Fat Quantity and Quality, as Part of a Low-Fat, Vegan Diet, Are Associated with Changes in Body Composition, Insulin Resistance, and Insulin Secretion. A 16-Week Randomized Controlled Trial
Abstract
1. Introduction
2. Materials and Methods
2.1. Study Design
2.2. Randomization and Study Groups
2.3. Dietary Intake, Physical Activity, and Medications
2.4. Outcomes
2.5. Exposure Variables
2.6. Statistical Analysis
3. Results
3.1. Characteristics of the Participants
3.2. Physical Activity and Dietary Intake
3.3. Changes in Fatty Acid Intake
3.4. Body Weight, Body Composition, Insulin Resistance, and Insulin Secretion
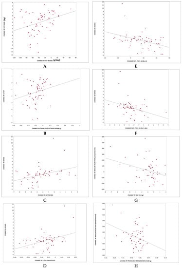
3.5. The Relationship between Fat Intake and Body Composition
3.6. The Relationship between Fatty Acids and Insulin Resistance
3.7. The Relationship between Fatty Acids and Insulin Secretion
4. Discussion
4.1. Main Findings
4.2. Metabolic Effects of Saturated Fatty Acids
4.3. Metabolic Effects of Trans Fatty Acids
4.4. Metabolic Effects of Polyunsaturated Fatty Acid (PUFA)
4.5. Metabolic Effects of Monounsaturated Fatty Acid (MUFA)
4.6. Strengths and Limitations
4.7. Potential Mechanisms
4.8. Practical Implications
5. Conclusions
Author Contributions
Funding
Conflicts of Interest
References
- Field, C.J.; Ryan, E.A.; Thomson, A.B.; Clandinin, M.T. Diet fat composition alters membrane phospholipid composition, insulin binding, and glucose metabolism in adipocytes from control and diabetic animals. J. Biol. Chem. 1990, 265, 11143–11150. [Google Scholar] [PubMed]
- Hodson, L.; Skeaff, C.M.; Fielding, B.A. Fatty acid composition of adipose tissue and blood in humans and its use as a biomarker of dietary intake. Prog. Lipid Res. 2008, 47, 348–380. [Google Scholar] [CrossRef] [PubMed]
- Vessby, B. Dietary fat, fatty acid composition in plasma and the metabolic syndrome. Curr. Opin. Lipidol. 2003, 14, 15–19. [Google Scholar] [CrossRef] [PubMed]
- Vessby, B.; Uusitupa, M.; Hermansen, K.; Riccardi, G.; Rivellese, A.A.; Tapsell, L.C.; Nälsén, C.; Berglund, L.; Louheranta, A.; Rasmussen, B.M.; et al. Substituting dietary saturated for monounsaturated fat impairs insulin sensitivity in healthy men and women: The KANWU Study. Diabetologia 2001, 44, 312–319. [Google Scholar] [CrossRef] [PubMed]
- Risérus, U.; Willett, W.C.; Hu, F.B. Dietary fats and prevention of type 2 diabetes. Prog. Lipid Res. 2009, 48, 44–51. [Google Scholar] [CrossRef] [PubMed]
- Li, X.; Xu, Z.; Lu, X.; Yang, X.; Yin, P.; Kong, H.; Yu, Y.; Xu, G. Comprehensive two-dimensional gas chromatography/time-of-flight mass spectrometry for metabonomics: Biomarker discovery for diabetes mellitus. Anal. Chim. Acta 2009, 633, 257–262. [Google Scholar] [CrossRef] [PubMed]
- Vessby, B.; Aro, A.; Skarfors, E.; Berglund, L.; Salminen, I.; Lithell, H. The risk to develop NIDDM is related to the fatty acid composition of the serum cholesterol esters. Diabetes 1994, 43, 1353–1357. [Google Scholar] [CrossRef]
- Feskens, E.J. Can diabetes be prevented by vegetable fat? Diabetes Care 2001, 24, 1517–1518. [Google Scholar] [CrossRef]
- Kristensen, N.B.; Madsen, M.L.; Hansen, T.H.; Allin, K.H.; Hoppe, C.; Fagt, S.; Lausten, M.S.; Gøbel, R.J.; Vestergaard, H.; Hansen, T.; et al. Intake of macro- and micronutrients in Danish vegans. Nutr. J. 2015, 14, 115. [Google Scholar] [CrossRef]
- Roshanai, F.; Sanders, T.A. Assessment of fatty acid intakes in vegans and omnivores. Hum. Nutr. Appl. Nutr. 1984, 38, 345–354. [Google Scholar]
- Sobiecki, J.G.; Appleby, P.N.; Bradbury, K.E.; Key, T.J. High compliance with dietary recommendations in a cohort of meat eaters, fish eaters, vegetarians, and vegans: Results from the European Prospective Investigation into Cancer and Nutrition-Oxford study. Nutr. Res. 2016, 36, 464–477. [Google Scholar] [CrossRef] [PubMed]
- Kahleova, H.; Matoulek, M.; Bratova, M.; Malinska, H.; Kazdova, L.; Hill, M.; Pelikanova, T. Vegetarian diet-induced increase in linoleic acid in serum phospholipids is associated with improved insulin sensitivity in subjects with type 2 diabetes. Nutr. Diabetes 2013, 3, e75. [Google Scholar] [CrossRef] [PubMed]
- Schakel, S.F.; Sievert, Y.A.; Buzzard, I.M. Sources of data for developing and maintaining a nutrient database. J. Am. Diet. Assoc. 1988, 88, 1268–1271. [Google Scholar] [PubMed]
- Hagströmer, M.; Oja, P.; Sjöström, M. The International Physical Activity Questionnaire (IPAQ): A study of concurrent and construct validity. Public Health Nutr. 2006, 9, 755–762. [Google Scholar] [CrossRef] [PubMed]
- Matthews, D.R.; Hosker, J.P.; Rudenski, A.S.; Naylor, B.A.; Treacher, D.F.; Turner, R.C. Homeostasis model assessment: Insulin resistance and beta-cell function from fasting plasma glucose and insulin concentrations in man. Diabetologia 1985, 28, 412–419. [Google Scholar] [CrossRef] [PubMed]
- Kahleova, H.; Tura, A.; Hill, M.; Holubkov, R.; Barnard, N.D. A Plant-Based Dietary Intervention Improves Beta-Cell Function and Insulin Resistance in Overweight Adults: A 16-Week Randomized Clinical Trial. Nutrients 2018, 10, 189. [Google Scholar] [CrossRef] [PubMed]
- Zong, G.; Li, Y.; Wanders, A.J.; Alssema, M.; Zock, P.L.; Willett, W.C.; Hu, F.B.; Sun, Q. Intake of individual saturated fatty acids and risk of coronary heart disease in US men and women: Two prospective longitudinal cohort studies. BMJ 2016, 355, i5796. [Google Scholar] [CrossRef] [PubMed]
- Mensink, R.P.; Zock, P.L.; Kester, A.D.M.; Katan, M.B. Effects of dietary fatty acids and carbohydrates on the ratio of serum total to HDL cholesterol and on serum lipids and apolipoproteins: A meta-analysis of 60 controlled trials. Am. J. Clin. Nutr. 2003, 77, 1146–1155. [Google Scholar] [CrossRef] [PubMed]
- Iggman, D.; Rosqvist, F.; Larsson, A.; Arnlöv, J.; Beckman, L.; Rudling, M.; Risérus, U. Role of dietary fats in modulating cardiometabolic risk during moderate weight gain: A randomized double-blind overfeeding trial (LIPOGAIN study). J. Am. Heart Assoc. 2014, 15, e001095. [Google Scholar] [CrossRef]
- Guasch-Ferré, M.; Becerra-Tomás, N.; Ruiz-Canela, M.; Corella, D.; Schröder, H.; Estruch, R.; Ros, E.; Arós, F.; Gómez-Gracia, E.; Fiol, M.; et al. Total and subtypes of dietary fat intake and risk of type 2 diabetes mellitus in the Prevención con Dieta Mediterránea (PREDIMED) study. Am. J. Clin. Nutr. 2017, 105, 723–735. [Google Scholar] [CrossRef]
- Baylin, A.; Kabagambe, E.K.; Ascherio, A.; Spiegelman, D.; Campos, H. High 18:2 trans-fatty acids in adipose tissue are associated with increased risk of nonfatal acute myocardial infarction in costa rican adults. J. Nutr. 2003, 133, 1186–1191. [Google Scholar] [CrossRef] [PubMed]
- Liu, B.; Sun, Y.; Snetselaar, L.G.; Sun, Q.; Yang, Q.; Zhang, Z.; Liu, L.; Hu, F.B.; Bao, W. Association between plasma trans-fatty acid concentrations and diabetes in a nationally representative sample of US adults. J. Diabetes 2018, 10, 653–664. [Google Scholar] [CrossRef] [PubMed]
- Valenzuela, A.; Morgado, N. Trans fatty acid isomers in human health and in the food industry. Biol. Res. 1999, 32, 273–287. [Google Scholar] [CrossRef] [PubMed]
- Field, A.E.; Willett, W.C.; Lissner, L.; Colditz, G.A. Dietary fat and weight gain among women in the Nurses’ Health Study. Obesity 2007, 15, 967–976. [Google Scholar] [CrossRef] [PubMed]
- Bendsen, N.T.; Chabanova, E.; Thomsen, H.S.; Larsen, T.M.; Newman, J.W.; Stender, S.; Dyerberg, J.; Haugaard, S.B.; Astrup, A. Effect of trans fatty acid intake on abdominal and liver fat deposition and blood lipids: A randomized trial in overweight postmenopausal women. Nutr. Diabetes 2011, 1, e4. [Google Scholar] [CrossRef] [PubMed]
- Oomen, C.M.; Ocké, M.C.; Feskens, E.J.; van Erp-Baart, M.A.; Kok, F.J.; Kromhout, D. Association between trans fatty acid intake and 10-year risk of coronary heart disease in the Zutphen Elderly Study: A prospective population-based study. Lancet Lond. Engl. 2001, 357, 746–751. [Google Scholar] [CrossRef]
- Risérus, U.; Arner, P.; Brismar, K.; Vessby, B. Treatment with dietary trans10cis12 conjugated linoleic acid causes isomer-specific insulin resistance in obese men with the metabolic syndrome. Diabetes Care 2002, 25, 1516–1521. [Google Scholar] [CrossRef]
- Moloney, F.; Yeow, T.-P.; Mullen, A.; Nolan, J.J.; Roche, H.M. Conjugated linoleic acid supplementation, insulin sensitivity, and lipoprotein metabolism in patients with type 2 diabetes mellitus. Am. J. Clin. Nutr. 2004, 80, 887–895. [Google Scholar] [CrossRef]
- Brown, J.M.; McIntosh, M.K. Conjugated linoleic acid in humans: Regulation of adiposity and insulin sensitivity. J. Nutr. 2003, 133, 3041–3046. [Google Scholar] [CrossRef]
- Wu, J.H.Y.; Marklund, M.; Imamura, F.; Tintle, N.; Ardisson Korat, A.V.; de Goede, J.; Zhou, X.; Yang, W.S.; de Oliveira Otto, M.C.; Kröger, J.; et al. Omega-6 fatty acid biomarkers and incident type 2 diabetes: Pooled analysis of individual-level data for 39 740 adults from 20 prospective cohort studies. Lancet Diabetes Endocrinol. 2017, 5, 965–974. [Google Scholar] [CrossRef]
- Abeywardena, M.Y.; Patten, G.S. Role of ω3 long-chain polyunsaturated fatty acids in reducing cardio-metabolic risk factors. Endocr. Metab. Immune Disord. Drug Targets 2011, 11, 232–246. [Google Scholar] [CrossRef] [PubMed]
- Heskey, C.E.; Jaceldo-Siegl, K.; Sabaté, J.; Fraser, G.; Rajaram, S. Adipose tissue α-linolenic acid is inversely associated with insulin resistance in adults. Am. J. Clin. Nutr. 2016, 103, 1105–1110. [Google Scholar] [CrossRef]
- Muramatsu, T.; Yatsuya, H.; Toyoshima, H.; Sasaki, S.; Li, Y.; Otsuka, R.; Wada, K.; Hotta, Y.; Mitsuhashi, H.; Matsushita, K.; et al. Higher dietary intake of alpha-linolenic acid is associated with lower insulin resistance in middle-aged Japanese. Prev. Med. 2010, 50, 272–276. [Google Scholar] [CrossRef] [PubMed]
- Wu, J.H.Y.; Micha, R.; Imamura, F.; Pan, A.; Biggs, M.L.; Ajaz, O.; Djousse, L.; Hu, F.B.; Mozaffarian, D. Omega-3 fatty acids and incident type 2 diabetes: A systematic review and meta-analysis. Br. J. Nutr. 2012, 107 (Suppl. 2), S214–S227. [Google Scholar] [CrossRef] [PubMed]
- Veleba, J.; Kopecky, J.; Janovska, P.; Kuda, O.; Horakova, O.; Malinska, H.; Kazdova, L.; Oliyarnyk, O.; Skop, V.; Trnovska, J.; et al. Combined intervention with pioglitazone and n-3 fatty acids in metformin-treated type 2 diabetic patients: Improvement of lipid metabolism. Nutr. Metab. 2015, 12, 52. [Google Scholar] [CrossRef] [PubMed]
- Qian, F.; Korat, A.A.; Malik, V.; Hu, F.B. Metabolic Effects of Monounsaturated Fatty Acid-Enriched Diets Compared With Carbohydrate or Polyunsaturated Fatty Acid-Enriched Diets in Patients With Type 2 Diabetes: A Systematic Review and Meta-analysis of Randomized Controlled Trials. Diabetes Care. 2016, 39, 1448–1457. [Google Scholar] [CrossRef] [PubMed]
- Zong, G.; Li, Y.; Sampson, L.; Dougherty, L.W.; Willett, W.C.; Wanders, A.J.; Alssema, M.; Zock, P.L.; Hu, F.B.; Sun, Q. Monounsaturated fats from plant and animal sources in relation to risk of coronary heart disease among US men and women. Am. J. Clin. Nutr. 2018, 107, 445–453. [Google Scholar] [CrossRef] [PubMed]
- Barnard, N.D.; Gloede, L.; Cohen, J.; Jenkins, D.J.A.; Turner-McGrievy, G.; Green, A.A.; Ferdowsian, H. A low-fat vegan diet elicits greater macronutrient changes, but is comparable in adherence and acceptability, compared with a more conventional diabetes diet among individuals with type 2 diabetes. J. Am. Diet. Assoc. 2009, 109, 263–272. [Google Scholar] [CrossRef] [PubMed]
- Johansson, G.; Wikman, A.; Ahrén, A.M.; Hallmans, G.; Johansson, I. Underreporting of energy intake in repeated 24-hour recalls related to gender, age, weight status, day of interview, educational level, reported food intake, smoking habits and area of living. Public Health Nutr. 2001, 4, 919–927. [Google Scholar] [CrossRef] [PubMed]
- Association between Different Types of Plant-Based Diets and Leptin Levels in Healthy Volunteers. Available online: https://www.ncbi.nlm.nih.gov/pubmed/30769342 (accessed on 5 March 2019).
- Kahleova, H.; Matoulek, M.; Malinska, H.; Oliyarnik, O.; Kazdova, L.; Neskudla, T.; Skoch, A.; Hajek, M.; Hill, M.; Kahle, M.; et al. Vegetarian diet improves insulin resistance and oxidative stress markers more than conventional diet in subjects with Type 2 diabetes. Diabet. Med. J. Br. Diabet. Assoc. 2011, 28, 549–559. [Google Scholar] [CrossRef] [PubMed]
- Wang, D.D.; Li, Y.; Chiuve, S.E.; Stampfer, M.J.; Manson, J.E.; Rimm, E.B.; Willett, W.C.; Hu, F.B. Association of Specific Dietary Fats With Total and Cause-Specific Mortality. JAMA Intern. Med. 2016, 176, 1134–1145. [Google Scholar] [CrossRef] [PubMed]



| Characteristic | Vegan Group (n = 38) | Control Group (n = 37) | p-Value |
|---|---|---|---|
| Age (years) | 52.6 ± 14.7 | 54.3 ± 9.9 | 0.56 |
| Sex (number, %) | 0.15 | ||
| Male | 2 (5%) | 6 (16%) | |
| Female | 36 (95%) | 31 (84%) | |
| Race, (number, %) | |||
| White | 15 (39%) | 19 (51%) | 0.99 |
| Black | 20 (53%) | 14 (38%) | |
| Asian, Pacific Islander | 0 | 4 (11%) | |
| American Indian, Eskimo, Aleut | 2 (5%) | 0 | |
| N/A: did not disclose | 1 (3%) | 0 | |
| Ethnicity, (number, %) | |||
| Non-hispanic | 33 (87%) | 31 (84%) | |
| Hispanic | 3 (8%) | 3 (8%) | |
| N/A: did not disclose | 2 (5%) | 3 (8%) | |
| Marital status | |||
| Not married | 22 (58%) | 19 (51%) | 0.66 |
| Married | 16 (42%) | 17 (46%) | |
| N/A | 0 | 1 (3%) | |
| Education | 0.49 | ||
| High school | 0 | 0 | |
| College | 17 (45%) | 20 (54%) | |
| Graduate degree | 20 (53%) | 17 (46%) | |
| N/A | 1 (2%) | 0 | |
| Occupation | 0.26 | ||
| Service occupation | 5 (13%) | 1 (3%) | |
| Technical, sales, administrative | 15 (39%) | 10 (27%) | |
| Professional or managerial | 10 (26%) | 16 (43%) | |
| Retired | 4 (11%) | 6 (16%) | |
| Other | 4 (11%) | 4 (11%) | |
| Medications | |||
| Lipid-lowering therapy (%) | 5 (13) | 4 (11) | 0.99 |
| Antihypertensive therapy (%) | 11 (29) | 7 (19) | 0.31 |
| Thyroid medications (%) | 6 (16) | 3 (8) | 0.48 |
| Control Group | Vegan Group | Treatment Effect | p-Value | |||
|---|---|---|---|---|---|---|
| Baseline | Week 16 | Baseline | Week 16 | |||
| Total physical activity (METs) | 2642 (1476–3809) | 2575 (1169–3980) | 2207 (1444–2969) | 2490 (1586–3395) | +351 (−1143 to +1846) | 0.46 |
| Dietary intake | ||||||
| Caloric intake (kcal.day−1) | 1923 (1627–2219) | 1582 (1368–1795) ** | 1851 (1695–2007) | 1450 (1249–1652) *** | −60 (−352 to +233) | 0.69 |
| Carbohydrates (% of daily energy) | 45.5 (42.6–48.4) | 46.6 (42.9–50.4) | 46.1 (43.5–48.8) | 69.6 (67.3–71.8) *** | +22.3 (+17.7 to +26.9) | <0.001 |
| Fats (% of daily energy) | 35.6 (32.3–38.9) | 35.0 (31.5–38.4) | 36.1 (34.0–38.1) | 17.5 (15.5–19.4) *** | −17.9 (−22.3 to −13.6) | <0.001 |
| Proteins (% of daily energy) | 16.00 (14.94–17.07) | 16.99 (15.45–18.52) | 16.77 (15.36–18.19) | 12.26 (11.26–13.25) *** | −5.50 (−7.90 to −3.11) | <0.001 |
| Total protein (g/day) | 75.4 (65.4–85.4) | 66.8 (57.3–76.2) | 76.5 (68.8–84.2) | 50.8 (42.4–59.3) *** | −17.0 (−30.5 to −3.4) | 0.01 |
| Total Carbs (g/day) | 215.0 (186.2–243.9) | 186.5 (161.2–211.8) * | 216.9 (198.2–235.6) | 259.9 (222.0–297.8) * | +71.5 (+27.6 to +115.4) | 0.002 |
| Total Fat (g/day) | 83.9 (65.9–101.9) | 66.0 (53.3–78.7) ** | 77.7 (68.6–86.8) | 28.8 (24.5–33.0) *** | −31.0 (−46.2 to −15.7) | <0.001 |
| Cholesterol intake (mg.day−1) | 290 (220–360) | 212 (149–275) | 264 (213–315) | 6.5 (2.5–10.5) *** | −180 (−278 to −82) | <0.001 |
| Solid Fats (g/day) | 33.69 (25.53–41.85) | 21.29 (14.47–28.11) ** | 32.18 (27.49–36.87) | 3.77 (2.60–4.94) *** | −16.01 (−25.15 to −6.87) | 0.001 |
| Saturated fatty acids (SFAs) | ||||||
| C4:0 butyric acid (g/day) | 0.51 (0.33–0.70) | 0.28 (0.17–0.39) * | 0.51 (0.38–0.65) | 0.02 (0.003–0.03) *** | −0.26 (−0.47 to −0.05) | 0.02 |
| C6:0 caproic acid (g/day) | 0.31 (0.20–0.41) | 0.16 (0.10–0.21) ** | 0.30 (0.22–0.38) | 0.01 (0.003–0.02) *** | −0.14 (−0.27 to −0.02) | 0.03 |
| C8:0 caprylic acid (g/day) | 0.31 (0.20–0.42) | 0.16 (0.11–0.21) ** | 0.33 (0.24–0.43) | 0.05 (0.02–0.08) *** | −0.13 (−0.27 to +0.01) | 0.07 |
| C10:0 capric acid (g/day) | 0.60 (0.39–0.80) | 0.30 (0.20–0.39) ** | 0.59 (0.44–0.74) | 0.06 (0.04–0.08) *** | −0.23 (−0.46 to −0.001) | 0.05 |
| C12:0 lauric acid (g/day) | 1.19 (0.73–1.66) | 0.59 (0.35–0.83) * | 1.40 (0.86–1.94) | 0.29 (0.10–0.48) *** | −0.51 (−1.26 to +0.24) | 0.18 |
| C14:0 myristic acid (g/day) | 2.14 (1.57–2.71) | 1.26 (0.85–1.68) ** | 2.22 (1.76–2.68) | 0.22 (0.13–0.31) *** | −1.13 (−1.83 to −0.43) | 0.002 |
| C16:0 palmitic acid (g/day) | 13.46 (10.64–16.27) | 9.96 (7.75–12.17) ** | 12.80 (11.30–14.29) | 3.60 (2.96–4.24) *** | −5.69 (−8.40 to −2.99) | <0.001 |
| C17:0 margaric acid (g/day) | 0.12 (0.09–0.16) | 0.07 (0.05–0.10) ** | 0.09 (0.08–0.11) | 0.02 (0.01–0.03) *** | −0.02 (−0.06 to +0.01) | 0.20 |
| C18:0 stearic acid (g/day) | 6.23 (4.62–7.85) | 4.51 (3.10–5.92) ** | 5.46 (4.77–6.15) | 1.20 (0.95–1.45) *** | −2.54 (−3.75 to −1.34) | <0.001 |
| C20:0 arachidic acid (g/day) | 0.22 (0.14–0.29) | 0.18 (0.13–0.23) | 0.18 (0.15–0.21) | 0.06 (0.05–0.08) *** | −0.07 (0.14 to −0.01) | 0.03 |
| C22:0 behenic acid (g/day) | 0.17 (0.09–0.25) | 0.16 (0.10–0.22) | 0.15 (0.10–0.20) | 0.05 (0.03–0.06) *** | −0.09 (−0.20 to +0.02) | 0.09 |
| Monounsaturated fatty acids (MUFAs) | ||||||
| C14:1 myristoleic acid (g/day) | 0.10 (0.07–0.13) | 0.05 (0.03–0.08) ** | 0.08 (0.06–0.10) | 0.002 (0.001–0.002) *** | −0.03 (−0.06 to +0.009) | 0.14 |
| C16:1 palmitoleic acid (g/day) | 1.05 (0.84–1.26) | 0.83 (0.61–1.04) * | 1.07 (0.91–1.23) | 0.14 (0.10–0.18) *** | −0.71 (−0.97 to −0.45) | <0.001 |
| C18:1 oleic acid (g/day) | 28.85 (22.42–35.28) | 23.52 (18.67–28.37) * | 27.21 (23.51–30.90) | 9.13 (7.50–10.75) *** | −12.75 (−18.27 to −7.22) | <0.001 |
| C20:1 gadoleic acid (g/day) | 0.28 (0.21–0.35) | 0.26 (0.21–0.32) | 0.30 (0.25–0.35) | 0.10 (0.07–0.13) *** | −0.18 (−0.26 to −0.10) | <0.001 |
| C22:1 erucic acid (g/day) | 0.05 (0.02–0.09) | 0.09 (0.04–0.14) | 0.08 (0.02–0.14) | 0.02 (0.01–0.04) | −0.09 (−0.18 to −0.004) | 0.04 |
| Polyunsaturated fatty acids (PUFAs) | ||||||
| C18:3 n3 ALA (g/day) | 1.98 (1.27–2.69) | 1.96 (1.49–2.42) | 1.70 (1.37–2.04) | 1.15 (0.97–1.33) ** | −0.54 (−1.30 to +0.23) | 0.16 |
| C18:4 parinaric acid (g/day) | 0.01 (0.001–0.02) | 0.01 (0.003–0.02) | 0.01 (0.003–0.02) | 0.0005 (–0.0003–+0.001) * | −0.01 (−0.03 to +0.0016) | 0.08 |
| C20:5 EPA (g/day) | 0.07 (0.02–0.12) | 0.07 (0.03–0.11) | 0.06 (0.03–0.10) | 0.004 (–0.002–+0.009) ** | −0.06 (−0.12 to +0.010) | 0.09 |
| C22:5 DPA (g/day) | 0.03 (0.02–0.03) | 0.03 (0.01–0.04) | 0.04 (0.02–0.05) | 0.004 (–0.003–0.01) *** | −0.04 (−0.06 to −0.01) | 0.004 |
| C22:6 DHA (g/day) | 0.12 (0.06–0.17) | 0.14 (0.07–0.21) | 0.14 (0.07–0.21) | 0.02 (–0.01–0.05) ** | −0.15 (−0.26 to −0.04) | 0.01 |
| Total Omega 3 | 2.20 (1.47–2.94) | 2.21 (1.71–2.71) | 1.96 (1.61–2.31) | 1.17 (0.99–1.35) *** | −0.79 (−1.59 to −0.004) | 0.05 |
| C18:2 linoleic acid (g/day) | 18.55 (13.67–23.43) | 15.44 (12.60–18.28) | 15.89 (13.12–18.66) | 9.31 (7.85–10.76) *** | −3.47 (−8.40 to +1.46) | 0.16 |
| C18:3 linolenic acid (g/day) | 2.03 (1.31–2.75) | 2.01 (1.54–2.48) | 1.75 (1.41–2.10) | 1.16 (0.98–1.34) *** | −0.57 (−1.34 to +0.20) | 0.14 |
| C20:4 arachidonic acid (g/day) | 0.15 (0.11–0.18) | 0.11 (0.08–0.14) | 0.14 (0.11–0.17) | 0.006 (0.002–0.009) *** | −0.10 (−0.15 to −0.04) | <0.001 |
| TRANS fats | ||||||
| trans 18:1 octadecen (g/day) | 1.91 (1.06–2.75) | 1.15 (0.66–1.63) | 1.67 (1.32–2.02) | 0.28 (0.16–0.39) *** | −0.64 (−1.65 to +0.38) | 0.21 |
| trans 18:2 octadecad (g/day) | 0.31 (0.23–0.39) | 0.24 (0.16–0.32) | 0.30 (0.26–0.34) | 0.07 (0.05–0.09) *** | −0.15 (−0.26 to −0.04) | 0.01 |
| trans 16:1 hexadecen (g/day) | 0.05 (0.03–0.06) | 0.03 (0.02–0.04) ** | 0.05 (0.04–0.06) | 0.004 (0.002–0.005) *** | −0.02 (−0.04 to −0.005) | 0.02 |
| CIS9TRANS11 | 0.10 (0.07–0.13) | 0.06 (0.04–0.09) | 0.09 (0.08–0.11) | 0.003 (0.001–0.08) *** | −0.05 (−0.08 to −0.02) | 0.003 |
| CLA TRANS10 CIS12 | 0.02 (0.02–0.03) | 0.01 (0.01–0.02) | 0.02 (0.01–0.02) | 0.001 (0.008–0.001) *** | −0.009 (−0.016 to −0.003) | 0.005 |
| Total Trans Fatty Acids (g/day) | 2.29 (1.37–3.21) | 1.43 (0.87–2.00) | 2.05 (1.67–2.43) | 0.35 (0.22–0.48) *** | −0.84 (−1.95 to +0.28) | 0.14 |
| Control Group | Vegan Group | Treatment Effect | p-Value | |||
|---|---|---|---|---|---|---|
| Baseline | Week 16 | Baseline | Week 16 | |||
| Saturated fatty acids (SFAs) | ||||||
| C4:0 butyric acid (%) | 0.561 (0.438–0.684) | 0.408 (0.296–0.521) | 0.656 (0.515–0.798) | 0.046 (0.012–0.080) *** | −0.458 (−0.671 to −0.245) | <0.001 |
| C6:0 caproic acid (%) | 0.335 (0.265–0.404) | 0.243 (0.172–0.313) | 0.388 (0.304–0.472) | 0.032 (0.013–0.052) *** | −0.264 (−0.395 to −0.134) | <0.001 |
| C8:0 caprylic acid (%) | 0.346 (0.259–0.433) | 0.256 (0.187–0.324) | 0.426 (0.312–0.539) | 0.179 (0.088–0.271) ** | −0.156 (−0.334 to +0.022) | 0.085 |
| C10:0 capric acid (%) | 0.649 (0.525–0.773) | 0.461 (0.355–0.568) | 0.762 (0.590–0.934) | 0.215 (0.136–0.293) *** | −0.360 (−0.603 to −0.117) | 0.004 |
| C12:0 lauric acid (%) | 1.439 (0.910–1.967) | 0.961 (0.586–1.337) | 1.762 (1.106–2.417) | 1.101 (0.370–1.833) | −0.183 (−1.335 to +0.969) | 0.752 |
| C14:0 myristic acid (%) | 2.495 (2.096–2.895) | 1.963 (1.530–2.396) | 2.871 (2.402–3.341) | 0.750 (0.460–1.041) *** | −1.589 (−2.364 to −0.813) | <0.001 |
| C16:0 palmitic acid (%) | 16.032 (15.145–16.918) | 14.930 (13.989–15.870) | 16.647 (15.843–17.452) | 12.240 (11.690–12.790) *** | −3.305 (−4.816 to −1.795) | <0.001 |
| C17:0 margaric acid (%) | 0.146 (0.123–0.170) | 0.107 (0.084–0.129) * | 0.123 (0.105–0.140) | 0.067 (0.020–0.114) * | −0.016 (−0.076 to +0.045) | 0.610 |
| C18:0 stearic acid (%) | 7.123 (6.371–7.875) | 6.449 (5.551–7.347) | 7.080 (6.589–7.572) | 3.908 (3.577–4.240) *** | −2.498 (−3.410 to −1.586) | <0.001 |
| C20:0 arachidic acid (%) | 0.248 (0.205–0.292) | 0.265 (0.220–0.310) | 0.225 (0.193–0.258) | 0.224 (0.194–0.253) | −0.018 (−0.084 to +0.047) | 0.580 |
| C22:0 behenic acid (%) | 0.209 (0.131–0.286) | 0.240 (0.152–0.328) | 0.195 (0.134–0.256) | 0.163 (0.113–0.212) | −0.064 (−0.190 to +0.062) | 0.316 |
| Monounsaturated fatty acids (MUFA) | ||||||
| C14:1 myristoleic acid (%) | 0.135 (0.096–0.173) | 0.093 (0.055–0.131) | 0.103 (0.080–0.126) | 0.006 (0.003–0.009) *** | −0.056 (−0.105 to −0.007) | 0.026 |
| C16:1 palmitoleic acid (%) | 1.296 (1.150–1.442) | 1.209 (1.034–1.383) | 1.442 (1.247–1.638) | 0.482 (0.377–0.587) *** | −0.873 (−0.559 to −1.187) | <0.001 |
| C18:1 oleic acid (%) | 33.990 (31.920–36.058) | 34.758 (32.622–36.894) | 34.766 (33.183–36.349) | 31.109 (29.012–33.205) * | −4.427 (−8.037 to −0.816) | 0.017 |
| C20:1 gadoleic acid (%) | 0.344 (0.292–0.396) | 0.417 (0.326–0.509) | 0.420 (0.321–0.518) | 0.364 (0.246–0.482) | −0.129 (−0.317 to +0.059) | 0.175 |
| C22:1 erucic acid (%) | 0.071 (0.014–0.127) | 0.157 (0.053–0.261) | 0.152 (0.026–0.277) | 0.095 (0.038–0.153) | −0.143 (−0.332 to +0.046) | 0.136 |
| Polyunsaturated fatty acids (PUFA) | ||||||
| C18:2 linoleic acid (%) | 22.115 (19.787–24.443) | 24.073 (21.827–26.319) | 20.048 (18.173–21.924) | 32.423 (30.574–34.271) *** | +10.416 (+6.520 to +14.312) | <0.001 |
| C18:3 linolenic acid (%) | 2.352 (2.008–2.695) | 3.177 (2.559–3.794) * | 2.300 (1.897–2.702) | 4.338 (3.755–4.921) *** | +1.213 (+0.379 to +2.048) | 0.005 |
| C18:3 n3 ALA (%) | 2.287 (1.948–2.626) | 3.093 (2.478–3.709) * | 2.234 (1.838–2.630) | 4.280 (3.702–4.858) *** | +1.239 (+0.412 to +2.067) | 0.004 |
| C18:4 parinaric acid (%) | 0.012 (0.001–0.023) | 0.024 (0.006–0.041) | 0.024 (0.003–0.044) | 0.002 (–0.001–0.006) * | −0.033 (−0.063 to −0.004) | 0.027 |
| C20:4 arachidonic acid (%) | 0.187 (0.145–0.229) | 0.164 (0.124–0.203) | 0.189 (0.152–0.226) | 0.020 (0.005–0.035) *** | −0.140 (−0.199 to −0.081) | <0.001 |
| C20:5 EPA (%) | 0.086 (0.039–0.133) | 0.124 (0.053–0.194) | 0.108 (0.036–0.181) | 0.014 (–0.008–0.037) * | −0.132 (−0.240 to −0.025) | 0.017 |
| C22:5 DPA (%) | 0.038 (0.021–0.054) | 0.054 (0.025–0.084) | 0.060 (0.025–0.095) | 0.016 (–0.014–0.045) | −0.061 (−0.118 to −0.004) | 0.037 |
| C22:6 DHA (%) | 0.154 (0.075–0.233) | 0.264 (0.125–0.402) | 0.234 (0.079–0.389) | 0.073 (–0.064–0.210) | −0.271 (−0.522 to −0.019) | 0.035 |
| TRANS fatty acids | ||||||
| trans 18:1 octadecen (%) | 2.215 (1.272–3.157) | 1.626 (1.223–2.028) | 2.200 (1.816–2.585) | 0.920 (0.561–1.279) *** | −0.692 (−1.802 to +0.419) | 0.216 |
| trans 18:2 octadecad (%) | 0.376 (0.308–0.444) | 0.364 (0.300–0.428) | 0.393 (0.352–0.434) | 0.233 (0.189–0.277) *** | −0.147 (−0.252 to −0.042) | 0.007 |
| trans 16:1 hexadecen (%) | 0.059 (0.045–0.072) | 0.041 (0.030–0.053) | 0.064 (0.049–0.079) | 0.012 (0.007–0.016) *** | −0.035 (−0.058 to −0.013) | 0.003 |
| Omega–3 (%) | 2.576 (2.230–2.921) | 3.559 (2.855–4.263) * | 2.659 (2.167–3.152) | 4.385 (3.791–4.978) *** | +0.742 (−0.216 to +1.701) | 0.127 |
| Total CLA (%) | 0.139 (0.118–0.160) | 0.115 (0.086–0.144) | 0.145 (0.122–0.168) | 0.013 (0.008–0.019) *** | −0.108 (−0.148 to −0.067) | <0.001 |
| CLA cis9trans12 (%) | 0.114 (0.097–0.131) | 0.094 (0.070–0.118) | 0.121 (0.101–0.140) | 0.010 (0.005–0.014) *** | −0.091 (−0.125 to −0.057) | <0.001 |
| CLA trans10cis12 (%) | 0.024 (0.020–0.029) | 0.020 (0.015–0.025) | 0.024 (0.020–0.028) | 0.002 (0.001–0.003) *** | −0.017 (−0.024 to −0.011) | <0.001 |
| Total Trans Fatty Acids (%) | 2.678 (1.668–3.687) | 2.064 (1.607–2.522) | 2.694 (2.284–3.105) | 1.168 (0.778–1.558) *** | −0.913 (−2.115 to +0.288) | 0.133 |
| Solid Fats (%) | 38.473 (33.098–43.847) | 30.037 (24.940–35.133) * | 41.651 (37.762–45.539) | 11.921 (9.056–14.816) *** | −21.294 (−29.8 to −12.8) | <0.001 |
© 2019 by the authors. Licensee MDPI, Basel, Switzerland. This article is an open access article distributed under the terms and conditions of the Creative Commons Attribution (CC BY) license (http://creativecommons.org/licenses/by/4.0/).
Share and Cite
Kahleova, H.; Hlozkova, A.; Fleeman, R.; Fletcher, K.; Holubkov, R.; Barnard, N.D. Fat Quantity and Quality, as Part of a Low-Fat, Vegan Diet, Are Associated with Changes in Body Composition, Insulin Resistance, and Insulin Secretion. A 16-Week Randomized Controlled Trial. Nutrients 2019, 11, 615. https://doi.org/10.3390/nu11030615
Kahleova H, Hlozkova A, Fleeman R, Fletcher K, Holubkov R, Barnard ND. Fat Quantity and Quality, as Part of a Low-Fat, Vegan Diet, Are Associated with Changes in Body Composition, Insulin Resistance, and Insulin Secretion. A 16-Week Randomized Controlled Trial. Nutrients. 2019; 11(3):615. https://doi.org/10.3390/nu11030615
Chicago/Turabian StyleKahleova, Hana, Adela Hlozkova, Rebecca Fleeman, Katie Fletcher, Richard Holubkov, and Neal D. Barnard. 2019. "Fat Quantity and Quality, as Part of a Low-Fat, Vegan Diet, Are Associated with Changes in Body Composition, Insulin Resistance, and Insulin Secretion. A 16-Week Randomized Controlled Trial" Nutrients 11, no. 3: 615. https://doi.org/10.3390/nu11030615
APA StyleKahleova, H., Hlozkova, A., Fleeman, R., Fletcher, K., Holubkov, R., & Barnard, N. D. (2019). Fat Quantity and Quality, as Part of a Low-Fat, Vegan Diet, Are Associated with Changes in Body Composition, Insulin Resistance, and Insulin Secretion. A 16-Week Randomized Controlled Trial. Nutrients, 11(3), 615. https://doi.org/10.3390/nu11030615

