Abstract
The aim of this review was to explore existing evidence from studies conducted on humans and summarize the mechanisms of action of dietary polyphenols on vascular health, blood pressure and hypertension. There is evidence that some polyphenol-rich foods, including berry fruits rich in anthocyanins, cocoa and green tea rich in flavan-3-ols, almonds and pistachios rich in hydroxycinnamic acids, and soy products rich in isoflavones, are able to improve blood pressure levels. A variety of mechanisms can elucidate the observed effects. Some limitations of the evidence, including variability of polyphenol content in plant-derived foods and human absorption, difficulty disentangling the effects of polyphenols from other dietary compounds, and discrepancy of doses between animal and human studies should be taken into account. While no single food counteracts hypertension, adopting a plant-based dietary pattern including a variety of polyphenol-rich foods is an advisable practice to improve blood pressure.
1. Introduction
Dietary risk factors represent a heavy burden for global chronic, non-communicable diseases [1]. There is consolidated evidence that dietary factors play a central role in determining cardiovascular disease (CVD) through a number of potential mechanisms. Obesity, type-2 diabetes, dyslipidemias, and hypertension are intermediary conditions representing key risk factors for CVD development, all strongly influenced by nutrition as well [2]. Among various potential effects on human health, dietary patterns such as the Mediterranean diet, the dietary approach to stop hypertension (DASH) model, Nordic diet, and lacto-ovo vegetarian have been demonstrated to play a role in preserving vascular health and reducing blood pressure [3]. A common feature of such dietary patterns is the richness in plant-derived foods, which are rich in fiber and phytochemicals with proven antioxidant activity, that have been studied over the last decades to explain the potential anti-hypertensive effects of the aforementioned diets.
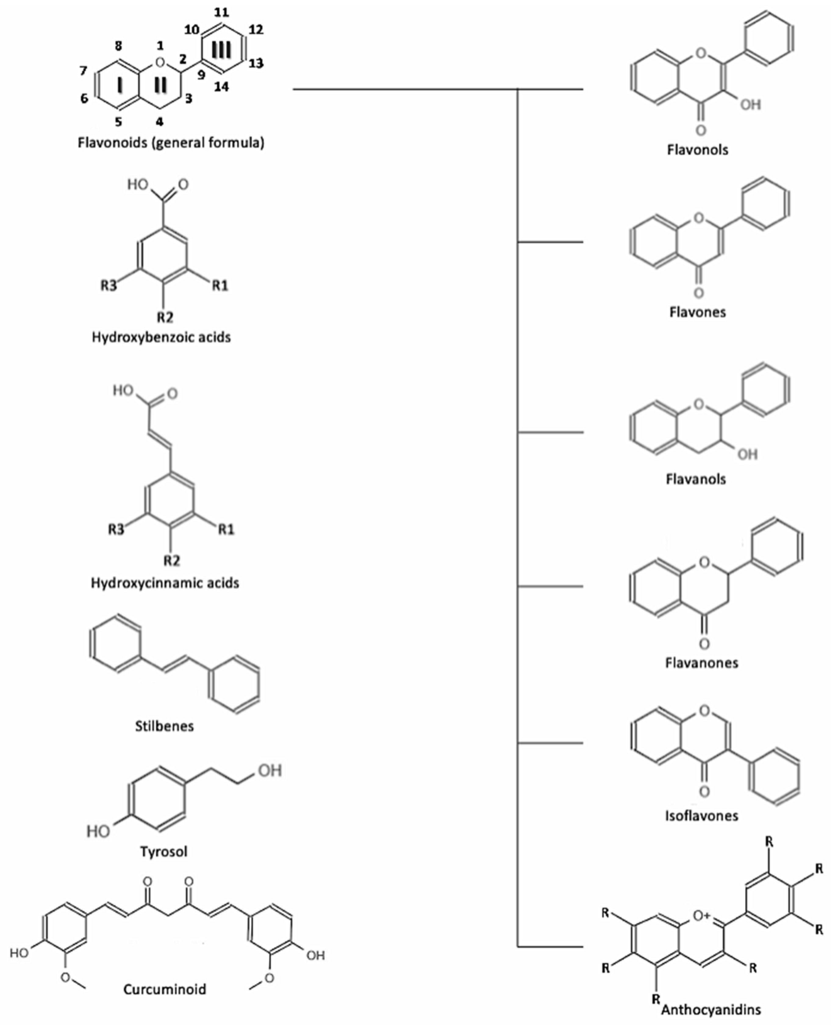
Polyphenols are a large group of plant secondary metabolites that exert a number of biological activities involved in plant defense, including antioxidant and antibacterial actions [4]. While a large variety including thousands of molecules have been found in plants, some of them have also been proven to exert biological activities in humans [4]. The general chemical structure of plant polyphenols is characterized by one or more hydroxyl groups binding to one or more aromatic rings; besides being linked with one or more sugar residues, they can be associated also with other compounds, such as amines, carboxylic and organic acids, lipids and other phenols [5]. Based on their chemical structure (the number of phenol rings and structural elements that bind them) polyphenols are divided into groups and subgroups (Figure 1), mainly represented by flavonoids (further divided into flavonols, flavan-3-ols, anthocyanidins, flavones, flavanones, isoflavones, and chalcones) and “non-flavonoids” comprising phenolic acids, tyrosols, stilbenes, lignans, saponin, and tannins [5]. The structural diversity of these molecules affects their properties, thus yielding to different potential activities across different groups [4].
Figure 1.
Chemical structure of the selected polyphenols.
Polyphenols are found in different quantities and proportions in most edible and wild plants, fruits, and plant-derived beverages, but their consumption in humans is widely affected by the variety of the diet and, specifically, of plant-derived foods. In fact, consuming a high proportion of fruits and vegetables generally leads to a high dietary content of flavonoids [6]; populations consuming a high quantity of tea and coffee (i.e., northern and eastern European countries) have high dietary content of phenolic acids (i.e., caffeic acid) and catechins [7]; moreover, populations commonly using extra-virgin olive oil as dressing or red wine as alcohol during meals (i.e., Mediterranean countries) have a characteristic high intake of tyrosols and stilbenes [8]. Moreover, the bioavailability of polyphenols is generally low, with most of the compounds poorly absorbed in the small intestine, reaching the colon, where they are transformed by the colonic flora and later absorbed [9]. Importantly, the relation between polyphenols and gut microbiota is bidirectional, since the amount and types of molecules ingested have been shown to modulate the human gut microbiome community [10,11]. Thus, the overall absorption and, consequently, the potential effects of polyphenols may vary greatly depending on the content and variety of the overall diet (i.e., content in fiber, richness and variety of fruits and vegetables, consumption of coffee and tea, etc.).
In the most recent meta-analysis on the relation between dietary flavonoid consumption and cardiovascular outcomes [12] conducted on 39 prospective cohort studies including about a million and a half individuals, we reported that increasing consumption of flavonoids was linearly associated with a lower risk of CVD. Moreover, several other associations were found among main subclasses, including the linear association between anthocyanin and flavan-3-ol intake and CVD risk, flavonol and flavone intake and CHD risk, and flavanone intake and stroke risk [12]. Given the linear dose–response relation between flavonoid consumption and CVD risk, these results provide strong evidence of their effects on cardiovascular health. These potential protective effects are, at least in part, driven by their actions on vascular health and blood pressure regulation. There is plenty of literature describing putative mechanisms providing the rationale for a direct effect of dietary polyphenol intake on vascular health. The aim of this review is to summarize updated scientific literature published over the last few years on the relation between dietary polyphenols and polyphenol-rich foods on blood pressure, vascular endothelium health, and hypertension risk, as well as to elucidate the main mechanisms underlying the retrieved findings.
2. Evidence on Polyphenol and Hypertension
2.1. Observational Studies
We recently performed a systematic review and meta-analysis of observational studies on dietary polyphenol consumption and risk of hypertension including 15 cross-sectional investigations and 7 prospective cohorts [13]. The meta-analysis of five prospective cohorts, comprising 200,256 individuals and 45,732 cases of hypertension, included in the quantitative analysis showed that total flavonoids was not associated with the risk of hypertension, while among individual subgroups, anthocyanin intake was consistently associated with reduction in hypertension risk; among other observational studies reviewed, individuals consuming a higher intake of phenolic acids (such as hydroxycinnamic acids) [14,15] and phytoestrogens (including isoflavones) [16,17] were less likely to be hypertensive [13].
Concerning polyphenol-rich foods, a comprehensive summary of evidence from umbrella meta-reviews showed a decreased risk of hypertension associated with higher consumption of plant-based foods, including fruit, whole grains, nuts, and legumes/pulses [18,19,20,21,22], although some of the meta-analyses included were of relatively low quality, thus undermining the overall strength of the evidence. Null results were rather found for vegetable intake and risk of hypertension [23,24]. Concerning plant-derived beverages rich in polyphenols, we performed the most complete meta-analysis on long-term coffee consumption and risk of hypertension, including seven cohorts and 205,349 individuals and 44,120 cases of hypertension, which showed a linear dose–response association [25].
2.2. Dietary Intervention Trials
A summary of the main results from meta-analyses of randomized controlled trials (RCTs) is presented in Figure 2.
Figure 2.
Summary of the main results from meta-analyses of randomized controlled trials (RCTs) investigating the effect of polyphenol and polyphenol-rich food supplementation on (a) systolic blood pressure (SBP), and (b) diastolic blood pressure (DBP). NA denotes not applicable.
Some studies investigating polyphenol supplementation consistently revealed null effects on blood pressure, suggesting that the lack of significant results may be due to the limited number of included studies and their quality; among the existing meta-analyses, supplementation with hesperidin (a major flavanone contained in citrus fruits) [26], genistein (an isoflavone contained in soy products) [27], and resveratrol (a stilbene contained in grapes and red wine) [28] led to null results on blood pressure outcomes. However, findings from other meta-analyses on resveratrol supplementation revealed an effect on flow-mediated dilatation (FMD) levels (1.77, 95% CI: 0.25 to 3.29, p = 0.02; I2: 96%) [29] and lowered systolic blood pressure (−5.77, 95% CI: −8.61 to −2.93) when considering diabetic patients [30]. A meta-analysis including RCTs supplementing patients with quercetin (another major flavonoid contained in onions and apples) showed a significant effect on both systolic (−3.09 mmHg, 95% CI: −4.59 to −1.59, p = 0.0001) and diastolic blood pressure (−2.86 mmHg, 95% CI: −5.09 to −0.63, p = 0.01) [31], despite the fact that no effects were detected on vascular cell adhesion molecule 1 (VCAM-1) of intercellular adhesion molecule 1 (ICAM-1) [32]. A meta-analysis of 91 RCTs comparing the effect of flavan-3-ols (flavonoids contained in cocoa and green tea) with controls on blood pressure showed a significant decrease in systolic (−1.46 mmHg, 95% CI: −2.27 to −0.65; I2 = 65.3%) and diastolic blood pressure (−0.99 mmHg, 95% CI: −1.50 to −0.45; I2 = 58.0%) [33]. Finally, a meta-analysis showed a significant systolic blood-pressure-lowering effect following chlorogenic acid supplementation (a major coffee polyphenol belonging to the hydroxycinnamic acid group) (−4.31 mmHg, 95% CI: −3.91 to −3.45, p < 0.001) [34]. However, the inclusion of a small number of participants and funding from manufacturers of original RCTs generally limited the strength of evidence due to possible bias.
Dietary intervention trials aiming to investigate the role of dietary polyphenols on blood pressure are typically characterized by supplementation with a polyphenol-rich food (or food group) in comparison to a control group. Regarding the potential effect of fruits on blood pressure, a recent meta-analysis on flavonoid-rich fruits (assessing the potential effect of anthocyanins, naringin, narirutin, and flavan-3-ols) including 15 RCTs and 572 participants showed no effect of flavonoids on systolic or diastolic blood pressure when compared to the placebo; however, pooled results from two crossover RCTs evidenced a reduction in systolic blood pressure [35]. Among specific fruits, a meta-analysis of 28 intervention studies on berry-based foods (rich in anthocyanins and some flavonols) showed an improvement in systolic (−2.07 mmHg, 95% CI: −3.50 to −0.64, p = 0.005) and diastolic blood pressure (−1.43 mmHg, 95% CI: −2.47 to −0.38, p = 0.007), while no effects were found on VCAM (−21.00, 95% CI: −58.75 to 16.74) and ICAM (−0.103, 95% CI: −0.481 to 0.275) [36]. Similarly, another meta-analysis conducted on anthocyanin-containing products (including berries, red grapes, and red wine) showed a decrease in blood pressure (systolic, −0.23, p < 0.001; diastolic, −0.20, p < 0.001) [37]. These results have been confirmed in a more recent meta-analysis on berries (including juice of barberry, cranberry, grape, pomegranate, powder of blueberry, grape, raspberry and freeze-dried strawberry), showing a significant reduction in systolic blood pressure by 3.68 mmHg (95% CI −6.79 to −0.58, p = 0.02) and diastolic blood pressure by −1.78 mmHg (95% CI −3.43 to −0.12, p = 0.04) and elevated sVCAM-1 levels by 14.57 ng/mL (85% CI 4.22 to 24.93; p = 0.02) [38]. Other meta-analyses focused on specific berry fruits reported an individual positive impact on systolic blood pressure with the consumption of strawberries [39] and chokeberry (aronia melanocarpa) [40]. Concerning fruit juices, a meta-analysis on 100% fruit juices showed a favorable effect on blood pressure (systolic, MD: −3.14 mmHg; diastolic, MD: −1.68 mmHg), arterial compliance (carotid–femoral pulse wave velocity, −0.38 m/s), and endothelial function (flow-mediated dilation, 2.10%) [41]. Among specific juices, a meta-analysis including eight RCTs on pomegranate juice found significant reductions in both systolic (−4.96 mmHg, 95% CI: −7.67 to −2.25, p < 0.001) and diastolic blood pressure (−2.01 mmHg, 95% CI: −3.71 to −0.31, p = 0.021) after pomegranate juice (rich in anthocyanin) consumption [42]. Another meta-analysis including 22 trials (1248 participants) on beetroot juice (rich in anthocyanin) showed a lower mean difference of systolic (−3.55 mmHg; 95% CI: −4.55 to −2.54) and diastolic blood pressure (−1.32 mmHg; 95% CI: −1.97 to −0.68) in the intervention compared to control groups [43].
Although no significant association between total vegetable intake and risk of hypertension has been found in observational studies, a meta-analysis of RCTs on garlic (rich in hydroxycinnamic acid derivatives) revealed lowering effects on systolic (−5.07 mmHg; 95% CI −7.30 to −2.85) and diastolic blood pressure (−2.48 mmHg; 95% CI −4.07 to −0.89) [44]. Supplementation with vegetables such as turmeric (rich in curcuminoids) has been reported not to exert significant effects on blood pressure, although a significant reduction in systolic (−1.24 mmHg, 95% CI: −2.26 to −0.22; I2 = 0%) but not diastolic blood pressure (0.29 mmHg, 95% CI: −0.65 to 1.22; I2 = 1%) has been observed when restricting the analysis on studies with a duration >12 weeks [45]. Among other plant-derived foods, a meta-analysis including eight RCTs (768 participants) on whole-grain supplementation (containing a variety of phenolic acids and lignans) showed no effects on either systolic (0.04 mmHg, 95% CI: −1.67 to 1.75) or diastolic blood pressure (0.16, 95% CI: −0.89 to 1.21) [46]. While no RCTs have been conducted on pulses, a meta-analysis on soy products (characterized by high content in isoflavones) including 15 RCTs showed a significant reduction in both systolic (−1.70 mmHg, 95% CI: −3.34 to −0.06, p = 0.04; I2 = 45%) and diastolic blood pressure (−1.27 mmHg, 95% CI: −2.36 to −0.19, p = 0.02; I2 = 43%) [47]. A meta-analysis on tree nuts (high in phenolic acids, including hydroxybenzoic acids) showed no direct effects on blood pressure levels following ingestion of nuts with no differentiation among types [48]. When considering specific nut types, walnut-enriched diets and peanut supplementation did not lead to significant differences in blood pressure levels [49,50]. However, a meta-analysis specifically conducted on almonds including 16 RCTs and 1128 participants showed a reduction in diastolic (−1.30 mmHg, 95% CI: −2.31 to −0.30; I2 = 0.0%) but not systolic blood pressure levels [51]. In contrast, in another meta-analysis on pistachio supplementation including 13 RCTs with 563 participants, a significant decrease in systolic blood pressure (−2.12 mmHg, 95% CI −3.65 to −0.59, p = 0.007) was found, whereas changes in flow-mediated dilation and diastolic blood pressure were not significant [52]. Similarly, in another meta-analysis on cashew nut supplementation, although limited to two RCTs and 123 participants, no effect was recorded for diastolic blood pressure, but a significant reduction in systolic blood pressure (−3.39 mmHg, 95% CI = −6.13 to −0.65; I2 = 0.0%) in the intervention compared to the control group was found [53].
Concerning cocoa products (rich in flavan-3-ols), a meta-analysis of 35 trials (40 treatment comparisons) involving 1804 mainly healthy participants showed a significant blood pressure-reducing effect of flavanol-rich cocoa products compared with the control in trials (−1.76 mmHg, 95% CI: −3.09 to −0.43, p = 0.009, and −1.76 mmHg, 95% CI: −2.57 to −0.94, p < 0.001, respectively) [54]. A meta-analysis including RCTs restricting the interventions in middle-aged and elderly individuals showed a significant reduction in systolic blood pressure by 2.77 (95% CI: −5.28 to −0.27, p = 0.03; I2 = 89%) and diastolic blood pressure by 1.47 mmHg (95% CI: −2.40 to −0.55, p = 0.001; I2 = 45%) [55]. Another meta-analysis including 15 RCTs with 18 intervention arms estimating a 704 mg/d higher intake of cocoa flavan-3-ols on average than the control revealed a significant improvement of FMD by 1.17% (95% CI: 0.76% to 1.57%) [56].
While no intervention trials are available for regular coffee consumption and blood pressure, a meta-analysis of nine RCTs on green coffee extract supplementation showed a significant reduction in systolic (−3.09 mmHg, 95% CI: −3.91 to −2.27; I2 = 0.0%) and diastolic blood pressure (−2.17 mmHg, 95% CI: −2.74 to −1.59; I2 = 46.5%) with low heterogeneity among the studies [57]. In contrast, a quantitative summary of evidence on tea consumption has been conducted including 13 trials (1115 participants) on black tea (rich in hydroxybenzoic acids) and 24 trials (1697 participants) on green tea supplementation (rich in flavan-3-ols, such as epigallocatechin-gallate) showing a significant reduction in both systolic (−1.04 mmHg, 95% CI: −2.05 to −0.03, p = 0.04, and −1.17 mmHg, 95% CI: −2.18 to −0.16, p = 0.02, respectively) and diastolic blood pressure (−0.59 mmHg, 95% CI: −1.05 to −0.13, p = 0.01, and −1.24 mmHg, 95% CI:−2.07 to −0.40, p = 0.004, respectively), although with some evidence of heterogeneity between studies [58,59]. An analysis restricted to studies conducted on individuals with high blood pressure (five RCTs on 408 participants) showed more clinically relevant effects on both systolic (−4.81 mmHg, 95% CI: −8.40 to −1.58, p = 0.004) and diastolic blood pressure (−1.98 mmHg, 95% CI: −3.77 to −0.20, p = 0.029) [60].
Among other foods rich in polyphenols, ginger is rich in gingerols and it has been studied for its potential effects on blood pressure; a meta-analysis including six RCTs and 345 participants showed that ginger supplementation would reduce both systolic (−6.36 mmHg, 95% CI: −11.27 to −1.46, p = 0.011; I2 = 89%) and diastolic blood pressure (−2.12 mmHg, 95% CI: −3.92 to −0.31, p = 0.002; I2 = 73%), although the overall level of evidence is relatively weak due to the high heterogeneity between studies and the small number of participants [61]. Additionally, olive oil is particularly rich in polyphenols, especially phenolic acids, which have been considered most probably responsible for the health benefits of this oil; however, a meta-analysis on high-polyphenol extra-virgin olive oil including five RCTs showed no direct effect on blood pressure levels (−2.03 mmHg, 95% CI: −6.57 to 2.50, p = 0.38; I2 = 79% for systolic blood pressure; −2.70 mmHg, 95% CI: −5.71 to 0.31, p = 0.08; I2 = 78% for diastolic blood pressure) [62].
3. Summary of Potential Mechanisms of Action
A summary of the potential mechanisms of action through which polyphenols may affect endothelial health and reduce the risk of hypertension is shown in Figure 3.
Figure 3.
Summary of the potential mechanisms of action through which polyphenols may affect endothelial health and reduce risk of hypertension. ↑denotes increase, ↓denotes decrease.
3.1. Endothelial Health
Vascular functions, including vascular tone maintenance, redox balance, and inhibition of platelet aggregation and coagulation, are key factors for endothelial health and the prevention of hypertension, atherosclerosis, and CVD [63]. Endothelial cells produce substances needed for the maintenance of healthy vascular function, including nitric oxide (NO), carbon monoxide, endothelium-dependent hyperpolarizing factors and endothelium-derived contracting factors, vasoactive prostanoids and prostacyclin, endothelin, and superoxide [63]. Endothelial dysfunction is substantially driven by reduced availability of NO as a consequence of increased oxidative stress, generation of free radicals, and other stress factors; polyphenols may improve the release of NO from the endothelial cells, leading to activation of cyclic guanosine monophosphate in vascular smooth muscle cells and exerting blood vessel relaxation, antioxidant, anti-inflammatory, and antithrombotic effects [64]. Flavonoids, such as anthocyanins [65,66], flavones (i.e., luteolin) [67], flavanones (i.e., naringin) [68], flavan-3-ols (i.e., epicatechin) [69], flavonols (i.e., kaempferol) [70] and isoflavones [71], and resveratrol [72,73] may play a direct role in improving the bioavailability in the bloodstream of NO by increasing the activation of inducible NO synthase (iNOS) and endothelial NO synthase (eNOS) provided by modulation of signal transduction, for instance through the phosphatidylinositol 3-kinase (PI3K)/Akt or the adenosine monophosphate-activated protein kinase (AMPK) pathways [67]. Together with other polyphenols, such as caffeic acid [74], kaempferol [75], quercetin [76], luteolin [77], and biochanin A [78], these compounds may exert vasorelaxing effects also by acting on vascular smooth muscle cells directly (through activation of BK channels or inhibition of Ca2+ channels) or indirectly (through activation of Ca2+-activated K+ channels in endothelial cells, leading to hyperpolarization and inhibition of Ca2+ influx to vascular smooth muscle cells), eventually limiting construction and leading to vasorelaxation [79]. However, some polyphenols, such as resveratrol, have been shown to act through more than one of the aforementioned mechanisms [80].
3.2. Antioxidant Effects
Oxidative stress following free radical and reactive oxygen species (ROS) production is a cornerstone process in aging and disease, including atherosclerosis and CVD [81]. Regarding atherosclerosis development, oxidative modification of low-density lipoprotein (LDL) into oxidized-LDL (ox-LDL) represents one of the earliest events of the whole process; dietary polyphenols have been shown to counteract this process and exert antioxidant activity through a variety of endogenous and exogenous mechanisms [82]. The most common mechanism of action of flavonoids [83], including citrus flavonoids [84] and flavan-3-ols (i.e., epicatechin) [85], and phenolic acids, such as ferulic acid [86], against ROS have been shown to be the potent direct scavenging free radical activity. Flavonoids are oxidized by free radicals, resulting in more stable and less reactive compounds; among the most potent antioxidant compounds, flavonols (i.e., quercetin) [87], flavanones (i.e., naringenin and hesperetin), flavones (i.e., apigenin) [67], flavan-3-ols (i.e., catechins), stilbenes (i.e., resveratrol) [88], and many others have been shown to directly scavenge superoxide or other reactive species, reversing vascular stiffening and restoring its functionality. Polyphenols may provide antioxidant effects, counteracting senescence and restoring mitochondrial function vascular smooth muscle cells and endothelial cells by modulation of signal transduction [4]. For instance, flavonoid subgroups such as flavanones and anthocyanins, as well as phenolic acids such as caffeic acid, demonstrated antioxidant activity by enhancing the cellular antioxidant defenses through activation of transcription factors of antioxidant and cytoprotective enzymes, such as the extracellular signal-regulated kinase (ERK)/nuclear factor (erythroid-derived 2)-like 2 (Nrf2) signaling pathway [89,90]. Modulation of signal transduction may lead to the promotion of upregulation of anti-oxidative genes, such as heme oxygenase-1 (HO-1), NAD(P)H dehydrogenase quinone 1 (NQO1), glutamate–cysteine ligase (through its catalytic subunit–GCLC), and induction of endogenous antioxidant enzymes, such as glutathione peroxidase, superoxide dismutase, catalase, or glutathione reductase [91].
3.3. Anti-Inflammatory Action
Inflammation plays a central role in numerous non-communicable diseases, including cardiovascular disorders [92]. Concerning vascular health, migration and accumulation of ox-LDL cholesterol in the vascular intima has been long considered the main event for the determination of atheroschlerotic disease, while this interpretation of events is rather limited; in fact, it only represents the first step in the development of the disease, which also involves macrophages’ activity in discharging various mediators of inflammation, sustaining the whole process of infiltration of smooth muscle cells, formation of foam cells, and leukocytes infiltration/proliferation [93]. Inflammatory biomarkers characterizing the process include various cytokines (interleukin- (IL-) 1, 3, 6, 8, and 18), tumor necrosis factor (TNF-alpha), and the macrophage colony-stimulating factor; among polyphenols, some flavonoids such as anthocyanins [94] and flavan-3-ols [94], phenolic acids (including chlorogenic and caffeic acids) [95], and resveratrol [96] are promising anti-inflammatory agents due to their anti-inflammatory effects specifically interfering with the aforementioned mechanisms through regulation of several signaling pathways, including the mitogen-activated protein kinases (MAPK), the janus kinase/signal transducers/activators of the transcription (JAK/STAT), and the NF-κB pathways [97].
3.4. Platelet Adhesion, Aggregation, and Coagulation
Proinflammatory stimuli lead to changes in the endothelial phenotype, leading to damage of barrier function and upregulation of adhesion molecules expression, including vascular cell adhesion molecule-1 (VCAM-1) and intercellular adhesion molecule (ICAM-1) [98]. Such changes represent the final step toward plaque formation, necrotization, and rupture, with the establishment of atherosclerosis. Several polyphenol groups, such as apigenin [99], curcumin and luteolin [100,101], quercetin [102], epicatechin [103], and resveratrol [104], have been shown to reduce platelet aggregation through the aforementioned anti-inflammatory pathways and inhibition of adhesion molecules [105].
3.5. Potential Role of Gut Microbiota
Dietary polyphenols have been described to be of great relevance for the composition of the colonic bacterial flora [106]. Although heterogeneity in individuals’ characteristics (i.e., age, sex, ethnicity, BMI) causes large inter-individual variations in gut microbiota to occur, the bacterial production of molecules reaching the systemic circulation has been hypothesized to play an indirect role in vascular endothelial health [107]. Among the most studied compounds produced by the gut microbiota, the metabolite trimethylamine-N-oxide (TMAO), generated in the liver via the oxidation of trimethylamine (TMA) formed by Firmicutes and Proteobacteria from carnitine and choline-rich foods (i.e., red meat, dairy, eggs, poultry), has been demonstrated to induce vascular inflammation through mitogen-activated protein kinase (MAPK) and NF-κB signaling [108]. Polyphenols, such as resveratrol, have been shown to decrease circulating TMAO by regulating its synthesis via gut microbiota remodeling [109], with similar results confirmed in a recent RCT conducted on humans [110]. Additionally, tea flavonoids (i.e., flavan-3-ols) have been shown to alleviate atherosclerosis by decreasing serum TMA by regulating gut microbiota [111]. Other important gut microbiota-derived metabolites shown to be beneficial for blood vessel control are short-chain fatty acids (SCFAs), which are the result of bacterial (mainly Lactobacillus and Bifidobacterium) fermentation of undigested carbohydrates, which can cross the intestinal epithelium and influence mucosal immune responses [112]. In vivo studies showed that polyphenols, such as isoflavones [113], anthocyanins [114], and flavan-3-ols [115], have been shown to affect gut microbiota composition and increase fecal SCFA.
4. Limitation of the Evidence
Existing evidence from meta-analyses is generally limited by common general limitations, such as a small number of studies or participants, involvement of manufacturers, and scarce clinical relevance of some significant results (not enough variation in blood pressure). Moreover, while there is a certain agreement between studies conducted on humans and mechanistic studies from the laboratory setting, some limitations of the retrieved evidence may stem from the following: (i) large variability of polyphenol content in plant-derived foods (depending on cultivar, preservation, temperature, sun exposure, and other factors) as well as in absorption of polyphenols among humans; (ii) dietary sources of polyphenols are typically rich in other compounds that may exert cardioprotective effects, including fiber or monounsaturated fatty acids; thus, disentangling the unique effects of polyphenols is rather difficult when studying food groups; (iii) mechanistic studies conducted on cells and animals often do not take into account the cooking processes, which may lead to a loss in total polyphenol or transformation of specific molecules into others with different biological activities; and (iv) discrepancy between in vitro and in vivo doses (in vitro doses often lead to unrealistic dietary intake in humans).
5. Conclusions
In conclusion, evidence from human studies suggests that some polyphenol-rich foods exert positive effects on blood pressure levels. However, given the small clinical effects reported, the real-world implications for their consumption rely on their inclusion in a healthy diet rather than consumption of an individual food. There is no singular mechanism nor individual polyphenol compound that may explain the pathway to improve endothelial health and prevent hypertension and CVD. On the contrary, it is likely that the health benefits of plant-based diets rich in polyphenols may depend both on the quantity and the variety of compounds acting through several pathways, leading to synergistic actions toward health. Furthermore, a recommendation for the adherence to a healthy diet rich in plant-based foods, providing not only substrates to the gut microbiome (i.e., fiber) and important co-factors playing a role in polyphenol bioavailability but also influencing gut microbiota profile, could strengthen the beneficial effects of polyphenols toward cardiovascular health. Although recommendations on the consumption of single foods are inappropriate, it can be concluded that a diet rich in multiple polyphenol-rich foods is likely to improve vascular health and reduce the risk of hypertension.
Author Contributions
All authors listed have made a substantial, direct, and intellectual contribution to the review. All authors have read and agreed to the published version of the manuscript.
Funding
The study was a part of the ABIOCOR (Role of dietary antioxidants and biofortification of vegetable crops for human health) project funded by the “Piano di incentivi per la ricerca di Ateneo 2020/2022” of the University of Catania, Italy (G.G., M.L., F.G.). The figures have been generated by using Servier Medical Art available at smart.servier.com.
Institutional Review Board Statement
Not applicable.
Informed Consent Statement
Not applicable.
Conflicts of Interest
The authors declare no conflict of interest. The funders had no role in the design or reporting of the study.
References
- GBD 2019 Risk Factors Collaborators. Global burden of 87 risk factors in 204 countries and territories, 1990–2019: A systematic analysis for the Global Burden of Disease Study 2019. Lancet 2020, 396, 1223–1249. [Google Scholar] [CrossRef]
- GBD 2017 Diet Collaborators. Health effects of dietary risks in 195 countries, 1990–2017: A systematic analysis for the Global Burden of Disease Study 2017. Lancet 2019, 393, 1958–1972. [Google Scholar] [CrossRef] [Green Version]
- Gibbs, J.; Gaskin, E.; Ji, C.; Miller, M.A.; Cappuccio, F.P. The effect of plant-based dietary patterns on blood pressure: A systematic review and meta-analysis of controlled intervention trials. J. Hypertens. 2021, 39, 23–37. [Google Scholar] [CrossRef]
- Serino, A.; Salazar, G. Protective Role of Polyphenols against Vascular Inflammation, Aging and Cardiovascular Disease. Nutrients 2018, 11, 53. [Google Scholar] [CrossRef] [PubMed] [Green Version]
- Maaliki, D.; Shaito, A.A.; Pintus, G.; El-Yazbi, A.; Eid, A.H. Flavonoids in hypertension: A brief review of the underlying mechanisms. Curr. Opin. Pharmacol. 2019, 45, 57–65. [Google Scholar] [CrossRef] [PubMed]
- Godos, J.; Marventano, S.; Mistretta, A.; Galvano, F.; Grosso, G. Dietary sources of polyphenols in the Mediterranean healthy Eating, Aging and Lifestyle (MEAL) study cohort. Int. J. Food Sci. Nutr. 2017, 68, 750–756. [Google Scholar] [CrossRef]
- Zamora-Ros, R.; Knaze, V.; Rothwell, J.A.; Hémon, B.; Moskal, A.; Overvad, K.; Tjønneland, A.; Kyrø, C.; Fagherazzi, G.; Boutron-Ruault, M.-C.; et al. Dietary polyphenol intake in Europe: The European Prospective Investigation into Cancer and Nutrition (EPIC) study. Eur. J. Nutr. 2016, 55, 1359–1375. [Google Scholar] [CrossRef]
- Godos, J.; Rapisarda, G.; Marventano, S.; Galvano, F.; Mistretta, A.; Grosso, G. Association between polyphenol intake and adherence to the Mediterranean diet in Sicily, southern Italy. NFS J. 2017, 8, 1–7. [Google Scholar] [CrossRef]
- Fernandes, I.; Pérez-Gregorio, R.; Soares, S.; Mateus, N.; de Freitas, V. Wine flavonoids in health and disease prevention. Molecules 2017, 22, 292. [Google Scholar] [CrossRef]
- Mena, P.; Bresciani, L. Dietary fibre modifies gut microbiota: What’s the role of (poly)phenols? Int. J. Food Sci. Nutr. 2020, 71, 783–784. [Google Scholar] [CrossRef]
- Ray, S.K.; Mukherjee, S. Evolving Interplay Between Dietary Polyphenols and Gut Microbiota-An Emerging Importance in Healthcare. Front. Nutr. 2021, 8, 634944. [Google Scholar] [CrossRef] [PubMed]
- Micek, A.; Godos, J.; Del Rio, D.; Galvano, F.; Grosso, G. Dietary Flavonoids and Cardiovascular Disease: A Comprehensive Dose-Response Meta-Analysis. Mol. Nutr. Food Res. 2021, 65, e2001019. [Google Scholar] [CrossRef] [PubMed]
- Godos, J.; Vitale, M.; Micek, A.; Ray, S.; Martini, D.; Del Rio, D.; Riccardi, G.; Galvano, F.; Grosso, G. Dietary Polyphenol Intake, Blood Pressure, and Hypertension: A Systematic Review and Meta-Analysis of Observational Studies. Antioxidants 2019, 8, 152. [Google Scholar] [CrossRef] [PubMed] [Green Version]
- Godos, J.; Sinatra, D.; Blanco, I.; Mulè, S.; La Verde, M.; Marranzano, M. Association between Dietary Phenolic Acids and Hypertension in a Mediterranean Cohort. Nutrients 2017, 9, 69. [Google Scholar] [CrossRef] [Green Version]
- Miranda, A.M.; Steluti, J.; Fisberg, R.M.; Marchioni, D.M. Association between Coffee Consumption and Its Polyphenols with Cardiovascular Risk Factors: A Population-Based Study. Nutrients 2017, 9, 276. [Google Scholar] [CrossRef] [Green Version]
- Wang, X.; Wang, Y.; Xu, W.; Lan, L.; Li, Y.; Wang, L.; Sun, X.; Yang, C.; Jiang, Y.; Feng, R. Dietary isoflavones intake is inversely associated with non-alcoholic fatty liver disease, hyperlipidaemia and hypertension. Int. J. Food Sci. Nutr. 2021, 73, 60–70. [Google Scholar] [CrossRef]
- Godos, J.; Bergante, S.; Satriano, A.; Pluchinotta, F.R.; Marranzano, M. Dietary Phytoestrogen Intake is Inversely Associated with Hypertension in a Cohort of Adults Living in the Mediterranean Area. Molecules 2018, 23, 368. [Google Scholar] [CrossRef] [Green Version]
- Schwingshackl, L.; Schwedhelm, C.; Hoffmann, G.; Knüppel, S.; Iqbal, K.; Andriolo, V.; Bechthold, A.; Schlesinger, S.; Boeing, H. Food Groups and Risk of Hypertension: A Systematic Review and Dose-Response Meta-Analysis of Prospective Studies. Adv. Nutr. 2017, 8, 793–803. [Google Scholar] [CrossRef]
- Angelino, D.; Godos, J.; Ghelfi, F.; Tieri, M.; Titta, L.; Lafranconi, A.; Marventano, S.; Alonzo, E.; Gambera, A.; Sciacca, S.; et al. Fruit and vegetable consumption and health outcomes: An umbrella review of observational studies. Int. J. Food Sci. Nutr. 2019, 70, 652–667. [Google Scholar] [CrossRef]
- Tieri, M.; Ghelfi, F.; Vitale, M.; Vetrani, C.; Marventano, S.; Lafranconi, A.; Godos, J.; Titta, L.; Gambera, A.; Alonzo, E.; et al. Whole grain consumption and human health: An umbrella review of observational studies. Int. J. Food Sci. Nutr. 2020, 71, 668–677. [Google Scholar] [CrossRef]
- Martini, D.; Godos, J.; Marventano, S.; Tieri, M.; Ghelfi, F.; Titta, L.; Lafranconi, A.; Trigueiro, H.; Gambera, A.; Alonzo, E.; et al. Nut and legume consumption and human health: An umbrella review of observational studies. Int. J. Food Sci. Nutr. 2021, 72, 871–878. [Google Scholar] [CrossRef] [PubMed]
- Viguiliouk, E.; Glenn, A.J.; Nishi, S.K.; Chiavaroli, L.; Seider, M.; Khan, T.; Bonaccio, M.; Iacoviello, L.; Mejia, S.B.; Jenkins, D.J.A.; et al. Associations between Dietary Pulses Alone or with Other Legumes and Cardiometabolic Disease Outcomes: An Umbrella Review and Updated Systematic Review and Meta-analysis of Prospective Cohort Studies. Adv. Nutr. 2019, 10, S308–S319. [Google Scholar] [CrossRef]
- Li, B.; Li, F.; Wang, L.; Zhang, D. Fruit and Vegetables Consumption and Risk of Hypertension: A Meta-Analysis. J. Clin. Hypertens. 2016, 18, 468–476. [Google Scholar] [CrossRef] [PubMed]
- Wu, L.; Sun, D.; He, Y. Fruit and vegetables consumption and incident hypertension: Dose-response meta-analysis of prospective cohort studies. J. Hum. Hypertens. 2016, 30, 573–580. [Google Scholar] [CrossRef] [PubMed]
- Grosso, G.; Micek, A.; Godos, J.; Pajak, A.; Sciacca, S.; Bes-Rastrollo, M.; Galvano, F.; Martinez-Gonzalez, M.A. Long-Term Coffee Consumption Is Associated with Decreased Incidence of New-Onset Hypertension: A Dose-Response Meta-Analysis. Nutrients 2017, 9, 890. [Google Scholar] [CrossRef] [PubMed]
- Mohammadi, M.; Ramezani-Jolfaie, N.; Lorzadeh, E.; Khoshbakht, Y.; Salehi-Abargouei, A. Hesperidin, a major flavonoid in orange juice, might not affect lipid profile and blood pressure: A systematic review and meta-analysis of randomized controlled clinical trials. Phytother. Res. 2019, 33, 534–545. [Google Scholar] [CrossRef] [PubMed]
- Hemati, N.; Asis, M.; Moradi, S.; Mollica, A.; Stefanucci, A.; Nikfar, S.; Mohammadi, E.; Farzaei, M.H.; Abdollahi, M. Effects of genistein on blood pressure: A systematic review and meta-analysis. Food Res. Int. 2020, 128, 108764. [Google Scholar] [CrossRef] [PubMed]
- Fogacci, F.; Tocci, G.; Presta, V.; Fratter, A.; Borghi, C.; Cicero, A.F.G. Effect of resveratrol on blood pressure: A systematic review and meta-analysis of randomized, controlled, clinical trials. Crit. Rev. Food Sci. Nutr. 2019, 59, 1605–1618. [Google Scholar] [CrossRef]
- Akbari, M.; Tamtaji, O.R.; Lankarani, K.B.; Tabrizi, R.; Dadgostar, E.; Kolahdooz, F.; Jamilian, M.; Mirzaei, H.; Asemi, Z. The Effects of Resveratrol Supplementation on Endothelial Function and Blood Pressures Among Patients with Metabolic Syndrome and Related Disorders: A Systematic Review and Meta-Analysis of Randomized Controlled Trials. High Blood Press. Cardiovasc. Prev. 2019, 26, 305–319. [Google Scholar] [CrossRef]
- Nyambuya, T.M.; Nkambule, B.B.; Mazibuko-Mbeje, S.E.; Mxinwa, V.; Mokgalaboni, K.; Orlando, P.; Silvestri, S.; Louw, J.; Tiano, L.; Dludla, P.V. A Meta-Analysis of the Impact of Resveratrol Supplementation on Markers of Renal Function and Blood Pressure in Type 2 Diabetic Patients on Hypoglycemic Therapy. Molecules 2020, 25, 5645. [Google Scholar] [CrossRef]
- Huang, H.; Liao, D.; Dong, Y.; Pu, R. Effect of quercetin supplementation on plasma lipid profiles, blood pressure, and glucose levels: A systematic review and meta-analysis. Nutr. Rev. 2020, 78, 615–626. [Google Scholar] [CrossRef] [PubMed] [Green Version]
- Tamtaji, O.R.; Milajerdi, A.; Dadgostar, E.; Kolahdooz, F.; Chamani, M.; Amirani, E.; Mirzaei, H.; Asemi, Z. The Effects of Quercetin Supplementation on Blood Pressures and Endothelial Function Among Patients with Metabolic Syndrome and Related Disorders: A Systematic Review and Meta-analysis of Randomized Controlled Trials. Curr. Pharm. Des. 2019, 25, 1372–1384. [Google Scholar] [CrossRef] [PubMed]
- Raman, G.; Avendano, E.E.; Chen, S.; Wang, J.; Matson, J.; Gayer, B.; Novotny, J.A.; Cassidy, A. Dietary intakes of flavan-3-ols and cardiometabolic health: Systematic review and meta-analysis of randomized trials and prospective cohort studies. Am. J. Clin. Nutr. 2019, 110, 1067–1078. [Google Scholar] [CrossRef] [Green Version]
- Onakpoya, I.J.; Spencer, E.A.; Thompson, M.J.; Heneghan, C.J. The effect of chlorogenic acid on blood pressure: A systematic review and meta-analysis of randomized clinical trials. J. Hum. Hypertens. 2015, 29, 77–81. [Google Scholar] [CrossRef] [PubMed]
- Ellwood, L.; Torun, G.; Bahar, Z.; Fernandez, R. Effects of flavonoid-rich fruits on hypertension in adults: A systematic review. JBI Database Syst. Rev. Implement. Rep. 2019, 17, 2075–2105. [Google Scholar] [CrossRef] [PubMed]
- Luís, Â.; Domingues, F.; Pereira, L. Association between berries intake and cardiovascular diseases risk factors: A systematic review with meta-analysis and trial sequential analysis of randomized controlled trials. Food Funct. 2018, 9, 740–757. [Google Scholar] [CrossRef] [PubMed]
- García-Conesa, M.-T.; Chambers, K.; Combet, E.; Pinto, P.; Garcia-Aloy, M.; Andrés-Lacueva, C.; de Pascual-Teresa, S.; Mena, P.; Konic Ristic, A.; Hollands, W.J.; et al. Meta-Analysis of the Effects of Foods and Derived Products Containing Ellagitannins and Anthocyanins on Cardiometabolic Biomarkers: Analysis of Factors Influencing Variability of the Individual Responses. Int. J. Mol. Sci. 2018, 19, 694. [Google Scholar] [CrossRef] [Green Version]
- Wang, Y.; Gallegos, J.L.; Haskell-Ramsay, C.; Lodge, J.K. Effects of chronic consumption of specific fruit (berries, citrus and cherries) on CVD risk factors: A systematic review and meta-analysis of randomised controlled trials. Eur. J. Nutr. 2021, 60, 615–639. [Google Scholar] [CrossRef]
- Hadi, A.; Askarpour, M.; Miraghajani, M.; Symonds, M.E.; Sheikhi, A.; Ghaedi, E. Effects of strawberry supplementation on cardiovascular risk factors: A comprehensive systematic review and meta-analysis of randomized controlled trials. Food Funct. 2019, 10, 6987–6998. [Google Scholar] [CrossRef]
- Hawkins, J.; Hires, C.; Baker, C.; Keenan, L.; Bush, M. Daily supplementation with aronia melanocarpa (chokeberry) reduces blood pressure and cholesterol: A meta analysis of controlled clinical trials. J. Diet. Suppl. 2020, 18, 517–530. [Google Scholar] [CrossRef]
- D’Elia, L.; Dinu, M.; Sofi, F.; Volpe, M.; Strazzullo, P.; SINU Working Group. Endorsed by SIPREC 100% Fruit juice intake and cardiovascular risk: A systematic review and meta-analysis of prospective and randomised controlled studies. Eur. J. Nutr. 2020, 60, 2449–2467. [Google Scholar] [CrossRef] [PubMed]
- Sahebkar, A.; Ferri, C.; Giorgini, P.; Bo, S.; Nachtigal, P.; Grassi, D. Effects of pomegranate juice on blood pressure: A systematic review and meta-analysis of randomized controlled trials. Pharmacol. Res. 2017, 115, 149–161. [Google Scholar] [CrossRef] [PubMed]
- Bahadoran, Z.; Mirmiran, P.; Kabir, A.; Azizi, F.; Ghasemi, A. The Nitrate-Independent Blood Pressure-Lowering Effect of Beetroot Juice: A Systematic Review and Meta-Analysis. Adv. Nutr. 2017, 8, 830–838. [Google Scholar] [CrossRef]
- Wan, Q.; Li, N.; Du, L.; Zhao, R.; Yi, M.; Xu, Q.; Zhou, Y. Allium vegetable consumption and health: An umbrella review of meta-analyses of multiple health outcomes. Food Sci. Nutr. 2019, 7, 2451–2470. [Google Scholar] [CrossRef]
- Hadi, A.; Pourmasoumi, M.; Ghaedi, E.; Sahebkar, A. The effect of Curcumin/Turmeric on blood pressure modulation: A systematic review and meta-analysis. Pharmacol. Res. 2019, 150, 104505. [Google Scholar] [CrossRef]
- Kelly, S.A.; Hartley, L.; Loveman, E.; Colquitt, J.L.; Jones, H.M.; Al-Khudairy, L.; Clar, C.; Germanò, R.; Lunn, H.R.; Frost, G.; et al. Whole grain cereals for the primary or secondary prevention of cardiovascular disease. Cochrane Database Syst. Rev. 2017, 8, CD005051. [Google Scholar] [CrossRef] [Green Version]
- Mosallanezhad, Z.; Mahmoodi, M.; Ranjbar, S.; Hosseini, R.; Clark, C.C.T.; Carson-Chahhoud, K.; Norouzi, Z.; Abbasian, A.; Sohrabi, Z.; Jalali, M. Soy intake is associated with lowering blood pressure in adults: A systematic review and meta-analysis of randomized double-blind placebo-controlled trials. Complement. Ther. Med. 2021, 59, 102692. [Google Scholar] [CrossRef]
- Del Gobbo, L.C.; Falk, M.C.; Feldman, R.; Lewis, K.; Mozaffarian, D. Effects of tree nuts on blood lipids, apolipoproteins, and blood pressure: Systematic review, meta-analysis, and dose-response of 61 controlled intervention trials. Am. J. Clin. Nutr. 2015, 102, 1347–1356. [Google Scholar] [CrossRef] [Green Version]
- Guasch-Ferré, M.; Li, J.; Hu, F.B.; Salas-Salvadó, J.; Tobias, D.K. Effects of walnut consumption on blood lipids and other cardiovascular risk factors: An updated meta-analysis and systematic review of controlled trials. Am. J. Clin. Nutr. 2018, 108, 174–187. [Google Scholar] [CrossRef] [Green Version]
- Jafari Azad, B.; Daneshzad, E.; Azadbakht, L. Peanut and cardiovascular disease risk factors: A systematic review and meta-analysis. Crit. Rev. Food Sci. Nutr. 2020, 60, 1123–1140. [Google Scholar] [CrossRef]
- Eslampour, E.; Asbaghi, O.; Hadi, A.; Abedi, S.; Ghaedi, E.; Lazaridi, A.-V.; Miraghajani, M. The effect of almond intake on blood pressure: A systematic review and meta-analysis of randomized controlled trials. Complement. Ther. Med. 2020, 50, 102399. [Google Scholar] [CrossRef] [PubMed]
- Asbaghi, O.; Hadi, A.; Campbell, M.S.; Venkatakrishnan, K.; Ghaedi, E. Effects of pistachios on anthropometric indices, inflammatory markers, endothelial function and blood pressure in adults: A systematic review and meta-analysis of randomised controlled trials. Br. J. Nutr. 2020, 126, 718–729. [Google Scholar] [CrossRef] [PubMed]
- Jalali, M.; Karamizadeh, M.; Ferns, G.A.; Zare, M.; Moosavian, S.P.; Akbarzadeh, M. The effects of cashew nut intake on lipid profile and blood pressure: A systematic review and meta-analysis of randomized controlled trials. Complement. Ther. Med. 2020, 50, 102387. [Google Scholar] [CrossRef] [PubMed]
- Ried, K.; Fakler, P.; Stocks, N.P. Effect of cocoa on blood pressure. Cochrane Database Syst. Rev. 2017, 4, CD008893. [Google Scholar] [CrossRef]
- Jafarnejad, S.; Salek, M.; Clark, C.C.T. Cocoa Consumption and Blood Pressure in Middle-Aged and Elderly Subjects: A Meta-Analysis. Curr. Hypertens. Rep. 2020, 22, 1. [Google Scholar] [CrossRef]
- Sun, Y.; Zimmermann, D.; De Castro, C.A.; Actis-Goretta, L. Dose-response relationship between cocoa flavanols and human endothelial function: A systematic review and meta-analysis of randomized trials. Food Funct. 2019, 10, 6322–6330. [Google Scholar] [CrossRef] [Green Version]
- Han, B.; Nazary-Vannani, A.; Talaei, S.; Clark, C.C.T.; Rahmani, J.; Rasekhmagham, R.; Kord-Varkaneh, H. The effect of green coffee extract supplementation on blood pressure: A systematic review and meta-analysis of randomized controlled trials. Phytother. Res. 2019, 33, 2918–2926. [Google Scholar] [CrossRef]
- Ma, C.; Zheng, X.; Yang, Y.; Bu, P. The effect of black tea supplementation on blood pressure: A systematic review and dose-response meta-analysis of randomized controlled trials. Food Funct. 2021, 12, 41–56. [Google Scholar] [CrossRef]
- Xu, R.; Yang, K.; Ding, J.; Chen, G. Effect of green tea supplementation on blood pressure: A systematic review and meta-analysis of randomized controlled trials. Medicine 2020, 99, e19047. [Google Scholar] [CrossRef]
- Mahdavi-Roshan, M.; Salari, A.; Ghorbani, Z.; Ashouri, A. The effects of regular consumption of green or black tea beverage on blood pressure in those with elevated blood pressure or hypertension: A systematic review and meta-analysis. Complement. Ther. Med. 2020, 51, 102430. [Google Scholar] [CrossRef]
- Hasani, H.; Arab, A.; Hadi, A.; Pourmasoumi, M.; Ghavami, A.; Miraghajani, M. Does ginger supplementation lower blood pressure? A systematic review and meta-analysis of clinical trials. Phytother. Res. 2019, 33, 1639–1647. [Google Scholar] [CrossRef] [PubMed]
- George, E.S.; Marshall, S.; Mayr, H.L.; Trakman, G.L.; Tatucu-Babet, O.A.; Lassemillante, A.-C.M.; Bramley, A.; Reddy, A.J.; Forsyth, A.; Tierney, A.C.; et al. The effect of high-polyphenol extra virgin olive oil on cardiovascular risk factors: A systematic review and meta-analysis. Crit. Rev. Food Sci. Nutr. 2019, 59, 2772–2795. [Google Scholar] [CrossRef] [PubMed]
- Steven, S.; Frenis, K.; Oelze, M.; Kalinovic, S.; Kuntic, M.; Bayo Jimenez, M.T.; Vujacic-Mirski, K.; Helmstädter, J.; Kröller-Schön, S.; Münzel, T.; et al. Vascular inflammation and oxidative stress: Major triggers for cardiovascular disease. Oxid. Med. Cell. Longev. 2019, 2019, 7092151. [Google Scholar] [CrossRef] [PubMed] [Green Version]
- Yamagata, K. Polyphenols regulate endothelial functions and reduce the risk of cardiovascular disease. Curr. Pharm. Des. 2019, 25, 2443–2458. [Google Scholar] [CrossRef] [PubMed]
- Neyrinck, A.M.; Catry, E.; Taminiau, B.; Cani, P.D.; Bindels, L.B.; Daube, G.; Dessy, C.; Delzenne, N.M. Chitin-glucan and pomegranate polyphenols improve endothelial dysfunction. Sci. Rep. 2019, 9, 14150. [Google Scholar] [CrossRef] [PubMed] [Green Version]
- Lee, G.-H.; Hoang, T.-H.; Jung, E.-S.; Jung, S.-J.; Chae, S.-W.; Chae, H.-J. Mulberry Extract Attenuates Endothelial Dysfunction through the Regulation of Uncoupling Endothelial Nitric Oxide Synthase in High Fat Diet Rats. Nutrients 2019, 11, 978. [Google Scholar] [CrossRef] [Green Version]
- Mozos, I.; Flangea, C.; Vlad, D.C.; Gug, C.; Mozos, C.; Stoian, D.; Luca, C.T.; Horbańczuk, J.O.; Horbańczuk, O.K.; Atanasov, A.G. Effects of anthocyanins on vascular health. Biomolecules 2021, 11, 811. [Google Scholar] [CrossRef]
- Pengnet, S.; Prommaouan, S.; Sumarithum, P.; Malakul, W. Naringin Reverses High-Cholesterol Diet-Induced Vascular Dysfunction and Oxidative Stress in Rats via Regulating LOX-1 and NADPH Oxidase Subunit Expression. BioMed Res. Int. 2019, 2019, 3708497. [Google Scholar] [CrossRef] [Green Version]
- Garate-Carrillo, A.; Navarrete-Yañez, V.; Ortiz-Vilchis, P.; Guevara, G.; Castillo, C.; Mendoza-Lorenzo, P.; Ceballos, G.; Ortiz-Flores, M.; Najera, N.; Bustamante-Pozo, M.M.; et al. Arginase inhibition by (-)-Epicatechin reverses endothelial cell aging. Eur. J. Pharmacol. 2020, 885, 173442. [Google Scholar] [CrossRef]
- Tettey, C.O.; Yang, I.-J.; Shin, H.-M. Vasodilatory effect of kaempferol-7-O-α-L-rhamnopyranoside via NO-cGMP-PKG signaling. Arch. Biochem. Biophys. 2019, 667, 1–5. [Google Scholar] [CrossRef]
- Domae, C.; Nanba, F.; Maruo, T.; Suzuki, T.; Ashida, H.; Yamashita, Y. Black soybean seed coat polyphenols promote nitric oxide production in the aorta through glucagon-like peptide-1 secretion from the intestinal cells. Food Funct. 2019, 10, 7875–7882. [Google Scholar] [CrossRef] [PubMed]
- Li, J.; Zhong, Z.; Yuan, J.; Chen, X.; Huang, Z.; Wu, Z. Resveratrol improves endothelial dysfunction and attenuates atherogenesis in apolipoprotein E-deficient mice. J. Nutr. Biochem. 2019, 67, 63–71. [Google Scholar] [CrossRef] [PubMed]
- Tasatargil, A.; Tanriover, G.; Barutcigil, A.; Turkmen, E. Protective effect of resveratrol on methylglyoxal-induced endothelial dysfunction in aged rats. Aging Clin. Exp. Res. 2019, 31, 331–338. [Google Scholar] [CrossRef] [PubMed]
- de Alencar Silva, A.; Pereira-de-Morais, L.; Rodrigues da Silva, R.E.; de Menezes Dantas, D.; Brito Milfont, C.G.; Gomes, M.F.; Araújo, I.M.; Kerntopf, M.R.; Alencar de Menezes, I.R.; Barbosa, R. Pharmacological screening of the phenolic compound caffeic acid using rat aorta, uterus and ileum smooth muscle. Chem. Biol. Interact. 2020, 332, 109269. [Google Scholar] [CrossRef] [PubMed]
- Mahobiya, A.; Singh, T.U.; Rungsung, S.; Kumar, T.; Chandrasekaran, G.; Parida, S.; Kumar, D. Kaempferol-induces vasorelaxation via endothelium-independent pathways in rat isolated pulmonary artery. Pharmacol. Rep. 2018, 70, 863–874. [Google Scholar] [CrossRef]
- Yuan, T.-Y.; Niu, Z.-R.; Chen, D.; Chen, Y.-C.; Zhang, H.-F.; Fang, L.-H.; Du, G.-H. Vasorelaxant effect of quercetin on cerebral basilar artery in vitro and the underlying mechanisms study. J. Asian Nat. Prod. Res. 2018, 20, 477–487. [Google Scholar] [CrossRef]
- Li, W.; Dong, M.; Guo, P.; Liu, Y.; Jing, Y.; Chen, R.; Zhang, M. Luteolin-induced coronary arterial relaxation involves activation of the myocyte voltage-gated K+ channels and inward rectifier K+ channels. Life Sci. 2019, 221, 233–240. [Google Scholar] [CrossRef]
- Migkos, T.; Pourová, J.; Vopršalová, M.; Auger, C.; Schini-Kerth, V.; Mladěnka, P. Biochanin A, the Most Potent of 16 Isoflavones, Induces Relaxation of the Coronary Artery Through the Calcium Channel and cGMP-dependent Pathway. Planta Med. 2020, 86, 708–716. [Google Scholar] [CrossRef]
- Silva, H.; Lopes, N.M.F. Cardiovascular effects of caffeic acid and its derivatives: A comprehensive review. Front. Physiol. 2020, 11, 595516. [Google Scholar] [CrossRef]
- Tan, C.S.; Loh, Y.C.; Tew, W.Y.; Yam, M.F. Vasorelaxant effect of 3,5,4′-trihydroxy-trans-stilbene (resveratrol) and its underlying mechanism. Inflammopharmacology 2020, 28, 869–875. [Google Scholar] [CrossRef]
- Sack, M.N.; Fyhrquist, F.Y.; Saijonmaa, O.J.; Fuster, V.; Kovacic, J.C. Basic Biology of Oxidative Stress and the Cardiovascular System: Part 1 of a 3-Part Series. J. Am. Coll. Cardiol. 2017, 70, 196–211. [Google Scholar] [CrossRef] [PubMed]
- Forni, C.; Facchiano, F.; Bartoli, M.; Pieretti, S.; Facchiano, A.; D’Arcangelo, D.; Norelli, S.; Valle, G.; Nisini, R.; Beninati, S.; et al. Beneficial Role of Phytochemicals on Oxidative Stress and Age-Related Diseases. BioMed Res. Int. 2019, 2019, 8748253. [Google Scholar] [CrossRef] [PubMed] [Green Version]
- Ciumărnean, L.; Milaciu, M.V.; Runcan, O.; Vesa, Ș.C.; Răchișan, A.L.; Negrean, V.; Perné, M.-G.; Donca, V.I.; Alexescu, T.-G.; Para, I.; et al. The effects of flavonoids in cardiovascular diseases. Molecules 2020, 25, 4320. [Google Scholar] [CrossRef] [PubMed]
- Mahmoud, A.M.; Hernández Bautista, R.J.; Sandhu, M.A.; Hussein, O.E. Beneficial effects of citrus flavonoids on cardiovascular and metabolic health. Oxid. Med. Cell. Longev. 2019, 2019, 5484138. [Google Scholar] [CrossRef] [PubMed] [Green Version]
- Keller, A.; Hull, S.E.; Elajaili, H.; Johnston, A.; Knaub, L.A.; Chun, J.H.; Walker, L.; Nozik-Grayck, E.; Reusch, J.E.B. (-)-Epicatechin Modulates Mitochondrial Redox in Vascular Cell Models of Oxidative Stress. Oxid. Med. Cell. Longev. 2020, 2020, 6392629. [Google Scholar] [CrossRef] [PubMed]
- Alam, M.A. Anti-hypertensive Effect of Cereal Antioxidant Ferulic Acid and Its Mechanism of Action. Front. Nutr. 2019, 6, 121. [Google Scholar] [CrossRef] [PubMed]
- Chen, X.; Li, H.; Wang, Z.; Zhou, Q.; Chen, S.; Yang, B.; Yin, D.; He, H.; He, M. Quercetin protects the vascular endothelium against iron overload damages via ROS/ADMA/DDAHⅡ/eNOS/NO pathway. Eur. J. Pharmacol. 2020, 868, 172885. [Google Scholar] [CrossRef]
- Zaabalawi, A.; Astley, C.; Renshall, L.; Beards, F.; Lightfoot, A.P.; Degens, H.; Whitehead, D.; Alexander, Y.; Harris, L.K.; Azzawi, M. Tetramethoxystilbene-Loaded Liposomes Restore Reactive-Oxygen-Species-Mediated Attenuation of Dilator Responses in Rat Aortic Vessels Ex vivo. Molecules 2019, 24, 4360. [Google Scholar] [CrossRef] [Green Version]
- Garcia, C.; Blesso, C.N. Antioxidant properties of anthocyanins and their mechanism of action in atherosclerosis. Free Radic. Biol. Med. 2021, 172, 152–166. [Google Scholar] [CrossRef]
- Habtemariam, S. The Nrf2/HO-1 Axis as Targets for Flavanones: Neuroprotection by Pinocembrin, Naringenin, and Eriodictyol. Oxid. Med. Cell. Longev. 2019, 2019, 4724920. [Google Scholar] [CrossRef]
- Baião, D.D.S.; da Silva, D.V.T.; Paschoalin, V.M.F. Beetroot, a remarkable vegetable: Its nitrate and phytochemical contents can be adjusted in novel formulations to benefit health and support cardiovascular disease therapies. Antioxidants 2020, 9, 960. [Google Scholar] [CrossRef] [PubMed]
- Ferrucci, L.; Fabbri, E. Inflammageing: Chronic inflammation in ageing, cardiovascular disease, and frailty. Nat. Rev. Cardiol. 2018, 15, 505–522. [Google Scholar] [CrossRef] [PubMed]
- Nayor, M.; Brown, K.J.; Vasan, R.S. The molecular basis of predicting atherosclerotic cardiovascular disease risk. Circ. Res. 2021, 128, 287–303. [Google Scholar] [CrossRef]
- Markovics, A.; Biró, A.; Kun-Nemes, A.; Fazekas, M.É.; Rácz, A.A.; Paholcsek, M.; Lukács, J.; Stündl, L.; Remenyik, J. Effect of Anthocyanin-Rich Extract of Sour Cherry for Hyperglycemia-Induced Inflammatory Response and Impaired Endothelium-Dependent Vasodilation. Nutrients 2020, 12, 3373. [Google Scholar] [CrossRef] [PubMed]
- Wang, S.; Sarriá, B.; Mateos, R.; Goya, L.; Bravo-Clemente, L. TNF-α-induced oxidative stress and endothelial dysfunction in EA.hy926 cells is prevented by mate and green coffee extracts, 5-caffeoylquinic acid and its microbial metabolite, dihydrocaffeic acid. Int. J. Food Sci. Nutr. 2019, 70, 267–284. [Google Scholar] [CrossRef] [PubMed]
- Sha, W.; Liu, M.; Sun, D.; Qiu, J.; Xu, B.; Chen, L.; Shen, T.; Chen, C.; Wang, H.; Zhang, C.; et al. Resveratrol ameliorated endothelial injury of thoracic aorta in diabetic mice and Gly-LDL-induced HUVECs through inhibiting TLR4/HIF-1α. J. Cell. Mol. Med. 2021, 25, 6258–6270. [Google Scholar] [CrossRef] [PubMed]
- Ali, S.S.; Ahmad, W.A.N.W.; Budin, S.B.; Zainalabidin, S. Implication of dietary phenolic acids on inflammation in cardiovascular disease. Rev. Cardiovasc. Med. 2020, 21, 225–240. [Google Scholar] [CrossRef]
- Ruparelia, N.; Chai, J.T.; Fisher, E.A.; Choudhury, R.P. Inflammatory processes in cardiovascular disease: A route to targeted therapies. Nat. Rev. Cardiol. 2017, 14, 133–144. [Google Scholar] [CrossRef]
- Yamagata, K.; Hashiguchi, K.; Yamamoto, H.; Tagami, M. Dietary Apigenin Reduces Induction of LOX-1 and NLRP3 Expression, Leukocyte Adhesion, and Acetylated Low-Density Lipoprotein Uptake in Human Endothelial Cells Exposed to Trimethylamine-N-Oxide. J. Cardiovasc. Pharmacol. 2019, 74, 558–565. [Google Scholar] [CrossRef]
- Zhang, L.; Wang, X.; Zhang, L.; Virgous, C.; Si, H. Combination of curcumin and luteolin synergistically inhibits TNF-α-induced vascular inflammation in human vascular cells and mice. J. Nutr. Biochem. 2019, 73, 108222. [Google Scholar] [CrossRef]
- Kong, X.; Huo, G.; Liu, S.; Li, F.; Chen, W.; Jiang, D. Luteolin suppresses inflammation through inhibiting cAMP-phosphodiesterases activity and expression of adhesion molecules in microvascular endothelial cells. Inflammopharmacology 2019, 27, 773–780. [Google Scholar] [CrossRef] [PubMed]
- Bian, Y.; Liu, P.; Zhong, J.; Hu, Y.; Zhuang, S.; Fan, K.; Liu, Z. Quercetin attenuates adhesion molecule expression in intestinal microvascular endothelial cells by modulating multiple pathways. Dig. Dis. Sci. 2018, 63, 3297–3304. [Google Scholar] [CrossRef] [PubMed]
- Milenkovic, D.; Declerck, K.; Guttman, Y.; Kerem, Z.; Claude, S.; Weseler, A.R.; Bast, A.; Schroeter, H.; Morand, C.; Vanden Berghe, W. (-)-Epicatechin metabolites promote vascular health through epigenetic reprogramming of endothelial-immune cell signaling and reversing systemic low-grade inflammation. Biochem. Pharmacol. 2020, 173, 113699. [Google Scholar] [CrossRef] [PubMed]
- Zhang, Y.; Liu, H.; Tang, W.; Qiu, Q.; Peng, J. Resveratrol prevents TNF-α-induced VCAM-1 and ICAM-1 upregulation in endothelial progenitor cells via reduction of NF-κB activation. J. Int. Med. Res. 2020, 48, 300060520945131. [Google Scholar] [CrossRef] [PubMed]
- Natsume, M. Polyphenols: Inflammation. Curr. Pharm. Des. 2018, 24, 191–202. [Google Scholar] [CrossRef]
- De Bruyne, T.; Steenput, B.; Roth, L.; De Meyer, G.R.Y.; Santos, C.N.D.; Valentová, K.; Dambrova, M.; Hermans, N. Dietary Polyphenols Targeting Arterial Stiffness: Interplay of Contributing Mechanisms and Gut Microbiome-Related Metabolism. Nutrients 2019, 11, 578. [Google Scholar] [CrossRef] [Green Version]
- Amedei, A.; Morbidelli, L. Circulating Metabolites Originating from Gut Microbiota Control Endothelial Cell Function. Molecules 2019, 24, 3992. [Google Scholar] [CrossRef] [Green Version]
- Janeiro, M.H.; Ramírez, M.J.; Milagro, F.I.; Martínez, J.A.; Solas, M. Implication of Trimethylamine N-Oxide (TMAO) in Disease: Potential Biomarker or New Therapeutic Target. Nutrients 2018, 10, 1398. [Google Scholar] [CrossRef] [Green Version]
- Chen, M.; Yi, L.; Zhang, Y.; Zhou, X.; Ran, L.; Yang, J.; Zhu, J.; Zhang, Q.; Mi, M. Resveratrol Attenuates Trimethylamine-N-Oxide (TMAO)-Induced Atherosclerosis by Regulating TMAO Synthesis and Bile Acid Metabolism via Remodeling of the Gut Microbiota. mBio 2016, 7, e02210-15. [Google Scholar] [CrossRef] [Green Version]
- Annunziata, G.; Maisto, M.; Schisano, C.; Ciampaglia, R.; Narciso, V.; Tenore, G.C.; Novellino, E. Effects of Grape Pomace Polyphenolic Extract (Taurisolo®) in Reducing TMAO Serum Levels in Humans: Preliminary Results from a Randomized, Placebo-Controlled, Cross-Over Study. Nutrients 2019, 11, 139. [Google Scholar] [CrossRef] [Green Version]
- Liu, S.; He, F.; Zheng, T.; Wan, S.; Chen, J.; Yang, F.; Xu, X.; Pei, X. Ligustrum Robustum Alleviates Atherosclerosis by Decreasing Serum TMAO, Modulating Gut Microbiota and Decreasing Bile acid and Cholesterol Absorption in Mice. Mol. Nutr. Food Res. 2021, 65, e2100014. [Google Scholar] [CrossRef] [PubMed]
- Verhaar, B.J.H.; Prodan, A.; Nieuwdorp, M.; Muller, M. Gut microbiota in hypertension and atherosclerosis: A review. Nutrients 2020, 12, 2982. [Google Scholar] [CrossRef] [PubMed]
- Chen, Q.; Wang, B.; Wang, S.; Qian, X.; Li, X.; Zhao, J.; Zhang, H.; Chen, W.; Wang, G. Modulation of the Gut Microbiota Structure with Probiotics and Isoflavone Alleviates Metabolic Disorder in Ovariectomized Mice. Nutrients 2021, 13, 1793. [Google Scholar] [CrossRef] [PubMed]
- Liu, X.; Martin, D.A.; Valdez, J.C.; Sudakaran, S.; Rey, F.; Bolling, B.W. Aronia berry polyphenols have matrix-dependent effects on the gut microbiota. Food Chem. 2021, 359, 129831. [Google Scholar] [CrossRef]
- Li, J.; Chen, C.; Yang, H.; Yang, X. Tea polyphenols regulate gut microbiota dysbiosis induced by antibiotic in mice. Food Res. Int. 2021, 141, 110153. [Google Scholar] [CrossRef]
Publisher’s Note: MDPI stays neutral with regard to jurisdictional claims in published maps and institutional affiliations. |
© 2022 by the authors. Licensee MDPI, Basel, Switzerland. This article is an open access article distributed under the terms and conditions of the Creative Commons Attribution (CC BY) license (https://creativecommons.org/licenses/by/4.0/).


