Acid Hydrolyzed Silk Peptide Consumption Improves Anti-Diabetic Symptoms by Potentiating Insulin Secretion and Preventing Gut Microbiome Dysbiosis in Non-Obese Type 2 Diabetic Animals
Abstract
1. Introduction
2. Materials and Methods
2.1. Acid Hydrolyzed Silk Peptides (SPs)
2.2. Animals and Ethics
2.3. Experimental Design
2.4. Body Composition Measurements
2.5. Glucose Homeostasis
2.6. Hyperglycemic Clamp
2.7. Expression of mRNA in Liver
2.8. Immunohistochemistry
2.9. Next-Generation Sequencing (NGS) of Gut Microbiomes
2.10. Statistical Analyses
3. Results
3.1. Amino Acid Composition of SPs
3.2. Energy Metabolism and Body Composition
3.3. Glucose Metabolism
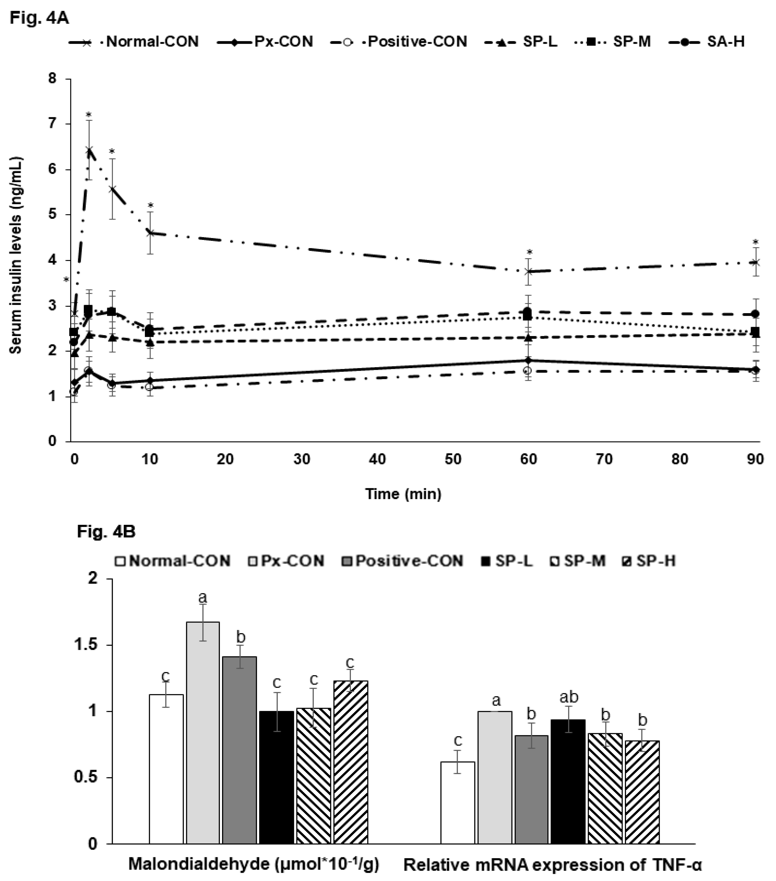
3.4. Insulin Secretion by Hyperglycemic Clamp Test
3.5. Pancreatic β-Cell Mass, Proliferation, and Apoptosis
3.6. Microbiome in the Cecum
4. Discussion
5. Conclusions
Author Contributions
Funding
Conflicts of Interest
References
- Weisman, A.; Fazli, G.S.; Johns, A.; Booth, G.L. Evolving Trends in the Epidemiology, Risk Factors, and Prevention of Type 2 Diabetes: A Review. Can. J. Cardiol. 2018, 34, 552–564. [Google Scholar] [CrossRef]
- Hikino, H.; Mizuno, T.; Oshima, Y.; Konno, C. Isolation and hypoglycemic activity of moran A, a glycoprotein of Morus alba root barks. Planta Med. 1985, 159–160. [Google Scholar] [CrossRef] [PubMed]
- Do, S.G.; Park, J.H.; Nam, H.; Kim, J.B.; Lee, J.Y.; Oh, Y.S.; Suh, J.G. Silk fibroin hydrolysate exerts an anti-diabetic effect by increasing pancreatic beta cell mass in C57BL/KsJ-db/db mice. J. Vet. Sci. 2012, 13, 339–344. [Google Scholar] [CrossRef] [PubMed]
- Hyun, C.K.; Kim, I.Y.; Frost, S.C. Soluble fibroin enhances insulin sensitivity and glucose metabolism in 3T3-L1 adipocytes. J. Nutr. 2004, 134, 3257–3263. [Google Scholar] [CrossRef] [PubMed]
- Ksenofontov, A.L.; Boyko, A.I.; Mkrtchyan, G.V.; Tashlitsky, V.N.; Timofeeva, A.V.; Graf, A.V.; Bunik, V.I.; Baratova, L.A. Analysis of Free Amino Acids in Mammalian Brain Extracts. Biochemistry 2017, 82, 1183–1192. [Google Scholar] [CrossRef] [PubMed]
- Hosokawa, Y.A.; Hosokawa, H.; Chen, C.; Leahy, J.L. Mechanism of impaired glucose-potentiated insulin secretion in diabetic 90% pancreatectomy rats. Study using glucagonlike peptide-1 (7–37). J. Clin. Investig. 1996, 97, 180–186. [Google Scholar] [CrossRef] [PubMed]
- Islam, M.S.; Wilson, R.D. Experimentally induced rodent models of type 2 diabetes. Methods Mol. Biol. 2012, 933, 161–174. [Google Scholar]
- Reeves, P.G.; Nielsen, F.H.; Fahey, G.C., Jr. AIN-93 purified diets for laboratory rodents: Final report of the American Institute of Nutrition ad hoc writing committee on the reformulation of the AIN-76A rodent diet. J. Nutr. 1993, 123, 1939–1951. [Google Scholar] [CrossRef]
- Yang, H.J.; Lim, J.H.; Park, K.J.; Kang, S.; Kim, D.S.; Park, S. Methyl jasmolate treated buckwheat sprout powder enhances glucose metabolism by potentiating hepatic insulin signaling in estrogen-deficient rats. Nutrition 2016, 32, 129–137. [Google Scholar] [CrossRef]
- Takeshita, H.; Yamamoto, K.; Nozato, S.; Inagaki, T.; Tsuchimochi, H.; Shirai, M.; Yamamoto, R.; Imaizumi, Y.; Hongyo, K.; Yokoyama, S.; et al. Modified forelimb grip strength test detects aging-associated physiological decline in skeletal muscle function in male mice. Sci. Rep. 2017, 7, 42323. [Google Scholar] [CrossRef]
- Park, S.; da Kim, S.; Kang, S. Gastrodia elata Blume water extracts improve insulin resistance by decreasing body fat in diet-induced obese rats: Vanillin and 4-hydroxybenzaldehyde are the bioactive candidates. Eur. J. Nutr. 2011, 50, 107–118. [Google Scholar] [CrossRef] [PubMed]
- Choi, S.B.; Jang, J.S.; Park, S. Estrogen and exercise may enhance beta-cell function and mass via insulin receptor substrate 2 induction in ovariectomized diabetic rats. Endocrinology 2005, 146, 4786–4794. [Google Scholar] [CrossRef] [PubMed]
- Dobbins, R.L.; Szczepaniak, L.S.; Myhill, J.; Tamura, Y.; Uchino, H.; Giacca, A.; McGarry, J.D. The composition of dietary fat directly influences glucose-stimulated insulin secretion in rats. Diabetes 2002, 51, 1825–1833. [Google Scholar] [CrossRef] [PubMed]
- Park, S.; Hong, S.M.; Lee, J.E.; Sung, S.R. Exercise improves glucose homeostasis that has been impaired by a high-fat diet by potentiating pancreatic beta-cell function and mass through IRS2 in diabetic rats. J. Appl. Physiol. 2007, 103, 1764–1771. [Google Scholar] [CrossRef] [PubMed]
- Park, S.; Kim, D.S.; Wu, X.; Yi, Q.J. Mulberry and dandelion water extracts prevent alcohol-induced steatosis with alleviating gut microbiome dysbiosis. Exp. Biol. Med. 2018, 243, 882–894. [Google Scholar] [CrossRef]
- Ryuk, J.A.; Kang, S.; Daily, J.W.; Ko, B.S.; Park, S. Moderate intake of aspartame and sucralose with meals, but not fructose, does not exacerbate energy and glucose metabolism in estrogen-deficient rats. J. Clin. Biochem. Nutr. 2019, 65, 223–231. [Google Scholar] [CrossRef]
- Jung, H.; Kim, Y.Y.; Kim, B.; Nam, H.; Suh, J.G. Improving glycemic control in model mice with type 2 diabetes by increasing superoxide dismutase (SOD) activity using silk fibroin hydrolysate (SFH). Biochem. Biophys. Res. Commun. 2017, 493, 115–119. [Google Scholar] [CrossRef]
- Wang, H.Y.; Wang, Y.J.; Zhou, L.X.; Zhu, L.; Zhang, Y.Q. Isolation and bioactivities of a non-sericin component from cocoon shell silk sericin of the silkworm Bombyx mori. Food Funct. 2012, 3, 150–158. [Google Scholar] [CrossRef]
- Alves, A.; Bassot, A.; Bulteau, A.L.; Pirola, L.; Morio, B. Glycine Metabolism and Its Alterations in Obesity and Metabolic Diseases. Nutrients 2019, 11, 1356. [Google Scholar] [CrossRef]
- Mesgari-Abbasi, M.; Valizadeh, H.; Mirzakhani, N.; Vahdatpour, T. Protective effects of di- and tri-peptides containing proline, glycine, and leucine on liver enzymology and histopathology of diabetic mice. Arch. Physiol. Biochem. 2019, 1–10. [Google Scholar] [CrossRef]
- Ma, R.C.; Chan, J.C. Type 2 diabetes in East Asians: Similarities and differences with populations in Europe and the United States. Ann. N. Y. Acad. Sci. 2013, 1281, 64–91. [Google Scholar] [CrossRef] [PubMed]
- Li, L.; Seno, M.; Yamada, H.; Kojima, I. Promotion of beta-cell regeneration by betacellulin in ninety percent-pancreatectomized rats. Endocrinology 2001, 142, 5379–5385. [Google Scholar] [CrossRef] [PubMed]
- Yang, H.J.; Kim, M.J.; Kwon, D.Y.; Kim, D.S.; Zhang, T.; Ha, C.; Park, S. Combination of Aronia, Red Ginseng, Shiitake Mushroom and Nattokinase Potentiated Insulin Secretion and Reduced Insulin Resistance with Improving Gut Microbiome Dysbiosis in Insulin Deficient Type 2 Diabetic Rats. Nutrients 2018, 10, 948. [Google Scholar] [CrossRef] [PubMed]
- Guo, Q.; Chen, Z.; Santhanam, R.K.; Xu, L.; Gao, X.; Ma, Q.; Xue, Z.; Chen, H. Hypoglycemic effects of polysaccharides from corn silk (Maydis stigma) and their beneficial roles via regulating the PI3K/Akt signaling pathway in L6 skeletal muscle myotubes. Int. J. Biol. Macromol. 2019, 121, 981–988. [Google Scholar] [CrossRef] [PubMed]
- Park, J.E.; Jeong, Y.J.; Park, J.B.; Kim, H.Y.; Yoo, Y.H.; Lee, K.S.; Yang, W.T.; Kim, D.H.; Kim, J.M. Dietary Exposure to Transgenic Rice Expressing the Spider Silk Protein Fibroin Reduces Blood Glucose Levels in Diabetic Mice: The Potential Role of Insulin Receptor Substrate-1 Phosphorylation in Adipocytes. Dev. Reprod. 2019, 23, 223–229. [Google Scholar] [CrossRef] [PubMed]
- Karusheva, Y.; Koessler, T.; Strassburger, K.; Markgraf, D.; Mastrototaro, L.; Jelenik, T.; Simon, M.C.; Pesta, D.; Zaharia, O.P.; Bodis, K.; et al. Short-term dietary reduction of branched-chain amino acids reduces meal-induced insulin secretion and modifies microbiome composition in type 2 diabetes: A randomized controlled crossover trial. Am. J. Clin. Nutr. 2019, 110, 1098–1107. [Google Scholar] [CrossRef]
- Madsen, M.S.A.; Holm, J.B.; Palleja, A.; Wismann, P.; Fabricius, K.; Rigbolt, K.; Mikkelsen, M.; Sommer, M.; Jelsing, J.; Nielsen, H.B.; et al. Metabolic and gut microbiome changes following GLP-1 or dual GLP-1/GLP-2 receptor agonist treatment in diet-induced obese mice. Sci. Rep. 2019, 9, 15582. [Google Scholar] [CrossRef]
- Wang, H.; Tang, W.; Zhang, P.; Zhang, Z.; He, J.; Zhu, D.; Bi, Y. Modulation of gut microbiota contributes to effects of intensive insulin therapy on intestinal morphological alteration in high-fat-diet-treated mice. Acta Diabetol. 2019. [Google Scholar] [CrossRef]
- Xourgia, E.; Papazafiropoulou, A.; Papanas, N.; Melidonis, A. Anti-diabetic treatment leads to changes in gut microbiome. Front. Biosci. 2019, 24, 688–699. [Google Scholar]
- Elbere, I.; Kalnina, I.; Silamikelis, I.; Konrade, I.; Zaharenko, L.; Sekace, K.; Radovica-Spalvina, I.; Fridmanis, D.; Gudra, D.; Pirags, V.; et al. Association of metformin administration with gut microbiome dysbiosis in healthy volunteers. PLoS ONE 2018, 13, e0204317. [Google Scholar] [CrossRef]







| Normal-CON (n = 10) | Px-CON (n = 10) | Positive-CON (n = 10) | SP-L (n = 10) | SP-M (n = 10) | SP-H (n = 10) | |
|---|---|---|---|---|---|---|
| Body weight gain for 8 weeks (g) | 153 ± 13.1 a | 76.2 ± 6.8 d | 128 ± 13.2 b | 109 ± 11.3 c | 112 ± 10.5 c | 117 ± 11.2 b,c |
| Food intake (g/day) | 15.7 ± 1.4 | 16.2 ± 1.9 | 16.3 ± 1.5 | 17.2 ± 1.5 | 16.2 ± 1.9 | 16.2 ± 1.6 |
| Food efficiency | 0.17 ± 0.02 a | 0.08 ± 0.01 d | 0.14 ± 0.02 b | 0.11 ± 0.02 c | 0.12 ± 0.02 b,c | 0.13 ± 0.02 b |
| Epididymal fat pads (g) | 5.9 ± 0.7 a | 2.7 ± 0.4c | 4.2 ± 0.6 b | 2.9 ± 0.5 c | 3.0 ± 0.5 c | 3.8 ± 0.5 b |
| Retroperitoneal fat mass (g) | 6.7 ± 0.8 a | 3.1 ± 0.5 d | 5.6 ± 0.7 b | 3.3 ± 0.6 d | 4.3 ± 0.7 c | 5.7 ± 0.7 b |
| Visceral fat (g) | 12.6 ± 1.5 a | 5.8 ± 0.8 d | 9.8 ± 1.2 b | 6.2 ± 0.9 d | 7.3 ± 0.9 c | 9.5 ± 1.2 b |
| Normal-CON (n = 10) | Px-CON (n = 10) | Positive-CON (n = 10) | SP-L (n = 10) | SP-M (n = 10) | SP-H (n = 10) | |
|---|---|---|---|---|---|---|
| Serum glucose at fasting state (mM) | 115 ± 4.6 e | 291 ± 48 a | 142 ± 16.6 d | 216 ± 37 b | 182 ± 39 b,c | 172 ± 26 c |
| Serum glucose at 2h postprandial state (mg/mL) | 149 ± 4.9 e | 540 ± 50 a | 312 ± 44 d | 455 ± 39 b | 387 ± 41 c | 337 ± 45 d |
| Serum insulin at fasting state (ng/mL) | 2.85 ± 0.32 a | 1.34 ± 0.22 d | 1.10 ± 0.18 e | 2.14 ± 0.28 c | 2.56 ± 0.31 b | 1.97 ± 0.27 c |
| Glucose infusion rates (mg/kg bw/min) | 10.5 ± 1.1 a | 5.3 ± 0.8 c | 6.1 ± 1.4 b | 4.8 ± 0.7 c | 5.6 ± 0.8 b,c | 6.2 ± 1.0 b |
| Insulin sensitivity at hyperglycemic state (µmol glucose · min−1 · 100 g−1 per µmol insulin/L) | 29.6 ± 3.9 b | 20.6 ± 2.6 c | 36.6 ± 3.9 a | 22.4 ± 3.2 c | 21.6 ± 2.9 c | 27.3 ± 3.2 b |
| Urinary glucose | - | ++++ | + | +++ | ++ | + |
| Serum homocysteine (uM) | 4.8 ± 0.8 d | 10.5 ± 1.7 a | 6.1 ± 0.8 c,d | 8.5 ± 1.1 b | 6.7 ± 0.9 c | 5.3 ± 0.8 d |
| Normal-CON (n = 5) | Px-CON (n = 5) | Positive-CON (n = 5) | SP-L (n = 5) | SP-M (n = 5) | SP-H (n = 5) | |
|---|---|---|---|---|---|---|
| β-cell area (%) | 5.10 ± 0.62 b | 5.21 ± 0.48 b | 6.98 ± 0.78 a | 5.18 ± 0.63 b | 7.57 ± 0.86 a | 8.05 ± 0.81 a |
| Individual β-cell size (μm2) | 178 ± 24 c | 248 ± 31 a | 194 ± 33 b | 228 ± 36 a,b | 202 ± 28 b,c | 198 ± 26 b,c |
| Pancreas weight (g) | 0.46 ± 0.06 a | 0.18 ± 0.04 c | 0.21 ± 0.04 b,c | 0.24 ± 0.05 b | 0.22 ± 0.03 b | 0.23 ± 0.03 b |
| Absolute β-cell mass (mg) | 23.5 ± 3.4 a | 9.53 ± 0.95 e | 14.7 ± 2.4 c,d | 12.4 ± 1.8 d | 16.7 ± 2.1 c | 17.4 ± 2.5 b |
| BrdU+ cells (% BrdU+ cells of islets) | 0.67 ± 0.08 d | 0.78 ± 0.09 c | 0.89 ± 0.10 b | 0.82 ± 0.10 c | 0.96 ± 0.12 a | 0.98 ± 0.13 a |
| Apoptosis (% apoptotic bodies of islets) | 0.72 ± 0.07 a,b | 0.79 ± 0.09 a | 0.66 ± 0.08 b | 0.69 ± 0.07 b | 0.61 ± 0.08 b,c | 0.58 ± 0.07 c |
© 2020 by the authors. Licensee MDPI, Basel, Switzerland. This article is an open access article distributed under the terms and conditions of the Creative Commons Attribution (CC BY) license (http://creativecommons.org/licenses/by/4.0/).
Share and Cite
Park, S.; Zhang, T.; Qiu, J.Y.; Wu, X.; Lee, J.-Y.; Lee, B.-Y. Acid Hydrolyzed Silk Peptide Consumption Improves Anti-Diabetic Symptoms by Potentiating Insulin Secretion and Preventing Gut Microbiome Dysbiosis in Non-Obese Type 2 Diabetic Animals. Nutrients 2020, 12, 311. https://doi.org/10.3390/nu12020311
Park S, Zhang T, Qiu JY, Wu X, Lee J-Y, Lee B-Y. Acid Hydrolyzed Silk Peptide Consumption Improves Anti-Diabetic Symptoms by Potentiating Insulin Secretion and Preventing Gut Microbiome Dysbiosis in Non-Obese Type 2 Diabetic Animals. Nutrients. 2020; 12(2):311. https://doi.org/10.3390/nu12020311
Chicago/Turabian StylePark, Sunmin, Ting Zhang, Jing Yi Qiu, Xuangao Wu, Jeong-Yong Lee, and Boo-Yong Lee. 2020. "Acid Hydrolyzed Silk Peptide Consumption Improves Anti-Diabetic Symptoms by Potentiating Insulin Secretion and Preventing Gut Microbiome Dysbiosis in Non-Obese Type 2 Diabetic Animals" Nutrients 12, no. 2: 311. https://doi.org/10.3390/nu12020311
APA StylePark, S., Zhang, T., Qiu, J. Y., Wu, X., Lee, J.-Y., & Lee, B.-Y. (2020). Acid Hydrolyzed Silk Peptide Consumption Improves Anti-Diabetic Symptoms by Potentiating Insulin Secretion and Preventing Gut Microbiome Dysbiosis in Non-Obese Type 2 Diabetic Animals. Nutrients, 12(2), 311. https://doi.org/10.3390/nu12020311

