 by the authors. Licensee MDPI, Basel, Switzerland. This article is an open access article distributed under the terms and conditions of the Creative Commons Attribution (CC BY) license (https://creativecommons.org/licenses/by/4.0/).
Share and Cite
Lytle, J.R.; Price, T.; Crouse, S.F.; Smith, D.R.; Walzem, R.L.; Smith, S.B. Consuming High-Fat and Low-Fat Ground Beef Depresses High-Density and Low-Density Lipoprotein Cholesterol Concentrations, and Reduces Small, Dense Low-Density Lipoprotein Particle Abundance. Nutrients 2023, 15, 337. https://doi.org/10.3390/nu15020337
Lytle JR, Price T, Crouse SF, Smith DR, Walzem RL, Smith SB. Consuming High-Fat and Low-Fat Ground Beef Depresses High-Density and Low-Density Lipoprotein Cholesterol Concentrations, and Reduces Small, Dense Low-Density Lipoprotein Particle Abundance. Nutrients. 2023; 15(2):337. https://doi.org/10.3390/nu15020337
Chicago/Turabian StyleLytle, Jason R., Tara Price, Stephen F. Crouse, Dana R. Smith, Rosemary L. Walzem, and Stephen B. Smith. 2023. "Consuming High-Fat and Low-Fat Ground Beef Depresses High-Density and Low-Density Lipoprotein Cholesterol Concentrations, and Reduces Small, Dense Low-Density Lipoprotein Particle Abundance" Nutrients 15, no. 2: 337. https://doi.org/10.3390/nu15020337
APA StyleLytle, J. R., Price, T., Crouse, S. F., Smith, D. R., Walzem, R. L., & Smith, S. B. (2023). Consuming High-Fat and Low-Fat Ground Beef Depresses High-Density and Low-Density Lipoprotein Cholesterol Concentrations, and Reduces Small, Dense Low-Density Lipoprotein Particle Abundance. Nutrients, 15(2), 337. https://doi.org/10.3390/nu15020337

