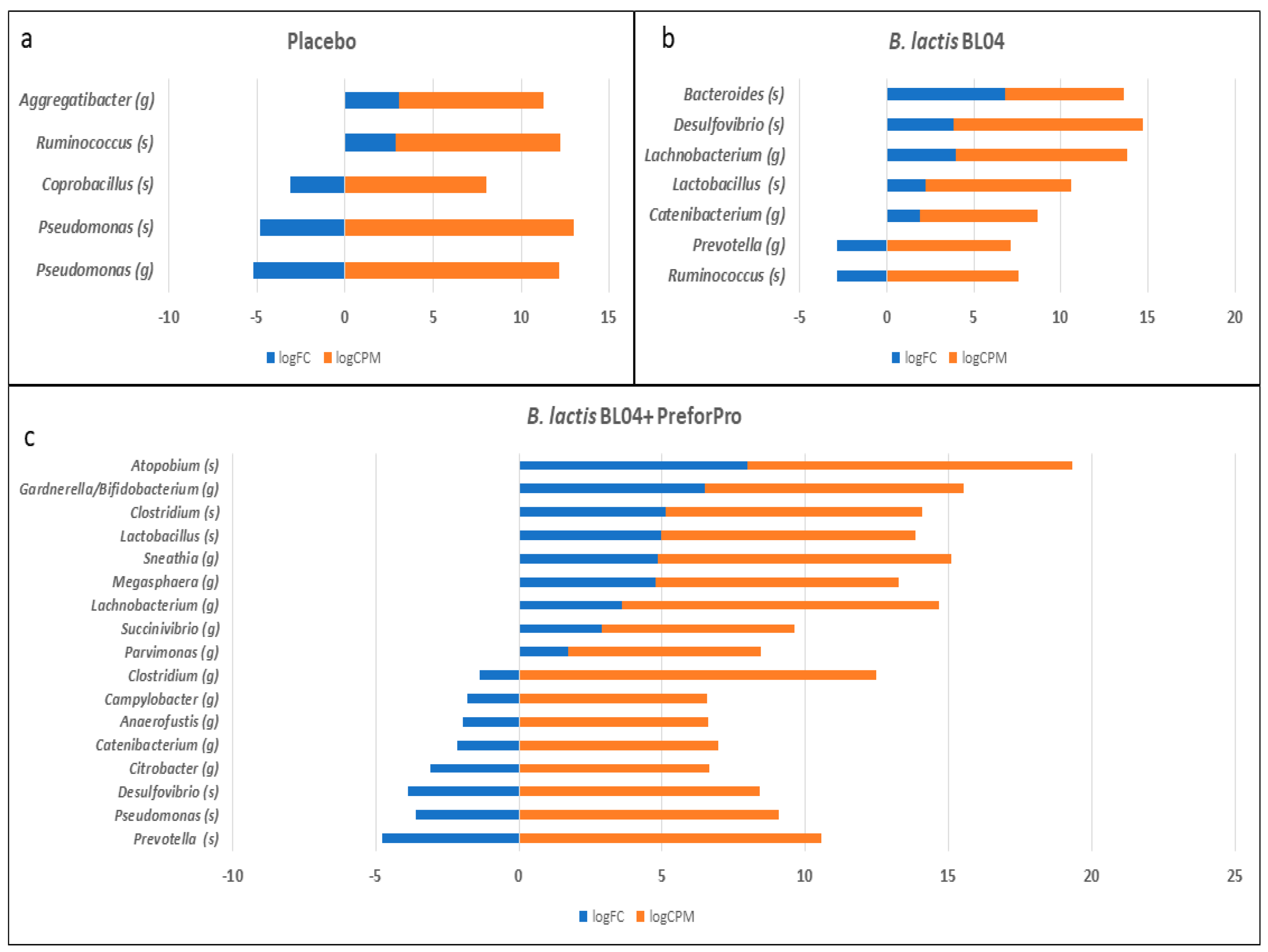
PHAGE-2 Study: Supplemental Bacteriophages Extend Bifidobacterium animalis subsp. lactis BL04 Benefits on Gut Health and Microbiota in Healthy Adults
- Supplementary File 1:
ZIP-Document (ZIP, 204 KiB)
Grubb, D.S.; Wrigley, S.D.; Freedman, K.E.; Wei, Y.; Vazquez, A.R.; Trotter, R.E.; Wallace, T.C.; Johnson, S.A.; Weir, T.L. PHAGE-2 Study: Supplemental Bacteriophages Extend Bifidobacterium animalis subsp. lactis BL04 Benefits on Gut Health and Microbiota in Healthy Adults. Nutrients 2020, 12, 2474. https://doi.org/10.3390/nu12082474
Grubb DS, Wrigley SD, Freedman KE, Wei Y, Vazquez AR, Trotter RE, Wallace TC, Johnson SA, Weir TL. PHAGE-2 Study: Supplemental Bacteriophages Extend Bifidobacterium animalis subsp. lactis BL04 Benefits on Gut Health and Microbiota in Healthy Adults. Nutrients. 2020; 12(8):2474. https://doi.org/10.3390/nu12082474
Chicago/Turabian StyleGrubb, Diana S., Scott D. Wrigley, Kimberley E. Freedman, Yuren Wei, Allegra R. Vazquez, Roxanne E. Trotter, Taylor C. Wallace, Sarah A. Johnson, and Tiffany L. Weir. 2020. "PHAGE-2 Study: Supplemental Bacteriophages Extend Bifidobacterium animalis subsp. lactis BL04 Benefits on Gut Health and Microbiota in Healthy Adults" Nutrients 12, no. 8: 2474. https://doi.org/10.3390/nu12082474


