Comprehensive Assessment of GPM-IMERG and ERA5 Precipitation Products Across Ireland
Abstract
1. Introduction
2. Materials and Methods
2.1. Study Area
2.2. Datasets
2.2.1. Met Éireann Synoptic Stations Data
2.2.2. IMERG Satellite Precipitation Products Datasets
2.2.3. European Centre for Medium-Range Weather Forecast (ECMWF) Reanalysis-5 (ERA5)
2.3. Methodology
2.3.1. Coordinate Matching
2.3.2. Evaluation Framework
2.3.3. Evaluation Metrics
- ○
- Detection:
- Probability of Detection (POD): measures the proportion of observed rainfall events that were successfully captured by the satellite or reanalysis dataset. Values range from 0 to 1, with higher values indicating better detection performance and fewer missed events.
- False Alarm Ratio (FAR): quantifies the frequency with which rainfall was incorrectly detected by the dataset when no precipitation occurred. It also ranges from 0 to 1, with lower values reflecting fewer false alarms and thus better performance.
- Critical Success Index (CSI): evaluates overall detection accuracy by accounting for both missed and falsely detected events. Values range from 0 to 1, where higher values indicate stronger agreement with observations.
- ○
- Errors in rainfall magnitude:
- Mean Absolute Error (MAE): and Root Mean Squared Error (RMSE) assess the magnitude of differences between estimated and observed precipitation amounts. Both are expressed in the same units as precipitation. Lower values indicate higher agreement in precipitation amount, with RMSE being more sensitive to larger errors due to squaring.
- Relative Bias (BIAS): reflects the average tendency of the dataset to overestimate or underestimate precipitation, expressed as a percentage. Values near 0% suggest minimal bias, while positive or negative values indicate overestimation or underestimation, respectively.
- ○
- Correlation between precipitation datasets:
- Pearson Correlation Coefficient (CC): measures the degree of linear association between the temporal variability of the dataset and observed rainfall. It ranges from −1 to 1, with values closer to 1 indicating strong agreement, and values near 0 or negative indicating weak or inverse correlation.
3. Results
3.1. Temporal Resolution Evaluation
3.1.1. Detection Accuracy Across Temporal Scales
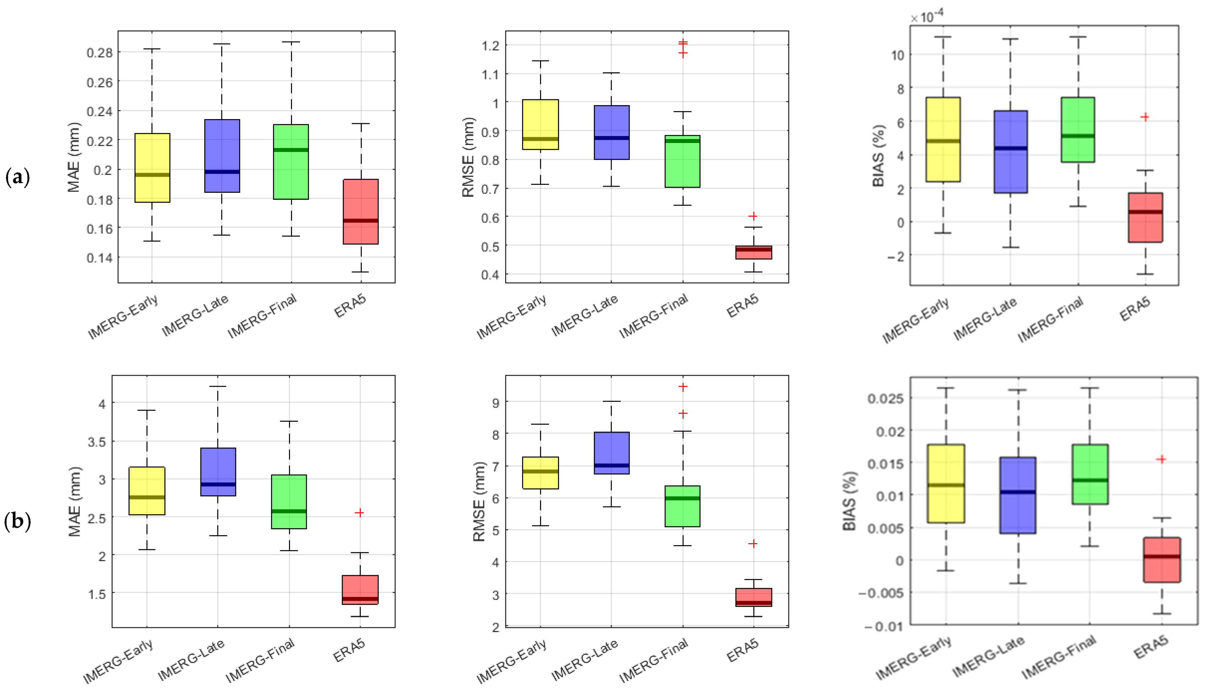
3.1.2. Error Analysis
3.1.3. Datasets Correlation
3.2. Seasonal Based Evaluation
3.2.1. Seasonal Detection Accuracy
3.2.2. Seasonal Error and Correlation Analysis
3.2.3. Spatial Distribution of Seasonal Precipitation
3.3. Intensity-Based Evaluation
3.3.1. Detection Accuracy
3.3.2. Error and Correlation Analysis
3.3.3. Time Series Analysis of Very Heavy Rainfall Events
4. Discussion
5. Conclusions
- ERA5 consistently demonstrated strong detection skills and climatological stability particularly under stratiform and low-to-moderate rainfall conditions. Its performance was strongest during Autumn and Winter, when large-scale synoptic systems dominate, making it well suited for baseline hydrological modeling. However, ERA5 tended to underestimate very heavy rainfall and exhibited elevated false alarm rates at finer temporal scales, limiting its reliability in convective environments such as those observed in summer.
- IMERG-Final demonstrated enhanced responsiveness to short-duration, high-intensity events, particularly when aggregated to daily resolution (64.4 > mm/day). This was most evident during summer, when such events are occasionally associated with convective activity. During very heavy rainfall events, it achieved up to 18% lower MAE, 17% lower RMSE, and 13% higher correlation compared to ERA5, reflecting improved accuracy in capturing peak intensities and temporal structure associated with convective storms.
- IMERG-Early and IMERG-Late demonstrated performance levels that were comparable to IMERG-Final within a narrow margin, despite their lower latency and reduced post-processing. While IMERG-Final generally demonstrated better statistical accuracy, improving MAE and RMSE by approximately 10–15%, correlation coefficients by 5–10%, and CSI by up to 3 percentage points, these improvements remained modest across seasons and rainfall intensities. Notably, IMERG-Early exhibited strong rainfall detection sensitivity and performed comparably to IMERG-Final during spring and summer. The differences among the IMERG products were especially narrow under very heavy rainfall conditions, where all three converged in terms of error and correlation.
- These findings confirm that precipitation datasets are not interchangeable. Instead, their strengths are complementary: ERA5 offers spatial and seasonal consistency, while IMERG-Final enhances responsiveness to localized extremes. These differences make it valuable for retrospective validation, model calibration and performance benchmarking in Irish catchments.
Author Contributions
Funding
Data Availability Statement
Conflicts of Interest
Appendix A



| Station ID | Time Res | Precipitation Product | |||
|---|---|---|---|---|---|
| IMERG-Early | IMERG-Late | IMERG-Final | ERA5 | ||
| 175 | Hourly | 0.2536 | 0.2441 | 0.2724 | 0.3352 |
| Daily | 0.6689 | 0.6279 | 0.7268 | 0.8176 | |
| 275 | Hourly | 0.3467 | 0.3009 | 0.3799 | 0.6004 |
| Daily | 0.7231 | 0.6539 | 0.7834 | 0.8328 | |
| 375 | Hourly | 0.2911 | 0.26 | 0.285 | 0.3433 |
| Daily | 0.7313 | 0.647 | 0.7839 | 0.8582 | |
| 518 | Hourly | 0.0531 | 0.251 | 0.32 | 0.5243 |
| Daily | 0.155 | 0.6272 | 0.7402 | 0.8175 | |
| 532 | Hourly | 0.2634 | 0.2441 | 0.2791 | 0.334 |
| Daily | 0.6787 | 0.6551 | 0.753 | 0.81 | |
| 575 | Hourly | 0.3505 | 0.321 | 0.3899 | 0.6234 |
| Daily | 0.7041 | 0.6348 | 0.7662 | 0.8649 | |
| 675 | Hourly | 0.3285 | 0.2882 | 0.3489 | 0.5305 |
| Daily | 0.6765 | 0.6079 | 0.757 | 0.841 | |
| 775 | Hourly | 0.3553 | 0.3159 | 0.3819 | 0.6567 |
| Daily | 0.7544 | 0.6532 | 0.79 | 0.8725 | |
| 875 | Hourly | 0.3436 | 0.3156 | 0.3726 | 0.5447 |
| Daily | 0.6448 | 0.6064 | 0.7512 | 0.8263 | |
| 1075 | Hourly | 0.3349 | 0.3074 | 0.3625 | 0.6311 |
| Daily | 0.7123 | 0.6269 | 0.7531 | 0.8578 | |
| 1175 | Hourly | 0.2986 | 0.2657 | 0.331 | 0.5421 |
| Daily | 0.6135 | 0.5517 | 0.6855 | 0.7637 | |
| 1275 | Hourly | 0.3235 | 0.2836 | 0.3329 | 0.5465 |
| Daily | 0.6871 | 0.621 | 0.7304 | 0.8248 | |
| 1375 | Hourly | 0.3313 | 0.3082 | 0.3648 | 0.5499 |
| Daily | 0.6504 | 0.6304 | 0.7444 | 0.814 | |
| 1475 | Hourly | 0.3271 | 0.2829 | 0.3688 | 0.5552 |
| Daily | 0.6595 | 0.5925 | 0.7444 | 0.8226 | |
| 1575 | Hourly | 0.2963 | 0.2599 | 0.3272 | 0.5461 |
| Daily | 0.6475 | 0.5834 | 0.7228 | 0.8123 | |
| 1775 | Hourly | 0.3529 | 0.3168 | 0.3595 | 0.6497 |
| Daily | 0.6769 | 0.6187 | 0.7499 | 0.8622 | |
| 1875 | Hourly | 0.0497 | 0.2741 | 0.3469 | 0.542 |
| Daily | 0.1313 | 0.5694 | 0.7031 | 0.8026 | |
| 1975 | Hourly | 0.0341 | 0.2947 | 0.3536 | 0.5457 |
| Daily | 0.1384 | 0.6235 | 0.7377 | 0.8446 | |
| 2075 | Hourly | 0.0291 | 0.282 | 0.3242 | 0.5004 |
| Daily | 0.0507 | 0.5834 | 0.696 | 0.7986 | |
| 2175 | Hourly | 0.3538 | 0.3077 | 0.377 | 0.5802 |
| Daily | 0.7049 | 0.6233 | 0.7518 | 0.8482 | |
| 2275 | Hourly | 0.3622 | 0.3109 | 0.3817 | 0.6541 |
| Daily | 0.7095 | 0.6182 | 0.7667 | 0.878 | |
| 2375 | Hourly | 0.3108 | 0.2945 | 0.3029 | 0.6054 |
| Daily | 0.6754 | 0.6286 | 0.6982 | 0.8627 | |
| 3723 | Hourly | 0.258 | 0.2325 | 0.274 | 0.3391 |
| Daily | 0.6904 | 0.6546 | 0.7494 | 0.8179 | |
| 3904 | Hourly | 0.3731 | 0.3386 | 0.3912 | 0.6604 |
| Daily | 0.7322 | 0.6366 | 0.7584 | 0.8841 | |
| 4935 | Hourly | 0.0379 | 0.2761 | 0.3568 | 0.5874 |
| Daily | 0.0797 | 0.6392 | 0.7466 | 0.8282 | |
| Rainfall Class | Product | Hourly (mm/h) | Daily (mm/day) | ||||||
|---|---|---|---|---|---|---|---|---|---|
| MAE | RMSE | BIAS | CC | MAE | RMSE | BIAS | CC | ||
| Light | IMERG_Early | 0.7 ± 0.0 | 1.6 ± 0.2 | 0.0 ± 0.00 | 0.24 ± 0.04 | 3.3 ± 0.5 | 6.1 ± 1.0 | 0.02 ± 0.02 | 0.44 ± 0.10 |
| IMERG_Late | 0.7 ± 0.0 | 1.5 ± 0.2 | 0.00 ± 0.00 | 0.23 ± 0.03 | 3.3 ± 0.4 | 6.3 ± 0.8 | 0.02 ± 0.02 | 0.40 ± 0.04 | |
| IMERG_Final | 0.7 ± 0.1 | 1.5 ± 0.2 | 0.00 ± 0.00 | 0.27 ± 0.03 | 3.0 ± 0.3 | 5.3 ± 0.6 | 0.02 ± 0.01 | 0.53 ± 0.04 | |
| ERA5 | 0.4 ± 0.0 | 0.6 ± 0.0 | 0.00 ± 0.00 | 0.46 ± 0.04 | 1.7 ± 0.2 | 2.5 ± 0.3 | 0.01 ± 0.01 | 0.67 ± 0.04 | |
| Moderate | IMERG_Early | 2.9 ± 0.2 | 3.9 ± 0.5 | −0.08 ± 0.04 | 0.04 ± 0.04 | 11.4 ± 1.3 | 17.1 ± 2.3 | 0.12 ± 0.11 | 0.32 ± 0.08 |
| IMERG_Late | 2.9 ± 0.1 | 3.8 ± 0.4 | −0.08 ± 0.02 | 0.03 ± 0.04 | 11.7 ± 1.1 | 17.3 ± 2.1 | 0.09 ± 0.08 | 0.33 ± 0.07 | |
| IMERG_Final | 2.7 ± 0.2 | 3.5 ± 0.6 | −0.07 ± 0.03 | 0.04 ± 0.04 | 10.5 ± 1.9 | 14.7 ± 3.2 | 0.14 ± 0.07 | 0.40 ± 0.08 | |
| ERA5 | 2.0 ± 0.1 | 2.2 ± 0.1 | −0.13 ± 0.04 | 0.12 ± 0.07 | 5.1 ± 0.6 | 6.5 ± 0.7 | −0.09 ± 0.04 | 0.52 ± 0.07 | |
| Heavy | IMERG_Early | 5.1 ± 0.4 | 5.8 ± 0.6 | −0.91 ± 0.35 | −0.03 ± 0.10 | 22.8 ± 9.5 | 27.4 ± 10.8 | −4.64 ± 13.00 | 0.05 ± 0.61 |
| IMERG_Late | 5.0 ± 0.3 | 5.7 ± 0.5 | −0.92 ± 0.35 | −0.04 ± 0.11 | 20.7 ± 9.4 | 25.7 ± 12.3 | 0.16 ± 10.58 | 0.19 ± 0.54 | |
| IMERG_Final | 4.8 ± 0.5 | 5.4 ± 0.6 | −0.86 ± 0.34 | −0.03 ± 0.11 | 17.2 ± 8.7 | 20.5 ± 10.0 | 1.61 ± 7.62 | 0.28 ± 0.54 | |
| ERA5 | 4.7 ± 0.3 | 5.0 ± 0.3 | −1.10 ± 0.36 | 0.04 ± 0.11 | 16.5 ± 4.7 | 18.6 ± 4.9 | −9.27 ± 6.18 | 0.40 ± 0.50 | |
| Very Heavy | IMERG_Early | 10.6 ± 2.1 | 11.3 ± 2.5 | −14.36 ± 7.20 | 0.18 ± 0.53 | 40.1 ± 23.6 | 40.4 ± 23.4 | −26.96 ± 55.21 | −1.00 ± nan |
| IMERG_Late | 10.4 ± 2.2 | 11.2 ± 2.5 | −14.42 ± 7.55 | 0.14 ± 0.51 | 32.0 ± 23.0 | 32.0 ± 23.0 | −9.08 ± 48.84 | −1.00 ± nan | |
| IMERG_Final | 10.2 ± 2.0 | 10.9 ± 2.3 | −14.24 ± 7.43 | 0.20 ± 0.49 | 19.9 ± 10.3 | 20.7 ± 10.9 | −6.06 ± 26.32 | −1.00 ± nan | |
| ERA5 | 11.6 ± 1.6 | 12.2 ± 2.2 | −16.21 ± 8.11 | −0.07 ± 0.48 | 41.4 ± 13.7 | 41.7 ± 13.8 | −46.73 ± 18.16 | 1.00 ± nan | |
| Event Date | Station | Product | Peak (mm) | Peak Error (%) | Peak Timing Lag (days) | Total (mm) | CC |
|---|---|---|---|---|---|---|---|
| 2 August 2014 | Dublin Airport (ID: 532) | Observed | 79.6 | - | - | 151.4 | 1 |
| ERA5 | 29.63 | −62.80 | 0 | 103.66 | 0.93 | ||
| IMERG Early | 136.36 | 71.30 | 0 | 256.9 | 0.98 | ||
| IMERG Late | 144.33 | 81.30 | 0 | 261.27 | 0.98 | ||
| IMERG Final | 76.29 | −4.20 | 0 | 148.14 | 0.97 | ||
| 5 August 2021 | Mullingar (ID: 875) | Observed | 70.8 | - | - | 155 | 1 |
| ERA5 | 18.77 | −73.50 | 0 | 94.9 | 0.82 | ||
| IMERG Early | 23 | −67.50 | 0 | 86.66 | 0.71 | ||
| IMERG Late | 21.46 | −69.70 | 0 | 83.79 | 0.76 | ||
| IMERG Final | 36.54 | −48.40 | 0 | 126.66 | 0.91 | ||
| 11 September 2015 | Newport (ID:1175) | Observed | 82 | - | - | 142.9 | 1 |
| ERA5 | 61.31 | −25.20 | 0 | 127.73 | 0.97 | ||
| IMERG Early | 69.29 | −15.50 | 0 | 107.94 | 0.98 | ||
| IMERG Late | 76.04 | −7.30 | 0 | 109.39 | 0.99 | ||
| IMERG Final | 103.01 | 25.60 | 0 | 150.87 | 0.99 | ||
| 5 December 2015 | Malin Head (ID:1575) | Observed | 83.8 | - | - | 364.4 | 1 |
| ERA5 | 53.11 | −36.60 | 0 | 276.37 | 0.82 | ||
| IMERG Early | 90.08 | 7.50 | 0 | 310.3 | 0.88 | ||
| IMERG Late | 102.57 | 22.40 | 0 | 319.04 | 0.9 | ||
| IMERG Final | 121.13 | 44.60 | 0 | 381.97 | 0.91 | ||
| 5 December 2015 | Finner (ID:2075) | Observed | 72.9 | - | - | 226.4 | 1 |
| ERA5 | 45.91 | −37.00 | 0 | 196.37 | 0.96 | ||
| IMERG Early | 88.64 | 21.60 | 0 | 245.25 | 0.93 | ||
| IMERG Late | 79.02 | 8.40 | 0 | 217.98 | 0.94 | ||
| IMERG Final | 85.79 | 17.70 | 0 | 276.27 | 0.92 | ||
| 3 October 2016 | Valentia Observatory (ID:2275) | Observed | 105.7 | - | - | 218.1 | 1 |
| ERA5 | 47.54 | −55.00 | 0 | 138.5 | 0.97 | ||
| IMERG Early | 55.9 | −47.10 | 0 | 184.81 | 0.9 | ||
| IMERG Late | 59.13 | −44.10 | 0 | 180.77 | 0.92 | ||
| IMERG Final | 79.52 | −24.80 | 0 | 250.33 | 0.92 |
References
- Blöschl, G.; Hall, J.; Viglione, A.; Perdigão, R.A.P.; Parajka, J.; Merz, B.; Lun, D.; Arheimer, B.; Aronica, G.T.; Bilibashi, A.; et al. Changing climate both increases and decreases European river floods. Nature 2019, 573, 108–111. [Google Scholar] [CrossRef]
- Arnell, N.W.; Gosling, S.N. The impacts of climate change on river flood risk at the global scale. Clim. Chang. 2016, 134, 387–401. [Google Scholar] [CrossRef]
- Sherlock, E.; Duffy, S. 05-Establishing the Flood Forecast Centre and Expanding Met Eireann’s Rainfall Radar Network. In Proceedings of the Irish National Hydrology Conference 2019, Athlone, Ireland, 19 November 2019. [Google Scholar]
- Kidd, C.; Levizzani, V. Status of satellite precipitation retrievals. Hydrol. Earth Syst. Sci. 2011, 15, 1109–1116. [Google Scholar] [CrossRef]
- Huffman, G.J.; Bolvin, D.T.; Braithwaite, D.; Hsu, K.; Joyce, R.; Kidd, C.; Nelkin, E.J.; Xie, P. Algorithm Theoretical Basis Documen Version 4.5. In NASA Global Precipitation Measurement (GPM) Integrated Multi-SatellitE Retrievals for GPM (IMERG); NASA: Greenbelt, MD, USA, 2015. [Google Scholar]
- Wang, Z.; Zhong, R.; Lai, C.; Chen, J. Evaluation of the GPM IMERG satellite-based precipitation products and the hydrological utility. Atmos. Res. 2017, 196, 151–163. [Google Scholar] [CrossRef]
- Hersbach, H.; Bell, B.; Berrisford, P.; Hirahara, S.; Horányi, A.; Muñoz-Sabater, J.; Nicolas, J.; Peubey, C.; Radu, R.; Schepers, D.; et al. The ERA5 global reanalysis. Q. J. R. Meteorol. Soc. 2020, 146, 1999–2049. [Google Scholar] [CrossRef]
- Wang, D.; Wang, X.; Liu, L.; Wang, D.; Huang, H.; Pan, C. Evaluation of TMPA 3B42V7, GPM IMERG and CMPA precipitation estimates in Guangdong Province, China. Int. J. Climatol. 2019, 39, 738–755. [Google Scholar] [CrossRef]
- Tang, G.; Ma, Y.; Long, D.; Zhong, L.; Hong, Y. Evaluation of GPM Day-1 IMERG and TMPA Version-7 legacy products over Mainland China at multiple spatiotemporal scales. J. Hydrol. 2016, 533, 152–167. [Google Scholar] [CrossRef]
- Hamouda, M.A.; Hinge, G.; Yemane, H.S.; Al Mosteka, H.; Makki, M.; Mohamed, M.M. Reliability of GPM IMERG Satellite Precipitation Data for Modelling Flash Flood Events in Selected Watersheds in the UAE. Remote Sens. 2023, 15, 3991. [Google Scholar] [CrossRef]
- Biswas, S.; Singh, C.; Bharti, V. An assessment of GPM IMERG Version 7 rainfall estimates over the North West Himalayan region. Atmos. Res. 2025, 315, 107910. [Google Scholar] [CrossRef]
- Fang, J.; Yang, W.; Luan, Y.; Du, J.; Lin, A.; Zhao, L. Evaluation of the TRMM 3B42 and GPM IMERG products for extreme precipitation analysis over China. Atmos. Res. 2019, 223, 24–38. [Google Scholar] [CrossRef]
- Pan, X.; Wu, H.; Chen, S.; Nanding, N.; Huang, Z.; Chen, W.; Li, C.; Li, X. Evaluation and Applicability Analysis of GPM Satellite Precipitation over Mainland China. Remote Sens. 2023, 15, 2866. [Google Scholar] [CrossRef]
- Moazami, S.; Najafi, M.R. A comprehensive evaluation of GPM-IMERG V06 and MRMS with hourly ground-based precipitation observations across Canada. J. Hydrol. 2021, 594, 125929. [Google Scholar] [CrossRef]
- Hsu, J.; Huang, W.R.; Liu, P.Y. Performance assessment of GPM-based near-real-time satellite products in depicting diurnal precipitation variation over Taiwan. J. Hydrol. Reg. Stud. 2021, 38, 100957. [Google Scholar] [CrossRef]
- Navarro, A.; García-Ortega, E.; Merino, A.; Sánchez, J.L.; Kummerow, C.; Tapiador, F.J. Assessment of IMERG precipitation estimates over Europe. Remote Sens. 2019, 11, 2470. [Google Scholar] [CrossRef]
- Boluwade, A. Spatial-Temporal Evaluation of Satellite-Derived Rainfall Estimations for Water Resources Applications in the Upper Congo River Basin. Remote Sens. 2024, 16, 3868. [Google Scholar] [CrossRef]
- Zhou, C.; Gao, W.; Hu, J.; Du, L.; Du, L. Capability of imerg v6 early, late, and final precipitation products for monitoring extreme precipitation events. Remote Sens. 2021, 13, 689. [Google Scholar] [CrossRef]
- Keikhosravi-Kiany, M.S.; Balling, R.C. Evaluation of GPM IMERG Early, Late, and Final Run in Representing Extreme Rainfall Indices in Southwestern Iran. Remote Sens. 2024, 16, 2779. [Google Scholar] [CrossRef]
- Ramsauer, T.; Weiß, T.; Marzahn, P. Comparison of the GPM IMERG final precipitation product to RADOLAN weather radar data over the topographically and climatically diverse Germany. Remote Sens. 2018, 10, 2029. [Google Scholar] [CrossRef]
- Sungmin, O.; Foelsche, U.; Kirchengast, G.; Fuchsberger, J.; Tan, J.; Petersen, W.A. Evaluation of GPM IMERG Early, Late, and Final rainfall estimates using WegenerNet gauge data in southeastern Austria. Hydrol. Earth Syst. Sci. 2017, 21, 6559–6572. [Google Scholar] [CrossRef]
- Aksu, H.; Taflan, G.Y.; Yaldiz, S.G.; Akgül, M.A. Evaluation of IMERG for GPM satellite-based precipitation products for extreme precipitation indices over Turkiye. Atmos. Res. 2023, 291, 106826. [Google Scholar] [CrossRef]
- Tarek, M.; Brissette, F.P.; Arsenault, R. Evaluation of the ERA5 reanalysis as a potential reference dataset for hydrological modelling over North America. Hydrol. Earth Syst. Sci. 2020, 24, 2527–2544. [Google Scholar] [CrossRef]
- Lavers, D.A.; Simmons, A.; Vamborg, F.; Rodwell, M.J. An evaluation of ERA5 precipitation for climate monitoring. Q. J. R. Meteorol. Soc. 2022, 148, 3152–3165. [Google Scholar] [CrossRef]
- Crossett, C.C.; Betts, A.K.; Dupigny-Giroux, L.A.L.; Bomblies, A. Evaluation of daily precipitation from the era5 global reanalysis against ghcn observations in the northeastern united states. Climate 2020, 8, 148. [Google Scholar] [CrossRef]
- Beck, H.E.; Pan, M.; Roy, T.; Weedon, G.P.; Pappenberger, F.; Van Dijk, A.I.J.M.; Huffman, G.J.; Adler, R.F.; Wood, E.F. Daily evaluation of 26 precipitation datasets using Stage-IV gauge-radar data for the CONUS. Hydrol. Earth Syst. Sci. 2019, 23, 207–224. [Google Scholar] [CrossRef]
- Jiang, Q.; Li, W.; Fan, Z.; He, X.; Sun, W.; Chen, S.; Wen, J.; Gao, J.; Wang, J. Evaluation of the ERA5 reanalysis precipitation dataset over Chinese Mainland. J. Hydrol. 2021, 595, 125660. [Google Scholar] [CrossRef]
- Gomis-Cebolla, J.; Rattayova, V.; Salazar-Galán, S.; Francés, F. Evaluation of ERA5 and ERA5-Land reanalysis precipitation datasets over Spain (1951–2020). Atmos. Res. 2023, 284, 106606. [Google Scholar] [CrossRef]
- Ahmed, J.S.; Buizza, R.; Dell’Acqua, M.; Demissie, T.; Pè, M.E. Evaluation of ERA5 and CHIRPS rainfall estimates against observations across Ethiopia. Meteorol. Atmos. Phys. 2024, 136, 17. [Google Scholar] [CrossRef]
- Malayeri, A.K.; Saghafian, B.; Raziei, T. Performance evaluation of ERA5 precipitation estimates across Iran. Arab. J. Geosci. 2021, 14, 2676. [Google Scholar] [CrossRef]
- Jiao, D.; Xu, N.; Yang, F.; Xu, K. Evaluation of spatial-temporal variation performance of ERA5 precipitation data in China. Sci. Rep. 2021, 11, 17956. [Google Scholar] [CrossRef]
- Xin, Y.; Yang, Y.; Chen, X.; Yue, X.; Liu, Y.; Yin, C. Evaluation of IMERG and ERA5 precipitation products over the Mongolian Plateau. Sci. Rep. 2022, 12, 21776. [Google Scholar] [CrossRef] [PubMed]
- Izadi, N.; Karakani, E.G.; Saadatabadi, A.R.; Shamsipour, A.; Fattahi, E.; Habibi, M. Evaluation of era5 precipitation accuracy based on various time scales over iran during 2000–2018. Water 2021, 13, 2538. [Google Scholar] [CrossRef]
- Cantoni, E.; Tramblay, Y.; Grimaldi, S.; Salamon, P.; Dakhlaoui, H.; Dezetter, A.; Thiemig, V. Hydrological performance of the ERA5 reanalysis for flood modeling in Tunisia with the LISFLOOD and GR4J models. J. Hydrol. Reg. Stud. 2022, 42, 101169. [Google Scholar] [CrossRef]
- Giannaros, C.; Dafis, S.; Stefanidis, S.; Giannaros, T.M.; Koletsis, I.; Oikonomou, C. Hydrometeorological analysis of a flash flood event in an ungauged Mediterranean watershed under an operational forecasting and monitoring context. Meteorol. Appl. 2022, 29, e2079. [Google Scholar] [CrossRef]
- Sheffield, J.; Wood, E.F.; Pan, M.; Beck, H.; Coccia, G.; Serrat-Capdevila, A.; Verbist, K. Satellite Remote Sensing for Water Resources Management: Potential for Supporting Sustainable Development in Data-Poor Regions. Water Resour. Res. 2018, 54, 9724–9758. [Google Scholar] [CrossRef]
- Rohan, P.K. The Climate of Ireland, 2nd ed.; Stationery Office: London, UK, 1986. [Google Scholar]
- Regan, S.; Goodhue, R.; Naughton, O.; Hynds, P. Geospatial drivers of the groundwater δ18O isoscape in a temperate maritime climate (Republic of Ireland). J. Hydrol. 2017, 554, 173–186. [Google Scholar] [CrossRef]
- Walsh, S. Climatological Note No.14: A Summary of Climate Averages for Ireland 1981–2010. Met Éireann 2012, 582, 16. [Google Scholar]
- Sweeney, J.C. Changing synoptic origins of Irish precipitation. Trans. Inst. Br. Geogr. 1985, 10, 467–480. [Google Scholar] [CrossRef]
- Huffman, G.J.; Bolvin, D.T.; Braithwaite, D.; Hsu, K.; Joyce, R.; Kidd, C.; Nelkin, E.J.; Sorooshian, S.; Tan, J. Algorithm Theoretical Basis Document (ATBD) Version 06. In NASA Global Precipitation Measurement (GPM) Integrated Multi-satellitE Retrievals for GPM (IMERG). 2019. Available online: https://gpm.nasa.gov/sites/default/files/document_files/IMERG_ATBD_V06_0.pdf (accessed on 5 January 2024).
- Tang, G.; Clark, M.P.; Papalexiou, S.M.; Ma, Z.; Hong, Y. Have satellite precipitation products improved over last two decades? A comprehensive comparison of GPM IMERG with nine satellite and reanalysis datasets. Remote Sens. Environ. 2020, 240, 111697. [Google Scholar] [CrossRef]
- Mahmoud, M.T.; Al-Zahrani, M.A.; Sharif, H.O. Assessment of global precipitation measurement satellite products over Saudi Arabia. J. Hydrol. 2018, 559, 1–12. [Google Scholar] [CrossRef]
- Beritelli, F.; Capizzi, G.; Lo Sciuto, G.; Napoli, C.; Scaglione, F. Rainfall Estimation Based on the Intensity of the Received Signal in a LTE/4G Mobile Terminal by Using a Probabilistic Neural Network. IEEE Access 2018, 6, 30865–30873. [Google Scholar] [CrossRef]
- Mukherjee, S.; Ballav, S.; Soni, S.; Kumar, K.; Kumar De, U. Investigation of dominant modes of monsoon ISO in the northwest and eastern Himalayan region. Theor. Appl. Climatol. 2016, 125, 489–498. [Google Scholar] [CrossRef]
- Sweeney, J.; Albanito, F.; Brereton, A.; Caffarra, A.; Charlton, R.; Donnelly, A.; Fealy, R.; Fitzgerald, J.; Holden, N. CLIMATE CHANGE—Refining the Impacts for Ireland; Environmental Protection Agency: Washington, DC, USA, 2007; ISBN 9781840952971. [Google Scholar]
- Chen, T.; Li, J.; Zhang, Y.; Chen, H.; Li, P.; Che, H. Evaluation of Hourly Precipitation Characteristics from a Global Reanalysis and Variable-Resolution Global Model over the Tibetan Plateau by Using a Satellite-Gauge Merged Rainfall Product. Remote Sens. 2023, 15, 1013. [Google Scholar] [CrossRef]
- Su, J.; Wang, X.; Ren, W.; Liu, W. Decomposing precipitation biases into frequency and intensity components: Comparative analysis of IMERG and ERA5-Land over the Tibetan Plateau. Atmos. Res. 2025, 326, 108320. [Google Scholar] [CrossRef]
- Bandhauer, M.; Isotta, F.; Lakatos, M.; Lussana, C.; Båserud, L.; Izsák, B.; Szentes, O.; Tveito, O.E.; Frei, C. Evaluation of daily precipitation analyses in E-OBS (v19.0e) and ERA5 by comparison to regional high-resolution datasets in European regions. Int. J. Climatol. 2022, 42, 727–747. [Google Scholar] [CrossRef]
- Zhang, W.; Di, Z.; Liu, J.; Zhang, S.; Liu, Z.; Wang, X.; Sun, H. Evaluation of Five Satellite-Based Precipitation Products for Extreme Rainfall Estimations over the Qinghai-Tibet Plateau. Remote Sens. 2023, 15, 5379. [Google Scholar] [CrossRef]
- Derin, Y.; Kirstetter, P.-E.; Brauer, N.; Gourley, J.J.; Wang, J. Evaluation of IMERG Satellite Precipitation over the Land–Coast–Ocean Continuum. Part II: Quantification. J. Hydrometeorol. 2022, 23, 1297–1314. [Google Scholar] [CrossRef]












| Station ID | Station Name | Location Type | Height | Mean | Median | Std Dev | Daily Max | Annual Maxima |
|---|---|---|---|---|---|---|---|---|
| 175 | Phoenix Park | Inland | 48 | 2.1 | 0.3 | 4.27 | 45.2 | 32.74 |
| 275 | Mace head | Coastal | 21 | 3.08 | 1 | 4.92 | 55.2 | 38.15 |
| 375 | Oak Park | Inland | 62 | 2.36 | 0.3 | 4.41 | 79.6 | 39.97 |
| 518 | Shannon Airport | Inland | 15 | 2.96 | 0.8 | 4.69 | 48.4 | 33.68 |
| 532 | Dublin Airport | Inland | 71 | 2.12 | 0.2 | 4.47 | 45.4 | 33.11 |
| 575 | Moore Park | Inland | 46 | 2.97 | 0.6 | 5.2 | 46.3 | 33.00 |
| 675 | Ballyhaise | Inland | 78 | 2.86 | 0.7 | 4.76 | 49.9 | 32.98 |
| 775 | Sherkin Island | Coastal | 21 | 3.14 | 0.7 | 5.44 | 51.7 | 34.40 |
| 875 | Mullingar | Inland | 101 | 2.83 | 0.6 | 4.88 | 57.1 | 38.41 |
| 1075 | Roches Point | Coastal | 40 | 2.94 | 0.4 | 5.48 | 82 | 49.14 |
| 1175 | Newport | Coastal | 22 | 4.84 | 2.1 | 6.8 | 50.4 | 40.49 |
| 1275 | Markree | Inland | 34 | 3.55 | 1.4 | 5.17 | 70.8 | 37.81 |
| 1375 | Dunsany | Inland | 83 | 2.39 | 0.4 | 4.48 | 62.5 | 42.66 |
| 1475 | Gurteen | Inland | 75 | 2.6 | 0.7 | 4.37 | 72.9 | 38.53 |
| 1575 | Malin Head | Coastal | 20 | 3.25 | 1.3 | 4.96 | 47.4 | 30.31 |
| 1775 | Johnstown Castle | Inland | 62 | 2.9 | 0.3 | 5.2 | 83.8 | 43.69 |
| 1875 | Athenry | Inland | 40 | 3.49 | 1.15 | 5.26 | 44.1 | 33.99 |
| 1975 | Mt Dillon | Inland | 39 | 3.02 | 0.8 | 4.77 | 39.7 | 33.09 |
| 2075 | Finner | Coastal | 33 | 3.48 | 1.3 | 5.32 | 45.8 | 31.66 |
| 2175 | Claremorris | Inland | 68 | 3.69 | 1.4 | 5.53 | 42.6 | 32.66 |
| 2275 | Valentia Observatory | Coastal | 24 | 4.61 | 1.9 | 7 | 105.7 | 53.59 |
| 2375 | Belmullet | Coastal | 9 | 3.61 | 1.6 | 5.05 | 60.9 | 39.04 |
| 3723 | Casement | Inland | 91 | 2.15 | 0.3 | 4.26 | 55.2 | 34.50 |
| 3904 | Cork Airport | Inland | 155 | 3.54 | 0.7 | 6.23 | 81.8 | 39.28 |
| 4935 | Knock Airport | Inland | 201 | 3.95 | 1.6 | 5.6 | 55.7 | 41.16 |
| Rainfall Class | Light Rainfall | Moderate Rainfall | Heavy Rainfall | Very Heavy Rainfall |
|---|---|---|---|---|
| 1 h Rainfall (mm) | 0.01 < R ≤ 2.5 | 2.5 < R ≤ 5 | 5 < R ≤ 10 | >10 |
| 24 h Rainfall (mm) | 0.01< R ≤ 10.0 | 10 < R ≤ 35.5 | 35.5 < R ≤ 64.4 | >64.4 |
| Performance Metric | Measure | Equation | |
|---|---|---|---|
| Contingency of Satellite Estimates | Probability of Detection (POD) | (1) | |
| Critical Success Index (CSI) | (2) | ||
| False Alarm Ratio (FAR) | (3) | ||
| Bias and error of Satellite Estimates | Mean Absolute Error (MAE) | (4) | |
| Root Mean Squared Error (RMSE) | (5) | ||
| Relative Bias (BIAS) | (6) | ||
| Consistency between the Rain-Gauge and Satellite Estimates | Correlation Coefficient (CC) | (7) | |
| Season | Product | POD | CSI | FAR |
|---|---|---|---|---|
| Mean ± Std | Mean ± Std | Mean ± Std | ||
| Spring | IMERG-Early | 0.86 ± 0.04 | 0.67 ± 0.03 | 0.24 ± 0.04 |
| IMERG-Late | 0.89 ± 0.04 | 0.67 ± 0.04 | 0.27 ± 0.05 | |
| IMERG-Final | 0.89 ± 0.04 | 0.68 ± 0.03 | 0.26 ± 0.05 | |
| ERA5 | 1.00 ± 0.00 | 0.67 ± 0.02 | 0.37 ± 0.00 | |
| Summer | IMERG-Early | 0.85 ± 0.06 | 0.67 ± 0.06 | 0.24 ± 0.07 |
| IMERG-Late | 0.89 ± 0.05 | 0.66 ± 0.05 | 0.27 ± 0.07 | |
| IMERG-Final | 0.89 ± 0.06 | 0.68 ± 0.05 | 0.25 ± 0.08 | |
| ERA5 | 1.00 ± 0.00 | 0.63 ± 0.05 | 0.34 ± 0.07 | |
| Autumn | IMERG-Early | 0.85 ± 0.06 | 0.72 ± 0.05 | 0.18 ± 0.05 |
| IMERG-Late | 0.85 ± 0.06 | 0.71 ± 0.05 | 0.19 ± 0.06 | |
| IMERG-Final | 0.88 ± 0.05 | 0.73 ± 0.05 | 0.18 ± 0.05 | |
| ERA5 | 1.00 ± 0.00 | 0.73 ± 0.07 | 0.29 ± 0.04 | |
| Winter | IMERG-Early | 0.81 ± 0.06 | 0.69 ± 0.08 | 0.19 ± 0.06 |
| IMERG-Late | 0.82 ± 0.06 | 0.70 ± 0.08 | 0.18 ± 0.06 | |
| IMERG-Final | 0.83 ± 0.06 | 0.70 ± 0.09 | 0.19 ± 0.07 | |
| ERA5 | 1.00 ± 0.00 | 0.88 ± 0.00 | 0.13 ± 0.05 |
Disclaimer/Publisher’s Note: The statements, opinions and data contained in all publications are solely those of the individual author(s) and contributor(s) and not of MDPI and/or the editor(s). MDPI and/or the editor(s) disclaim responsibility for any injury to people or property resulting from any ideas, methods, instructions or products referred to in the content. |
© 2025 by the authors. Licensee MDPI, Basel, Switzerland. This article is an open access article distributed under the terms and conditions of the Creative Commons Attribution (CC BY) license (https://creativecommons.org/licenses/by/4.0/).
Share and Cite
Mohammed, S.; Nasr, A.; Mahmoud, M. Comprehensive Assessment of GPM-IMERG and ERA5 Precipitation Products Across Ireland. Remote Sens. 2025, 17, 3154. https://doi.org/10.3390/rs17183154
Mohammed S, Nasr A, Mahmoud M. Comprehensive Assessment of GPM-IMERG and ERA5 Precipitation Products Across Ireland. Remote Sensing. 2025; 17(18):3154. https://doi.org/10.3390/rs17183154
Chicago/Turabian StyleMohammed, Safa, Ahmed Nasr, and Mohammed Mahmoud. 2025. "Comprehensive Assessment of GPM-IMERG and ERA5 Precipitation Products Across Ireland" Remote Sensing 17, no. 18: 3154. https://doi.org/10.3390/rs17183154
APA StyleMohammed, S., Nasr, A., & Mahmoud, M. (2025). Comprehensive Assessment of GPM-IMERG and ERA5 Precipitation Products Across Ireland. Remote Sensing, 17(18), 3154. https://doi.org/10.3390/rs17183154

