Abstract
In the field of multi-robot cooperative localization and task planning, traditional filtering algorithms encounter synchronization and consistency issues during multi-source data fusion. These challenges result in cumulative localization errors and inefficient information sharing, which limits the system’s collaborative capabilities and control accuracy. To overcome these limitations, a distributed cooperative navigation strategy is introduced. Initially, a Distributed Adaptive Extended Kalman Filter (DAEKF) is implemented, which adaptively adjusts the noise covariance matrix to effectively manage nonlinearities and multi-source noise conditions. Subsequently, a Distributed Model Predictive Control (DMPC) framework is introduced. This framework predicts and optimizes each robot’s kinematic model, thereby improving the system’s collaborative operations and dynamic decision-making capabilities. Finally, the efficacy of this strategy is confirmed through detailed simulations and robotic experiments. The simulation results for cooperative localization demonstrate that DAEKF outperforms Kalman Filter (KF) and Extended Kalman Filter (EKF) in terms of localization accuracy. In the straight-line path-tracking experiments, DAEKF effectively reduced both lateral and heading errors for both robots. For Robot 1, DAEKF reduced the lateral error Root Mean Squared Error (RMSE) by 68.87%, 27.80%, and 25.76%, compared to No Filtering, KF, and EKF. In heading error, DAEKF reduced the RMSE by 52.29%, 41.89%, and 36.47%. For Robot 2, DAEKF reduced the lateral error RMSE by 51.30%, 22.88%, and 11.60%, compared to No Filtering, KF, and EKF. In heading error, DAEKF reduced the RMSE by 39.55%, 37.15%, and 26.00%. In the curved path-tracking experiments, both robots demonstrated high trajectory conformity while traveling along a predefined path combining straight-line and circular arc segments, with lateral errors in the straight-line segments all below 0.05 m. The strategy proposed in this study significantly enhanced the precision and stability of multi-robot collaborative navigation, demonstrating strong practicality and scalability.
1. Introduction
With the rapid advancement of automation and intelligent technologies, robots have become increasingly pivotal across diverse sectors, including industrial production, urban management, disaster response, and daily services. Precise navigation and localization are critical for enabling robots to perform their tasks efficiently and safely [,,]. Traditional single-robot localization systems often encounter significant challenges in complex environments. For instance, signal attenuation and the obstruction of Global Positioning Systems (GPS) are prevalent in densely urbanized areas [], and Inertial Navigation Systems (INS) are prone to accuracy degradation due to cumulative errors over time []. To overcome these limitations, researchers [,,] have introduced the concept of multi-robot cooperative localization. This approach aims to enhance overall localization accuracy by integrating the self-localization data of each robot with external observational inputs, thereby optimizing the global localization results.
The Kalman Filter (KF), a classical method for handling linear Gaussian state-space models, is extensively applied in navigation, target tracking, and control systems. Its performance is highly dependent on accurate prior knowledge of the noise statistical model, and it faces significant adaptability challenges when dealing with nonlinear systems and complex noise environments [,,]. To enhance the accuracy and robustness of the filter, several extensions of the Kalman Filter have been proposed, including the Extended Kalman Filter (EKF), the Multi-Step Pseudo-Measurement Adaptive Kalman Filter (MPKF), and the Robust Adaptive Extended Kalman Filter (RAEKF). Yang et al. [] notably improved the localization accuracy and navigation capability of the semi-autonomous rescue robot Ambubot in unknown indoor environments by implementing the EKF. Wang et al. [] developed the MPKF algorithm, which effectively improved robot navigation accuracy in complex urban environments by combining historical state estimates with noise variance evaluations. Rahul et al. [] introduced the RAEKF, based on the maximum likelihood estimation principle, which significantly enhanced the efficiency and accuracy of vehicle state estimation. While these advancements have demonstrated substantial improvements in single-robot localization, environmental noise plays a critical role in affecting the accuracy of localization update data in multi-robot cooperative operations [,,,]. This noise primarily stems from interactions between robots and the instability of the operating environment. It can lead to errors when applying localization data from individual robots without synchronization, thereby compromising the localization performance of the entire cooperative control system. Consequently, the development of advanced localization update strategies, capable of adapting to highly dynamic environmental changes and ensuring data synchronization, is essential to maintain localization accuracy and effective coordination control in multi-robot systems operating within complex environments.
In terms of control methods, Proportional Integral Derivative (PID) control [,,] is widely adopted in servo systems due to its simplicity and ease of implementation. However, its performance is limited when applied to nonlinear and coupled systems. In contrast, Pure Pursuit Control (PPC) [,] is well suited for tracking smooth paths and can achieve relatively stable path following. Nevertheless, in high-dynamic environments where fast response and precise path tracking are required, PPC often fails to meet the accuracy demands of practical applications. Fuzzy Logic Control (FLC) [,,], on the other hand, effectively addresses nonlinearities and uncertainties in the system, making it applicable for control tasks in complex environments. However, in distributed task scheduling with high complexity or resource constraints, FLC may face challenges related to computational efficiency. By comparison, Model Predictive Control (MPC) is distinguished by its real-time optimization capability, particularly for multivariable and constrained problems. MPC is also highly effective in managing nonlinear multi-agent systems, handling the substantial computational demands posed by numerous control units, and achieving high-precision control while adapting to complex environments. As a result, MPC has become a focal point in multi-robot control research. For example, Chen et al. [] proposed an infinite-horizon MPC method that successfully addressed the deadlock problem in shared workspaces among multiple robots. Liu et al. [] developed a discrete-time MPC method based on state-compensated extended state observers, which significantly enhanced the control performance of autonomous vessels. Distributed Model Predictive Control (DMPC) further advances cooperation among multiple robots. Jiang et al. [] utilized DMPC to achieve optimized coordination and collision avoidance among multiple robots, thereby improving the system’s control performance and safety. Luis et al. [] introduced a DMPC algorithm that generates real-time trajectories for multiple robots through collision avoidance and replanning, reducing travel time and increasing task success rates. Pauca et al. [] proposed a DMPC-based mobile robot queue control scheme using the ZigBee protocol, which was experimentally verified for its effectiveness and feasibility. By combining global information sharing with locally independent control decisions, DMPC not only enhances system flexibility and scalability but also improves the robustness of multi-robot systems [,,].
Given the limitations of existing methods in addressing the transmission and synchronization of control signals between robots, particularly the degradation of collaboration accuracy and noise accumulation resulting from asynchronous control signals [,], this paper proposes a distributed cooperative navigation strategy based on the Distributed Adaptive Extended Kalman Filter (DAEKF). The objective is to enhance the accuracy and robustness of multi-robot systems in Global Navigation Satellite System/Inertial Navigation System (GNSS/INS) integrated localization, thereby facilitating efficient path tracking and predictive control. The structure of the paper is organized as follows: Section 2 provides an overview of the proposed method, introducing the DAEFK. This section includes a discussion of the motion state model for a dual-robot system, updates to the covariance matrix, and adaptive estimation methods for both process and observation noise. Additionally, a distributed algorithm framework integrating these techniques is presented, along with its execution process. The DMPC framework for the dual-robot system is then analyzed to improve the efficiency and accuracy of dynamic responses. Section 3 presents the analysis and discussion of simulation experiments for the localization algorithm, as well as the results from dual-robot path-tracking tests. Finally, Section 4 provides the conclusion of the paper.
2. Materials and Methods
2.1. Implementation of Distributed Adaptive Extended Kalman Filter Algorithm
The DAEKF enhances the accuracy of state estimation in nonlinear dynamic systems and non-Gaussian noise environments by introducing an adaptive mechanism for adjusting the noise covariance. The implementation process is explained from three perspectives: the dual-robot motion model, the adaptive noise estimation method, and the distributed algorithm framework.
2.1.1. Dual-Robot Motion State Model
The basic model of the EKF is described as follows:
State update model:
Observation equation:
where is the state prediction at time step , is the nonlinear state transition function, is the control input at time step , is the process noise, assumed to be Gaussian, is the observation at time step k, is the nonlinear observation function, and is the observation noise.
In the dual-robot system, the goal of state estimation is to optimize the accuracy and consistency of the global state by integrating the observational and prior information between the two robots. This study adopts a covariance-weighted fusion method, described as follows:
The state update of the dual-robot system is based on a discrete-time motion model, with the dynamic equation given by:
where T is the sampling time; (, ) and (, ) are the positions of robot 1 and robot 2 at time step k, respectively; and are the velocities of robot 1 and robot 2 at the previous time step ; and and are the heading angles of the robots at the previous time step.
The local motion state equations for the two robots are as follows:
where and are the state vectors of robot 1 and robot 2.
The global state vector is defined as:
The globally updated measurement vector can be expressed as:
where is the observation vector at time , representing the position measurements of robot 1 and robot 2 from the RTK-GNSS system, is the observation noise, typically assumed to be Gaussian white noise.
2.1.2. Adaptive Noise Estimation Method
To improve the state estimation accuracy of the dual-robot system in dynamic environments, the DAEKF incorporates a noise covariance dynamic adjustment mechanism based on real-time observations and historical data. This mechanism enhances the robustness and stability of state estimation by adaptively estimating the process and observation noise covariances.
During the state prediction phase, the initial estimate of the process noise covariance is computed based on the state prediction error. The mathematical expression for this estimate is given by:
where is the state estimate at time step i, is the state prediction function, and k is the total number of time steps.
In the observation phase, the expected value of the observation error covariance is described by the following equation:
where is the observation residual, and is the prediction error covariance.
In the update step of the Kalman Filter, the correction of the state estimate is determined by the observation residual and the Kalman gain. Its mathematical expression is given by:
where is the Kalman gain.
Considering the dynamic characteristics of the observation residual, the process noise covariance is updated as follows:
where is the observation residual.
Further considering the dynamic variation of the expected error covariance, its update formula is given by:
where and represent the updated error covariance and the predicted error covariance, respectively.
The complete expression integrating the observation residual and covariance dynamic adjustment is given by:
Considering the variation of noise characteristics over time, a dynamic adjustment factor and a forgetting factor q () are introduced. The final update formula for the process noise covariance is given by:
where is the state transition function.
The adaptive update of the observation noise covariance is optimized by combining the current observation residual with historical observation data. Its calculation method is similar to that of the process noise , and the formula is as follows:
where is the observation matrix and is the observation residual.
The update calculation method for the Jacobian matrices of the state transition function and the observation function is as follows, ensuring the accuracy of the model parameters:
2.1.3. Global EKF for Two Robots
To obtain the initial input for global information fusion, each robot first employs its local Extended Kalman Filter (EKF) to estimate its own state, including position and velocity. These state estimates, and represent the state predictions of robot 1 and robot 2 at time step k − 1, respectively. The state estimates are computed by integrating information from the robot’s sensors (such as GNSS and INS) and processed through the motion model. The corresponding error covariance matrices, and , for robot 1 and robot 2, respectively, are used as the initial input for the global EKF information fusion. These data are then combined through weighted coefficients, resulting in the initial fusion of the global information.
This section provides a detailed discussion on the application of the Global Extended Kalman Filter (EKF) in a dual-robot cooperative navigation system to integrate local information from both robots and enhance overall positioning accuracy. Firstly, each robot employs its local EKF to estimate its own state, including position and velocity. These state estimates are then combined using weighted coefficients, achieving an initial fusion of global information.
where and represent the weighted average weights of the local update state covariance matrices for robot 1 and robot 2, respectively.
In the process of state estimation, the observation data from the two subsystems are globally fused through a weighted average of the covariance matrices, which are independently updated by the two robots. The formula for this process is as follows:
where and represent the state predictions of robot 1 and robot 2, respectively, and and denote the corresponding error covariance matrices.
The update formula for the global error covariance matrix is given by:
This formula ensures that the global error covariance matrix is appropriately updated to reflect the integrated state estimates from both robots, enhancing the reliability and accuracy of the overall system.
After completing the global information fusion and measurement update, the next step is to update the global state estimate. The global error represents the difference between the actual measurement and the predicted measurement obtained through the prediction model, which can be expressed as follows:
where represents the measurement residual at time , is the actual measurement obtained at time , and is the predicted measurement obtained through the state prediction.
The global measurement covariance matrix reflects the system’s estimation of the measurement error. Its mathematical equation is given by:
where is the global measurement update covariance matrix, is the measurement matrix mapping the state space to the observation space, is the state covariance matrix at time , and is the measurement noise covariance matrix.
The Kalman gain is computed based on the measurement covariance matrix, which determines how to adjust the current state estimate. The formula is as follows:
where is the Kalman gain, representing the weight of the measurement during the update process, is the measurement matrix used to map the state space to the observation space, and is the measurement update covariance matrix.
By multiplying the Kalman gain with the measurement residual, the state prediction is corrected. The formula is:
The global state covariance matrix reflects the system’s measure of uncertainty in the state estimate. The formula is:
where is the updated global state covariance matrix, is the identity matrix representing the unit effect during covariance update.
Following the update of the global state estimates, the subsequent critical step involves distributing this updated information back to each robot. This ensures that both robots possess the most current information necessary for effective cooperative navigation and decision-making. The updated global state estimates and , along with the updated covariance matrices and , were allocated to robot 1 and robot 2, respectively. This distribution enables both robots to access the latest and accurate data regarding their states, allowing them to respond coherently to dynamic environmental variables. Through these processes, the system continuously refines its state estimates, enabling more precise tracking and updating of the robots’ states in cooperative navigation. This enhanced synchronization not only improves the accuracy of navigation but also significantly boosts the overall operational efficacy of the dual-robot system.
As illustrated in Figure 1, the entire process of global state estimation, information fusion, and distribution was seamlessly integrated within the framework of the Distributed Adaptive Extended Kalman Filter (DAEKF), ensuring continuous synchronization and real-time state updates between the two robots.

Figure 1.
Schematic diagram of the DAEKF framework for dual-robot systems.
2.2. Distributed Model Predictive Control for Dual-Robot Systems
DMPC is used to coordinate path planning and dynamic response in a dual-robot system, optimizing resource allocation and decision-making capabilities.
The kinematic model of the dual-robot system is expressed as follows:
where , , and , , represent the positions and orientations of robot 1 and robot 2, respectively. and denote the velocities, and represent the front wheel steering angles, and and are the wheelbase lengths of the robots.
To ensure safe path tracking and control, the control variables must satisfy the following constraints:
where is the vector representing the state of the dual-robot system, and is the vector of control inputs applied to the system.
The control objective is to minimize the tracking error and control energy consumption. The objective function is defined as:
where represents the tracking error of subsystem , is the predicted state at step , and is the weighting matrix. denotes the control cost of subsystem , is the control input at step , and is the control weighting matrix.
The overall objective function is given by:
A more specific form of the objective function is expressed as:
where is the state vector at step j, is the reference state vector, denotes the control input increment, is the penalty term used to prevent excessive control variations.
In the DMPC framework, to achieve system-wide cooperative optimization, a global objective function is designed. It is defined as a linear weighted combination of the cost functions J1 and J2 of the two subsystems, as follows:
where and are the weighting coefficients of the subsystems, reflecting the contribution of each subsystem to the overall objective.
The optimization of the sub-objective functions is achieved by minimizing the combined performance metrics of the two subsystems, which is formulated as follows:
where and represent the reference state vectors, respectively.
To ensure the physical feasibility and safety of the control inputs, the following constraints are imposed:
These constraints limit the control inputs and control increments for each subsystem to ensure system stability and adherence to physical limitations.
The state update equation for the system is described as follows:
In the optimization process, the objective function and dynamic constraints can be combined into a complete expression:
where is the optimization objective function, denotes the variation of the objective function with respect to time t, is the control input increment, is the penalty function to prevent excessive changes in control inputs, and and are the weighting matrix and gradient vector, respectively.
The DMPC framework for the dual-robot system is shown in Figure 2. Through the design of the above objective function, constraints, and state update equation, DMPC achieves stable system operation and performance optimization in complex environments. It effectively enhances the dynamic adaptability and control accuracy of multi-robot cooperative tasks, providing robust support for real-time decision-making in challenging scenarios.

Figure 2.
Schematic diagram of DMPC framework for dual-robot systems.
2.3. Integrated Positioning and Control Strategy for Dual-Robot Systems Based on DAEKF and DMPC
The information flow and functional structure between the DAEKF and DMPC in the dual-robot system are illustrated in Figure 3. The main processing platform serves as the central core for data processing and decision-making, coordinating the information flow and processing logic between the DAEKF and DMPC algorithms. Position data from the GNSS and INS on each robot are first received by the system. These data are transmitted to the main processing platform for updating and optimization. The DAEKF algorithm dynamically adjusts the noise covariance, enabling precise and consistent state estimation of the data collected by the robots. This step is crucial for ensuring high-accuracy positional information. The updated positional data are then transmitted back to the robots in real time via LoRa communication technology and simultaneously provided to the DMPC system. The DMPC system utilizes these precise positional data to dynamically plan and adjust the travel paths and control commands of each robot based on predefined reference paths, ensuring adaptability to complex and dynamic operational environments. The overall system is designed to achieve effective data synchronization and decision dissemination through the main processing platform, leveraging continuous state feedback between the robots and the platform to enhance the system’s responsiveness to environmental changes. Real-time path planning by the DMPC ensures alignment between the robots’ behaviors and the system’s overarching objectives, thereby improving the operational efficiency and adaptability of the dual-robot system. This strategy integrates advanced navigation technologies with adaptive control theory, offering a collaborative solution tailored for complex application scenarios.

Figure 3.
Structure and information flow diagram of the dual-robot system.
2.4. Experimental Design
This study evaluates and compares the performance of the DAEKF and DMPC in cooperative localization and path tracking of a dual-robot system through both simulation and field experiments. The potential advantages and limitations of these methods in practical applications are also analyzed.
2.4.1. Cooperative Positioning Simulation Experiment
To evaluate the performance of different filtering strategies in dual-robot cooperative localization, the initial positions and reference paths of the two robots were defined. Specifically, robot 1 started at (10 m, 50 m), and robot 2 started at (10 m, 0 m), maintaining a constant relative offset of 50 m between them. The reference trajectory of robot 1 was determined by time T and heading angle θ1, with the robot moving along the reference path at a constant velocity (1 m/s in the x-direction and 5 m/s in the y-direction). The trajectory of robot 2 was dynamically adjusted based on the position of robot 1 to ensure the specified offset remains constant. The reference paths for robot 1 and robot 2 are defined as shown in Equation (26). Simulations were conducted using the MATLAB R2020b platform, where the system was subjected to random environmental noise and dynamic disturbances. The performance of various filtering methods, including No Filtering, KF, EKF, and DAEKF, was evaluated in terms of localization accuracy and robustness under these conditions. To quantitatively assess filtering performance, the MAE and RMSE were selected as performance metrics. The trajectory deviations of each method were measured over a 50 s simulation period to provide a comprehensive evaluation of their effectiveness in this scenario.
In the simulation setup, the state covariance matrix was set as a constant diagonal matrix, . The measurement error covariance matrix (R) is related to sensor errors, with the GPS measurement error set to 2.5 m and the INS acceleration error set to 0.05 m/s2. These settings were used to simulate noise in the system, which influenced the accuracy of the robot state estimation.
2.4.2. Multi-Robot Path-Tracking Experiment
Figure 4a illustrates the configuration of the RTK–GNSS base station, which comprised an RTK–GNSS reference receiver, a radio antenna, and a radio station. These components collaborated to provide precise differential positioning data for the robots. The base station receiver was strategically placed in an open area to optimize satellite signal reception, and the positioning data were transmitted in real time to the mobile platform via the radio antenna, ensuring both the timeliness and accuracy of the data transmission. A 12 V DC power supply ensured stable operation of the equipment, maintaining continuous reliability during extended periods of operation. Figure 4b presents the hardware configuration of the modified robots in the system. Both robots were identically equipped with the following components: a GNSS dual antenna (CHCNAV, Shanghai, China), an Attitude and Heading Reference System sensor (AHRS, Xsens, Enschede, the Netherlands), a front-wheel angle sensor (potentiometer, model 308NPC50K, mounted at the rotational axis of the robot’s left front wheel), an Arduino Mega2560 main controller, and a rear-wheel electric motor. The GNSS dual antenna provided high-precision positioning data for the robots, while the AHRS sensor supplied real-time attitude information. The robots operate based on the Ackermann steering principle [,], where the front-wheel angle potentiometer provides feedback on the actual steering angle, and the rear-wheel electric motor ensures constant speed control. These components work in concert to enable high-precision path-tracking tasks. Additionally, the robots were equipped with a radio antenna for LoRa communication (E32-DTU(433L37), carrier frequency 433 MHz, transmission power 37 dBm, communication range 20 km), and maintaining stable and efficient communication with the main processing platform. The device parameters using inertial sensors are shown in Table 1.

Figure 4.
RTK–GNSS base station and robotic control hardware configuration. (a) RTK–GNSS base station setup; (b) hardware composition of the experimental robots.

Table 1.
Navigation and positioning sensor parameters.
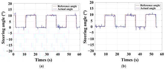
As shown in Figure 5a,b, both robot 1 and robot 2 demonstrated excellent steering angle-tracking accuracy when pulse control signals were sent to the front-wheel steering actuators, with the target steering angle set to 10. Specifically, the RMSE of the steering angle tracking for robot 1 remained within 0.5°, while for robot 2, it stayed within 0.8°. These results indicate that both robots accurately followed the steering angle commands under the 10° target condition, thus providing a solid foundation for achieving high-precision path tracking in subsequent tasks.

Figure 5.
Analysis of front wheel steering tracking performance and experimental pathways. (a) steering angle tracking for robot 1; (b) steering angle tracking for robot 2.
To validate the collaborative navigation strategy combining DMPC and DAEKF, reference paths were designed for both robot 1 and robot 2. Both robots operated at a reference longitudinal speed of 0.8 m/s along their predefined paths. The path of robot 1 was defined by the linear equation y1 = 0.03329x1 − 5.25194, ensuring sufficient controllability and stability of its trajectory. The path of robot 2 was designed as a parallel offset of robot 1′s path, with an offset distance of 4 m, calculated using the following equation:
This design simulates common parallel path scenarios in cooperative robot operations, enabling the evaluation of the dual-robot system’s collaborative path-tracking performance.
As shown in Figure 6, the experiments were conducted on the rooftop of the College of Information and Electrical Engineering at China Agricultural University. The RTK–GNSS base station was installed at an elevated position to ensure optimal satellite signal reception, providing high-precision positioning support for the robots while minimizing signal interference caused by surrounding obstacles. Figure 6a illustrates the real-world experimental environment, where the spacious area effectively reduced GNSS multipath effects, creating ideal conditions for testing. As depicted in Figure 6b, two distinct experimental scenarios were independently tested: straight-line path tracking and curved path tracking. By evaluating system performance under these two conditions, the system’s stability and accuracy were validated in the straight-line scenario, while its adaptability and robustness in more complex and dynamic environments were assessed through the curved path experiments.

Figure 6.
Experimental robots in operation and path tracking. (a) Experimental robots in field operation; (b) dual straight-line and curved experimental pathways.
3. Results
3.1. Results of Positioning Simulation Experiment
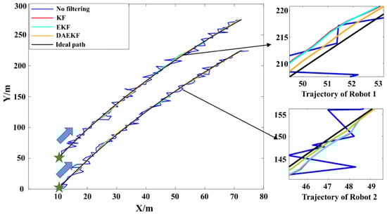
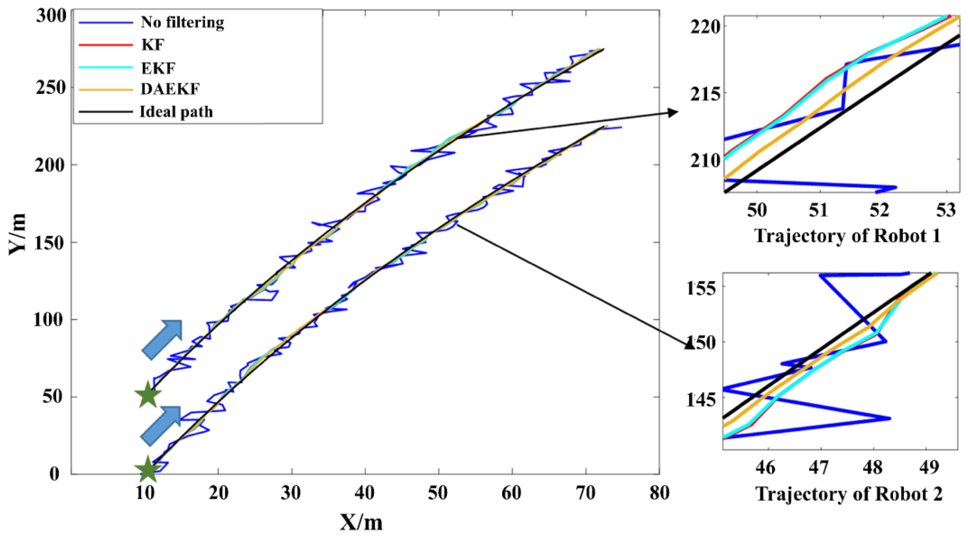
As shown in Figure 7, the introduction of the KF significantly improved the smoothness of the robot’s trajectory. However, due to its limited adaptability to nonlinear dynamic systems, the trajectory still exhibited noticeable deviations, particularly under dynamic and uncertain conditions. The EKF further enhanced the estimation capability for nonlinear states, leading to a trajectory that aligned more closely with the ideal path. Despite this improvement, the EKF still encountered challenges in handling complex dynamic changes and rapid environmental fluctuations. In contrast, the DAEKF demonstrated superior performance, as it allowed the trajectories of robot 1 and robot 2 to more closely follow the ideal paths. This enhanced performance was primarily attributed to the adaptive noise adjustment mechanism integrated into the DAEKF, which dynamically optimized the noise parameters in response to real-time environmental dynamics. This capability enabled the system to better align with the actual states of the robotic system, thereby providing a more accurate and stable trajectory in dynamic environments.

Figure 7.
Simulation-based path tracking performance of robot 1 and robot 2 under different filtering strategies.
As shown in Figure 8, the variations of process noise (Q) and measurement noise (R) for robot 1 and robot 2 during the adaptive noise estimation process of the DAEKF algorithm are presented. Compared to the fixed covariance matrices used by other filtering methods, DAEKF dynamically adjusted the noise matrices, optimizing the noise estimation based on real-time measurements and historical data. The noise matrices of robot 1 and robot 2 fluctuated within a certain range, indicating the adaptive mechanism’s ability to respond to noise changes in dynamic environments.

Figure 8.
Noise matrix variation during the DAEKF adaptive noise estimation process. (a) Adaptive adjustment of process noise covariance matrix Q; (b) adaptive adjustment of measurement noise covariance matrix R.
As shown in Figure 9, both the KF and the EKF reduced the fluctuation range of localization errors to some extent; however, their error curves still exhibited noticeable oscillations. In contrast, the error curve of the DAEKF was significantly smoother and closer to the zero-error line. Based on the data presented in Table 2, for robot 1, the MAE of DAEKF in the X-axis and Y-axis were 0.2025 m and 0.1916 m, respectively, which represented reductions of 34.3% and 28.6% compared to EKF, and 38.5% and 32.1% compared to KF. In terms of RMSE, the X-axis and Y-axis errors for DAEKF were 0.2446 m and 0.2410 m, indicating a reduction of 33.9% and 27.2% compared to EKF, and 37.6% and 30.8% compared to KF. Furthermore, the maximum errors of DAEKF were also significantly lower than those of EKF and KF, with maximum errors of 0.4977 m and 0.5592 m in the X-axis and Y-axis, respectively, compared to 0.8150 m and 0.8432 m for EKF, and 0.8450 m and 0.9041 m for KF. For robot 2, the MAE of DAEKF in the X-axis and Y-axis were 0.3001 m and 0.2893 m, representing reductions of 34.2% and 32.2% compared to EKF, and 42.2% and 39.5% compared to KF. Regarding RMSE, the X-axis and Y-axis errors for DAEKF were 0.3428 m and 0.3346 m, which were 41.3% and 38.6% lower than EKF, and 48% and 45.9% lower than KF. For maximum errors, DAEKF achieved X-axis and Y-axis maximum errors of 0.9985 m and 0.6309 m, respectively, whereas EKF reported corresponding values of 1.7520 m and 1.5161 m, and KF reported 2.0430 m and 1.8290 m. Averaging the values for robot 1 and robot 2, the X-axis MAE was 0.2513 m and the RMSE was 0.2937 m, which were 34.28% and 38.40% lower than EKF, and 40.76% and 44.13% lower than KF, respectively. For the Y-axis, the MAE was 0.2405 m and the RMSE was 0.2878 m, representing reductions of 30.83% and 34.25% compared to EKF, and 36.79% and 40.50% compared to KF.

Figure 9.
Localization error analysis under different filtering strategies. (a) X-axis error of robot 1; (b) Y-axis error of robot 1; (c) X-axis error of robot 2; (d) Y-axis error of robot 2.

Table 2.
Statistical analysis of localization errors in simulation for dual robots under different filtering strategies.
In order to further compare the localization accuracy of the four filtering methods, the MAE and RMSE of the positioning errors along the X and Y axes for both robot 1 and robot 2 were plotted in histograms, as shown in Figure 10a,b.

Figure 10.
Localization error comparison of different filtering methods. (a) X-axis error comparison; (b) Y-axis error comparison.
3.2. Results of Multi-Robot Cooperative Navigation Path-Tracking Experiment
3.2.1. Straight-Line Path Tracking
With the integration of the DMPC control strategy, the experimental results illustrating the impact of different filtering methods on the path-tracking performance of robot 1 and robot 2 are shown in Figure 11. The introduction of KF improved the smoothness of the trajectories and significantly reduced path deviations. Building on this, EKF further enhanced the estimation capability for nonlinear states, resulting in better alignment between the robot trajectories and the ideal paths. In comparison, DAEKF significantly reduced deviations and trajectory fluctuations by adaptively adjusting noise parameters and optimizing state estimation. Its trajectories exhibited the highest alignment with the ideal paths throughout the entire route, demonstrating the superior performance of DAEKF in path tracking.

Figure 11.
Experimental path-tracking performance of robot 1 and robot 2 along a subset of the trajectory under different filtering strategies.
In Figure 12, the control performance and coordination of robot 1 and robot 2 during path tracking are presented. Figure 12a,b show the steering angles of robot 1 and robot 2, respectively, illustrating their control responses as they followed the desired paths. Figure 12c displays the offset distance between the two robots, with an ideal separation of 4 m, demonstrating the robots’ ability to maintain the desired offset during parallel path tracking. Finally, Figure 12d compares the velocities of both robots, highlighting the synchronization of their speeds throughout the tracking process. The results indicate that the proposed control strategy successfully achieved precise path tracking while ensuring effective coordination between the robots.

Figure 12.
Control performance and coordination of robot 1 and robot 2 during path tracking. (a) Steering angle of robot 1; (b) steering angle of robot 1; (c) offset distance between robot 1 and robot 2; (d) velocity of robot 1 and robot 2.
As shown in Figure 13, the dynamic noise adjustment process of the DAEKF algorithm during path tracking is illustrated. Specifically, Figure 13a shows the measurement noise Rd of DAEKF, primarily associated with position measurement errors in the horizontal direction. Figure 13b presents the process noise Qd, which arises from equipment-related errors in the system during position measurement. Figure 13c depicts the measurement noise Ra, related to errors in measuring attitude angle information, particularly from gyroscopes. Figure 13d shows the process noise Qa, reflecting equipment-related errors in the system when measuring attitude information. The adjustment of these noise parameters was optimized through an adaptive mechanism, effectively enhancing the localization accuracy and attitude estimation of the robots during path tracking, reducing error fluctuations, and thereby improving overall control performance and system stability.

Figure 13.
Dynamic adjustment of noise in DAEKF filtering. (a) Measurement noise Rd; (b) process noise Qd; (c) measurement noise Rd; (d) process noise Qa.
As shown in Figure 14 and Table 3, the DMPC control strategy combined with DAEKF outperformed both EKF and KF across all key metrics, demonstrating superior path-tracking accuracy and system stability.

Figure 14.
Experimental localization performance analysis under different filtering strategies. (a) Lateral error of robot 1; (b) lateral error of robot 2; (c) heading error of robot 1; (d) heading error of robot 2.

Table 3.
Statistical analysis of localization errors in experimental tests for dual robots under different filtering strategies.
In terms of lateral error, for robot 1, the MAE of DAEKF was 0.0363 m, and the RMSE was 0.0315 m, which were 67.9% and 25.6% lower than those of EKF, and 73.5% and 30.3% lower than those of KF, respectively. The maximum lateral error of DAEKF was only 0.0839 m, representing reductions of 52.2% and 57.5% compared to EKF and KF, respectively. For robot 2, the MAE and RMSE of DAEKF were 0.0373 m and 0.0506 m, which were 29.3% and 11.5% lower than those of EKF, and 46.0% and 22.7% lower than those of KF, respectively. The maximum lateral error was 0.1226 m, which represented reductions of 16.7% and 29.8% compared to EKF and KF, respectively. On average, for both robot 1 and robot 2, DAEKF achieved a lateral error MAE of 0.0368 m and an RMSE of 0.0411 m, which were 55.7% and 17.5% lower than those of EKF, and 58.9% and 46.2% lower than those of KF, respectively. The average maximum lateral error was only 0.1033 m, which was significantly better than both EKF and KF. In terms of heading error, for robot 1, the MAE of DAEKF was 1.1584°, and the RMSE was 1.0612°, which represented reductions of 35.7% and 36.5% compared to EKF, and 56.1% and 74.3% compared to KF, respectively. The maximum heading error was 2.7663°, which was 34.1% and 36.3% lower than those of EKF and KF, respectively. For robot 2, the MAE and RMSE of DAEKF were 1.7985° and 2.5975°, representing reductions of 36.8% and 25.9% compared to EKF, and 46.8% and 37.1% compared to KF, respectively. The maximum heading error was 7.4586°, which was 12.0% and 32.5% lower than those of EKF and KF, respectively. On average, for both robot 1 and robot 2, the heading error MAE of DAEKF was 1.4785°, and the RMSE was 1.8294°, which were 36.4% and 29.3% lower than those of EKF, and 39.2% and 38.5% lower than those of KF, respectively. The average maximum heading error was 5.1125°, which was significantly better than both EKF and KF.
To further compare the performance of different filtering methods in terms of lateral and heading errors, the MAE and RMSE of these errors for Robot 1 and Robot 2 were plotted in histograms, as shown in Figure 15a,b.

Figure 15.
Comparison of lateral and heading errors for robot 1 and robot 2. (a) Lateral error comparison; (b) heading error comparison.
Table 4 presents a comparison of the localization performance of the DMPC control strategy with two baseline methods, PPC [,], FLC [], and PID []. In terms of lateral error, DMPC significantly outperformed the comparison methods. For robot 1, the MAE and RMSE of DMPC were 0.0363 m and 0.0315 m, respectively, which represented reductions of 26.9% and 45.0% compared to PPC, 14.8% and 39.4% compared to FLC, and 5.6% and 2.4% compared to PID. The maximum lateral error was only 0.0839 m, 16.9% lower than PPC, 34.1% lower than FLC, and 16.3% lower than PID. For robot 2, the MAE and RMSE were 0.0373 m and 0.0506 m, respectively, showing reductions of 25.8% and 41.3% compared to PPC, 33.3% and 24.1% compared to FLC, and 11.3% and 20.0% compared to PID. The maximum lateral error was 0.1226 m, which represented reductions of 9.1%, 4.0%, and 12.4% compared to PPC, FLC, and PID, respectively. Overall, the average lateral error of DMPC across both robots further demonstrated its superiority, with MAE and RMSE reduced by 26.4% and 42.8% compared to PPC, 25.4% and 30.8% compared to FLC, and 8.6% and 12.9% compared to PID. In terms of heading error, DMPC–DAEKF also exhibited exceptional performance. For robot 1, the MAE and RMSE were 1.1584° and 1.0612°, respectively, which were 50.7% and 70.9% lower than those of PPC, 52.9% and 66.0% lower than those of FLC, and 50.4% and 61.3% lower than those of PID. The maximum heading error was 2.7663°, which represented reductions of 64.2% and 45.7% compared to PPC and FLC, respectively, and 3.2% compared to PID. For robot 2, the MAE and RMSE of DMPC were 1.7985° and 2.5975°, which were 34.7% and 33.1% lower than those of PPC, 39.8% and 26.8% lower than those of FLC, and 34.3% and 15.0% lower than those of PID. The maximum heading error was 7.4586°, showing reductions of 28.0%, 2.9%, and 3.9% compared to PPC, FLC, and PID, respectively., and an increase of 3.4% compared to PID. On average, the heading error MAE and RMSE of DMPC were reduced by 41.0% and 51.9% compared to PPC, 45.7% and 45.2% compared to FLC, and 45.5% and 35.7% compared to PID, with the maximum heading error also significantly lower than that of PPC, FLC, and PID.

Table 4.
Comparison of positioning performance among different methods (lateral error and heading error).
In order to further compare the performance of different control methods (DMPC, PPC, FLC, PID) in terms of lateral and heading errors, the MAE and RMSE of lateral and heading errors for robot 1 and robot 2 were plotted in histograms, as shown in the Figure 16a,b.

Figure 16.
Comparison of lateral and heading errors for robot 1 and robot 2 across different control methods. (a) Lateral error comparison; (b) heading error comparison.
3.2.2. Curved Path Tracking
Robot 1 and robot 2 simultaneously followed a pre-defined combined straight-line and arc path., with their respective trajectories shown in Figure 17a,b. Throughout the operation, both robots maintained a high degree of path overlap, although some deviations were observed in the turning regions. To more intuitively quantify the path-tracking performance, the lateral errors of robot 1 and robot 2 were calculated [], as shown in Figure 17c,d. During the straight segments, both robots maintained an average lateral error within 0.05 m. In multiple path-tracking tests, the error fluctuations were minimal, and the consistency was high, highlighting the system’s stability on low-curvature paths. In the turning regions, the increased path curvature made control more challenging, with the maximum lateral error reaching up to 0.75 m. However, this error value remained within the pre-set tolerance range of the experiment. Notably, after the turn, the system was able to quickly reduce the error and return to a lower level, demonstrating strong dynamic adjustment capability and adaptability.

Figure 17.
Experimental dual-loop path-tracking performance of robot 1 and robot 2. (a) Path tracking of robot 1; (b) path tracking of robot 2; (c) lateral error of robot 1 during path tracking; (d) lateral error of robot 2 during path tracking.
4. Discussion
In this study, simulation experiments were conducted to evaluate various filtering strategies for the positioning accuracy of a dual-robot system. Without filtering, the system exhibited severe error fluctuations, making it incapable of meeting high-precision localization requirements. With the introduction of KF and EKF, the amplitude of error fluctuations was reduced to some extent, but the overall performance remained unstable. This indicates that traditional filtering methods have limited capability to suppress system noise and uncertainties in complex and dynamic simulation environments. In contrast, DAEKF demonstrated significant advantages in the simulation results. Its error curves were much smoother and closer to the zero-error line. In multi-robot systems, each robot may be subjected to different intensities and types of noise interference, and their respective measurement and motion states could influence one another, increasing the complexity and uncertainty of the localization problem. DAEKF addresses these challenges by performing online updates and adjustments of the process and observation noise covariances, transforming the static filtering model into a dynamic mechanism capable of flexible adaptation to multi-source measurements and state changes. This dynamic adjustment enabled the filter to autonomously modify weights and noise parameters at different time steps during multi-robot sensor data fusion, thereby reducing error accumulation, quickly adapting to environmental changes, and achieving stable convergence. The adaptive capability to handle multi-source noise was clearly demonstrated in the simulation, providing critical support for improving the localization accuracy and robustness of multi-robot systems in complex and dynamic scenarios.
Further experimental results show the combined strategy of DMPC and DAEKF significantly outperformed traditional filtering and control methods in terms of both lateral deviation and heading error. This performance improvement can be analyzed from the following perspectives: First, DAEKF enhanced the adaptability of the filtering process to nonlinearities and multi-source noise by dynamically adjusting the process and observation noise covariances. In multi-robot cooperative tasks, the disturbances encountered by individual robots were heterogeneous, with differences in noise levels and types. Furthermore, estimation errors could propagate and amplify during state estimation. DAEKF dynamically adjusted noise parameters based on real-time measurement residuals, allowing it to flexibly handle multi-source uncertainties and maintain stable, accurate state estimation. Second, DMPC provided the system with global, distributed control decision-making and path-planning capabilities. Compared to simple feedback control, DMPC could predict the future states of the system and facilitate information sharing and collaborative optimization across multiple robots. By combining global optimization with local adjustments, DMPC could quickly correct control inputs when encountering path curvatures, directional changes, or external disturbances, thereby minimizing the occurrence of accumulated errors. The high-precision state feedback required by DMPC was enabled by DAEKF, highlighting the complementary nature of the two approaches. Together, they formed a closed-loop optimization process: high-precision state estimation provided a robust foundation for control decisions, while the optimized control strategy, in turn, reduced the complexity and disturbance intensity that needed to be handled during state estimation. This synergy resulted in improved overall system performance in multi-robot cooperative tasks under dynamic and uncertain environments.
Compared to existing methods, DMPC demonstrated superior path-tracking performance in real-world application scenarios. This advantage was evident not only in statistical metrics such as the MAE and RMSE of lateral and heading errors but also in the control of maximum errors. The significantly reduced error magnitudes and peaks indicate that the DMPC strategy is capable of maintaining precise and stable control, even when faced with challenges such as complex nonlinear dynamics, time-varying noise, and external disturbances. Moreover, the experimental results further demonstrate that the distributed filter employed in this study outperforms the centralized filter in terms of localization accuracy []. When using the modified robots, the path-tracking performance is constrained due to the front-wheel steering angle being limited to 10 degrees and the use of Ackermann steering instead of differential steering, resulting in delayed responses on paths with a tight turning radius. However, the dual-robot system developed in this study, combined with the DMPC strategy of the DAEKF, was still able to achieve high-precision curved path tracking at a speed of 0.8 m/s. A previous study [] showed that the DMPC algorithm executed with a computation time of 7 ms. In our study, although the DAEKF framework was slightly more computationally intensive than traditional EKF/KF, the processing time was maintained below 20 ms, which is well within the required control frequency of 10 Hz for the system. The experimental results not only demonstrate the system’s efficiency and reliability in handling multi-robot cooperative navigation but also showcase the potential for deploying large-scale multi-robot cooperative operations in the future, as well as more complex application scenarios such as logistics distribution and autonomous vehicle fleet control.
This study primarily focuses on addressing the synchronization of control signal transmission between robots and optimizing data synchronization and signal transmission accuracy in multi-robot collaboration. The current system design is mainly suited for 2D environments; however, in more complex and unknown environmental conditions, extreme noise may lead to a decline in system localization accuracy and path-tracking performance, along with other potential challenges.
5. Conclusions
This study proposes and validates a distributed collaborative navigation strategy that integrates DAEKF with DMPC. Through simulation and field test, the results demonstrate that the proposed approach significantly improves multi-robot localization accuracy and path-tracking performance. The improvements are highlighted in the following aspects.
The localization accuracy and stability of the dual-robot system under multi-source noise and nonlinear interference were significantly enhanced with DAEKF. Compared to traditional KF and EKF, DAEKF achieved lower X and Y axis localization errors in multi-robot cooperative positioning. This demonstrates DAEKF’s superior adaptability and robustness under multi-source noise and nonlinear conditions, providing a solid foundation for high-precision state estimation in future multi-robot collaborations.
- (1)
- DAEKF provided DMPC with more reliable real-time state feedback, which was then utilized by DMPC to make more flexible and stable control decisions. The combination of both strategies significantly enhanced the path-tracking accuracy of the dual-robot system, outperforming conventional control and filtering strategies. It exceeded the performance levels reported in similar studies, fully demonstrating the overall advantage of the collaborative strategy.
- (2)
- Under complex path conditions, the proposed strategy effectively improves the robots’ tracking stability and precision. This performance not only demonstrates the practical applicability of the technology but also suggests its broad potential in future complex application scenarios, such as autonomous vehicle fleets, logistics distribution, and agricultural automation.
Future research will focus on verifying the system with three or more robots to further assess its collaborative effectiveness and scalability. Efforts will also focus on developing a fully independent robot platform to reduce reliance on modified components. Particular attention will be given to optimizing the front-wheel steering angles and improving responsiveness, thereby enhancing the robots’ mobility and adaptability in complex environments. In addition, the research will extend to three-dimensional environments and conduct positioning and navigation studies under extreme noise conditions to address the challenges that may arise in complex environments. To effectively tackle these challenges, future work will introduce more robust adaptive filtering and calibration methods to further enhance the system’s robustness and adaptability.
Author Contributions
Conceptualization and original draft preparation, W.C. and Y.J.; methodology and software, S.Z. and L.Y.; validation and formal analysis, Q.L. and Z.H.; investigation and resources, Y.J.; data curation and supervision, L.Y. and S.Z.; project administration, Y.J. All authors have read and agreed to the published version of the manuscript.
Funding
This research was funded by the China Postdoctoral Science Foundation, grant number 2023M740282; and the Fundamental Research Funds for the Central Universities of China, grant number BLX202231.
Data Availability Statement
The original contributions presented in this study are included in the article. Further inquiries can be directed to the corresponding author.
Conflicts of Interest
The authors declare no conflicts of interest.
References
- Huang, Y.; Zhang, Y.; Wu, Z.; Li, N.; Chambers, J. A novel adaptive Kalman filter with inaccurate process and measurement noise covariance matrices. IEEE Trans. Autom. Control 2017, 63, 594–601. [Google Scholar] [CrossRef]
- Huang, Z.; Zhu, J.; Yang, L.; Xue, B.; Wu, J.; Zhao, Z. Accurate 3-D position and orientation method for indoor mobile robot navigation based on photoelectric scanning. IEEE Trans. Instrum. Meas. 2015, 64, 2518–2529. [Google Scholar] [CrossRef]
- Shi, K.; Yang, L.; Wu, Z.; Jiang, B.; Gao, Q. Multi-robot dynamic path planning with priority based on simulated annealing. J. Frankl. Inst. 2025, 362, 107396. [Google Scholar] [CrossRef]
- Li, Y.; Yu, H.; Xiao, L.; Yuan, Y. Inspection robot GPS outages localization based on error Kalman filter and deep learning. Robot. Auton. Syst. 2025, 183, 104824. [Google Scholar] [CrossRef]
- Wang, Y.; Zhou, Y.; Lu, Y.; Cui, C. MSTSCKF-based INS/UWB integration for indoor localization. Ain Shams Eng. J. 2024, 15, 102939. [Google Scholar] [CrossRef]
- Kurazume, R.; Nagata, S.; Hirose, S. Cooperative positioning with multiple robots. In Proceedings of the 1994 IEEE International Conference on Robotics and Automation, San Diego, CA, USA, 8–13 May 1994; pp. 1250–1257. [Google Scholar] [CrossRef]
- Fox, D.; Burgard, W.; Kruppa, H.; Thrun, S. Collaborative Multi-Robot Localization. In Mustererkennung 1999: 21; DAGM-Symposium Bonn; Förstner, W., Buhmann, J.M., Faber, A., Faber, P., Eds.; Springer: Berlin/Heidelberg, Germany, 1999; pp. 15–26. [Google Scholar] [CrossRef]
- Roumeliotis, S.I.; Bekey, G.A. Collective localization: A distributed Kalman filter approach to localization of groups of mobile robots. In Proceedings of the Proceedings 2000 ICRA. Millennium Conference. IEEE International Conference on Robotics and Automation, Symposia Proceedings. San Francisco, CA, USA, 24–28 April 2000; Volume 3, pp. 2958–2965. [Google Scholar] [CrossRef]
- Meda-Campaña, J.A. On the estimation and control of nonlinear systems with parametric uncertainties and noisy outputs. IEEE Access 2018, 6, 31968–31973. [Google Scholar] [CrossRef]
- Li, F.; Qian, S.; He, N.; Li, B. Estimation of Wiener nonlinear systems with measurement noises utilizing correlation analysis and Kalman filter. Int. J. Robust Nonlinear Control 2024, 34, 4706–4718. [Google Scholar] [CrossRef]
- Hou, E.; Lawrence, E.; Hero, A.O. Penalized ensemble Kalman filters for high dimensional non-linear systems. PLoS ONE 2021, 16, e0248046. [Google Scholar] [CrossRef]
- Yang, C.Y.; Samani, H.; Tang, Z.; Li, C. Implementation of extended Kalman filter for localization of ambulance robot. Int. J. Intell. Robot. Appl. 2024, 8, 960–973. [Google Scholar] [CrossRef]
- Wang, D.; Zhang, H. A Multi-Step Pseudo-Measurement Adaptive Kalman Filter Based on Filtering Performance Evaluation and Its Application in the INS/GNSS Navigation System. Remote Sens. 2024, 16, 926. [Google Scholar] [CrossRef]
- Prakash, R.; Dheer, D.K. Vehicle state estimation using a maximum likelihood based robust adaptive extended Kalman filter considering unknown white Gaussian process and measurement noise signal. Eng. Res. Express 2023, 5, 025066. [Google Scholar] [CrossRef]
- Amigoni, F.; Banfi, J.; Basilico, N. Multirobot Exploration of Communication-Restricted Environments: A Survey. IEEE Intell. Syst. 2017, 32, 48–57. [Google Scholar] [CrossRef]
- Hu, K.; Zou, L.; Chen, Z.; Jiang, J.; Jiang, F.; Tao, X. Wireless Multi-Robot Collaboration: Communications, Perception, Control and Planning. IEEE Netw. 2024. [Google Scholar] [CrossRef]
- Maurtua, I.; Fernandez, I.; Tellaeche, A.; Kidal, J.; Susperregi, L.; Ibarguren, A.; Sieera, B. Natural multimodal communication for human–robot collaboration. Int. J. Adv. Robot. Syst. 2017, 14, 1729881417716043. [Google Scholar] [CrossRef]
- Heuthe, V.L.; Panizon, E.; Gu, H.; Bechinger, C. Counterfactual rewards promote collective transport using individually controlled swarm microrobots. Sci. Robot. 2024, 9, eado5888. [Google Scholar] [CrossRef]
- He, J.; Su, S.; Wang, H.; Chen, F.; Yin, B. Online PID Tuning Strategy for Hydraulic Servo Control Systems via SAC-Based Deep Reinforcement Learning. Machines 2023, 11, 593. [Google Scholar] [CrossRef]
- Lin, P.; Wu, Z.; Fei, Z.; Sun, X. A generalized PID interpretation for high-order LADRC and cascade LADRC for servo systems. IEEE Trans. Ind. Electron. 2021, 69, 5207–5214. [Google Scholar] [CrossRef]
- Cao, F. PID controller optimized by genetic algorithm for direct-drive servo system. Neural Comput. Appl. 2020, 32, 23–30. [Google Scholar] [CrossRef]
- Luo, C.; Mohsenimanesh, A.; Laguë, C. Parallel point-to-point tracking for agricultural Wide-Span Implement Carrier (WSIC). Comput. Electron. Agric. 2018, 153, 302–312. [Google Scholar] [CrossRef]
- Mao, W.; Liu, H.; Hao, W.; Yang, F.; Liu, Z. Development of a combined orchard harvesting robot navigation system. Remote Sens. 2022, 14, 675. [Google Scholar] [CrossRef]
- Li, S.; Xu, H.; Ji, Y.; Cao, R.; Zhang, M.; Li, H. Development of a following agricultural machinery automatic navigation system. Comput. Electron. Agric. 2019, 158, 335–344. [Google Scholar] [CrossRef]
- Khoi, P.B.; Nguyen Xuan, H. Fuzzy Logic-Based Controller for Bipedal Robot. Appl. Sci. 2021, 11, 11945. [Google Scholar] [CrossRef]
- Gad, O.M.; Fareh, R.; Khadraoui, S.; Bettayeb, M.; Rahman, M.H. Intelligent Fuzzy Logic-Based Internal Model Control for Rotary Flexible Robots. Processes 2024, 12, 1908. [Google Scholar] [CrossRef]
- Chen, Y.; Guo, M.; Li, Z. Deadlock Resolution and Recursive Feasibility in MPC-Based Multirobot Trajectory Generation. IEEE Trans. Autom. Control. 2024, 69, 6058–6073. [Google Scholar] [CrossRef]
- Liu, C.; Negenborn, R.R.; Zheng, H.; Chu, X. A state-compensation extended state observer for model predictive control. Eur. J. Control. 2017, 36, 1–9. [Google Scholar] [CrossRef]
- Jiang, C.; Guo, Y. Incorporating Control Barrier Functions in Distributed Model Predictive Control for Multirobot Coordinated Control. IEEE Trans. Control Netw. Syst. 2024, 11, 547–557. [Google Scholar] [CrossRef]
- Luis, C.E.; Vukosavljev, M.; Schoellig, A.P. Online Trajectory Generation With Distributed Model Predictive Control for Multi-Robot Motion Planning. IEEE Robot. Autom. Lett. 2020, 5, 604–611. [Google Scholar] [CrossRef]
- Pauca, O.; Lazar, R.; Postolache, M.; Caruntu, C. DMPC-based control solution for mobile robots platoon based on ZigBee communication. Comput. Electr. Eng. 2024, 120, 109755. [Google Scholar] [CrossRef]
- Liu, A.; Zhang, R.; Zhang, W.; Teng, Y. Nash-optimization distributed model predictive control for multi mobile robots formation. Peer-Peer Netw. Appl. 2017, 10, 688–696. [Google Scholar] [CrossRef]
- Mu, J.; Yang, H.; He, D. CBF-Based Distributed Model Predictive Control for Safe Formation of Autonomous Mobile Robots. J. Shanghai Jiaotong Univ. (Sci.) 2024, 29, 678–688. [Google Scholar] [CrossRef]
- Xiao, H.; Yu, D.; Chen, C.L.P. Self-triggered-organized mecanum-wheeled robots consensus system using model predictive based protocol. Inf. Sci. 2022, 590, 45–59. [Google Scholar] [CrossRef]
- Shamshiri, R.R.; Azimi, A.; Behjati, M.; Ghasemzadeh, A.; Dworak, V.; Weltzien, C.; Karydis, K.; Auat Cheein, F.A. Online path tracking with an integrated H∞ robust adaptive controller for a double-Ackermann steering robot for orchard waypoint navigation. Int. J. Intell. Robot. Appl. 2024. [Google Scholar] [CrossRef]
- Zhang, H.; Zhang, Y.; Liu, C.; Zhang, Z. Energy efficient path planning for autonomous ground vehicles with Ackermann steering. Robot. Auton. Syst. 2023, 162, 104366. [Google Scholar] [CrossRef]
- Kayacan, E.; Kayacan, E.; Ramon, H.; Sarys, W. Distributed nonlinear model predictive control of an autonomous tractor–trailer system. Mechatronics 2014, 24, 926–933. [Google Scholar] [CrossRef]
Disclaimer/Publisher’s Note: The statements, opinions and data contained in all publications are solely those of the individual author(s) and contributor(s) and not of MDPI and/or the editor(s). MDPI and/or the editor(s) disclaim responsibility for any injury to people or property resulting from any ideas, methods, instructions or products referred to in the content. |
© 2025 by the authors. Licensee MDPI, Basel, Switzerland. This article is an open access article distributed under the terms and conditions of the Creative Commons Attribution (CC BY) license (https://creativecommons.org/licenses/by/4.0/).