The Color Nutrition Information Paradox: Effects of Suggested Sugar Content on Food Cue Reactivity in Healthy Young Women
Abstract
1. Introduction
2. Materials and Methods
2.1. Sample
2.1.1. Sample Experiment 1
2.1.2. Sample Experiment 2
2.2. Stimuli and Design Experiment 1
2.3. Procedure Experiment 1
2.4. Questionnaires Experiment 1
2.5. Eye Movement Recording and Analysis Experiment 1
2.6. Stimuli and Design Experiment 2
2.7. Procedure Experiment 2
2.8. Statistical Analysis
3. Results
3.1. Results Experiment 1
3.1.1. Questionnaire Data
3.1.2. Appetite and General Liking of Presented Food Images
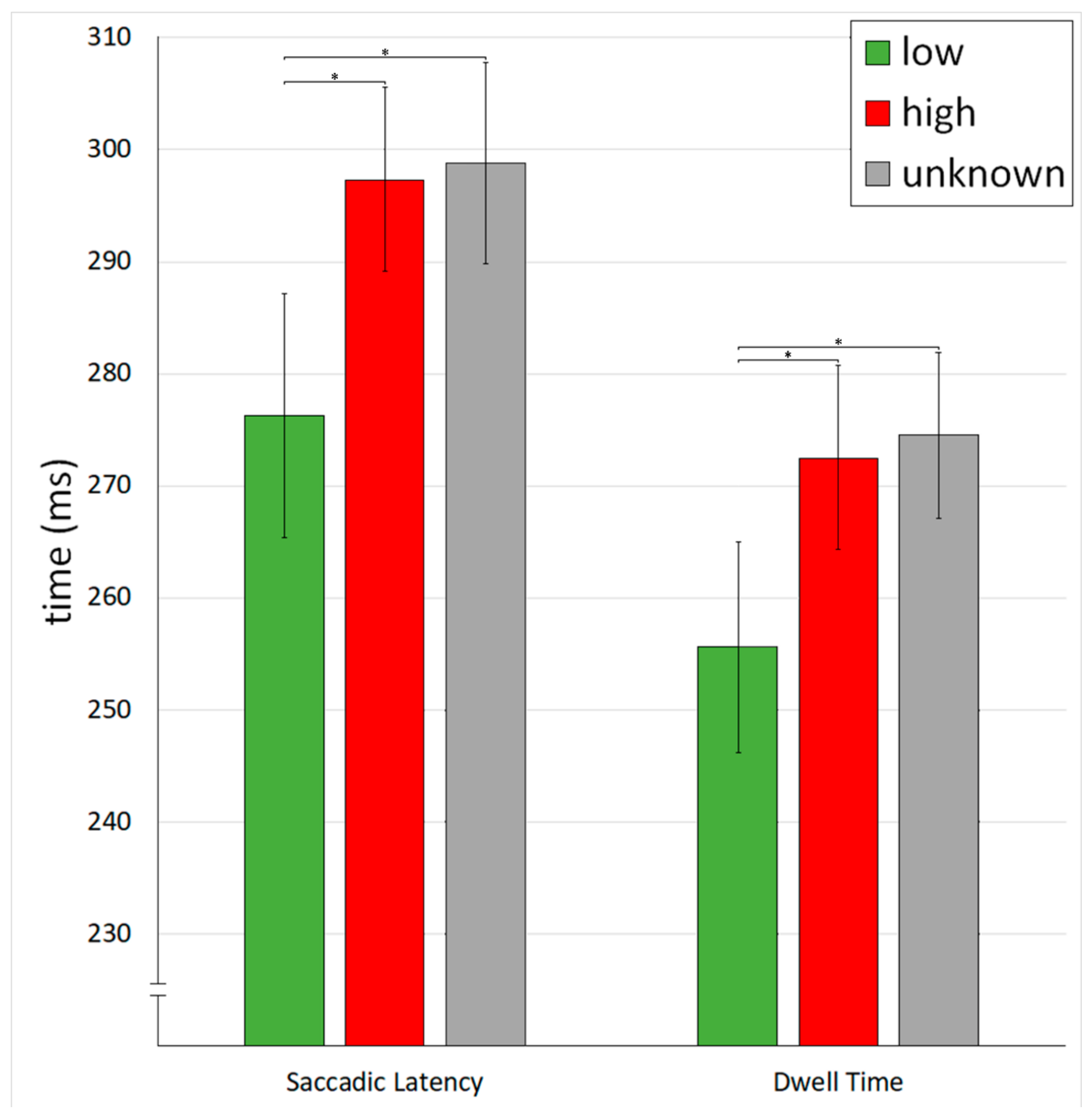
3.1.3. Eye Movements
3.1.4. Exploratory Analysis
3.2. Results Experiment 2
4. Discussion
Author Contributions
Funding
Acknowledgments
Conflicts of Interest
References
- Nummenmaa, L.; Hietanen, J.K.; Calvo, M.G.; Hyönä, J. Food catches the eye but not for everyone: A BMI-contingent attentional bias in rapid detection of nutriments. PLoS ONE 2011, 6, e19215. [Google Scholar] [CrossRef] [PubMed]
- Castellanos, E.H.; Charboneau, E.; Dietrich, M.S.; Park, S.; Bradley, B.P.; Mogg, K.; Cowan, R.L. Obese adults have visual attention bias for food cue images: Evidence for altered reward system function. Int. J. Obes. 2009, 33, 1063–1073. [Google Scholar] [CrossRef] [PubMed]
- Sarlo, M.; Ubel, S.; Leutgeb, V.; Schienle, A. Cognitive reappraisal fails when attempting to reduce the appetitive value of food: An ERP study. Biol. Psychol. 2013, 94, 507–512. [Google Scholar] [CrossRef] [PubMed]
- Van der Laan, L.N.; De Ridder, D.T.D.; Viergever, M.A.; Smeets, P.A.M. The first taste is always with the eyes: A meta-analysis on the neural correlates of processing visual food cues. Neuroimage 2011, 55, 296–303. [Google Scholar] [CrossRef]
- Doolan, K.J.; Breslin, G.; Hanna, D.; Murphy, K.; Gallagher, A.M. Visual attention to food cues in obesity: An eye-tracking study. Obesity (Silver Spring) 2014, 22, 2501–2507. [Google Scholar] [CrossRef]
- Toepel, U.; Knebel, J.-F.; Hudry, J.; Le Coutre, J.; Murray, M.M. The brain tracks the energetic value in food images. Neuroimage 2009, 44, 967–974. [Google Scholar] [CrossRef]
- Boswell, R.G.; Kober, H. Food cue reactivity and craving predict eating and weight gain: A meta-analytic review. Obes. Rev. 2016, 17, 159–177. [Google Scholar] [CrossRef]
- Yegiyan, N.S.; Bailey, R.L. Food as risk: How eating habits and food knowledge affect reactivity to pictures of junk and healthy foods. Health Commun. 2016, 31, 635–642. [Google Scholar] [CrossRef]
- Dallongeville, J.; Marécaux, N.; Cottel, D.; Bingham, A.; Amouyel, P. Association between nutrition knowledge and nutritional intake in middle-aged men from Northern France. Public Health Nutr. 2001, 4, 27–33. [Google Scholar] [CrossRef]
- Fonseca, L.G.; Bertolin, M.N.T.; Gubert, M.B.; da Silva, E.F. Effects of a nutritional intervention using pictorial representations for promoting knowledge and practices of healthy eating among Brazilian adolescents. PLoS ONE 2019, 14, e0213277. [Google Scholar] [CrossRef]
- Handu, D.J.; Monty, C.E.; Chmel, L.M. Nutrition education improved nutrition knowledge, behavior, and intention among youth in Chicago public schools. J. Am. Diet. Assoc. 2008, 108, A91. [Google Scholar] [CrossRef]
- Klohe-Lehman, D.M.; Freeland-Graves, J.; Anderson, E.R.; McDowell, T.; Clarke, K.K.; Hanss-Nuss, H.; Cai, G.; Puri, D.; Milani, T.J. Nutrition knowledge is associated with greater weight loss in obese and overweight low-income mothers. J. Am. Diet. Assoc. 2006, 106, 65–75. [Google Scholar] [CrossRef] [PubMed]
- Lee, J.W.; Lee, H.S.; Chang, N.; Kim, J.-M. The relationship between nutrition knowledge scores and dietary behavior, dietary intakes and anthropometric parameters among primary school children participating in a nutrition education program. Korean J. Nutr. 2009, 42, 338–349. [Google Scholar] [CrossRef][Green Version]
- Wardle, J.; Parmenter, K.; Waller, J. Nutrition knowledge and food intake. Appetite 2000, 34, 269–275. [Google Scholar] [CrossRef]
- Langlois, K.; Garriguet, D. Sugar consumption among Canadians of all ages. Health Rep. 2011, 22, 23–27. [Google Scholar]
- Lustig, R.H.; Schmidt, L.A.; Brindis, C.D. The toxic truth about sugar. Nature 2012, 482, 27–29. [Google Scholar] [CrossRef]
- Nelson, M.C.; Lytle, L.A.; Pasch, K.E. Improving literacy about energy-related issues: The need for a better understanding of the concepts behind energy intake and expenditure among adolescents and their parents. J. Am. Diet. Assoc. 2009, 109, 281–287. [Google Scholar] [CrossRef]
- Park, S.; Onufrak, S.; Sherry, B.; Blanck, H.M. Health-related knowledge and attitudes are associated with sugars-sweetened beverages intake among U.S. adults. FASEB J. 2013, 27, 622–624. [Google Scholar] [CrossRef]
- Zoellner, J.; You, W.; Connell, C.; Smith-Ray, R.L.; Allen, K.; Tucker, K.L.; Davy, B.M.; Estabrooks, P. Health literacy is associated with healthy eating index scores and sugar-sweetened beverage intake: Findings from the rural Lower Mississippi Delta. J. Am. Diet. Assoc. 2011, 111, 1012–1020. [Google Scholar] [CrossRef]
- Ni Mhurchu, C.; Eyles, H.; Jiang, Y.; Blakely, T. Do nutrition labels influence healthier food choices? Analysis of label viewing behaviour and subsequent food purchases in a labelling intervention trial. Appetite 2018, 121, 360–365. [Google Scholar] [CrossRef]
- Graham, D.J.; Heidrick, C.; Hodgin, K. Nutrition label viewing during a food-selection task: Front-of-package labels vs nutrition facts labels. J. Acad. Nutr. Diet. 2015, 115, 1636–1646. [Google Scholar] [CrossRef] [PubMed]
- Graham, D.J.; Jeffery, R.W. Location, location, location: Eye-tracking evidence that consumers preferentially view prominently positioned nutrition information. J. Am. Diet. Assoc. 2011, 111, 1704–1711. [Google Scholar] [CrossRef] [PubMed]
- Ollberding, N.J.; Wolf, R.L.; Contento, I. Food label use and its relation to dietary intake among US adults. J. Am. Diet. Assoc. 2011, 111, S47–S51. [Google Scholar] [CrossRef] [PubMed]
- Kanter, R.; Vanderlee, L.; Vandevijvere, S. Front-of-package nutrition labelling policy: Global progress and future directions. Public Health Nutr. 2018, 21, 1399–1408. [Google Scholar] [CrossRef]
- Campos, S.; Doxey, J.; Hammond, D. Nutrition labels on pre-packaged foods: A systematic review. Public Health Nutr. 2011, 14, 1496–1506. [Google Scholar] [CrossRef]
- Hawley, K.L.; Roberto, C.A.; Bragg, M.A.; Liu, P.J.; Schwartz, M.B.; Brownell, K.D. The science on front-of-package food labels. Public Health Nutr. 2013, 16, 430–439. [Google Scholar] [CrossRef]
- Sinclair, S.E.; Cooper, M.; Mansfield, E.D. The influence of menu labeling on calories selected or consumed: A systematic review and meta-analysis. J. Acad. Nutr. Diet. 2014, 114, 1375–1388. [Google Scholar] [CrossRef]
- Sonnenberg, L.; Gelsomin, E.; Levy, D.E.; Riis, J.; Barraclough, S.; Thorndike, A.N. A traffic light food labeling intervention increases consumer awareness of health and healthy choices at the point-of-purchase. Prev. Med. 2013, 57, 253–257. [Google Scholar] [CrossRef]
- Spence, C. Multisensory flavor perception. In Multisensory Perception: From Laboratory to Clinic; Elsevier Academic Press: Cambridge, MA, USA, 2019; pp. 221–237. ISBN 9780128124925. [Google Scholar]
- Spence, C. On the psychological impact of food colour. Flavour 2015, 4, 21. [Google Scholar] [CrossRef]
- Sugrue, M.; Dando, R. Cross-modal influence of colour from product and packaging alters perceived flavour of cider. J. Inst. Brew. 2018, 124, 254–260. [Google Scholar] [CrossRef]
- Lemos, T.C.; Almo, A.; Campagnoli, R.R.; Pereira, M.G.; Oliveira, L.; Volchan, E.; Krutman, L.; Delgado, R.; Fernández-Santaella, M.C.; Khandpur, N.; et al. A red code triggers an unintended approach motivation toward sweet ultra-processed foods: Possible implications for front-of-pack labels. Food Qual. Prefer. 2020, 79, 103784. [Google Scholar] [CrossRef]
- Grunert, K.G.; Wills, J.M. A review of European research on consumer response to nutrition information on food labels. J. Public Health 2007, 15, 385–399. [Google Scholar] [CrossRef]
- Blechert, J.; Meule, A.; Busch, N.A.; Ohla, K. Food-pics: An image database for experimental research on eating and appetite. Front. Psychol. 2014, 5, 617. [Google Scholar] [CrossRef] [PubMed]
- Hilbert, A.; Tuschen-Caffier, B.; Karwautz, A.; Niederhofer, H.; Munsch, S. Eating disorder examination-questionnaire. Diagnostica 2007, 53, 144–154. [Google Scholar] [CrossRef]
- Kovaleva, A.; Beierlein, C.; Kemper, C.; Rammstedt, B. Eine kurzskala zur messung von impulsivität nach dem UPPS-ansatz: Die skala impulsives-verhalten-8 (I-8). Gesis Working Papers 2012, 20, 1–31. [Google Scholar]
- Schag, K.; Schönleber, J.; Teufel, M.; Zipfel, S.; Giel, K.E. Food-related impulsivity in obesity and binge eating disorder—A systematic review. Obes. Rev. 2013, 14, 477–495. [Google Scholar] [CrossRef]
- Peirce, J.; Gray, J.R.; Simpson, S.; MacAskill, M.; Höchenberger, R.; Sogo, H.; Kastman, E.; Lindeløv, J.K. PsychoPy2: Experiments in behavior made easy. Behav. Res. Methods 2019, 51, 195–203. [Google Scholar] [CrossRef]
- Berry, C.; Burton, S.; Howlett, E.; Newman, C.L. Understanding the calorie labeling paradox in chain restaurants: Why menu calorie labeling alone may not affect average calories ordered. J. Public Policy Mark. 2019, 38, 192–213. [Google Scholar] [CrossRef]
- Provencher, V.; Polivy, J.; Herman, C.P. Perceived healthiness of food. If it’s healthy, you can eat more! Appetite 2009, 52, 340–344. [Google Scholar] [CrossRef]
- Hamlin, R.; McNeill, L. Does the Australasian “Health Star Rating” front of pack nutritional label system work? Nutrients 2016, 8, 327. [Google Scholar] [CrossRef]
- Graham, D.J.; Lucas-Thompson, R.G.; Mueller, M.P.; Jaeb, M.; Harnack, L. Impact of explained v. unexplained front-of-package nutrition labels on parent and child food choices: A randomized trial. Public Health Nutr. 2017, 20, 774–785. [Google Scholar] [CrossRef] [PubMed]
- Watson, W.L.; Kelly, B.; Hector, D.; Hughes, C.; King, L.; Crawford, J.; Sergeant, J.; Chapman, K. Can front-of-pack labelling schemes guide healthier food choices? Australian shoppers’ responses to seven labelling formats. Appetite 2014, 72, 90–97. [Google Scholar] [CrossRef] [PubMed]
- Thorndike, A.N.; Riis, J.; Sonnenberg, L.M.; Levy, D.E. Traffic-light labels and choice architecture: Promoting healthy food choices. Am. J. Prev. Med. 2014, 46, 143–149. [Google Scholar] [CrossRef] [PubMed]
- Alley, R.L.; Alley, T.R. The influence of physical state and color on perceived sweetness. J. Psychol. 1998, 132, 561–568. [Google Scholar] [CrossRef] [PubMed]


| Measure | Mean (SD) |
|---|---|
| Age (years) | 22.04 (2.99) |
| BMI | 22.47 (3.85) |
| Hunger level (0–6) | 1.47 (1.52) |
| General appetite (0–6) | 1.86 (1.55) |
| Sweet food preference (1–4) | 2.86 (1.02) |
| Specific appetite (0–6) | |
| low sugar | 2.06 (1.34) |
| high sugar | 2.11 (1.26) |
| unknown sugar | 2.22 (1.38) |
| General liking (0–6) | |
| low sugar | 3.51 (1.48) |
| high sugar | 3.64 (1.29) |
| unknown sugar | 3.77 (1.27) |
| Measure | ANOVA | Green (SD) | Red (SD) | Gray (SD) |
|---|---|---|---|---|
| Experiment 1: | ||||
| Saccadic latency | F(1.71,85.55) = 4.98, p = 0.012, η2p = 0.091 | 276.3 ms (77.4 ms) | 297.4 ms (58.6 ms) | 398.8 ms (64.4 ms) |
| Dwell time current * | F(1.61,80.48) = 5.61, p = 0.009, η2p = 0.10 | 255.6 ms (67.3 ms) | 272.5 ms (58.8 ms) | 274.5 ms (52.9 ms) |
| Dwell time peripheral * | F(2,100) = 1.70, p = 0.19, η2p = 0.03 | 71.5 ms (61.1 ms) | 58.4 ms (52.1 ms) | 65.0 ms (49.1 ms) |
| Experiment 2: | ||||
| Sweetness | F(2,196) = 0.22, p = 81, η2p = 0.002 | 74.4% (10.9%) | 74.0% (11.1%) | 74.0% (10.8%) |
| Valence * | F(2,196) = 3.16, p = 045, η2p = 0.031 | 44.7% (21.1%) | 43.1% (19.7%) | 49.6% (22.2%) |
© 2020 by the authors. Licensee MDPI, Basel, Switzerland. This article is an open access article distributed under the terms and conditions of the Creative Commons Attribution (CC BY) license (http://creativecommons.org/licenses/by/4.0/).
Share and Cite
Potthoff, J.; La Face, A.; Schienle, A. The Color Nutrition Information Paradox: Effects of Suggested Sugar Content on Food Cue Reactivity in Healthy Young Women. Nutrients 2020, 12, 312. https://doi.org/10.3390/nu12020312
Potthoff J, La Face A, Schienle A. The Color Nutrition Information Paradox: Effects of Suggested Sugar Content on Food Cue Reactivity in Healthy Young Women. Nutrients. 2020; 12(2):312. https://doi.org/10.3390/nu12020312
Chicago/Turabian StylePotthoff, Jonas, Annalisa La Face, and Anne Schienle. 2020. "The Color Nutrition Information Paradox: Effects of Suggested Sugar Content on Food Cue Reactivity in Healthy Young Women" Nutrients 12, no. 2: 312. https://doi.org/10.3390/nu12020312
APA StylePotthoff, J., La Face, A., & Schienle, A. (2020). The Color Nutrition Information Paradox: Effects of Suggested Sugar Content on Food Cue Reactivity in Healthy Young Women. Nutrients, 12(2), 312. https://doi.org/10.3390/nu12020312

