Radiometric Cross-Calibration and Performance Analysis of HJ-2A/2B 16m-MSI Using Landsat-8/9 OLI with Spectral-Angle Difference Correction
Highlights
- Developed a novel cross-calibration method for HJ-2A/2B, incorporating observation-angle and spectral band adjustment corrections.
- Achieved high radiometric consistency, with cross-calibration results within 10% of official values and inter-sensor differences below 3%.
- Enables frequent radiometric monitoring, overcoming the major limitation of traditional vicarious calibration.
- Provides a reliable solution for long-term data quality assurance, enhancing the reliability of HJ-2A/2B data for environmental applications.
Abstract
1. Introduction
2. Materials and Methods
2.1. Satellites
2.2. Calibration Sites
2.3. Dataset
2.3.1. Image Data
2.3.2. Atmosphere Parameters
2.3.3. Surface Reflectance
3. Methodology
3.1. The Process of Cross-Calibration Method
3.1.1. Spatial Registration and Sampling
3.1.2. Correction of Observation Angle Differences
3.1.3. Correction of Spectral Response Differences
3.1.4. Calculation of Cross-Calibration Coefficient
3.2. Analysis of Radiation Performance of HJ-2A/2B CCD
3.2.1. Time-Series Analysis
3.2.2. Annual Rate of Change Analysis
3.3. Radiation Consistency Analysis of HJ-2A/2B CCD
4. Result
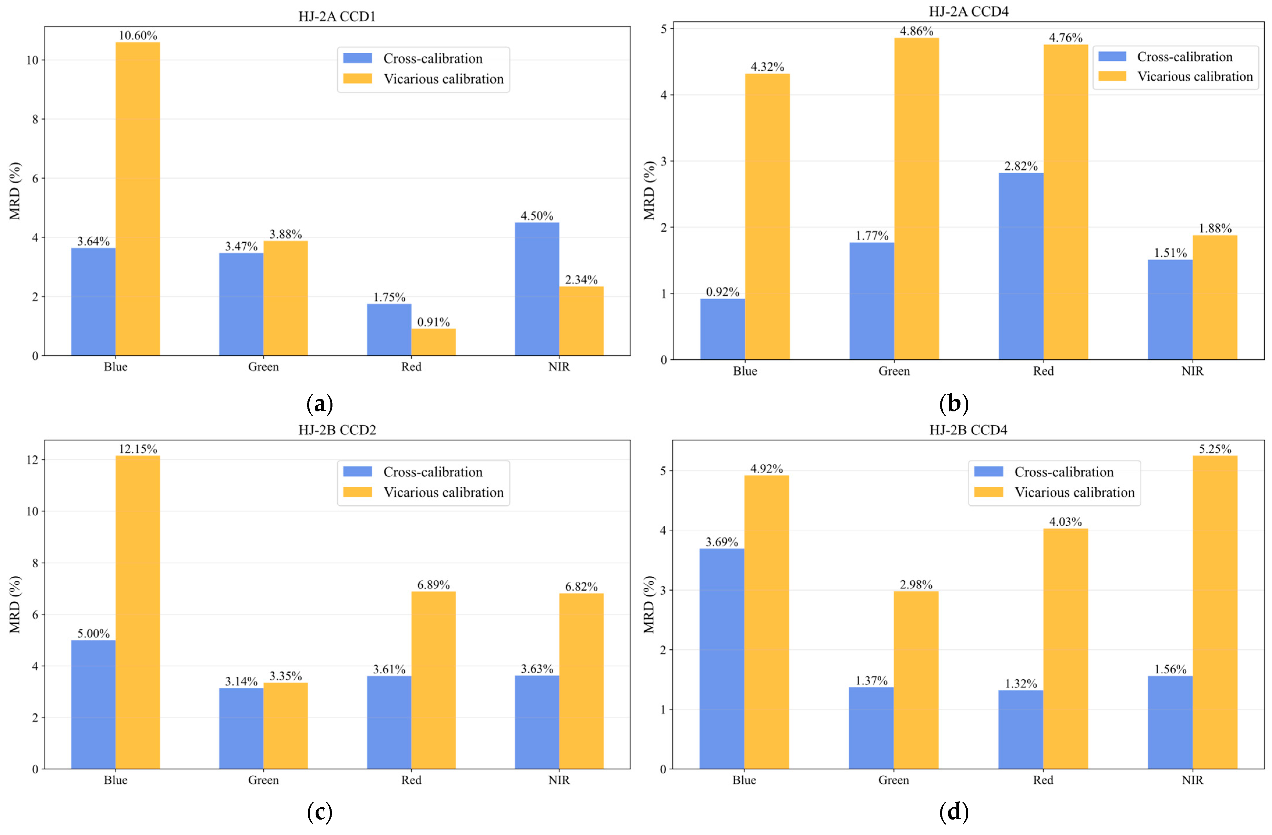
4.1. Analysis of Cross-Calibration Results
4.2. Analysis Results of Radiation Performance of HJ-2A/2B CCD
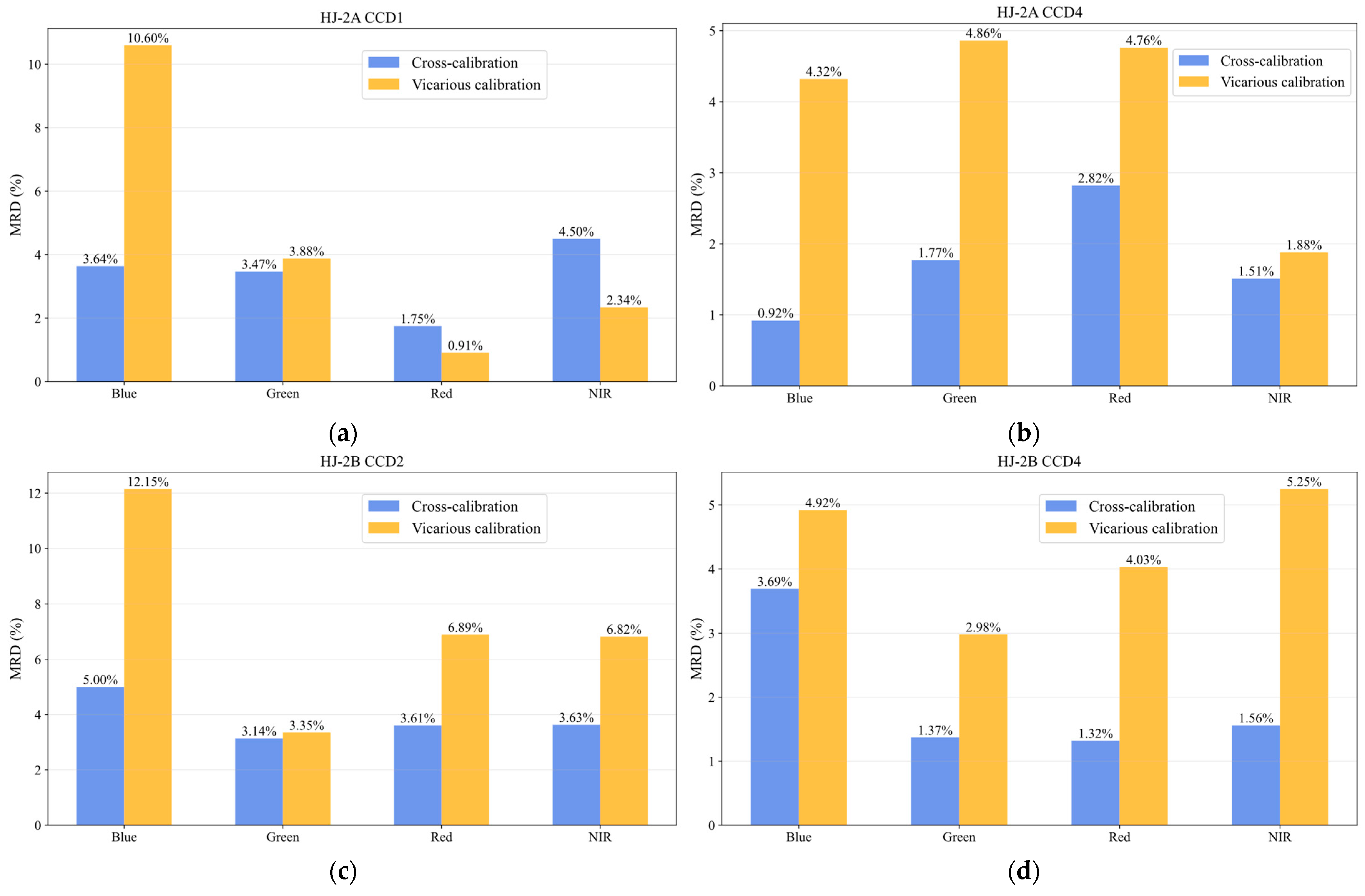
4.3. Analysis Results of Radiation Consistency of HJ-2A/2B CCD
5. Discussion
5.1. Analysis of the Impact of Spectral Response Difference Correction
5.1.1. The Impact of Atmosphere Parameters
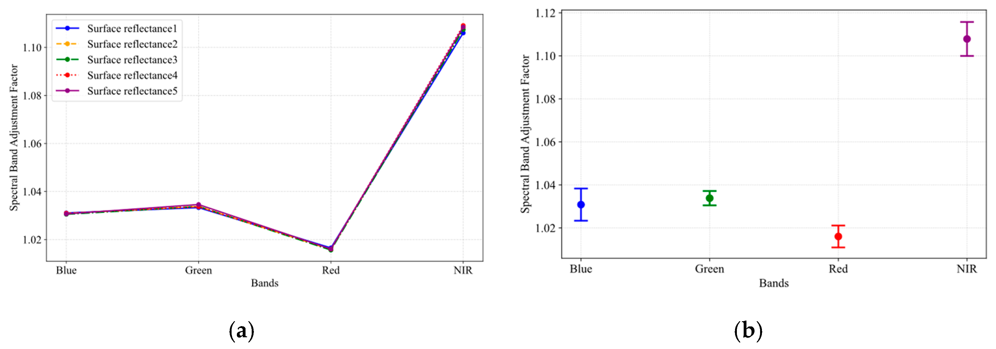
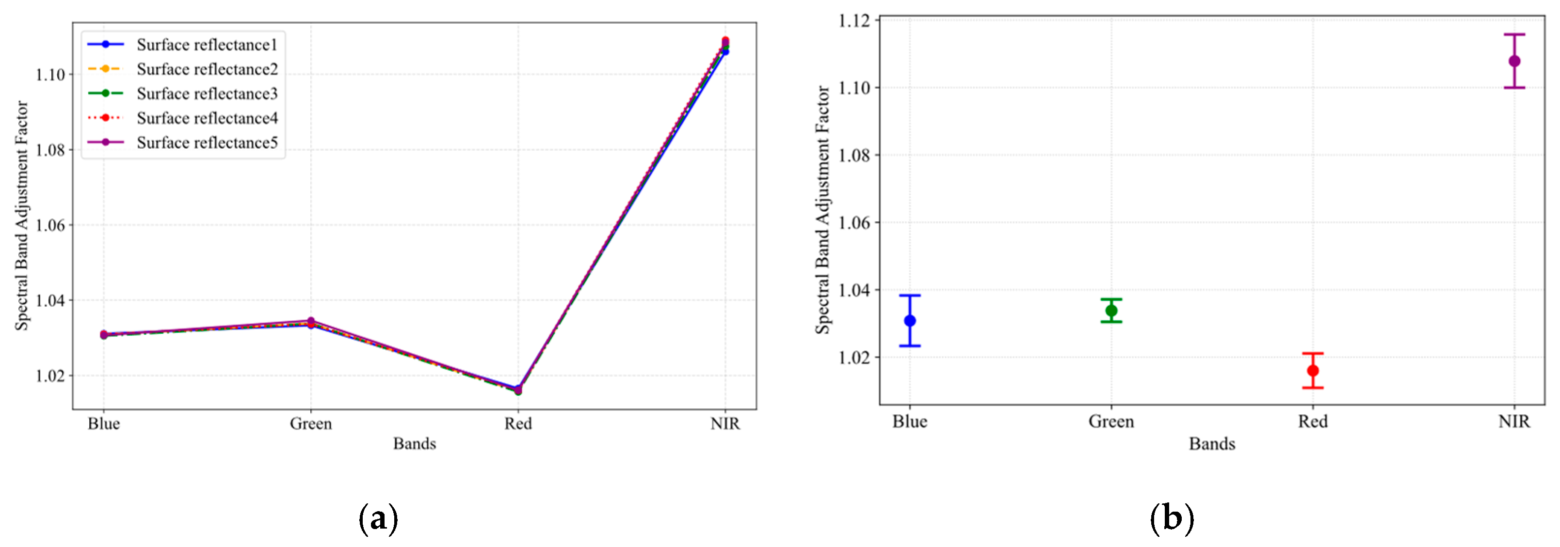
5.1.2. The Impact of Surface Reflectance
5.2. Cross-Calibration Uncertainty Analysis
6. Conclusions
Author Contributions
Funding
Data Availability Statement
Conflicts of Interest
Appendix A


References
- Thome, K.J. Absolute Radiometric Calibration of Landsat 7 ETM+ Using the Reflectance-Based Method. Remote Sens. Environ. 2001, 78, 27–38. [Google Scholar] [CrossRef]
- Sun, J.-Q.; Xiong, X.; Barnes, W.L.; Guenther, B. MODIS Reflective Solar Bands On-Orbit Lunar Calibration. IEEE Trans. Geosci. Remote Sens. 2007, 45, 2383–2393. [Google Scholar] [CrossRef]
- Zhao, E.; Qu, N.; Wang, Y.; Gao, C.; Zeng, J. TEBS: Temperature–Emissivity–Driven Band Selection for Thermal Infrared Hyperspectral Image Classification with Structured State-Space Model and Gated Attention. Int. J. Appl. Earth Obs. Geoinf. 2025, 142, 104710. [Google Scholar] [CrossRef]
- Zhao, E.; Qu, N.; Wang, Y.; Gao, C.; Duan, S.-B.; Zeng, J.; Zhang, Q. Thermal Infrared Hyperspectral Band Selection via Graph Neural Network for Land Surface Temperature Retrieval. IEEE Trans. Geosci. Remote Sens. 2024, 62, 5003414. [Google Scholar] [CrossRef]
- Ma, L.; Zhao, Y.; Li, W.; Yang, R.; Wang, R.; Wang, N.; Han, Q.; Lu, X.; Huang, F.; Zhao, J. Top-of-Atmosphere Radiometric Reference Model for Stable Land Sites with Relaxed Temporal Stability Requirements and Its Application to GF6/WFI Radiometric Calibration and Validation. Remote Sens. Environ. 2025, 326, 114796. [Google Scholar] [CrossRef]
- Zhao, Y.; Ma, L.; Li, C.; Gao, C.; Wang, N.; Tang, L. Radiometric Cross-Calibration of Landsat-8/OLI and GF-1/PMS Sensors Using an Instrumented Sand Site. IEEE J. Sel. Top. Appl. Earth Obs. Remote Sens. 2018, 11, 3822–3829. [Google Scholar] [CrossRef]
- Uncertainty Analysis for RadCalNet Instrumented Test Sites Using the Baotou Sites BTCN and BSCN as Examples. Available online: https://www.mdpi.com/2072-4292/12/11/1696 (accessed on 11 October 2025).
- On-Orbit Radiance Calibration of Nighttime Sensor of LuoJia1-01 Satellite Based on Lunar Observations. Available online: https://www.mdpi.com/2072-4292/11/18/2183 (accessed on 11 October 2025).
- Han, J.; Tao, Z.; Xie, Y.; Li, H.; Yi, H.; Guan, X. Validation of the TOA Products of the Baotou Sandy Site with Landsat8/OLI Considering BRDF Correction. IEEE Trans. Geosci. Remote Sens. 2023, 61, 5401611. [Google Scholar] [CrossRef]
- Cross-Calibration of HJ-1/CCD over a Desert Site Using Landsat ETM-Imagery and ASTER GDEM Product|IEEE Journals & Magazine|IEEE Xplore. Available online: https://ieeexplore.ieee.org/document/6779628 (accessed on 11 October 2025).
- Markham, B.L.; Helder, D.L. Forty-Year Calibrated Record of Earth-Reflected Radiance from Landsat: A Review. Remote Sens. Environ. 2012, 122, 30–40. [Google Scholar] [CrossRef]
- Cross-Calibration of GF-1/WFV over a Desert Site Using Landsat-8/OLI Imagery and ZY-3/TLC Data. Available online: https://www.mdpi.com/2072-4292/7/8/10763 (accessed on 11 October 2025).
- Operational BRDF Effects Correction for Wide-Field-of-View Optical Scanners (BREFCOR)|IEEE Journals & Magazine|IEEE Xplore. Available online: https://ieeexplore.ieee.org/document/6894143 (accessed on 11 October 2025).
- Xiong, X.; Sun, J.; Xie, X.; Barnes, W.L.; Salomonson, V.V. On-Orbit Calibration and Performance of Aqua MODIS Reflective Solar Bands. IEEE Trans. Geosci. Remote Sens. 2010, 48, 535–546. [Google Scholar] [CrossRef]
- Long-Term Cross Calibration of HJ-1A CCD1 and Terra MODIS Reflective Solar Bands|Scientific Reports. Available online: https://www.nature.com/articles/s41598-021-86619-y (accessed on 11 October 2025).
- Time-Series Cross-Radiometric Calibration and Validation of GF-6/WFV Using Multi-Site. Available online: https://www.mdpi.com/2072-4292/16/7/1287 (accessed on 11 October 2025).
- Multitemporal Cross-Calibration of the Terra MODIS and Landsat 7 ETM+ Reflective Solar Bands|IEEE Journals & Magazine|IEEE Xplore. Available online: https://ieeexplore.ieee.org/abstract/document/6459578 (accessed on 11 October 2025).
- Radiometric Cross-Calibration of the Wide Field View Camera Onboard GaoFen-6 in Multispectral Bands. Available online: https://www.mdpi.com/2072-4292/12/6/1037 (accessed on 11 October 2025).
- Liu, Q.; Yu, T.; Gao, H. Radiometric Cross-Calibration of GF-1 PMS Sensor with a New BRDF Model. Remote Sens. 2019, 11, 707. [Google Scholar] [CrossRef]
- Gao, C.; Jiang, X.; Li, X.; Li, X. The Cross-Calibration of CBERS-02B/CCD Visible-near Infrared Channels with Terra/MODIS Channels. Int. J. Remote Sens. 2013, 34, 3688–3698. [Google Scholar] [CrossRef]
- Radiometric Cross-Calibration of the Landsat-7 ETM+ and Landsat-5 TM Sensors Based on Tandem Data Sets. Remote Sens. Environ. 2001, 78, 39–54. [CrossRef]
- Lei, X.; Liu, Z.; Tao, F.; Hou, W.; Huang, H.; Xie, Y.; Zhao, X.; Dong, H.; Zou, P.; Song, M.; et al. Geolocation Error Estimation Method for the Wide Swath Polarized Scanning Atmospheric Corrector Onboard HJ-2 A/B Satellites. IEEE Trans. Geosci. Remote Sens. 2022, 60, 5626609. [Google Scholar] [CrossRef]
- Li, Z.; Xie, Y.; Hou, W.; Liu, Z.; Bai, Z.; Hong, J.; Ma, Y.; Huang, H.; Lei, X.; Sun, X.; et al. In-Orbit Test of the Polarized Scanning Atmospheric Corrector (PSAC) Onboard Chinese Environmental Protection and Disaster Monitoring Satellite Constellation HJ-2 A/B. IEEE Trans. Geosci. Remote Sens. 2022, 60, 4108217. [Google Scholar] [CrossRef]
- Zhang, H.; Qin, W.; Wang, K.; Wang, Q.; Tao, P. On-Orbit Geometric Calibration of the HJ-2 A/B Satellites’ Infrared Sensors. ISPRS Ann. Photogramm. Remote Sens. Spat. Inf. Sci. 2024, 10, 305–311. [Google Scholar] [CrossRef]
- Radiometric Calibration for HJ-1A Hyper-Spectrum Imager and Uncertainty Analysis|Request PDF. Available online: https://www.researchgate.net/publication/290289535_Radiometric_calibration_for_HJ-1A_hyper-spectrum_imager_and_uncertainty_analysis (accessed on 11 October 2025).
- The Application of Deep Convective Clouds in the Calibration and Response Monitoring of the Reflective Solar Bands of FY-3A/MERSI (Medium Resolution Spectral Imager). Available online: https://www.mdpi.com/2072-4292/5/12/6958 (accessed on 11 October 2025).
- Huang, H.; Wang, Y.; Liu, X.; Ti, R.; Sun, X.; Liu, Z.; Lei, X.; Lin, J.; Fan, L. Synchronous Atmospheric Correction of Wide-Swath and Wide-Field Remote Sensing Image from HJ-2A/B Satellite. Remote Sens. 2025, 17, 2072–4292. [Google Scholar] [CrossRef]
- Inter-Comparison of Landsat-8 and Landsat-9 During On-Orbit Initialization and Verification (OIV) Using Extended Pseudo Invariant Calibration Sites (EPICS): Advanced Methods. Available online: https://www.mdpi.com/2072-4292/15/9/2330 (accessed on 11 October 2025).
- Li, Y.; Bao, Y.; Jiang, K.; Wang, H.; Zhao, Y. On-Orbit Radiometric Calibration and Performance of GF-5A WTI. arXiv 2025. [Google Scholar] [CrossRef]
- Zhu, D.; Zhang, K.; Yang, L.; Wu, S.; Li, L. Evaluation and Calibration of MODIS Near-Infrared Precipitable Water Vapor over China Using GNSS Observations and ERA-5 Reanalysis Dataset. Remote Sens. 2021, 13, 2761. [Google Scholar] [CrossRef]
- Han, J.; Tao, Z.; Xie, Y.; Li, H.; Guan, X.; Yi, H. Radiometric Calibration of Large-View-Angle Satellite Sensor at Railroad Valley Playa Site Despite Incomplete RadCalNet Datasets. IEEE J. Sel. Top. Appl. Earth Obs. Remote Sens. 2025, 18, 24374–24384. [Google Scholar] [CrossRef]
- Hu, X.K.; Gao, H.L.; Cheng, T.H.; Tang, S.H.; Liu, L.; Liu, Q.Y. Site Selection and Evaluation of CHINA’S New Radiometric Calibration Test Sites. Int. Arch. Photogramm. Remote Sens. Spat. Inf. Sci. 2020, 42, 511–520. [Google Scholar] [CrossRef]
- Copernicus Sentinel-2A Calibration and Products Validation Status. Available online: https://www.mdpi.com/2072-4292/9/6/584 (accessed on 11 October 2025).
- Pla, M.; Bota, G.; Duane, A.; Balagué, J.; Curcó, A.; Gutiérrez, R.; Brotons, L. Calibrating Sentinel-2 Imagery with Multispectral UAV Derived Information to Quantify Damages in Mediterranean Rice Crops Caused by Western Swamphen (Porphyrio Porphyrio). Drones 2019, 3, 45. [Google Scholar] [CrossRef]
- A Global Analysis of Sentinel-2A, Sentinel-2B and Landsat-8 Data Revisit Intervals and Implications for Terrestrial Monitoring. Available online: https://www.mdpi.com/2072-4292/9/9/902 (accessed on 11 October 2025).
- Full Article: Sentinel-2A MSI and Landsat-8 OLI Radiometric Cross Comparison over Desert Sites. Available online: https://www.tandfonline.com/doi/full/10.1080/22797254.2018.1507613 (accessed on 11 October 2025).
- Liu, Y.-K.; Ma, L.-L.; Wang, N.; Qian, Y.-G.; Zhao, Y.-G.; Qiu, S.; Gao, C.-X.; Long, X.-X.; Li, C.-R. On-Orbit Radiometric Calibration of the Optical Sensors on-Board SuperView-1 Satellite Using Three Independent Methods. Opt. Express 2020, 28, 11085–11105. [Google Scholar] [CrossRef]















| Spectral Band | HJ-2A/2B CCD | Landsat-8/9 OLI | ||
|---|---|---|---|---|
| Band No. | Spectral Range (nm) | Band No. | Spectral Range (nm) | |
| Blue | 1 | 430–520 | 2 | 450–510 |
| Green | 2 | 520–600 | 3 | 530–590 |
| Red | 3 | 630–690 | 4 | 640–670 |
| NIR | 4 | 760–900 | 5 | 850–880 |
| Sensor | Landsat-8 OLI | Landsat-9 OLI | Total | ||||||
|---|---|---|---|---|---|---|---|---|---|
| 2021 | 2022 | 2023 | 2024 | 2021 | 2022 | 2023 | 2024 | ||
| HJ-2A CCD1 | 1 | 4 | 1 | 3 | 0 | 2 | 5 | 3 | 19 |
| HJ-2A CCD2 | 1 | 2 | 1 | 1 | 0 | 2 | 2 | 0 | 9 |
| HJ-2A CCD3 | 2 | 0 | 1 | 3 | 0 | 3 | 1 | 3 | 13 |
| HJ-2A CCD4 | 2 | 1 | 0 | 3 | 0 | 3 | 2 | 1 | 12 |
| HJ-2B CCD1 | 1 | 1 | 1 | 3 | 0 | 4 | 3 | 2 | 15 |
| HJ-2B CCD2 | 1 | 1 | 1 | 3 | 1 | 3 | 2 | 1 | 13 |
| HJ-2B CCD3 | 2 | 2 | 5 | 0 | 0 | 4 | 0 | 0 | 13 |
| HJ-2B CCD4 | 0 | 1 | 2 | 2 | 0 | 2 | 4 | 1 | 12 |
| HJ-2A | HJ-2B | |||||||
|---|---|---|---|---|---|---|---|---|
| Sensor | CCD1 | CCD2 | CCD3 | CCD4 | CCD1 | CCD2 | CCD3 | CCD4 |
| Band1 | 0.37% | 1.30% | 0.13% | 2.9% | 0.80% | 1.25% | 1.75% | 0.88% |
| Band2 | 0.55% | 1.53% | −0.48% | 1.61% | 0.77% | 1.06% | 0.57% | 0.61% |
| Band3 | 0.67% | 0.49% | −0.85% | 1.57% | 0.47% | 1.45% | 0.97% | −1.39% |
| Band4 | 0.78% | 0.48% | −0.80% | 0.63% | 0.03% | 1.10% | −0.09% | −1.24% |
| Cross-Calibration | Vicarious Calibration | |||||
|---|---|---|---|---|---|---|
| Band | CCD1–CCD2 | CCD2–CCD3 | CCD3–CCD4 | CCD1–CCD2 | CCD2–CCD3 | CCD3–CCD4 |
| Blue | 1.55% | 0.33% | 0.66% | 2.60% | 2.00% | 2.49% |
| Green | 1.16% | 0.28% | 0.81% | 2.28% | 0.48% | 2.77% |
| Red | 1.92% | 2.36% | 1.68% | 2.87% | 4.92% | 3.57% |
| NIR | 1.68% | 2.33% | 0.85% | 1.72% | 4.17% | 1.19% |
| Error Sources | Blue | Green | Red | NIR |
|---|---|---|---|---|
| Spatial Differences | 0.18% | 0.21% | 0.19% | 0.24% |
| Spectral Difference Correction | 1.89% | 1.37% | 1.25% | 2.74% |
| Angular Difference Correction | 3.00% | 3.00% | 3.00% | 3.00% |
| Temporal Variability | 0.50% | 0.50% | 0.50% | 0.50% |
| Uncertainty of Reference Satellite | 3.00% | 3.00% | 3.00% | 3.00% |
| Other Uncertainties | 1.00% | 1.00% | 1.00% | 1.00% |
| Combined uncertainty (k = 1) | 4.78% | 4.60% | 4.57% | 5.18% |
Disclaimer/Publisher’s Note: The statements, opinions and data contained in all publications are solely those of the individual author(s) and contributor(s) and not of MDPI and/or the editor(s). MDPI and/or the editor(s) disclaim responsibility for any injury to people or property resulting from any ideas, methods, instructions or products referred to in the content. |
© 2025 by the authors. Licensee MDPI, Basel, Switzerland. This article is an open access article distributed under the terms and conditions of the Creative Commons Attribution (CC BY) license (https://creativecommons.org/licenses/by/4.0/).
Share and Cite
Zeng, J.; Zhao, H.; Su, Y.; Lan, Q.; Han, Q.; Zhang, X.; Wang, X.; Xu, Z.; Hu, Z.; Du, X.; et al. Radiometric Cross-Calibration and Performance Analysis of HJ-2A/2B 16m-MSI Using Landsat-8/9 OLI with Spectral-Angle Difference Correction. Remote Sens. 2025, 17, 3569. https://doi.org/10.3390/rs17213569
Zeng J, Zhao H, Su Y, Lan Q, Han Q, Zhang X, Wang X, Xu Z, Hu Z, Du X, et al. Radiometric Cross-Calibration and Performance Analysis of HJ-2A/2B 16m-MSI Using Landsat-8/9 OLI with Spectral-Angle Difference Correction. Remote Sensing. 2025; 17(21):3569. https://doi.org/10.3390/rs17213569
Chicago/Turabian StyleZeng, Jian, Hang Zhao, Yongfang Su, Qiongqiong Lan, Qijin Han, Xuewen Zhang, Xinmeng Wang, Zhaopeng Xu, Zhiheng Hu, Xiaozheng Du, and et al. 2025. "Radiometric Cross-Calibration and Performance Analysis of HJ-2A/2B 16m-MSI Using Landsat-8/9 OLI with Spectral-Angle Difference Correction" Remote Sensing 17, no. 21: 3569. https://doi.org/10.3390/rs17213569
APA StyleZeng, J., Zhao, H., Su, Y., Lan, Q., Han, Q., Zhang, X., Wang, X., Xu, Z., Hu, Z., Du, X., & Yang, B. (2025). Radiometric Cross-Calibration and Performance Analysis of HJ-2A/2B 16m-MSI Using Landsat-8/9 OLI with Spectral-Angle Difference Correction. Remote Sensing, 17(21), 3569. https://doi.org/10.3390/rs17213569

