Whey Protein Drink Ingestion before Breakfast Suppressed Energy Intake at Breakfast and Lunch, but Not during Dinner, and Was Less Suppressed in Healthy Older than Younger Men
Abstract
1. Introduction
2. Materials and Methods
2.1. Subjects
2.2. Protocol
2.3. Measurements
2.3.1. Energy Intake
2.3.2. Antral Area
2.3.3. Perceptions of Appetite and Palatability
2.4. Data and Statistical Analysis
3. Results
3.1. Energy Intake
3.2. Protein Intake
- The sum of breakfast, lunch, and dinner protein intake after the test drinks decreased after the 70 g (P = 0.023), but not 30 g, whey protein drink when compared to the control day (protein load main effect P = 0.009, main effect of age P = 0.71, interaction effect P = 0.54).
- Cumulative protein intake (sum of protein in the drink plus protein intake at the meals) was increased in a protein load responsive fashion (young: control: 143 ± 10g, 30 g whey protein: +17%, 167 ± 9 g and 70 g whey protein: +36%, 195 ± 9 g; older: control: 133 ± 10 g, 30 g whey protein: +23%, 164 ± 10 g and 70 g whey protein: +47%, 195 ± 9 g; P < 0.001) comparably in the healthy younger and older men (main effect of age P = 0.71, interaction effect of age x protein load P = 0.54; Figure 3).
3.3. Gastric Emptying
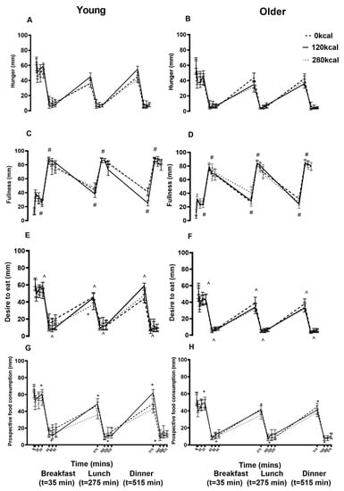
3.4. Appetite
3.5. Palatability of Drinks and Meals
4. Discussion
5. Conclusions
Author Contributions
Funding
Acknowledgments
Conflicts of Interest
References
- Leslie, W.; Hankey, C. Aging, nutritional status and health. Healthcare 2015, 3, 648–658. [Google Scholar] [CrossRef] [PubMed]
- Soenen, S.; Chapman, I.M. Body weight, anorexia, and undernutrition in older people. J. Am. Med. Dir. Assoc. 2013, 14, 642–648. [Google Scholar] [CrossRef]
- Giezenaar, C.; Chapman, I.; Luscombe-Marsh, N.; Feinle-Bisset, C.; Horowitz, M.; Soenen, S. Ageing is associated with decreases in appetite and energy intake—A meta-analysis in healthy adults. Nutrients 2016, 8, 28. [Google Scholar] [CrossRef] [PubMed]
- Siparsky, P.N.; Kirkendall, D.T.; Garrett, W.E., Jr. Muscle changes in aging: Understanding sarcopenia. Sports Health 2014, 6, 36–40. [Google Scholar] [CrossRef] [PubMed]
- Soenen, S.; Rayner, C.K.; Horowitz, M.; Jones, K.L. Gastric emptying in the elderly. Clin. Geriatr. Med. 2015, 31, 339–353. [Google Scholar] [CrossRef] [PubMed]
- Soenen, S.; Rayner, C.K.; Jones, K.L.; Horowitz, M. The ageing gastrointestinal tract. Curr. Opin. Clin. Nutr. Metab. Care. 2016, 19, 12–18. [Google Scholar] [CrossRef] [PubMed]
- Cawood, A.; Elia, M.; Stratton, R. Systematic review and meta-analysis of the effects of high protein oral nutritional supplements. Ageing Res. Rev. 2012, 11, 278–296. [Google Scholar] [CrossRef] [PubMed]
- Malafarina, V.; Uriz-Otano, F.; Iniesta, R.; Gil-Guerrero, L. Effectiveness of nutritional supplementation on muscle mass in treatment of sarcopenia in old age: A systematic review. J. Am. Med. Dir. Assoc. 2013, 14, 10–17. [Google Scholar] [CrossRef]
- Soenen, S.; Giezenaar, C.; Hutchison, A.T.; Horowitz, M.; Chapman, I.; Luscombe-Marsh, N.D. Effects of intraduodenal protein on appetite, energy intake, and antropyloroduodenal motility in healthy older compared with young men in a randomized trial. Am. J. Clin. Nutr. 2014, 100, 1108–1115. [Google Scholar] [CrossRef]
- Giezenaar, C.; Coudert, Z.; Baqeri, A.; Jensen, C.; Hausken, T.; Horowitz, M.; Chapman, I.; Soenen, S. Effects of timing of whey protein intake on appetite and energy intake in healthy older men. J. Am. Med. Dir. Assoc. 2017, 18, 898.e9–898.e13. [Google Scholar] [CrossRef]
- Giezenaar, C.; Trahair, L.G.; Rigda, R.; Hutchison, A.T.; Feinle-Bisset, C.; Luscombe-Marsh, N.D.; Hausken, T.; Jones, K.L.; Horowitz, M.; Chapman, I.; et al. Lesser suppression of energy intake by orally ingested whey protein in healthy older men compared with young controls. Am. J. Physiol. Regul. Integr. Comp. Physiol. 2015, 309, R845–R854. [Google Scholar] [CrossRef] [PubMed]
- Keri, M.N. Therapeutic applications of whey protein. Altern. Med. Rev. 2004, 9, 136–156. [Google Scholar]
- Smithers, G.W. Whey and whey proteins—From ‘gutter-to-gold’. Int. Dairy J. 2008, 18, 695–704. [Google Scholar] [CrossRef]
- Hveem, K.; Jones, K.; Chatterton, B.; Horowitz, M. Scintigraphic measurement of gastric emptying and ultrasonographic assessment of antral area: Relation to appetite. Gut 1996, 38, 816–821. [Google Scholar] [CrossRef] [PubMed]
- Parker, B.A.; Sturm, K.; MacIntosh, C.G.; Feinle, C.; Horowitz, M.; Chapman, I.M. Relation between food intake and visual analogue scale ratings of appetite and other sensations in healthy older and young subjects. Eur. J. Clin. Nutr. 2004, 58, 212–218. [Google Scholar] [CrossRef]
- Rayner, C.K.; MacIntosh, C.G.; Chapman, I.M.; Morley, J.E.; Horowitz, M. Effects of age on proximal gastric motor and sensory function. Scand. J. Gastroenterol. 2000, 35, 1041–1047. [Google Scholar]
- Giezenaar, C.; Lange, K.; Hausken, T.; Jones, K.L.; Horowitz, M.; Chapman, I.; Soenen, S. Effects of Age on Acute Appetite-Related Responses to Whey-Protein Drinks, Including Energy Intake, Gastric Emptying, Blood Glucose, and Plasma Gut Hormone Concentrations—A Randomized Controlled Trial. Nutrients 2020, 12, 1008. [Google Scholar] [CrossRef]
- Giezenaar, C.; Trahair, L.G.; Luscombe-Marsh, N.D.; Hausken, T.; Standfield, S.; Jones, K.L.; Lange, K.; Horowitz, M.; Chapman, I.; Soenen, S. Effects of randomized whey-protein loads on energy intake, appetite, gastric emptying, and plasma gut-hormone concentrations in older men and women. Am. J. Clin. Nutr. 2017, 106, 865–877. [Google Scholar] [CrossRef]
- Giezenaar, C.; Van Der Burgh, Y.; Lange, K.; Hatzinikolas, S.; Hausken, T.; Jones, K.L.; Horowitz, M.; Chapman, I.; Soenen, S. Effects of Substitution, and Adding of Carbohydrate and Fat to Whey-Protein on Energy Intake, Appetite, Gastric Emptying, Glucose, Insulin, Ghrelin, CCK and GLP-1 in Healthy Older Men—A Randomized Controlled Trial. Nutrients 2018, 10, 113. [Google Scholar] [CrossRef]
- Hutchison, A.T.; Piscitelli, D.; Horowitz, M.; Jones, K.L.; Clifton, P.M.; Standfield, S.; Hausken, T.; Feinle-Bisset, C.; Luscombe-Marsh, N.D. Acute load-dependent effects of oral whey protein on gastric emptying, gut hormone release, glycemia, appetite, and energy intake in healthy men. Am. J. Clin. Nutr. 2015, 102, 1574–1584. [Google Scholar] [CrossRef]
- Sturm, K.; Parker, B.; Wishart, J.; Feinle-Bisset, C.; Jones, K.L.; Chapman, I.; Horowitz, M. Energy intake and appetite are related to antral area in healthy young and older subjects. Am. J. Clin. Nutr. 2004, 80, 656–667. [Google Scholar] [CrossRef] [PubMed]
- Giezenaar, C.; Hutchison, A.T.; Luscombe-Marsh, N.D.; Chapman, I.; Horowitz, M.; Soenen, S. Effect of age on blood glucose and plasma insulin, glucagon, ghrelin, CCK, GIP, and GLP-1 responses to whey protein ingestion. Nutrients 2017, 10, 2. [Google Scholar] [CrossRef]
- Janssen, P.; Vanden, B.P.; Verschueren, S.; Lehmann, A.; Depoortere, I.; Tack, J. The role of gastric motility in the control of food intake. Aliment. Pharmacol. Ther. 2011, 33, 880–894. [Google Scholar] [CrossRef] [PubMed]
- Jones, K.L.; Doran, S.M.; Hveem, K.; Bartholomeusz, F.D.; E Morley, J.; Sun, W.M.; E Chatterton, B.; Horowitz, M. Relation between postprandial satiation and antral area in normal subjects. Am. J. Clin. Nutr. 1997, 66, 127–132. [Google Scholar] [CrossRef]
- E Rigamonti, A.; Leoncini, R.; Casnici, C.; Marelli, O.; De Col, A.; Tamini, S.; Lucchetti, E.; Cicolini, S.; Abbruzzese, L.; Cella, S.; et al. Whey Proteins Reduce Appetite, Stimulate Anorexigenic Gastrointestinal Peptides and Improve Glucometabolic Homeostasis in Young Obese Women. Nutrients 2019, 11, 247. [Google Scholar] [CrossRef] [PubMed]
- Paddon, J.D.; Leidy, H. Dietary protein and muscle in older persons. Curr. Opin. Clin. Nutr. Metab. Care 2014, 17, 5. [Google Scholar] [CrossRef]
- Rolls, B.J.; Dimeo, K.A.; Shide, D.J. Age-related impairments in the regulation of food intake. Am. J. Clin. Nutr. 1995, 62, 923–931. [Google Scholar] [CrossRef]
- Giezenaar, C.; Luscombe-Marsh, N.D.; Hutchison, A.T.; Lange, K.; Hausken, T.; Jones, K.L.; Horowitz, M.; Chapman, I.; Soenen, S. Effect of gender on the acute effects of whey protein ingestion on energy intake, appetite, gastric emptying and gut hormone responses in healthy young adults. Nutr. Diabetes 2018, 8, 40. [Google Scholar] [CrossRef]
- Wurtman, J.J.; Lieberman, H.; Tsay, R.; Nader, T.; Chew, B. Calorie and nutrient intakes of elderly and young subjects measured under identical conditions. J. Gerontol. 1988, 43, B174–B180. [Google Scholar] [CrossRef]
- Clarkston, W.; Pantano, M.; Morley, J.; Horowitz, M.; Littlefield, J.; Burton, F. Evidence for the anorexia of aging: Gastrointestinal transit and hunger in healthy elderly vs. young adults. Am. J. Physiol. Regul. Integr. Comp. Physiol. 1997, 272, R243–R248. [Google Scholar] [CrossRef]
- Sturm, K.; MacIntosh, C.G.; Parker, B.A.; Wishart, J.; Horowitz, M.; Chapman, I.M. Appetite, food intake, and plasma concentrations of cholecystokinin, ghrelin, and other gastrointestinal hormones in undernourished older women and well-nourished young and older women. J. Clin. Endocrinol. Metab. 2003, 88, 3747–3755. [Google Scholar] [CrossRef] [PubMed]
- Roberts, S.B.; Fuss, P.; Heyman, M.B.; Evans, W.J.; Tsay, R.; Rasmussen, H.; Fiatarone, M.; Cortiella, J.; Dallal, G.E.; Young, V.R. Control of food intake in older men. JAMA 1994, 272, 1601–1606. [Google Scholar] [CrossRef] [PubMed]
- Griffin, H.; Cheng, H.; O’connor, H.; Rooney, K.; Petocz, P.; Steinbeck, K. Higher protein diet for weight management in young overweight women: A 12-month randomized controlled trial. Diabetes. Obes. Metab. 2013, 15, 572–575. [Google Scholar] [CrossRef] [PubMed]
- Leidy, H.J.; Carnell, N.S.; Mattes, R.D.; Campbell, W.W. Higher protein intake preserves lean mass and satiety with weight loss in pre-obese and obese women. Obesity 2007, 15, 421–429. [Google Scholar] [CrossRef]





| Food Items | Amount Served (g) | Energy Content (kcal) | Protein (g) | Carbohydrate (g) | Fat (g) |
|---|---|---|---|---|---|
| Whole meal bread, 4 slices * | 125 | 308 | 13.8 | 54.8 | 4.9 |
| White bread, 4 slices * | 125 | 304 | 11.1 | 61.4 | 2.7 |
| Cheese, sliced † | 85 | 346 | 22.6 | 0.9 | 29.2 |
| Ham, sliced ‡ | 100 | 95 | 17.1 | 3.5 | 1.8 |
| Chicken, sliced § | 100 | 104 | 19.4 | 3.7 | 1.7 |
| Margarine || | 20 | 108 | 0.0 | 0.0 | 12.4 |
| Mayonnaise ¶ | 20 | 137 | 0.4 | 0.7 | 15.2 |
| Tomato, sliced | 100 | 13 | 1.0 | 2.0 | 0.1 |
| Cucumber, sliced | 100 | 11 | 0.5 | 2.0 | 0.1 |
| Lettuce | 100 | 5 | 0.9 | 0.4 | 0.0 |
| Apple | 170 | 89 | 0.5 | 2.0 | 0.1 |
| Banana | 190 | 166 | 3.3 | 39.0 | 0.2 |
| Fruit salad ** | 140 | 81 | 0.4 | 17.7 | 1.3 |
| Strawberry yogurt †† | 175 | 162 | 9.1 | 25.0 | 3.4 |
| Chocolate custard ‡‡ | 100 | 105 | 3.3 | 16.9 | 3.1 |
| Milky Way §§ | 12 | 52 | 0.3 | 9.0 | 1.9 |
| Orange juice, unsweetened |||| | 300 | 117 | 1.9 | 22.6 | 2.7 |
| Iced coffee ¶¶ | 375 | 254 | 12.4 | 38.3 | 6.6 |
| Water | 600 | 0 | 0.0 | 0.0 | 0.0 |
| Total | 2457 | 19% | 49% | 32% |
| Food Items | Amount Served (g) | Energy Content (kcal) | Protein (g) | Carbohydrate (g) | Fat (g) |
|---|---|---|---|---|---|
| Pasta with Meatballs ¤ | 500 | 720 | 27.7 | 78.4 | 35.0 |
| Whole meal bread, 4 slices * | 125 | 308 | 14.0 | 55.5 | 4.9 |
| Margarine || | 20 | 108 | 0.0 | 0.0 | 12.5 |
| Philadelphia cream cheese º | 68 | 175 | 3.8 | 2.1 | 17.3 |
| Apple | 170 | 89 | 0.5 | 2.0 | 0.1 |
| Banana | 190 | 166 | 3.3 | 39.5 | 0.2 |
| Fruit salad ** | 140 | 81 | 0.4 | 17.9 | 1.4 |
| Strawberry yogurt †† | 175 | 162 | 9.2 | 25.3 | 3.4 |
| Chocolate custard ‡‡ | 100 | 105 | 3.3 | 17.1 | 3.1 |
| Muesli bar Ͽ | 35 | 185 | 5.6 | 12.5 | 13.1 |
| Orange juice, unsweetened |||| | 300 | 117 | 1.9 | 22.9 | 2.7 |
| Water | 600 | 0 | 0.0 | 0.0 | 0.0 |
| Total | 2216 | 13% | 49% | 38% |
| Young (n = 15) | Older (n = 15) | |||||||
|---|---|---|---|---|---|---|---|---|
| Breakfast | Lunch | Dinner | Total | Breakfast | Lunch | Dinner | Total | |
| Control drink | ||||||||
| Energy intake (kcal) | 947± 64 | 933 ± 74 | 1049 ± 68 | 2929 ± 131 | 896 ± 74 | 1007 ± 62 | 975 ± 79 | 2878 ± 165 |
| Fat (energy %) | 34 ± 1 | 34 ± 2 | 36 ± 2 | 29 ± 2 | 33 ± 6 | 39 ± 2 | ||
| Carbohydrate (energy %) | 43 ± 2 | 43 ± 2 | 50 ± 2 | 51 ± 2 | 46 ± 2 | 47 ± 2 | ||
| Protein (energy %) | 23 ± 1 | 23 ± 1 | 14 ± 1 | 20 ± 1 | 21 ± 1 | 14 ± 1 | ||
| 30 g (120kcal) protein drink | ||||||||
| Energy intake (kcal) | 925± 67 | 848 ±89 | 1068 ± 48 | 2841 ± 161 | 888 ± 60 | 962 ± 84 | 1023 ± 66 | 2873 ± 122 |
| Fat (energy %) | 34 ± 2 | 30 ± 3 | 38 ± 2 | 30 ± 1 | 34 ± 1 | 38 ± 2 | ||
| Carbohydrate (energy %) | 43 ± 2 | 48 ± 4 | 47 ± 1 | 51 ± 3 | 46 ± 2 | 48 ± 1 | ||
| Protein (energy %) | 23 ± 1 | 22 ± 2 | 15 ± 0 | 19 ± 1 | 20 ± 1 | 14 ± 1 | ||
| 70 g (280kcal) protein drink | ||||||||
| Energy intake (kcal) | 874 ± 70 | 752 ± 85 * | 1052 ± 56 | 2678 ± 163 | 794 ± 72 | 853 ± 69 * | 1047 ± 82 | 2694 ± 148 |
| Fat (energy %) | 34 ± 1 | 27 ± 2 | 48 ± 2 | 30 ± 2 | 32 ± 1 | 38 ± 2 | ||
| Carbohydrate (energy %) | 43 ± 2 | 54 ± 3 | 47 ± 1 | 51 ± 4 | 46 ± 2 | 48 ± 1 | ||
| Protein (energy %) | 23 ± 1 | 19 ± 2 | 15 ± 0 | 19 ± 1 | 22 ± 1 | 14 ± 0 | ||
Publisher’s Note: MDPI stays neutral with regard to jurisdictional claims in published maps and institutional affiliations. |
© 2020 by the authors. Licensee MDPI, Basel, Switzerland. This article is an open access article distributed under the terms and conditions of the Creative Commons Attribution (CC BY) license (http://creativecommons.org/licenses/by/4.0/).
Share and Cite
Oberoi, A.; Giezenaar, C.; Clames, A.; Bøhler, K.; Lange, K.; Horowitz, M.; Jones, K.L.; Chapman, I.; Soenen, S. Whey Protein Drink Ingestion before Breakfast Suppressed Energy Intake at Breakfast and Lunch, but Not during Dinner, and Was Less Suppressed in Healthy Older than Younger Men. Nutrients 2020, 12, 3318. https://doi.org/10.3390/nu12113318
Oberoi A, Giezenaar C, Clames A, Bøhler K, Lange K, Horowitz M, Jones KL, Chapman I, Soenen S. Whey Protein Drink Ingestion before Breakfast Suppressed Energy Intake at Breakfast and Lunch, but Not during Dinner, and Was Less Suppressed in Healthy Older than Younger Men. Nutrients. 2020; 12(11):3318. https://doi.org/10.3390/nu12113318
Chicago/Turabian StyleOberoi, Avneet, Caroline Giezenaar, Alina Clames, Kristine Bøhler, Kylie Lange, Michael Horowitz, Karen L. Jones, Ian Chapman, and Stijn Soenen. 2020. "Whey Protein Drink Ingestion before Breakfast Suppressed Energy Intake at Breakfast and Lunch, but Not during Dinner, and Was Less Suppressed in Healthy Older than Younger Men" Nutrients 12, no. 11: 3318. https://doi.org/10.3390/nu12113318
APA StyleOberoi, A., Giezenaar, C., Clames, A., Bøhler, K., Lange, K., Horowitz, M., Jones, K. L., Chapman, I., & Soenen, S. (2020). Whey Protein Drink Ingestion before Breakfast Suppressed Energy Intake at Breakfast and Lunch, but Not during Dinner, and Was Less Suppressed in Healthy Older than Younger Men. Nutrients, 12(11), 3318. https://doi.org/10.3390/nu12113318

