Next Article in Journal
Nonoverlapping Spectral Ranges’ Hyperspectral Data Fusion Based on Combined Spectral Unmixing
Next Article in Special Issue
Carbon Benefits and Water Costs of Cover Crops by Assimilating Sentinel-2 and Landsat-8 Images in a Crop Model
Previous Article in Journal
Hyperspectral Band Selection for Crop Identification and Mapping of Agriculture
Previous Article in Special Issue
Impacts of Drought and Heatwave on the Vegetation and Ecosystem in the Yangtze River Basin in 2022
 
 
Font Type:
Arial Georgia Verdana
Font Size:
Aa Aa Aa
Line Spacing:
Column Width:
Background:
Article

Quantifying Uncertainty in Projections of Desertification in Central Asia Using Bayesian Networks

1
College of Surveying and Geo-Informatics, North China University of Water Resources and Electric Power, Zhengzhou 450046, China
2
Key Laboratory of Mine Spatio-Temporal Information and Ecological Restoration, Ministry of Natural Resources, Jiaozuo 454003, China
3
Hydraulics and Geotechnics Section, KU Leuven, Kasteelpark Arenberg 40, BE-3001 Leuven, Belgium
4
Ministry of Education Key Laboratory for Biodiversity Science and Ecological Engineering, School of Life Sciences, Fudan University, Shanghai 200438, China
5
Key Laboratory of Ecological Safety and Sustainable Development in Arid Lands, Northwest Institute of Eco-Environment and Resources, Chinese Academy of Sciences, Lanzhou 730000, China
*
Author to whom correspondence should be addressed.
Remote Sens. 2025, 17(4), 665; https://doi.org/10.3390/rs17040665
Submission received: 31 December 2024 / Revised: 10 February 2025 / Accepted: 13 February 2025 / Published: 15 February 2025
(This article belongs to the Special Issue Remote Sensing Application in the Carbon Flux Modelling)

Abstract

Desertification presents major environmental challenges in Central Asia, driven by climatic and anthropogenic factors. The present study quantifies desertification risk through an integrated approach using Bayesian networks and the ESAS model, offering a holistic perspective on desertification dynamics. Four key variables—vegetation cover, precipitation, land-use intensity, and soil quality—were incorporated into a Bayesian model to evaluate their influence on desertification. A probabilistic model was developed to gauge desertification intensity, with simulations conducted at 200 geospatial points. Hazard maps for 2030–2050 were produced under climate scenarios SSP245 and SSP585, incorporating projected land-use changes. All procedures for desertification risk assessment, land-use mapping, and climate downscaling were performed using the Google Earth Engine platform. The findings suggest a 4% increase in desertification risk under SSP245 and an 11% increase under SSP585 by 2050, with the greatest threats observed in western regions such as Kazakhstan, Uzbekistan, and Turkmenistan. Sensitivity analysis indicated that vegetation quality exerts the strongest influence on desertification, reflected by a Vegetation Quality Index (VQI) ranging from 1.582 (low in Turkmenistan) to 1.692 (very low in Kazakhstan). A comparison of the Bayesian and ESAS models revealed robust alignment, evidenced by an R2 value of 0.82, a Pearson correlation coefficient of 0.76, and an RMSE of 0.18. These results highlight the utility of Bayesian networks as an effective tool for desertification assessment and scenario analysis, underscoring the urgency of targeted land management and proactive climate adaptation. Although reclaimed land presents opportunities for afforestation and sustainable agriculture, carefully considering potential trade-offs with biodiversity and ecosystem services remains essential.

1. Introduction

Desertification is a critical global environmental challenge threatening the sustainability of natural resources and livelihoods, particularly in arid and semi-arid regions such as Central Asia [1,2,3]. This region’s strategic location and abundant natural resources face significant risks from reduced agricultural productivity, water scarcity, and escalating environmental pressures. Addressing desertification in Central Asia is, therefore, vital for advancing sustainable development and safeguarding the well-being of local communities [4,5,6,7,8]. The present research aligns with Sustainable Development Goal (SDG) 15, which emphasizes the conservation of terrestrial ecosystems and the mitigation of desertification in vulnerable areas [9,10,11]. A hybrid Bayesian–ESAS (Environmentally Sensitive Areas System) model is examined to facilitate sustainable land management and minimize the detrimental effects of desertification. Given Central Asia’s heightened vulnerability to climate change, evaluating the impacts of future climatic scenarios is considered essential for informing adaptive management strategies and mitigating desertification trends [12,13,14,15].
Despite extensive investigation into desertification, a key gap persists in understanding the combined effects of climatic and anthropogenic drivers under future climate scenarios [14,16]. This gap constrains policymakers’ ability to formulate comprehensive land management strategies, especially in regions like Central Asia with distinctive socioeconomic and climatic conditions. Although conventional studies have focused on individual factors such as precipitation, vegetation cover, and land use, the interactive influences of these drivers remain underexamined [17,18]. Addressing this gap is critically important, as few analyses have explored the combined effects of climatic and anthropogenic forces on desertification in Central Asia. Moreover, many existing studies lack region-specific approaches, which are urgently needed to capture the unique dynamics at play [6,19].
Traditional methods of desertification risk assessment frequently employ empirical models such as MEDALUS [20], LADA [21], and GLASOD [22]. These models have been instrumental in identifying areas susceptible to desertification, primarily based on indicators like soil quality, vegetation cover, and land use [23,24,25,26]. Although they offer valuable insights at large scales, they often produce deterministic outputs that may fail to capture the complexities and uncertainties of desertification processes [27,28,29]. Such complexities necessitate models capable of representing non-linear relationships and feedback mechanisms [30]. Bayesian networks (BNs) offer a novel means of addressing these limitations by capturing uncertainties and modeling probabilistic relationships among desertification drivers [31]. Emerging frameworks emphasizing coupled human–environment interactions further underscore the importance of multi-scalar processes and the cascading impacts of climatic and anthropogenic disturbances [32]. BNs are suitable for incorporating prior knowledge and representing probabilistic dependencies among key variables [33]. Unlike deterministic models that generate fixed results, BNs provide a range of possible outcomes and support scenario-based analyses, thereby acknowledging data uncertainty [34,35].
Researchers have explored the integration of BNs with empirical models to accommodate uncertainty and manage complexity more effectively. Recent work has demonstrated that combining BNs with empirical approaches enhances scenario analysis and enables the appraisal of land management strategies before implementation [33,34,36,37]. Empirical models provide a strong foundation for desertification assessment, while Bayesian networks (BNs) extend these approaches through a holistic, probabilistic perspective. For example, Yang et al. (2002) employed BNs to investigate desertification and sandstorm mitigation in the Beijing region, demonstrating how empirical data and expert knowledge can be integrated effectively [38]. Similarly, Boali et al. (2019) combined BNs with the MEDALUS model to assess desertification in central Iran, revealing a strong correlation (Kappa = 0.74) between areas identified as high-risk by the BN model and regions classified as severely desertified by the MEDALUS model. This highlights the reliability of BNs in addressing uncertainties and providing valuable insights into desertification dynamics, making them a powerful tool for sustainable land management and adaptive strategies in fragile ecosystems [36]. These findings underscore the reliability of BNs in accommodating uncertainties and delivering valuable insights into desertification dynamics, thereby supporting sustainable land management and adaptive strategies in fragile ecosystems. Integrating deterministic and probabilistic assessments also enables more robust and reliable predictions [39]. Bayesian networks offer a robust framework for incorporating diverse data sources and addressing the uncertainties inherent in environmental systems [35]. By modeling probabilistic relationships among key environmental variables, BNs facilitate a nuanced understanding of how desertification risks evolve under different conditions [35]. Previous studies have demonstrated the effectiveness of BNs in merging qualitative expert knowledge with quantitative data, resulting in more comprehensive forecasts of desertification risk [35,36].
The present research aims to address critical gaps by developing an integrated Bayesian–ESAS model for desertification risk assessment in Central Asia. Three primary objectives guide this effort:
  • Identifying and quantifying the relative influence of climatic and anthropogenic variables on desertification risk.
  • Establishing a hybrid modeling framework that integrates empirical assessment methods (ESAS) with probabilistic reasoning (Bayesian networks).
  • Projecting desertification risk under future Shared Socioeconomic Pathways (SSP245 and SSP585).
Achieving these objectives can inform sustainable land management practices and bolster evidence-based policy development to mitigate desertification risks in the region. An essential element of this study involves assessing future desertification risks under different climate scenarios using SSP245 and SSP585 to forecast trends between 2030 and 2050. These projections shed light on how shifts in climate and land use may either exacerbate or alleviate desertification risks. Understanding these trajectories is crucial for devising adaptive management strategies that reduce vulnerability and promote the sustainable use of resources. The findings significantly affect Central Asia’s land management, policy formulation, and climate adaptation.

2. Materials and Methods

2.1. Study Area

Central Asia (CA) is a geographically diverse and ecologically significant region spanning parts of Eastern Europe, South Asia, and East Asia. It comprises five independent republics—Kazakhstan (KZ), Uzbekistan (UZ), Turkmenistan (TM), Kyrgyzstan (KG), and Tajikistan (TJ)—covering a combined area of approximately 4 million km2 [40,41]. Kazakhstan accounts for the largest share at about 272.7 × 104 km2, whereas Tajikistan occupies the smallest area at around 14.2 × 104 km2. The total population in Central Asia is estimated at 95.51 million, distributed unevenly across these nations.
Geographically, the region can be categorized into three main zones: (1) the high mountains in the southeast, including the Tianshan and Kunlun ranges, which serve as critical water sources [42]; (2) the expansive deserts of the southern plains, such as the Karakum and Kyzylkum deserts; and (3) the hill-plain areas in the north, particularly in Kazakhstan, known as the Kazakh–Kyrgyz steppe. The climate in Central Asia is broadly temperate and continental, with considerable spatial and seasonal variations in precipitation and temperature. Annual rainfall ranges from under 100 mm in southwestern desert areas to over 600 mm in mountainous regions [43]. In contrast, mean annual temperatures shift from approximately −3 °C in high-altitude zones to over 18 °C in southern deserts.
Desertification is a critical concern in Central Asia, which contains roughly 80% of the world’s temperate deserts [44]. The Amu Darya and Syr Darya rivers are key sources of irrigation in the region; however, intensified resource exploitation and the effects of climate change have contributed to escalating desertification [45,46]. Grasslands occupy about 72% of the regional landscape, followed by barren lands at 14.7% and croplands at 5.5% [43]. Salinization, overexploitation of arable land, and agricultural abandonment pose additional challenges, underscoring the need for innovative approaches to sustainable land management and environmental conservation (Figure 1) [8,47].

2.2. Data Sources

Various remote sensing data and cloud-based databases hosted on Google Earth Engine were used to evaluate desertification risk in Central Asia. The Environmentally Sensitive Areas (ESA) Index was applied within the ESAS modeling framework, incorporating weighted coefficients and Bayesian network approaches to capture synergistic effects among environmental variables. As summarized in Table 1, multiple datasets were collected, including soil data (e.g., texture, gravel content, soil depth) treated as static variables due to the low likelihood of substantial changes over the study period. Long-term annual averages of climate data (precipitation, land surface temperature, and aridity) were also compiled, along with current vegetation and land use information from MODIS (2023) and population figures derived from GPWv4 (2020). These integrated data layers offer critical insights into soil conditions, climate patterns, vegetation dynamics, and human pressures, thereby providing a comprehensive perspective on desertification processes in Central Asia.

2.3. Desertification Assessment

The ESAI approach has been widely applied for monitoring desertification risk on a regional scale [54,55,56,57,58]. Initially developed by the Department for Environment, Food and Rural Affairs (DEFRA) of the UK in 1987, the ESAI method was refined by Kosmas [20]. Based on the ESAI framework, eleven indicators were selected to evaluate four quality domains: vegetation, climate, soil, and land management (Table 1). The geometric mean of the scores for these four criteria was used to calculate the overall ESAI, with higher values indicating greater vulnerability to desertification.
Each quality index was derived from multiple indicator parameters, with sensitivity scores between 1 (lowest sensitivity) and 2 (highest sensitivity) to reflect the importance of each class in land sensitivity to desertification and its role in the onset of irreversible degradation. Studies by Kosmas [20] detail a comprehensive discussion of the indicators and their relevance to desertification risk.

2.3.1. Soil Quality Index (SQI)

The Soil Quality Index (SQI) represents the soil’s ability to support natural vegetation, considering water retention, erosion resistance, and overall soil sustainability [59]. The SQI is determined using three key parameters—texture, soil depth, and rock fragments—following the methodology outlined in the ESAI framework. Soil data were obtained from the Harmonized World Soil Database with a 30 arc-second resolution. Table 2 outlines the indicators and sensitivity scores used for evaluating soil quality.
The Soil Quality Index is typically applied at a regional level to assess the spatial distribution of soil quality. However, due to limited soil data coverage in Central Asia, soil indicators are considered relatively static, with only minor changes in soil quality expected over large scales [60,61]. Each soil indicator was evaluated using the scoring ranges provided in Table 1. Finally, the soil quality layer was generated by applying a weighted average approach, as detailed in Equation (1) [20].
S Q I = T e x t u r e × S o i l D e p t h × R o c k F r a g m e n t s 3

2.3.2. Climate Quality Index (CQI)

Climate quality was assessed based on factors influencing water availability for plant growth, including precipitation, aridity index, and LST (Land Surface Temperature). Data from the TerraClimate dataset with a spatial resolution of approximately 4638 m were utilized to develop the annual precipitation map. This dataset provided a comprehensive and high-resolution depiction of precipitation patterns across the study area. Annual precipitation was categorized into three classes, with 280 mm as a critical threshold for soil erosion and plant growth. The LST map was derived using MODIS (MOD11A2.061 product) with a spatial resolution of 1000 m. The MODIS LST data, which offer an eight-day composite of land surface temperature, were processed and analyzed in the Google Earth Engine platform. This approach facilitated the efficient handling of large datasets and ensured accurate spatial representation of land surface temperature. To create the aridity map, the Bagnouls–Gaussen Aridity Index (BGI) was employed in conjunction with TerraClimate data [62]. This method enabled the calculation of aridity index values for the study area, reflecting the balance between precipitation and potential evapotranspiration. The aridity index was classified into five distinct categories, offering a nuanced understanding of the region’s climatic dryness. The BGI was calculated as described in Equation (2) and categorized into six subclasses (as shown in Table 3):
B G I = i = 1 n ( 2 t i p i ) k i
where  t i  indicates the mean monthly temperature,  p i  represents the monthly precipitation, and  k i  serves as a weighting factor that accounts for the influence of each month on the BGI. These components collectively provide a comprehensive representation of the region’s climatic conditions.
This classification is critical for evaluating the potential for plant growth and assessing the risk of desertification. Integrating key climate factors—precipitation, aridity index, and LST—provides a holistic assessment of climate quality [63]. Each indicator was scored according to Table 3, and the Climate Quality Index (CQI) was determined based on the weighted average of the three climatic indicators, as defined in Equation (3).
C Q I = Pr e c i p i t a t i o n × A r i d i t y I n d e x × L S T 3

2.3.3. Vegetation Quality Index (VQI)

The vegetation quality incorporates plant cover, fire hazard, and soil erosion protection. The dominant vegetation types in the Mediterranean region were categorized into four classes according to their inherent fire hazard (Table 4). These categories were then assigned specific weights to reflect their impact on vegetation quality [64]. In the initial phase, the Central Asia Land Cover map was obtained using the MCD12Q1.061 MODIS Land Cover dataset with a spatial resolution of 500 m. This standardized classification contains valuable information used to evaluate vegetation cover parameters. Each index was assigned a weight ranging from 1 to 2, and ultimately, a weighted average was calculated within the Google Earth Engine environment to generate the vegetation quality index map. The VQI was calculated using Equation (4):
V Q I = F i r e R i s k × E r o s i o n Pr o t e c t i o n × P l a n t C o v e r 3

2.3.4. Management Quality Index (MQI)

The Management Quality Index (MQI) was incorporated into the ESAI framework to assess the impact of human activities on desertification. This index evaluates the intensity of land use and population density, considering factors such as agricultural practices and urbanization. To assess the population density index, data from GPWv411: Population Count (Gridded Population of the World Version 4.11) with a spatial resolution of approximately 927 m were utilized [65].
The intensity of land use and population density indicators is scored in Table 5. The management quality index was then determined using the weighted average of these two indicators, as defined in Equation (5). A higher MQI value indicates greater human-induced stress, which can exacerbate desertification processes.
M Q I = L a n d U s e × P o p u l a t i o n D e n s i t y 2

2.3.5. Final ESAI Calculation

The final step involved integrating the physical environment indices (soil quality index—SQI, climate quality index—CQI, vegetation quality index—VQI) with the management quality index (MQI) to determine the overall susceptibility of each land use class to desertification. The ESA Index (ESAI) was calculated using the weighted average of the four quality indices, as defined in Equation (6) [66].
E S A I = S Q I × C Q I × V Q I × M Q I 4
To ensure comparability and reliability, all indices (SQI, CQI, VQI, MQI) were standardized to a uniform scale ranging from 0 to 1. This standardization process ensures that the indices are dimensionless, enabling an equal contribution of each component to the ESAI calculation. One represents the least susceptibility to desertification, while 2 represent the highest susceptibility. This approach minimizes the potential for discrepancies arising from different measurement units or scales, aligning with standard practices in environmental index calculations [55,67]. Higher ESAI values indicate greater vulnerability to desertification, highlighting areas that require immediate and targeted management interventions. In contrast, lower ESAI values signify regions with greater resilience and a lower risk of desertification. Using the fourth root in the formula ensures that no single index disproportionately affects the overall ESAI, promoting a balanced integration of all components [66] (Table 6).

2.4. Assessing Desertification Using Bayesian Networks

The most influential variables must first be identified to model desertification using Bayesian Belief Networks (BBNs) [68]. In this study, the primary basis for Bayesian modeling was the indices applied in the ESAS model. Accordingly, the key variables were selected for the BBN model based on available information, a comprehensive review of sources, and the index considered in the ESAS model for assessing desertification. In the next step, causal relationships between these variables were established using an influence diagram. The influence diagram was iteratively designed and refined through expert opinions and a literature review. Subsequently, each variable and its various classes were defined and clarified based on published scientific sources. Finally, to create the model and build conditional probability tables (CPTs) for the model variables, the influence diagram was transformed into an initial BBN using the Netica software version 6.05. The model’s conditional probability tables were completed with multiple sessions involving practitioners and academic experts, and the conditional probability table calculator (CPT calculator) was utilized [69,70]. A structured methodology, the Delphi method, was employed to gather and validate expert opinions in CPT construction. This protocol included the systematic selection of experts, distribution of questionnaires, and analysis of responses. The average opinions were used to reduce bias and variability [69,70].
In Bayesian Belief Network (BBN) models, two variables are generally identified: input variables and main variables. Input variables, which are placed at the highest level of the model, are not influenced by other variables after the influence diagram is constructed. On the other hand, the main variables are positioned at lower levels, and their performance outcomes are analyzed by completing conditional probability tables (CPTs) filled by experts and the Conditional Probability Table Calculator [71]. Based on this structure, variables such as soil texture and depth, gravel percentage, precipitation, temperature, drought-aridity, fire hazard, vegetation cover percentage, erosion protection, land use, and population density were considered input variables for the model. In contrast, the main variables included soil condition, vegetation condition, climate, soil erosion, and desertification, with their respective CPTs developed based on expert input [72,73,74]. Finally, the designed model was randomly applied at 200 points within the study area to estimate the severity of desertification. In this study, the Bayesian Belief Network (BBN) model was validated by conducting sensitivity analysis, reviewing results with experts, and comparing the map generated by the Bayesian model with the desertification map from the ESAS model. The information obtained from the sensitivity analysis was used to identify the input variables with the most significant impact on the model’s output and its uncertainty. Sensitivity analysis of the BBN model was conducted on a component-by-component basis (intermediate nodes of the model) using the entropy reduction method [36].

2.4.1. Examining the Correlation Between Bayesian and ESAS Models

Three key metrics were utilized to evaluate the correlation between the ESAS model and the Bayesian model in desertification analysis: the coefficient of determination (R2), Pearson correlation coefficient, and root mean square error (RMSE). These metrics provided a robust framework for comparing the predictive accuracy and reliability of the two models. Initially, the raster maps generated by both models were converted into a standard classification scheme, ensuring comparability across different spatial datasets. The metrics were then computed to assess the models’ performance quantitatively. These analyses provide valuable insights into the strengths and limitations of the ESAS and Bayesian models in identifying areas susceptible to desertification. Higher R2 and Pearson correlation values, combined with lower RMSE, suggest better agreement and predictive accuracy between the models. By understanding these metrics, researchers can refine the methodologies and improve desertification susceptibility assessments.
(1) 
Pearson Correlation Coefficient (r)
The Pearson correlation coefficient measures the strength and direction of the linear relationship between the results of the two models. Its formula is as follows (Equation (7)):
r = i = 1 n ( x i x ¯ ) ( y i y ¯ ) i = 1 n ( x i x ¯ ) 2 i = 1 n ( y i y ¯ ) 2
where xi indicates the values of the ESAS results and yi represents the values of the Bayesian model results. The terms  x ¯  and  y ¯  denote the means of the respective datasets, while n refers to the total number of observations.
The Pearson correlation coefficient ranges between −1 and 1. A value of 1 indicates a perfect positive linear relationship, −1 represents a perfect negative linear relationship, and 0 implies no linear correlation. This metric helps identify the degree of similarity between the two models’ outputs [75].
(2) 
Root Mean Square Error (RMSE)
RMSE quantifies the differences between observed and predicted values, providing an overall measure of prediction accuracy. It is calculated using the following formula (Equation (8)):
R M S E = i = 1 n ( x i y i ) 2 n
where Xi represents the observed values, yi denotes the predicted values, and n refers to the total number of data points.
The RMSE value is always non-negative, with lower values indicating greater model accuracy. It provides a sensitive measure for detecting large errors, as squared differences emphasize significant deviations [76].
(3) 
Coefficient of Determination (R2)
R2 measures the proportion of the variance in the dependent variable (model output) that is predictable from the independent variable. It is calculated as follows (Equation (9)):
R 2 = 1 i = 1 n ( x i y i ) 2 i = 1 n ( x i x ¯ ) 2
where Xi represents the observed values, yi denotes the predicted values, and  x ¯  is the mean of the observed values. The coefficient of determination (R2) ranges from 0 to 1, where R2 = 0 indicates that the model does not explain any of the variance in the data and R2 = 1 signifies that the model perfectly explains the variance. Higher R2 values indicate better model performance [77].

2.4.2. Project Desertification Hazard for Future Periods

In this section, desertification hazard is assessed using land use data and future climatic variables under climatic scenarios from 2030 to 2050.
(1) 
Land Use Projection Using Markov Chain Model
Markov Chain modeling captures the probabilistic transitions between different land use classes. This method assumes that the future state of a land use class depends solely on its present state, without regard to prior history. Transition probabilities are calculated based on observed historical changes, providing a framework for simulating future scenarios. A Markov transition matrix is generated, quantifying the likelihood of land use changes between classes. This matrix is calibrated using historical land use data to ensure accuracy and relevance. The transition matrix simulates future land use patterns for the target year (e.g., 2030). This enables the model to predict changes such as urban expansion, deforestation, agricultural intensification, etc., under different scenarios. The future land use map for the year 2040 was generated using the Markov Chain model approach in TerrSet2020 software (formerly IDRISI). Historical land use maps from 2010 and 2020 were used as baseline datasets. These maps were derived from MODIS data with a spatial resolution of 500 m, providing land use classifications. MODIS data, processed and validated in previous studies, offers reliable inputs for long-term land use modeling [78]. Subsequently, the 2010 and 2020 land use maps were analyzed using TerrSet to visualize future land use for 2030 through Markov Chain probabilities. The Vegetation Quality Index (VQI) and the Management Quality Index (MQI) were reassessed based on the projected land use data for future periods, following the scoring criteria outlined in Table 4 and Table 5, respectively.
(2) 
Climatic Projections
This section integrates climatic variables to assess desertification hazards under various climatic scenarios. Climatic variables were derived from the NASA GDDP-CMIP6 dataset for the period 2030–2050, considering two different socio-economic pathways: SSP245 (moderate emissions scenario) and SSP585 (high emissions scenario) [79]. To minimize uncertainty, an average of five climatic models was used, with model characteristics detailed in Table 7. According to studies conducted, the GFDL-ESM4, EC-Earth3, CESM2-WACCM, HadGEM3-GC31-LL, and NorESM2-MM models have demonstrated better performance in Central Asia [80,81,82]. Key climatic variables, including precipitation and aridity, were recalculated for each scenario, with a fixed LST value applied consistently across all assessments.
(3) 
Calculation of Desertification Hazard Indices
The Soil Quality Index (SQI) was considered static, while the Climate Quality Index (CQI) was derived under the two climatic scenarios SSP245 and SSP485. The Vegetation Quality Index (VQI) and the Management Quality Index (MQI) were reassessed based on the projected land use maps for the future period. These indices (VQI, CQI, and MQI) were evaluated using the scoring criteria outlined in Table 3, Table 4 and Table 5. Ultimately, the ESAI was calculated for the future under both climatic scenarios.
The conceptual framework guiding this research is illustrated in Figure 2.

3. Results

3.1. Analysis of Environmental Quality Indices

The analysis of environmental quality indices (VQI, MQI, SQI, CQI, and ESAI) for the Central Asian countries of Kyrgyzstan, Kazakhstan, Tajikistan, Turkmenistan, and Uzbekistan reveals spatial and temporal variability in environmental and soil conditions.

3.1.1. Soil Quality Index (SQI)

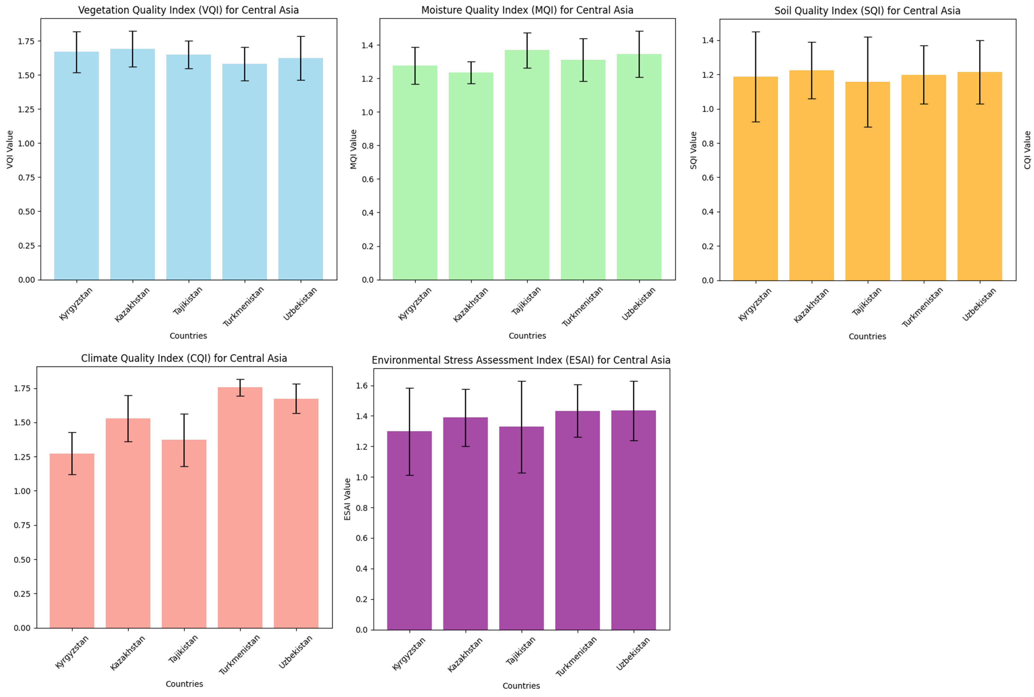
The Soil Quality Index (SQI) analysis revealed significant variations in soil conditions across Central Asian countries, further examined in this section. Kazakhstan demonstrates consistent soil conditions suitable for agricultural practices with a mean SQI value of 1.2243 and a low standard deviation of 0.1649. Conversely, Kyrgyzstan and Tajikistan show greater variability in soil quality, with standard deviations of 0.2623 and 0.2629, respectively, reflecting the impact of diverse topographical and climatic influences. Uzbekistan and Turkmenistan have slightly higher mean SQI values (1.2153 and 1.1989, respectively) but exhibit more uniform conditions than Kyrgyzstan and Tajikistan (Figure 3). In terms of soil quality (SQI), Kazakhstan exhibits relatively consistent and moderate soil quality (mean = 1.2243), with a lower standard deviation (0.1649), indicating uniform conditions across the country.
In contrast, Kyrgyzstan and Tajikistan show high variability in soil quality (mean = 1.1886 and 1.1582, respectively) and higher standard deviations (0.2623 and 0.2629, respectively), suggesting diverse soil conditions due to topographical and climatic factors. Turkmenistan and Uzbekistan, with moderate mean values of 1.1989 and 1.2153, exhibit lower variability, indicating more stable soil conditions (Figure 3).

3.1.2. Climate Quality Index (CQI)

The Climate Quality Index (CQI) for Central Asia indicates variability in climatic conditions impacting land quality. Kazakhstan displays a mean CQI value of 1.5288, classified as ‘Low’, indicating moderate climatic stress. Turkmenistan and Uzbekistan, with CQI values of 1.7556 and 1.6735 respectively, fall under the ‘Very Low’ classification. Kyrgyzstan and Tajikistan have moderate CQI values (1.2738 and 1.3720), suggesting less intense climatic stress. The higher standard deviations observed in some regions indicate variability in climatic impacts, necessitating climate-resilient practices to mitigate the effects of extreme conditions (Figure 4).

3.1.3. Vegetation Quality Index (VQI)

The Vegetation Quality Index (VQI) values for Central Asian countries are consistently low, ranging from 1 to 1.9309. Kyrgyzstan and Kazakhstan have the highest mean values (1.6687 and 1.6919, respectively), indicating slightly better vegetation quality than other countries in the region. The classification of “Very Low” for most countries points to suboptimal vegetation conditions, which may result from climatic stress, land degradation, or land use changes over time (Figure 5 and Figure 6).

3.1.4. Management Quality Index (MQI)

The Management Quality Index (MQI) analysis for Central Asian countries demonstrates a moderate classification across all regions. Kyrgyzstan shows a mean value of 1.2769 and a standard deviation of 0.1099, indicating relatively consistent moisture conditions. Tajikistan exhibits the highest mean MQI value (1.3690), suggesting slightly better moisture retention conditions than other countries. Turkmenistan and Uzbekistan, with mean values of 1.3106 and 1.3457, respectively, also reflect moderate soil moisture conditions but slightly higher variability. Kazakhstan has the lowest mean MQI value (1.2355) yet the lowest standard deviation (0.0662), indicating stable moisture conditions. These observations highlight water availability’s challenges and potential impact on agriculture and ecosystem health (Figure 5 and Figure 6).
The Management Quality Index (MQI) and Soil Quality Index (SQI) for all countries are classified as “Medium” and “High” on average. These indicators suggest that the region faces moderate soil moisture and quality challenges, which could influence agricultural productivity and ecosystem health. Kyrgyzstan, with a mean of 1.2769 for MQI, and Kazakhstan, with a mean of 1.2243 for SQI, indicate that despite challenges, some areas might still have manageable soil and moisture conditions.

3.2. Environmental Stress Assessment Index (ESAI)

The Environmental Stress Assessment Index (ESAI) values highlight significant variability among the countries, with Turkmenistan and Uzbekistan showing the lowest quality indices regarding climate and environmental stress. The indices analysis reveals that countries categorized as ‘Very Low’ and ‘Low’ face significant environmental stress, primarily due to desertification, extreme weather events, and climate change (Figure 7 and Figure 8). A detailed examination of the Environmental Stress Assessment Index (ESAI) indicates that critical stress levels (C1, C2, and C3) predominate in Central Asia, encompassing approximately 92.73% of the total area (364,133 km2). In contrast, fragile areas classified as F1, F2, and F3 represent only 3.77%, while non-affected regions account for a mere 2.20%. This distribution highlights the urgent environmental challenges in the region, particularly regarding desertification and land degradation (Table 8 and Table 9).

3.3. Conceptual BBN Model Development

The Bayesian Belief Network (BBN) model effectively captured the variables influencing desertification intensity through cause-and-effect relationships (Figure 9). The results revealed a hierarchical structure within the model, consisting of three levels: input variables (ESAS model indices), main variables (ESAS model criteria), and the target variable. For instance, after designing the Bayesian model, it was shown that the indices of gravel percentage, soil texture, and soil depth influence the soil criterion. Also, the soil criterion itself is one of the main variables affecting desertification in the region.
The conditional probability tables (CPTs) for the main variables were completed to transform the influence diagram into a Bayesian model. Table 10 presents the conditional probability table for the variable “management quality index (MQI).” This table includes 12 different scenarios related to management quality. The highlighted scenario corresponds to the model’s implementation at Point 1 in Kyrgyzstan (Figure 7). According to this scenario, if the Intensity of land use for the cropland variable is in the “Medium level land use intensity” class and the population variable is in the “170>” class, the management quality is 60% likely to fall into the “Appropriate” class and 40% into the “Inappropriate” class (Table 10).

3.3.1. Desertification Assessment Using the BBN Model

The environmental characteristics of Point 1 in Kazakhstan were used as an example for input and execution in the model (Figure 10). According to the model, if the soil texture is in Class 1, the soil depth is less than 75 cm, and the gravel percentage is below 20%, the soil quality variable has an 85% probability of falling into the “Appropriate” class for desertification assessment. Additionally, the aridity index is between 100 to 125. In that case, precipitation ranges from 280 to 650 mm, and temperature is below 303 K; the climate quality variable has a 70% probability of being in the “Suitable” class. However, suppose the fire hazard variable is in Class 1, erosion protection is in Class 4, and vegetation cover is below 10%. In that case, the main variable of vegetation quality has a 76% probability of being in the “Inappropriate” class. Considering that in this point of Kyrgyzstan, population density is less than 170 and the intensity of agricultural land use is moderate, the management quality variable has a 60% probability of being in the “Appropriate” class. It is ultimately, based on the appropriate quality of soil, climate, and management variables, alongside the inappropriate quality of vegetation cover at this point, the desertification intensity is predicted with probabilities of 49.8% as low, 10.8% as moderate, 13.6% as high, and 25.8% as very high.
The proposed model was implemented at 200 points across Central Asia. Table 9 details the model’s input variables at 15 selected points across Central Asia (three points were chosen from each country). By classifying the input variables of the Bayesian model, the probability of desertification hazard can be determined for various locations.

3.3.2. Key Variables Influencing Desertification Sensitivity in Central Asia

Table 11 presents the sensitivity analysis results of the desertification model in Central Asia. The findings revealed that desertification in Central Asia is most sensitive, in order of significance, to the main variables of vegetation quality (0.15827), climate quality (0.09584), management quality (0.04818), and soil quality (0.01658) (Table 12). Additionally, the results indicated that the input variables of vegetation cover percentage, precipitation amount, and the intensity of land use for cropland are the most influential factors affecting desertification in the region. Conversely, the variables with the least impact on desertification were identified as fire hazard (0.000001), gravel percentage (0.00009), and soil depth (0.00021), respectively (Figure 11 and Figure 12 and Table 12).

3.4. Comprehensive Analysis of Desertification Trends Using Bayesian and ESAS Models

The results from the correlation analysis between the Bayesian model and the ESAS model indicate a strong correlation in assessing desertification, with a coefficient of determination (R2) at 0.82, a Pearson correlation coefficient of 0.76, and a root mean square error (RMSE) of 0.18. These findings demonstrate that the Bayesian model, a statistical and probabilistic approach, aligns well with the ESAS model, supporting its use in evaluating management scenarios and predicting future desertification risks. This aids in making informed decisions in natural resource management.
Furthermore, the Bayesian model was employed to map desertification hazards under current and future scenarios, incorporating climate scenarios SSP245, SSP585, and land-use changes. By 2030, six key indicators—precipitation, aridity, land use, vegetation cover percentage, erosion protection, and fire hazard—were forecasted, significantly impacting the desertification projections. The western regions of Central Asia, including Kazakhstan, Uzbekistan, and Turkmenistan, were identified as areas with high desertification hazards. Conversely, Kyrgyzstan and Tajikistan showed notably lower risks.
The desertification trend across Central Asia is expected to increase from west to east by 2030. Scenario SSP245 projects a 4% increase in desertification hazards, while scenario SSP585 forecasts an 11% rise, underscoring the severe impacts of more drastic climate changes. This scenario mainly affects Kazakhstan’s central, eastern, and western regions. The study period also saw an increase in areas classified with high and very high desertification probabilities, from 1,099,674 square kilometers in 2023 to 1,244,686 square kilometers under scenario SSP245 and 1,659,581 square kilometers under scenario SSP585, highlighting the escalating risks in the region (Figure 13).

4. Discussion

4.1. Climate Change Impacts on Desertification Dynamics

The analysis indicates a pronounced rise in temperature under both SSP245 and SSP585 scenarios, with SSP585 exhibiting a more substantial increase. This warming trend is particularly evident in arid and semi-arid regions, where elevated evapotranspiration rates and diminished soil moisture exacerbate desertification processes. These results align with the findings of Almazroui et al. (2020), which reported considerable temperature increases in South Asian countries under high-emission scenarios [83].
Precipitation patterns also show significant variability, with specific areas experiencing higher rainfall while others undergo reductions. For example, projections for Central Asia suggest a general increase in precipitation; however, northern zones may encounter a decline, creating a complex hydrological balance that intensifies stress on susceptible ecosystems [84]. The aridity index is expected to rise in tandem, especially in regions already prone to desertification. This outcome stems from reduced precipitation and higher evaporation rates, further disturbing the equilibrium between water supply and demand. Such conditions are likely to accelerate land degradation and impede the recovery of degraded ecosystems [85].
These climatic changes not only contribute to land degradation but also exacerbate vegetation loss, further intensifying desertification risks.

4.2. Land Degradation and Vegetation Cover Decline

The analysis also highlights an elevated risk of wildfires in areas with diminishing vegetation cover, predominantly driven by rising temperatures and increasing aridity. Reduced vegetation directly affects the soil’s capacity to retain moisture and organic matter, worsening land degradation. Previous research has similarly demonstrated that lower vegetation cover and higher temperatures substantially reduce a soil’s ability to conserve water and organic content, leading to intensified land degradation [86]. These findings underscore the necessity of targeted conservation initiatives to uphold ecological resilience in vulnerable regions.
Sustainable land management practices have been shown to mitigate the dual impacts of climate change and land degradation, offering critical opportunities to counter these environmental challenges [87]. Projected land-use changes also indicate notable shifts toward urban expansion and agricultural intensification, applying further pressure on natural ecosystems and limiting their capacity to resist desertification. This conclusion is consistent with the Intergovernmental Panel on Climate Change (IPCC), which identifies land-use changes such as urbanization and intensive agriculture as significant factors that elevate ecological stress and weaken ecosystems’ resilience to desertification [88]. These considerations highlight the need for sustainable land management strategies to alleviate the negative impacts of climate change on soil and vegetation.
The decline in vegetation cover not only threatens biodiversity and soil stability but also disrupts the carbon balance, influencing regional carbon fluxes.

4.3. Desertification, Environmental Stress, and Carbon Cycle

The severe environmental stress observed in Kazakhstan, Uzbekistan, and Turkmenistan exacerbates desertification risks and significantly impacts the regional carbon cycle. The degradation of arable land and the widespread loss of vegetation cover reduces the capacity of these regions to absorb and store atmospheric carbon, thereby weakening their role as carbon sinks. Simultaneously, soil erosion accelerates the transfer and mineralization of organic carbon, increasing CO2 emissions into the atmosphere and further contributing to climate change. These feedback loops create a vicious cycle in which desertification intensifies carbon loss, and rising carbon levels accelerate environmental degradation. To mitigate these challenges, proactive and targeted management strategies are essential. Restoring degraded ecosystems, improving water resource management, and promoting sustainable agricultural practices can enhance carbon sequestration potential and support long-term ecological stability. Investments in afforestation, reforestation, and soil conservation initiatives, particularly in highly vulnerable regions, can play a crucial role in offsetting carbon emissions and reinforcing climate adaptation efforts. By integrating carbon sequestration projects—such as rehabilitating degraded forests and rangelands—into national climate policies, Central Asian countries can strengthen their resilience to both desertification and climate change while ensuring the sustainability of their natural resources.
Given these environmental complexities, advanced modeling techniques such as Bayesian networks offer valuable insights into predicting and managing desertification risks under different climate scenarios.

4.4. Role of Bayesian Networks in Desertification Risk Assessment

Integrating Bayesian Belief Networks (BBNs) with empirical models such as ESAS significantly enhances desertification modeling. This combined approach effectively addresses uncertainties and accounts for complex interactions among variables, offering a more comprehensive view of desertification dynamics in Central Asia. Unlike deterministic models, BBNs estimate the probability of various desertification intensities under different scenarios, providing nuanced insights into potential outcomes. Recent findings affirm that BBN-based modeling is well-suited for studying and assessing desertification, corroborating the conclusions of prior research [36,38]. Furthermore, the BBN model calculates the probability of different desertification intensities across the examined regions in Central Asia.
Numerous ecological and managerial factors influence the severity of desertification, yet many existing models struggle to capture all these factors accurately. Most desertification assessment approaches, including the ESA framework, produce deterministic outcomes by classifying desertification types or estimating intensity. However, this approach is less reliable in environments marked by diverse ecological variables and the high structural heterogeneity characteristic of arid and semi-arid zones. The present analysis indicates that Bayesian network models address this challenge by explicitly incorporating uncertainty in evaluations, an observation supported by parallel studies [36,38,89]. Similar to other models, the Bayesian network model has certain limitations. Expert judgment is typically used to populate conditional probability tables, which makes the final results dependent on the accuracy of these assessments. Inaccurate estimates may compromise model reliability [90]. Additionally, networks containing numerous variables and states can generate extensive conditional probability tables, thereby increasing the risk of errors when completing these tables [23]. The Bayesian model developed in this study builds on the ESA framework, emphasizing variables with the most significant impact on desertification. Selections were guided by the availability of large-scale data, ensuring broad applicability. Moreover, the model remains adaptable, permitting the incorporation of new, region-specific variables as needed. This flexibility enhances its utility and scalability, making it a valuable tool for assessing and mitigating desertification risks across diverse environments.
Sensitivity analysis conducted within the Bayesian Belief Network (BBN) model indicates that vegetation quality strongly influences desertification sensitivity, followed by climate, management, and soil quality. These findings are consistent with existing literature emphasizing the pivotal role of vegetation cover in reducing desertification impacts [33,36]. Identifying these key variables enables policymakers to prioritize strategies to enhance vegetation health and improve management practices.
The strong correlation between the BBN model and the empirical ESA framework further validates the reliability of Bayesian networks for desertification hazard assessment. High correlation coefficients between the two models confirm robust alignment of their predicted outcomes. Despite its statistical and probabilistic nature, Bayesian modeling effectively captures uncertainty, providing nuanced insights into possible scenarios. By quantifying uncertainties associated with different inputs and predictions, Bayesian approaches increase transparency in the modeling process and the capacity for informed decision-making under variable environmental conditions and management strategies. These observations align with earlier studies highlighting the effectiveness of Bayesian methods in accommodating uncertainty and evaluating management scenarios [33,91,92]. The results also indicate that western Central Asia, including Kazakhstan, Uzbekistan, and Turkmenistan, falls under high and very high hazard classes for desertification, reflecting the substantial environmental challenges in these areas due to climate change, aridity, and agricultural practices. By contrast, Kyrgyzstan and Tajikistan face relatively lower desertification hazard levels; however, the overall trend in Central Asia suggests an increase in desertification hazards from west to east by 2030. These findings are consistent with previous research demonstrating the region’s severe environmental pressures [7,58,93].
These insights are crucial for policymakers, as integrating Bayesian models with adaptive land management strategies can enhance resilience against desertification.

4.5. Policy Implications and Sustainable Land Management Strategies

The results derived from the environmental quality indices (VQI, MQI, SQI, CQI, and ESAI) offer crucial insights into the ecological conditions in Central Asia. Turkmenistan and Uzbekistan face serious challenges characterized by “Very Low” CQI classifications and elevated ESAI scores. These indicators reflect severe environmental stress from arid conditions, desertification, and agricultural activities such as irrigation. In Turkmenistan, the overuse of water resources and inefficient irrigation practices have led to widespread soil salinization and land degradation. The national “Greening the Desert” program aims to restore 160,000 hectares of land by 2025 [94]. Mitigating salt and dust emissions includes planting drought-resistant vegetation in the dried-up Aral Sea basin [95]. In response, the Uzbek government is working to mitigate salt and dust emissions by planting drought-resistant vegetation in the dried-up Aral Sea bed [95]. Comparable patterns have been observed in Southern Europe, where desertification risks and severe environmental stress necessitate prompt interventions to maintain long-term ecological balance [96]. Despite comparatively lower overall desertification risks, countries such as Kyrgyzstan and Tajikistan exhibit substantial heterogeneity in soil quality and environmental stress, influenced by varied topography and climatic conditions. This variability underscores the need for context-specific strategies to ensure long-term sustainability in Central Asia’s distinct landscapes.
In contrast, Kazakhstan, Uzbekistan, and Turkmenistan face more critical environmental challenges, with extensive areas under severe stress, highlighting the urgent need for proactive, targeted management measures. This disparity underlines the necessity of tailored land management and conservation strategies to address localized environmental challenges and the risks posed by highly vulnerable regions. Furthermore, the prevalence of critical stress categories in the ESAI data—encompassing over 90% of the region—indicates the pressing need for sustainable practices and climate adaptation measures. These interventions are essential to maintaining long-term ecological resilience under increasingly adverse environmental conditions.
These findings highlight the need for land management strategies to meet local needs. Given Central Asia’s diverse geography and climate, it is essential to establish tailored management programs for each country that address specific environmental challenges. Rapid and effective interventions are particularly urgent for safeguarding vulnerable ecosystems; without sustainable resource management and climate adaptation measures, the impacts of desertification may increasingly threaten food security and local livelihoods. Advanced models, such as Bayesian networks, offer practical tools for anticipating and managing these risks.
Furthermore, sustainable soil management practices have been identified as pivotal strategies for counteracting the accelerated soil degradation triggered by climate change [97]. In summary, projected temperature increases and precipitation pattern alterations under SSP245 and SSP585 scenarios are likely to exacerbate desertification risks, particularly in arid and semi-arid regions. These findings underscore the urgency of implementing adaptive land management strategies to mitigate the compounded impacts of climate change on vulnerable ecosystems. Consistent with these observations, research emphasizes the importance of land-based adaptive strategies in bolstering ecosystem resilience and counteracting the adverse effects of global warming and land-use transformations [98].

Balancing Environmental and Socioeconomic Trade-Offs in Desertification Mitigation

A critical observation emerging from this analysis is the importance of comprehensive trade-off evaluations when shaping policies to combat desertification. Although afforestation projects can significantly mitigate land degradation by enhancing soil stability and carbon sequestration, they may also heighten competition for scarce water resources, especially in arid and semi-arid regions. Conversely, agricultural expansion can support food security and rural development but may accelerate salinization and soil erosion without sustainable management practices. Recognizing these interconnected outcomes prevents environmental burdens from merely shifting between sectors.
Implementing balanced policy frameworks requires weighing both synergies and conflicts among potential interventions. In water-constrained landscapes, afforestation should be combined with efficient irrigation technologies and tree species capable of minimizing water stress. Simultaneously, climate-resilient crop varieties and conservation agriculture techniques can increase agricultural output without undermining ecosystem stability. By considering the intricate relationships between ecological restoration and agricultural expansion, policymakers can optimize resource allocation, strengthen local livelihoods, and preserve ecological integrity over the long term. This integrated, multi-sectoral perspective is crucial for devising robust strategies that combat desertification and foster sustainable socio-economic progress throughout Central Asia.

5. Conclusions and Recommendations

Conclusions: The analysis reveals a growing risk of desertification in Central Asia, driven by both climatic and anthropogenic factors, with Bayesian modeling projecting an 11% rise in desertification risk under the SSP585 scenario and a 4% rise under the SSP245 scenario by 2050. The Environmental Stress Assessment Index (ESAI) indicates that over 90% of the region falls under critical or fragile environmental stress categories, emphasizing the urgency of intervention. Vegetation quality (VQI) emerged as the most influential factor in determining desertification sensitivity, followed by climate quality (CQI), management quality (MQI), and soil quality (SQI). Western Central Asia, particularly Kazakhstan, Uzbekistan, and Turkmenistan, exhibits the highest levels of environmental stress. In contrast, despite facing lower overall risks, Kyrgyzstan and Tajikistan demonstrate considerable variation due to their diverse topographical and climatic conditions. These findings highlight the need for region-specific land management strategies to address localized environmental vulnerabilities and ensure long-term ecological stability.
Integrating Bayesian networks with the ESAS model has proven effective in assessing desertification risk, offering a probabilistic framework that captures complex environmental interactions. However, limitations remain, mainly due to the reliance on static indices and expert judgment, underscoring the need for more dynamic, data-driven methodologies to improve predictive accuracy. Furthermore, the study highlights the significant impact of desertification on the regional carbon cycle, where vegetation loss and soil degradation reduce carbon sequestration capacity. At the same time, increased erosion accelerates carbon emissions, further exacerbating climate change. These findings emphasize the importance of an integrated land-use management approach that considers desertification mitigation and carbon balance strategies.
Policy Recommendations: Addressing the increasing risks of desertification requires comprehensive and proactive land management strategies, particularly in high-risk areas such as Kazakhstan, Uzbekistan, and Turkmenistan. Sustainable land-use practices should be prioritized, including targeted afforestation programs, soil conservation efforts, and improved irrigation management to enhance ecological resilience. Given the complexity of desertification dynamics, leveraging advanced technologies such as remote sensing, machine learning, and geospatial modeling can refine risk assessment methodologies and support more effective decision-making in land management.
Regional collaboration remains essential in mitigating desertification, as transboundary environmental challenges require coordinated efforts. Cross-border initiatives, including joint afforestation projects and integrated water resource management programs, should be promoted to facilitate knowledge sharing and collective problem-solving. Encouraging partnerships between research institutions, policymakers, and local stakeholders can further enhance the effectiveness of sustainable land management interventions.
Adaptive management policies should be developed to respond to shifting environmental conditions, integrating real-time monitoring and longitudinal studies to assess the effectiveness of current strategies. Evidence-based policymaking should incorporate scientific research and local knowledge, ensuring land-use interventions align with socio-economic and ecological realities. The inherent trade-offs between afforestation, agricultural expansion, and water resource allocation necessitate a balanced approach that minimizes unintended environmental consequences. By integrating sustainable resource management with climate adaptation measures, Central Asian countries can enhance their resilience against desertification while maintaining long-term ecological and socio-economic stability.

Author Contributions

Conceptualization, J.L. and Y.R.; methodology, J.L.; software, Y.R.; validation, J.L. and Y.R.; formal analysis, J.L.; investigation, Y.R.; resources, Y.R.; data curation, Y.R.; writing—original draft preparation, J.L. and Y.R.; writing—review and editing, J.L., Y.R., P.H. and J.X.; visualization, J.L.; supervision, J.X.; project administration, J.L.; funding acquisition, J.L. and J.X. All authors have read and agreed to the published version of the manuscript.

Funding

This research was jointly funded by the Key Laboratory of Mine Spatio-Temporal Information and Ecological Restoration, MNR (Grant No. KLM202301), Henan Provincial Science and Technology Research (Grant No. 242102320017), the Henan Province Joint Fund Project of Science and Technology (Grant No. 222103810097), and the Western Light Project of Chinese Academy of Sciences (Grant No. xbzglzb2022018).

Data Availability Statement

The raw data supporting the conclusions of this article will be made available by the authors upon request.

Conflicts of Interest

The authors declare no conflicts of interest.

References

  1. Sombroek, W.; Sene, E.H. Land Degradation in Arid, Semi-Arid and Dry Sub-Humid Areas: Rainfed and Irrigated Lands, Rangelands and Woodlands. In Proceedings of the Inter-Governmental Negotiating Committee for the Preparation of a Convention to Combat Desertification and Drought, Substantive Sess. 1, Nairobi, Kenya, 24 May–4 June 1993. [Google Scholar]
  2. Zhang, Z.; Huisingh, D. Combating Desertification in China: Monitoring, Control, Management and Revegetation. J. Clean. Prod. 2018, 182, 765–775. [Google Scholar] [CrossRef]
  3. Li, D.; Zhu, Z.; Xu, E.; Zhang, H. Desertification Sensitivity and Its Impacts on Land Use Change in the Tarim Basin, Northwest China. Sci. Total Environ. 2024, 957, 177601. [Google Scholar] [CrossRef] [PubMed]
  4. Saiko, T.A.; Zonn, I.S. Irrigation Expansion and Dynamics of Desertification in the Circum-Aral Region of Central Asia. Appl. Geogr. 2000, 20, 349–367. [Google Scholar] [CrossRef]
  5. Lioubimtseva, E.; Cole, R.; Adams, J.M.; Kapustin, G. Impacts of Climate and Land-Cover Changes in Arid Lands of Central Asia. J. Arid Environ. 2005, 62, 285–308. [Google Scholar] [CrossRef]
  6. Lioubimtseva, E.; Henebry, G.M. Climate and Environmental Change in Arid Central Asia: Impacts, Vulnerability, and Adaptations. J. Arid Environ. 2009, 73, 963–977. [Google Scholar] [CrossRef]
  7. Ma, X.; Zhu, J.; Yan, W.; Zhao, C. Projections of Desertification Trends in Central Asia under Global Warming Scenarios. Sci. Total Environ. 2021, 781, 146777. [Google Scholar] [CrossRef] [PubMed]
  8. Zhao, S.; Ding, J.; Wang, J.; Ge, X.; Han, L.; Wang, R.; Qin, S. Central Asia’s Desertification Challenge: Recent Trends and Drives Explored with Google Earth Engine. J. Clean. Prod. 2024, 460, 142595. [Google Scholar] [CrossRef]
  9. Andrew, D. Trade and Sustainable Development Goal (SDG) 15: Promoting“ Life on Land” through Mandatory and Voluntary Approaches; ADBI Working Paper; Asian Development Bank Institute: Tokyo, Japan, 2017. [Google Scholar]
  10. Sayer, J.; Sheil, D.; Galloway, G.; Riggs, R.A.; Mewett, G.; MacDicken, K.G.; Arts, B.J.M.; Boedhihartono, A.K.; Langston, J.; Edwards, D.P. SDG 15 Life on Land–the Central Role of Forests in Sustainable Development. In Sustainable Development Goals: Their Impacts on Forest and People; Cambridge University Press: Cambridge, UK, 2019; pp. 482–509. ISBN 1108765017. [Google Scholar]
  11. Huan, Y.; Zhu, X. Interactions among Sustainable Development Goal 15 (Life on Land) and Other Sustainable Development Goals: Knowledge for Identifying Global Conservation Actions. Sustain. Dev. 2023, 31, 321–333. [Google Scholar] [CrossRef]
  12. Farber, D.A. Adapting to Climate Change: Who Should Pay. J. Land Use Envtl. L 2007, 23, 1. [Google Scholar] [CrossRef][Green Version]
  13. Azzopardi, B.; Balzan, M.V.; Cherif, S.; Doblas-Miranda, E.; dos Santos, M.; Dobrinski, P.; Falder, M.; Hassoun, A.E.R.; Giupponi, C.; Koubi, V.V. Climate and Environmental Change in the Mediterranean Basin–Current Situation and Risks for the Future; First Mediterranean Assessment Report; Union for the Mediterranean, Plan Bleu, UNEP/MAP: Marseille, France, 2020. [Google Scholar]
  14. Reed, M.S. Land Degradation, Desertification and Climate Change; Routledge: London, UK, 2016; ISBN 9781849712705. [Google Scholar]
  15. Ge, G.; Shi, Z.; Zhu, Y.; Yang, X.; Hao, Y. Land Use/cover Classification in an Arid Desert-Oasis Mosaic Landscape of China Using Remote Sensed Imagery: Performance Assessment of Four Machine Learning Algorithms. Glob. Ecol. Conserv. 2020, 22, e00971. [Google Scholar] [CrossRef]
  16. Lambin, E.F.; Geist, H.J.; Lepers, E. Dynamics of Land-Use and Land-Cover Change in Tropical Regions. Annu. Rev. Environ. Resour. 2003, 28, 205–241. [Google Scholar] [CrossRef]
  17. Chhabra, A.; Geist, H.; Houghton, R.A.; Haberl, H.; Braimoh, A.K.; Vlek, P.L.G.; Patz, J.; Xu, J.; Ramankutty, N.; Coomes, O. Multiple Impacts of Land-Use/cover Change. In Land-Use and Land-Cover Change: Local Processes and Global Impacts; Springer: Berlin/Heidelberg, Germany, 2006; pp. 71–116. [Google Scholar]
  18. Yengoh, G.T.; Dent, D.; Olsson, L.; Tengberg, A.E.; Tucker, C.J., III. Use of the Normalized Difference Vegetation Index (NDVI) to Assess Land Degradation at Multiple Scales: Current Status, Future Trends, and Practical Considerations; Springer: Berlin/Heidelberg, Germany, 2015; ISBN 3319241125. [Google Scholar]
  19. Karthe, D.; Chalov, S.; Borchardt, D. Water Resources and Their Management in Central Asia in the Early Twenty First Century: Status, Challenges and Future Prospects. Environ. Earth Sci. 2015, 73, 487–499. [Google Scholar] [CrossRef]
  20. Kosmas, C.; Kirkby, M.; Geeson, N. The MEDALUS Project: Mediterranean Desertification and Land Use. In Manual on Key Indicators of Desertification and Mapping Environmental Sensitive Areas to Desertification; EUR 18882; European Commission: Luxembourg, 1999. [Google Scholar]
  21. Team, F.-L. Land Degradation Assessment in Drylands. In La Lutte Contre La Désertification et L’Impératif International de Politiques de Soutien; The United Nations University: Tokyo, Japan, 2006; p. 220. [Google Scholar]
  22. Dregne, H.; Kassas, M.; Rozanov, B. A New Assessment of the World Status of Desertification. Desertif. Control Bull. 1991, 20, 7–18. [Google Scholar]
  23. Kilsby, C.G.; Jones, P.D.; Burton, A.; Ford, A.C.; Fowler, H.J.; Harpham, C.; James, P.; Smith, A.; Wilby, R.L. A Daily Weather Generator for Use in Climate Change Studies. Environ. Model. Softw. 2007, 22, 1705–1719. [Google Scholar] [CrossRef]
  24. Maraun, D.; Wetterhall, F.; Ireson, A.M.; Chandler, R.E.; Kendon, E.J.; Widmann, M.; Brienen, S.; Rust, H.W.; Sauter, T.; Themeßl, M. Precipitation Downscaling under Climate Change: Recent Developments to Bridge the Gap between Dynamical Models and the End User. Rev. Geophys. 2010, 48, 1–34. [Google Scholar] [CrossRef]
  25. Gabriele, M.; Brumana, R.; Previtali, M.; Cazzani, A. A Combined GIS and Remote Sensing Approach for Monitoring Climate Change-Related Land Degradation to Support Landscape Preservation and Planning Tools: The Basilicata Case Study. Appl. Geomat. 2023, 15, 497–532. [Google Scholar] [CrossRef]
  26. Xu, D.; Wang, Y.; Wang, J. A Review of Social-Ecological System Vulnerability in Desertified Regions: Assessment, Simulation, and Sustainable Management. Sci. Total Environ. 2024, 931, 172604. [Google Scholar] [CrossRef] [PubMed]
  27. Zucca, C.; Biancalani, R.; Kapur, S.; Akça, E.; Zdruli, P.; Montanarella, L.; Nachtergaele, F. The Role of Soil Information in Land Degradation and Desertification Mapping: A Review. Soil Secur. Ecosyst. Manag. Mediterr. Soil Ecosyst. 2014, 1, 31–59. [Google Scholar]
  28. Kaya, N.S.; Özkan, B.; Dengiz, O.; Turan, İ.D. Digital Mapping and Spatial Variability of Soil Quality Index for Desertification in the Akarçay Basin under the Semi-Arid Terrestrial Ecosystem Using Neutrosophic Fuzzy-AHP Approach. Nat. Hazards 2022, 112, 2101–2132. [Google Scholar] [CrossRef]
  29. Baartman, J.E.M.; van Lynden, G.W.J.; Reed, M.S.; Ritsema, C.J.; Hessel, R. Desertification and Land Degradation: Origins, Processes and Solutions; DESIRE Report Series: Scientific Report; DESIRE: Wageningen, The Netherlands, 2007. [Google Scholar]
  30. Martínez-Valderrama, J.; Ibáñez Puerta, J. System Dynamics Tools to Study Mediterranean Rangeland’s Sustainability. Land 2023, 12, 206. [Google Scholar] [CrossRef]
  31. Ahmed, O. Bayesian Networks and GIS Techniques for Modelling the Causality, Intensity and Extent of Land Degradation in Drylands; Library and Archives Canada = Bibliothèque et Archives Canada: Ottawa, ON, Canada, 2008; ISBN 0494317094. [Google Scholar]
  32. Turner, J.; Connolley, W.M.; Lachlan-Cope, T.A.; Marshall, G.J. The Performance of the Hadley Centre Climate Model (HADCM3) in High Southern Latitudes. Int. J. Climatol. 2006, 26, 91–112. [Google Scholar] [CrossRef]
  33. Bashari, H.; Boali, A.; Soltani, S. Accommodating Uncertainty in Soil Erosion Risk Assessment: Integration of Bayesian Belief Networks and MPSIAC Model. Nat. Hazards Res. 2024, 4, 134–147. [Google Scholar] [CrossRef]
  34. Landuyt, D.; Broekx, S.; D’hondt, R.; Engelen, G.; Aertsens, J.; Goethals, P.L.M. A Review of Bayesian Belief Networks in Ecosystem Service Modelling. Environ. Model. Softw. 2013, 46, 1–11. [Google Scholar] [CrossRef]
  35. Zhou, S.; Peng, L. Applying Bayesian Belief Networks to Assess Alpine Grassland Degradation Risks: A Case Study in Northwest Sichuan, China. Front. Plant Sci. 2021, 12, 773759. [Google Scholar] [CrossRef] [PubMed]
  36. Boali, A.; Bashari, H.; Jafari, R. Evaluating the Potential of Bayesian Networks for Desertification Assessment in Arid Areas of Iran. Land Degrad. Dev. 2019, 30, 371–390. [Google Scholar] [CrossRef]
  37. Hu, Y.; Xue, J.; Zhao, J.; Feng, X.; Sun, H.; Tang, J.; Chang, J. Dynamic Bayesian Networks for Spatiotemporal Modeling and Its Uncertainty in Tradeoffs and Synergies of Ecosystem Services: A Case Study in the TarFim River Basin, China. Stoch. Environ. Res. Risk Assess. 2024, 38, 4311–4329. [Google Scholar] [CrossRef]
  38. Yang, H.; Abbaspour, K.C.; Zhang, Y.L. Desertification Control and Sandstorm Mitigation in the Area Encircling Beijing-with a Discussion on the Application of Bayesian Network and Hydrological Modeling. In Desertification Control and Sandstorm Mitigation in the Area Encircling Beijing-with a Discussion on the Application of Bayesian Network and Hydrological Modeling; ISCO: Beijing, China, 2002; pp. 592–598. [Google Scholar]
  39. Kouchami-Sardoo, I.; Shirani, H.; Esfandiarpour-Boroujeni, I.; Bashari, H. Application of a Bayesian Belief Network Model for Assessing the Risk of Wind Erosion: A Test with Data from Wind Tunnel Experiments. Aeolian Res. 2019, 41, 100543. [Google Scholar] [CrossRef]
  40. Gessner, U.; Naeimi, V.; Klein, I.; Kuenzer, C.; Klein, D.; Dech, S. The Relationship between Precipitation Anomalies and Satellite-Derived Vegetation Activity in Central Asia. Glob. Planet. Change 2013, 110, 74–87. [Google Scholar] [CrossRef]
  41. Bohovic, R.; Dobrovolny, P.; Klein, D. The Spatial and Temporal Dynamics of Remotely-Sensed Vegetation Phenology in Central Asia in the 1982–2011 Period. Eur. J. Remote Sens. 2016, 49, 279–299. [Google Scholar] [CrossRef]
  42. De Beurs, K.M.; Henebry, G.M.; Owsley, B.C.; Sokolik, I. Using Multiple Remote Sensing Perspectives to Identify and Attribute Land Surface Dynamics in Central Asia 2001–2013. Remote Sens. Environ. 2015, 170, 48–61. [Google Scholar]
  43. Zhou, Y.; Zhang, L.; Fensholt, R.; Wang, K.; Vitkovskaya, I.; Tian, F. Climate Contributions to Vegetation Variations in Central Asian Drylands: Pre-and Post-USSR Collapse. Remote Sens. 2015, 7, 2449–2470. [Google Scholar] [CrossRef]
  44. Ashurbekova, T.; Magomedova, D.; Omarieva, L.; Gadzhimusayeva, Z.; Krotova, O. Dynamics of Desertification of Arid Ecosystems of Kizlyar Pastures. In Proceedings of the BIO Web of Conferences; EDP Sciences: Les Ulis, France, 2024; Volume 84, p. 1055. [Google Scholar]
  45. Guo, H.; Bao, A.; Ndayisaba, F.; Liu, T.; Kurban, A.; De Maeyer, P. Systematical Evaluation of Satellite Precipitation Estimates over Central Asia Using an Improved Error-component Procedure. J. Geophys. Res. Atmos. 2017, 122, 10–906. [Google Scholar] [CrossRef]
  46. Jiang, L.; Bao, A.; Guo, H.; Ndayisaba, F. Vegetation Dynamics and Responses to Climate Change and Human Activities in Central Asia. Sci. Total Environ. 2017, 599, 967–980. [Google Scholar] [CrossRef] [PubMed]
  47. Warkotsch, A. The European Union and Central Asia; Routledge: London, UK, 2011; ISBN 0415562368. [Google Scholar]
  48. Hengl, T. Soil Texture Classes (USDA System) for 6 Soil Depths (0, 10, 30, 60, 100 and 200 Cm) at 250 M 2018. Available online: https://zenodo.org/records/2525817 (accessed on 12 February 2025).
  49. Jarvis, A.; Reuter, H.I.; Nelson, A.; Guevara, E. Hole-Filled SRTM for the Globe Version 4; CGIAR-CSI SRTM 90 m Database; CGIAR Consortium for Spatial Information (CGIAR-CSI): Cali, Columbia, 2008. [Google Scholar]
  50. Abatzoglou, J.T.; Dobrowski, S.Z.; Parks, S.A.; Hegewisch, K.C. TerraClimate, a High-Resolution Global Dataset of Monthly Climate and Climatic Water Balance from 1958–2015. Sci. Data 2018, 5, 1–12. [Google Scholar] [CrossRef]
  51. Wan, Z.; Hook, S.; Hulley, G. MODIS/Terra Land Surface Temperature/Emissivity 8-Day L3 Global 1km SIN Grid V061 [Data Set]. In NASA EOSDIS Land Processes Distributed Active Archive Center; NASA: Washington, DC, USA, 2021. [Google Scholar]
  52. Friedl, M.; Sulla-Menashe, D. MODIS/Terra+ Aqua Land Cover Type Yearly L3 Global 500m SIN Grid V061 [Dataset]. In NASA EOSDIS Land Processes DAAC; NASA: Washington, DC, USA, 2022. [Google Scholar]
  53. Warszawski, L.; Frieler, K.; Huber, V.; Piontek, F.; Serdeczny, O.; Zhang, X.; Tang, Q.; Pan, M.; Tang, Y.; Tang, Q.; et al. Gridded Population of the World, Version 4 (gpwv4): Population Density. Palisades. Ny: Nasa Socioeconomic Data and Applications Center (Sedac). Atlas Environ. Risks Facing China Clim. Change 2017, 228, h4n. [Google Scholar] [CrossRef]
  54. Bakr, N.; Weindorf, D.C.; Bahnassy, M.H.; El-Badawi, M.M. Multi-Temporal Assessment of Land Sensitivity to Desertification in a Fragile Agro-Ecosystem: Environmental Indicators. Ecol. Indic. 2012, 15, 271–280. [Google Scholar] [CrossRef]
  55. Salvati, L.; Zitti, M.; Perini, L. Fifty Years on: Long-term Patterns of Land Sensitivity to Desertification in Italy. Land Degrad. Dev. 2016, 27, 97–107. [Google Scholar] [CrossRef]
  56. Zambon, I.; Colantoni, A.; Carlucci, M.; Morrow, N.; Sateriano, A.; Salvati, L. Land Quality, Sustainable Development and Environmental Degradation in Agricultural Districts: A Computational Approach Based on Entropy Indexes. Environ. Impact Assess. Rev. 2017, 64, 37–46. [Google Scholar] [CrossRef]
  57. Silakhori, E.; Niknahad Gharmakher, H.; Aghtabye, A. Desertification Risk Assessment of Incheh-Broun Area in Golestan Province Using ESAs Model. Iran. J. Range Desert Res. 2018, 25, 63–77. [Google Scholar]
  58. Jiang, L.; Bao, A.; Jiapaer, G.; Guo, H.; Zheng, G.; Gafforov, K.; Kurban, A.; De Maeyer, P. Monitoring Land Sensitivity to Desertification in Central Asia: Convergence or Divergence? Sci. Total Environ. 2019, 658, 669–683. [Google Scholar] [CrossRef]
  59. Salvati, L.; Bajocco, S. Land Sensitivity to Desertification across Italy: Past, Present, and Future. Appl. Geogr. 2011, 31, 223–231. [Google Scholar] [CrossRef]
  60. Salvati, L.; De Angelis, A.; Bajocco, S.; Ferrara, A.; Barone, P.M. Desertification Risk, Long-Term Land-Use Changes and Environmental Resilience: A Case Study in Basilicata, Italy. Scottish Geogr. J. 2013, 129, 85–99. [Google Scholar] [CrossRef]
  61. Tombolini, I.; Colantoni, A.; Renzi, G.; Sateriano, A.; Sabbi, A.; Morrow, N.; Salvati, L. Lost in Convergence, Found in Vulnerability: A Spatially-Dynamic Model for Desertification Risk Assessment in Mediterranean Agro-Forest Districts. Sci. Total Environ. 2016, 569, 973–981. [Google Scholar] [CrossRef] [PubMed]
  62. Darbandsari, P.; Coulibaly, P.; Andersson, J.C.M. Identification of Robust Catchment Classification Methods for Sahelian Watersheds. J. Hydrol. Reg. Stud. 2024, 56, 102067. [Google Scholar] [CrossRef]
  63. Vizitiu, O.; Simota, C.; Calciu, I.; Mihalache, M. Indicators for Water Scarcity Designation in European Agricultural Areas Affected by Drought; National Research and Development Institute for Soil Science, Agricultural Chemistry and Environment: Bucharest, Romania, 2014. [Google Scholar]
  64. Gad, A.; Mansour, R. Index Integrating Soil, Vegetation, Climate and Management Qualities to Evaluate Desertification in the Northwestern Coast, Egypt. Int. J. Environ. Eng. Dev. 2023, 1, 250–265. [Google Scholar] [CrossRef]
  65. Taghipour-Javi, S.; Fazeli, A.; Kazemi, B. A Case Study of Desertification Hazard Mapping Using the MEDALUS (ESAs) Methodology in Southwest Iran. JNRD-J. Nat. Resour. Dev. 2016, 6, 1–8. [Google Scholar] [CrossRef]
  66. Cudlín, O.; Pechanec, V.; Prokopová, M.; Cudlín, P. Assessing the Vulnerability to Land Degradation of (Not Only) Rural Landscapes Using the ESAI Index. J. Landsc. Ecol. 2021, 14, 128–144. [Google Scholar] [CrossRef]
  67. Kosmas, C.; Kairis, O.; Karavitis, C.; Ritsema, C.; Salvati, L.; Acikalin, S.; Alcalá, M.; Alfama, P.; Atlhopheng, J.; Barrera, J. Evaluation and Selection of Indicators for Land Degradation and Desertification Monitoring: Methodological Approach. Environ. Manag. 2014, 54, 951–970. [Google Scholar] [CrossRef]
  68. Zargar, A.; Sadiq, R.; Naser, B.; Khan, F.I.; Svoboda, M.; Hayes, M.; Wood, D.; Kamali, B.; Kouchi, D.H.; Yang, H.; et al. Analysis of Standardized Precipitation Index (SPI) Data for Drought Assessment. Water 2012, 26, 1–72. [Google Scholar] [CrossRef]
  69. Marcot, B.G.; Holthausen, R.S.; Raphael, M.G.; Rowland, M.M.; Wisdom, M.J. Using Bayesian Belief Networks to Evaluate Fish and Wildlife Population Viability under Land Management Alternatives from an Environmental Impact Statement. For. Ecol. Manag. 2001, 153, 29–42. [Google Scholar] [CrossRef]
  70. Qazi, A.; Al-Mhdawi, M.K.S. Sustainability and Adaptation Dynamics in Global Food Security: A Bayesian Belief Network Approach. J. Clean. Prod. 2024, 467, 142931. [Google Scholar] [CrossRef]
  71. Enyoghasi, C.; Badurdeen, F. Bayesian Belief Network-Based Risk Likelihood Assessment for Sustainable Product Design Decision Making. J. Clean. Prod. 2023, 425, 138909. [Google Scholar] [CrossRef]
  72. Wooldridge, S. Bayesian Belief Networks; Prepared for CSIRO Centre for Complex Systems Science; Australian Institute of Marine Science: Cape Cleveland, QLD, Australia, 2003. Available online: https://archive.iwlearn.net/mrcmekong.org/download/programmes/ep/Bayesian_Network_Reading2.pdf (accessed on 12 February 2025).
  73. Zainuddin, A.N.F.; Mohammad Khorri, N.A.S.; Sulaiman, N.S.; Alaw, F.A. Elicitation of Conditional Probability Table (CPT) for Risk Analysis of Biomass Boiler in Energy Plant. Pertanika J. Sci. Technol. 2022, 30, 1327–1342. [Google Scholar] [CrossRef]
  74. Sun, T.; Liu, D.; Liu, D.; Zhang, L.; Li, M.; Khan, M.I.; Li, T.; Cui, S. A New Method for Flood Disaster Resilience Evaluation: A Hidden Markov Model Based on Bayesian Belief Network Optimization. J. Clean. Prod. 2023, 412, 137372. [Google Scholar] [CrossRef]
  75. Cohen, I.; Huang, Y.; Chen, J.; Benesty, J.; Benesty, J.; Chen, J.; Huang, Y.; Cohen, I. Pearson Correlation Coefficient. In Noise Reduction in Speech Processing; Springer: Berlin/Heidelberg, Germany, 2009; pp. 1–4. [Google Scholar]
  76. Chai, T.; Draxler, R.R. Root Mean Square Error (RMSE) or Mean Absolute Error (MAE)?–Arguments against Avoiding RMSE in the Literature. Geosci. Model Dev. 2014, 7, 1247–1250. [Google Scholar] [CrossRef]
  77. Steel, R.G.D.; Torrie, J.H. Principles and Procedures of Statistics, a Biometrical Approach; McGraw-Hill Kogakusha, Ltd.: Tokyo, Japan, 1981; ISBN 0070609268. [Google Scholar]
  78. Yang, L.; Zhang, S.; Luo, M.; Zhao, X.; Lin, X.; Zhang, Q.; Fang, K.; Lv, S. Impacts of Land Use and Crop Structure Change on the Value of Ecosystem Services in Hetao Irrigation District of China. J. Clean. Prod. 2024, 480, 144113. [Google Scholar] [CrossRef]
  79. Yasuhara, M.; Cronin, T.M.; Peter, B.; Okahashi, H.; Linsley, B.K.; Yang, H.; Wang, Y.; Liu, Z.; Work Group II; Weaver, A.J.; et al. IPCC 2014. Impacts, Adaptation and Vulnerability—Europe. Clim. Dyn. 2014, 26, 661–668. [Google Scholar] [CrossRef]
  80. Lei, X.; Xu, C.; Liu, F.; Song, L.; Cao, L.; Suo, N. Evaluation of CMIP6 Models and Multi-Model Ensemble for Extreme Precipitation over Arid Central Asia. Remote Sens. 2023, 15, 2376. [Google Scholar] [CrossRef]
  81. Oleson, K.; Dai, Y.; Bonan, B.; Bosilovichm, M.; Dickinson, R.; Dirmeyer, P.; Hoffman, F.; Houser, P.; Levis, S.; Niu, G.-Y. Technical Description of the Community Land Model (CLM); NCAR: Tokyo, Japan, 2004. [Google Scholar]
  82. Lee, J.-Y.; Marotzke, J.; Bala, G.; Cao, L.; Corti, S.; Dunne, J.P.; Engelbrecht, F.; Fischer, E.; Fyfe, J.C.; Jones, C. Future Global Climate: Scenario-Based Projections and near-Term Information. In Climate Change 2021: The Physical Science Basis. Contribution of Working Group I to the Sixth Assessment Report of the Intergovernmental Panel on Climate Change; Cambridge University Press: Cambridge, UK, 2021; pp. 553–672. [Google Scholar]
  83. Almazroui, M.; Saeed, S.; Saeed, F.; Islam, M.N.; Ismail, M. Projections of Precipitation and Temperature over the South Asian Countries in CMIP6. Earth Syst. Environ. 2020, 4, 297–320. [Google Scholar] [CrossRef]
  84. Jiang, J.; Zhou, T.; Chen, X.; Zhang, L. Future Changes in Precipitation over Central Asia Based on CMIP6 Projections. Environ. Res. Lett. 2020, 15, 54009. [Google Scholar] [CrossRef]
  85. Cao, L.; Xu, C.; Suo, N.; Song, L.; Lei, X. Future Dry-Wet Climatic Characteristics and Drought Trends over Arid Central Asia. Front. Earth Sci. 2023, 11, 1102633. [Google Scholar] [CrossRef]
  86. Schwilch, G.; Liniger, H.P.; Hurni, H. Sustainable Land Management (SLM) Practices in Drylands: How Do They Address Desertification Threats? Environ. Manag. 2014, 54, 983–1004. [Google Scholar] [CrossRef] [PubMed]
  87. Cowie, A.L.; Penman, T.D.; Gorissen, L.; Winslow, M.D.; Lehmann, J.; Tyrrell, T.D.; Twomlow, S.; Wilkes, A.; Lal, R.; Jones, J.W. Towards Sustainable Land Management in the Drylands: Scientific Connections in Monitoring and Assessing Dryland Degradation, Climate Change and Biodiversity. Land Degrad. Dev. 2011, 22, 248–260. [Google Scholar] [CrossRef]
  88. Smith, P.; Calvin, K.; Nkem, J.; Campbell, D.; Cherubini, F.; Grassi, G.; Korotkov, V.; Le Hoang, A.; Lwasa, S.; McElwee, P. Which Practices Co-deliver Food Security, Climate Change Mitigation and Adaptation, and Combat Land Degradation and Desertification? Glob. Change Biol. 2020, 26, 1532–1575. [Google Scholar] [CrossRef] [PubMed]
  89. Aalders, I.; Hough, R.L.; Towers, W. Risk of Erosion in Peat Soils–an Investigation Using Bayesian Belief Networks. Soil Use Manag. 2011, 27, 538–549. [Google Scholar] [CrossRef]
  90. Marcot, B.G.; Steventon, J.D.; Sutherland, G.D.; McCann, R.K. Guidelines for Developing and Updating Bayesian Belief Networks Applied to Ecological Modeling and Conservation. Can. J. For. Res. 2006, 36, 3063–3074. [Google Scholar] [CrossRef]
  91. Birgé, H.E.; Bevans, R.A.; Allen, C.R.; Angeler, D.G.; Baer, S.G.; Wall, D.H. Adaptive Management for Soil Ecosystem Services. J. Environ. Manag. 2016, 183, 371–378. [Google Scholar] [CrossRef]
  92. Landuyt, D.; Van der Biest, K.; Broekx, S.; Staes, J.; Meire, P.; Goethals, P.L.M. A GIS Plug-in for Bayesian Belief Networks: Towards a Transparent Software Framework to Assess and Visualise Uncertainties in Ecosystem Service Mapping. Environ. Model. Softw. 2015, 71, 30–38. [Google Scholar] [CrossRef]
  93. Wang, L.; Jiao, W.; MacBean, N.; Rulli, M.C.; Manzoni, S.; Vico, G.; D’Odorico, P. Dryland Productivity under a Changing Climate. Nat. Clim. Change 2022, 12, 981–994. [Google Scholar] [CrossRef]
  94. Berdyyev, A.; Al-Masnay, Y.A.; Juliev, M.; Abuduwaili, J. Desertification Monitoring Using Machine Learning Techniques with Multiple Indicators Derived from Sentinel-2 in Turkmenistan. Remote Sens. 2024, 16, 4525. [Google Scholar] [CrossRef]
  95. Wang, X.; Zhang, J.; Wang, S.; Ge, Y.; Duan, Z.; Sun, L.; Meadows, M.E.; Luo, Y.; Fu, B.; Chen, X. Reviving the Aral Sea: A Hydro-Eco-Social Perspective. Earth’s Futur. 2023, 11, e2023EF003657. [Google Scholar] [CrossRef]
  96. Salvia, R.; Egidi, G.; Vinci, S.; Salvati, L. Desertification Risk and Rural Development in Southern Europe: Permanent Assessment and Implications for Sustainable Land Management and Mitigation Policies. Land 2019, 8, 191. [Google Scholar] [CrossRef]
  97. Lal, R. Climate Change and Soil Degradation Mitigation by Sustainable Management of Soils and Other Natural Resources. Agric. Res. 2012, 1, 199–212. [Google Scholar] [CrossRef]
  98. Sanz, M.J.; De Vente, J.; Chotte, J.-L.; Bernoux, M.; Kust, G.; Ruiz, I.; Almagro, M.; Alloza, J.A.; Vallejo, R.; Castillo, V. Sustainable Land Management Contribution to Successful Land-Based Climate Change Adaptation and Mitigation: A Report of the Science-Policy Interface; United Nations Convention to Combat Desertification (UNCCD): Bonn, Germany, 2017. [Google Scholar]
Figure 1. Location of the study area and random sampling points for desertification hazard assessment using the Bayesian model.
Figure 1. Location of the study area and random sampling points for desertification hazard assessment using the Bayesian model.
Remotesensing 17 00665 g001
Figure 2. The conceptual model used in this research.
Figure 2. The conceptual model used in this research.
Remotesensing 17 00665 g002
Figure 3. Assigned scores of soil criterion parameters ((a) soil Texture, (b) soil depth, (c) gravel percentage).
Figure 3. Assigned scores of soil criterion parameters ((a) soil Texture, (b) soil depth, (c) gravel percentage).
Remotesensing 17 00665 g003
Figure 4. Assigned scores of climate criterion parameters under current and future conditions (SSP245 and SSP585 scenarios).
Figure 4. Assigned scores of climate criterion parameters under current and future conditions (SSP245 and SSP585 scenarios).
Remotesensing 17 00665 g004
Figure 5. Assigned scores of vegetation and management criterion parameters under current and future conditions.
Figure 5. Assigned scores of vegetation and management criterion parameters under current and future conditions.
Remotesensing 17 00665 g005
Figure 6. Spatial changes in (a) VQI, (b) MQI, (c) SQI, and (d) CQI values in the study area.
Figure 6. Spatial changes in (a) VQI, (b) MQI, (c) SQI, and (d) CQI values in the study area.
Remotesensing 17 00665 g006
Figure 7. Average assigned scores of quality indicators and ESAI in Central Asian countries.
Figure 7. Average assigned scores of quality indicators and ESAI in Central Asian countries.
Remotesensing 17 00665 g007
Figure 8. (a) ESAI values in the study area. (b) Desertification hazard classes based on the ESAS method.
Figure 8. (a) ESAI values in the study area. (b) Desertification hazard classes based on the ESAS method.
Remotesensing 17 00665 g008
Figure 9. Influence diagram related to the variables of the Bayesian model to assess desertification.
Figure 9. Influence diagram related to the variables of the Bayesian model to assess desertification.
Remotesensing 17 00665 g009
Figure 10. The produced Bayesian networks model for the assessment of desertification in point No. 1 in Kazakhstan.
Figure 10. The produced Bayesian networks model for the assessment of desertification in point No. 1 in Kazakhstan.
Remotesensing 17 00665 g010
Figure 11. (a,b) Bar plot and heatmap of desertification assessment in Central Asian countries.
Figure 11. (a,b) Bar plot and heatmap of desertification assessment in Central Asian countries.
Remotesensing 17 00665 g011
Figure 12. Importance of variables based on mutual information.
Figure 12. Importance of variables based on mutual information.
Remotesensing 17 00665 g012
Figure 13. Probability of desertification hazard occurrence using the Bayesian model under (a) current conditions, (b) future conditions under the SSP245 scenario, and (c) future conditions under the SSP585 scenario.
Figure 13. Probability of desertification hazard occurrence using the Bayesian model under (a) current conditions, (b) future conditions under the SSP245 scenario, and (c) future conditions under the SSP585 scenario.
Remotesensing 17 00665 g013
Table 1. Variables and data sources for desertification modeling.
Table 1. Variables and data sources for desertification modeling.
QualityVariableReference DatabaseSource ResTime PeriodReferences
SoilSoil textureOpenLandMap Soil Texture Class (USDA System)250 m2023[48]
Soil depthHarmonized World Soil Database
HWSD
30 arc-s2023[49]
Gravel percentageHarmonized World Soil Database
HWSD
30 arc-s2023[49]
ClimatePrecipitationTerraClimate: Monthly Climate4638.3 m2000–2023[50]
LSTMODIS (MOD11A2.061 product)1000 m2000–2023[51]
AridityTerraClimate: Monthly Climate4638.3 m2000–2023[50]
VegetationFire hazardMCD12Q1.061 MODIS Land Cover500 m2023[52]
Vegetation percentageMCD12Q1.061 MODIS Land Cover500 m2023[52]
Soil conservationMCD12Q1.061 MODIS Land Cover500 m2023[52]
ManagementLand useMCD12Q1.061 MODIS Land Cover500 m2023[52]
Population densityGPWv411: Population Count (Gridded Population of the World Version 4.11)927.67 m2020[53]
Table 2. Classes and index values used in the calculation of soil quality.
Table 2. Classes and index values used in the calculation of soil quality.
ParametersClassDefinition-Vegetation TypeAssessmentScore
Texture1CL; L; SCL; SL; LSGood1.0
2SiCL; SiL; SCMedium1.2
3C(h); SiC; C(l); SiPoor1.6
4SVery poor2.0
Depth1>75 cmDeep1.0
275–30 cmModerate1.33
315–30 cmShallow1.66
4<15 cmVery shallow2.0
Coarse Material (Rock fragments)1Coarse material > 60%Very stony1.0
2Coarse material 20–60%Stony1.3
3Coarse material < 20%Bare and slightly stony2.0
Table 3. Classes and index values used in the calculation of climate quality.
Table 3. Classes and index values used in the calculation of climate quality.
ParametersClassDefinition-Vegetation TypeScore
Precipitation1>650 mm1
2650–280 mm1.5
3<280 mm2
Drought-Aridity (BGI)150–1001.2
2100–1251.4
3125–1501.8
4>1502.0
LST (k)1<3031.2
2303–3101.4
3310–3201.8
4>3202.0
Table 4. Classes and index values used in the calculation of vegetation quality.
Table 4. Classes and index values used in the calculation of vegetation quality.
ParametersClassDefinition-Vegetation TypeAssessmentScore
Fire hazard1Bare land, perennial agricultural crops, annual agricultural crops (e.g., maize, tobacco, sunflower)Low1.0
2Annual agricultural crops (e.g., cereals, grasslands), deciduous oak (mixed), mixed Mediterranean, macchia/evergreen forestsModerate1.3
3Mediterranean macchiaHigh1.6
4Coniferous forests (pines)Very high2.0
Plant cover1>40%High1.0
210–40%Low1.8
3<10%Very low2.0
Erosion Protection1Mixed Mediterranean macchia/evergreen forestsHigh1
2Deciduous forestsModerate1.6
3Deciduous perennial agricultural crops (orchards and plantations)low1.8
4Annual agricultural crops (cereals), annual grasslands, vineyardsVery low2.0
Table 5. Classes and index values used in the calculation of management quality.
Table 5. Classes and index values used in the calculation of management quality.
ParametersClassDefinition-Vegetation TypeAssessmentScore
Intensity of land use for cropland1Low-level land use intensityLow1.0
2Medium-level land use intensityModerate1.5
3High-level land use intensityHigh2.0
Population density1<170low1.0
2170–500Moderate1.5
3500–1400High1.8
4>1400Very high2.0
Table 6. Classes of land according to ESAI values.
Table 6. Classes of land according to ESAI values.
ClassSub-ClassSub-Class SymbolESAI
CriticalHighC3>1.53
MediumC21.53–1.42
LowC11.41–1.38
FragileHighF31.37–1.33
MediumF21.32–1.27
LowF11.26–1.23
PotentialP1.22–1.17
Non-affectedN<1.17
Table 7. Summary of GCM models.
Table 7. Summary of GCM models.
ModelInstituteDescriptionSpatial Resolution
GFDL-ESM4GFDLA comprehensive Earth System Model developed by the Geophysical Fluid Dynamics Laboratory (GFDL).~1° × 1°
EC-Earth3EC-Earth ConsortiumA coupled climate model consisting of atmosphere, ocean, sea ice, and land components.~0.25° × 0.25°
CESM2-WACCMNCARA global climate model with coupled atmosphere, ocean, sea ice, and land components, incorporating the Whole Atmosphere Community Climate Model (WACCM).~0.9° × 1.25°
HadGEM3-GC31-LLUK Met OfficeA high-resolution climate model with a flexible modular structure, covering land, ocean, sea ice, and atmosphere components.~0.22° × 0.22°
NorESM2-MMNCCA next-generation Earth System Model developed by the Norwegian Climate Centre (NCC) with coupled atmosphere, ocean, land, and ice components.~1.25° × 1.25°
Table 8. Summary of quality indicators and ESAs for Central Asian countries.
Table 8. Summary of quality indicators and ESAs for Central Asian countries.
NAMEVQIMQISQICQIESAs
KyrgyzstanVery LowMediumHighMediumF2
KazakhstanVery LowMediumHighLowC1
TajikistanVery LowMediumHighMediumF2
TurkmenistanLowMediumHighVery LowC2
UzbekistanVery LowMediumHighVery LowC2
Table 9. Desertification categories and their distribution across Central Asia.
Table 9. Desertification categories and their distribution across Central Asia.
CategoryPercentage of Area (%)Area (km2)
Water0.281105.94
Non-affected2.208649.53
Potential1.013974.13
Fragile (F1)0.10408.25
Fragile (F2)0.13497.22
Fragile (F3)3.5413,910.89
Critical (C1)18.3972,201.10
Critical (C2)16.5164,833.79
Critical (C3)57.83227,098.15
Table 10. Conditional probabilities related to management quality node in desertification model. The highlighted line corresponds to scenario point No. 1 in Kazakhstan.
Table 10. Conditional probabilities related to management quality node in desertification model. The highlighted line corresponds to scenario point No. 1 in Kazakhstan.
Intensity of Land Use for CroplandPopulation DensityAppropriate (%)Inappropriate (%)
Low-level land use intensity170>9010
Low-level land use intensity500–1708515
Low-level land use intensity500–14008020
Low-level land use intensity>14007525
Medium-level land use intensity170>6040
Medium-level land use intensity500–1705545
Medium-level land use intensity500–14005050
Medium-level land use intensity>14004555
High-level land use intensity170>3070
High-level land use intensity500–1702575
High-level land use intensity500–14002080
High-level land use intensity>1400595
Table 11. Input variables and results of Bayesian belief network model. The highlighted line corresponds to scenario point no. 1 In Kazakhstan.
Table 11. Input variables and results of Bayesian belief network model. The highlighted line corresponds to scenario point no. 1 In Kazakhstan.
Input Variable ClassAssessment of Desertification at Any Point Using Bayesian Belief Networks (%)
Points CountriesFire HazardErosion ProtectionVegetation PercentageSoil DepthSoil TextureGravel PercentageIntensity of Land Use for CroplandPopulation DensityDrought AridityPrecipitationTemperatureLowModerateHighVery High
1Kazakhstan1431132122149.810.813.625.8
91421133112153.710.712.523.1
571431133143229.510.914.445.2
137Uzbekistan143212314313310.614.441.9
151143212214313811.715.434.9
164143111214215210.812.724.6
189Turkmenistan1432123143229.210.814.445.7
1942111131143269.97.5412.310
1431431132143138.411.815.234.6
147Kyrgyzstan1111111112185.16.165.133.62
1541432123112144.610.314.430.7
1601431132111161.810.410.717.1
193Tajikistan3431133141147.610.21626.2
1921431133122145.210.314.330.2
196143212214313811.715.434.9
Table 12. A sensitivity analysis was performed based on the desertification model provided. The order of 15 variables and their entropy reduction indicate mutual information or their importance level.
Table 12. A sensitivity analysis was performed based on the desertification model provided. The order of 15 variables and their entropy reduction indicate mutual information or their importance level.
NodesMutual InformationVariance of Beliefs
Vegetation Quality0.158270.0307812
Climate Quality0.095840.0180801
Management Quality0.048180.0079795
Vegetation percentage0.046390.0093168
Precipitation0.021350.0041613
Soil Quality0.016580.0026096
Intensity of land use for cropland0.012440.0020762
Drought-Aridity0.004360.0008723
Soil texture0.003120.0004920
Temperature (K)0.002450.0004878
Population density0.000870.0001462
Erosion Protection0.000270.0000424
Soil depth0.000210.0000424
Gravel percentage0.000090.0000150
Fire hazard0.0000010.0000140
Disclaimer/Publisher’s Note: The statements, opinions and data contained in all publications are solely those of the individual author(s) and contributor(s) and not of MDPI and/or the editor(s). MDPI and/or the editor(s) disclaim responsibility for any injury to people or property resulting from any ideas, methods, instructions or products referred to in the content.

Share and Cite

MDPI and ACS Style

Liu, J.; Ren, Y.; He, P.; Xiao, J. Quantifying Uncertainty in Projections of Desertification in Central Asia Using Bayesian Networks. Remote Sens. 2025, 17, 665. https://doi.org/10.3390/rs17040665

AMA Style

Liu J, Ren Y, He P, Xiao J. Quantifying Uncertainty in Projections of Desertification in Central Asia Using Bayesian Networks. Remote Sensing. 2025; 17(4):665. https://doi.org/10.3390/rs17040665

Chicago/Turabian Style

Liu, Jinping, Yanqun Ren, Panxing He, and Jianhua Xiao. 2025. "Quantifying Uncertainty in Projections of Desertification in Central Asia Using Bayesian Networks" Remote Sensing 17, no. 4: 665. https://doi.org/10.3390/rs17040665

APA Style

Liu, J., Ren, Y., He, P., & Xiao, J. (2025). Quantifying Uncertainty in Projections of Desertification in Central Asia Using Bayesian Networks. Remote Sensing, 17(4), 665. https://doi.org/10.3390/rs17040665

Note that from the first issue of 2016, this journal uses article numbers instead of page numbers. See further details here.

Article Metrics

Back to TopTop