An Investigation of the Characteristics of the Mei–Yu Raindrop Size Distribution and the Limitations of Numerical Microphysical Parameterization
Abstract
1. Introduction
2. Study Case
3. Datasets, Model Experiments and Methods
3.1. Observational Datasets
3.2. Model Experiments
3.2.1. Model Experimental Design
3.2.2. Model Methods
3.3. Methods
4. Results
4.1. Test of the Parsivel Hourly Rainfall Rate
4.2. Simulated Precipitation
4.3. Simulated Raindrop Size Distribution and Microphysical Processes
4.3.1. Surface Raindrop Size Distribution
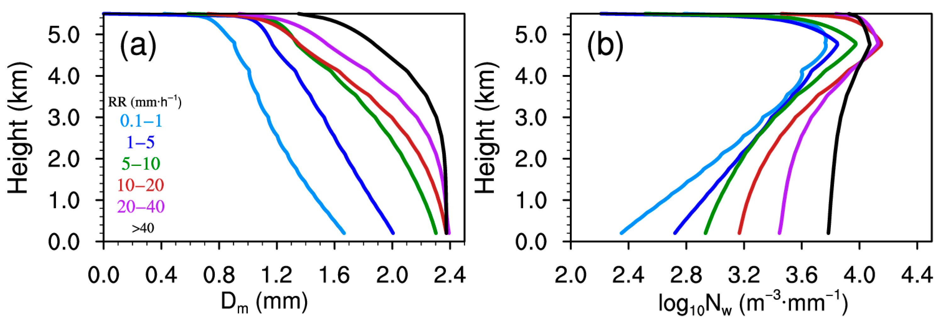
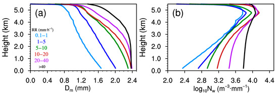
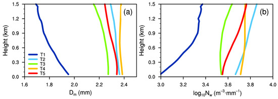
4.3.2. Vertical Raindrop Size Distribution
4.3.3. Microphysical Processes
4.3.4. Relationships Between the RSD and Surface Precipitation
5. Conclusions
6. Discussion
Author Contributions
Funding
Data Availability Statement
Acknowledgments
Conflicts of Interest
References
- Ren, S.; Han, X.; Yang, J.; Tang, S.; Zhang, Y.; Shan, T.; Liu, C. Global rainstorm disaster risk monitoring based on satellite remote sensing. J. Meteorol. Res. 2022, 36, 193–207. [Google Scholar] [CrossRef]
- Zhou, Y.; Peng, T.; Shi, R. Research progress on risk assessment of heavy rainfall and flood disasters in China. Torr. Rain Dis. 2019, 38, 494–501. (In Chinese) [Google Scholar]
- Ding, Y. A new chapter of Meiyu story: Misty rains stopped and extremes amplified. Natl. Sci. Rev. 2024, 11, nwae259. [Google Scholar] [CrossRef] [PubMed]
- Li, X.; Kawamura, R.; Ichiyanagi, K.; Yoshimura, K. Moisture sources and isotopic composition of a record-breaking heavy Meiyu-Baiu rainfall in southwestern Japan in early July 2020. Atmos. Res. 2023, 286, 106693. [Google Scholar] [CrossRef]
- Zheng, J.; Sun, D.; Liu, K.; Hao, Z.; Zhang, X.; Ge, Q. Variations of extreme Meiyu events and flood disasters over the mid-lower reaches of the Yangtze River in the past 300 years. J. Nat. Resour. 2016, 31, 1971–1983. [Google Scholar] [CrossRef]
- Seela, B.K.; Janapati, J.; Lin, P.L.; Wang, P.K.; Lee, M.T. Raindrop size distribution characteristics of summer and winter season rainfall over north Taiwan. J. Geophys. Res. Atmos. 2018, 123, 11602. [Google Scholar] [CrossRef]
- Wen, L.; Zhao, K.; Yang, Z.; Chen, H.; Huang, H.; Chen, G.; Yang, Z. Microphysics of stratiform andconvective precipitation during Meiyu season in Eastern China. J. Geophys. Res. Atmos. 2020, 125, e2020JD032677. [Google Scholar] [CrossRef]
- Wu, D.; Zhang, F.; Chen, X.; Ryzhkov, A.; Zhao, K.; Kumjian, M.R.; Chen, X.; Chan, P.W. Evaluation of Microphysics Schemes in Tropical Cyclones Using Polarimetric Radar Observations: Convective Precipitation in an Outer Rainband. Mon. Weather Rev. 2021, 149, 1055–1068. [Google Scholar] [CrossRef]
- Basivi, R. Raindrop size distribution (DSD) during the passage of tropical cyclone Nivar: Effect of measuring principle and wind on DSDs and retrieved rain integral and polarimetric parameters from impact and laser disdrometers. Atmos. Meas. Tech. 2022, 15, 6705. [Google Scholar] [CrossRef]
- Suh, S.H.; Kim, H.J.; You, C.H.; Lee, D.L. Raindrop size distribution of rainfall system indirectly affected by Typhoon Kong-Rey (2018) passed through the southern parts of Korea. Atmos. Res. 2021, 257, 105561. [Google Scholar] [CrossRef]
- Sumesh, R.K.; Resmi, E.A.; Unnikrishnan, C.K.; Jash, D.; Ramachandran, K.K. Signatures of shallow and deep clouds inferred from precipitation microphysics over windward side of Western Ghats. J. Geophys. Res. Atmos. 2021, 126, e2020JD034312. [Google Scholar] [CrossRef]
- Bringi, V.N.; Chandrasekar, V.; Hubbert, J.; Gorgucci, E.; Randeu, W.L.; Schoenhuber, M. Raindrop size distribution in different climatic regimes from disdrometer and dual-polarized radar analysis. J. Atmos. Sci. 2003, 60, 354–365. [Google Scholar] [CrossRef]
- Bang, W.; Lee, G.; Ryzhkov, A.; Schuur, T.; Lim, K.S.S. Comparison of microphysical characteristics of rain between the Southern Korean Peninsula and Oklahoma using two-dimensional video disdrometer data. J. Hydrometeorol. 2020, 21, 2675–2690. [Google Scholar] [CrossRef]
- Han, Y.; Guo, J.; Li, H.; Chen, T.; Guo, X.; Li, J.; Liu, L.; Shi, L. Investigation of raindrop size distribution and its potential influential factors during warm season over China. Atmos. Res. 2022, 275, 106248. [Google Scholar] [CrossRef]
- Chen, B.; Yang, J.; Pu, J.; Liu, H. Statistical characteristics of raindrop size distribution in the Meiyu season observed in eastern China. J. Meteorol. Soc. Jpn. 2013, 91, 215–227. [Google Scholar] [CrossRef]
- Fu, Z.; Dong, X.; Zhou, L.; Cui, W.; Wang, J.; Wan, R.; Leng, L.; Xi, B. Statistical characteristics of raindrop size distributions and parameters in Central China during the Meiyu seasons. J. Geophys. Res. Atmos. 2020, 125, e2019JD031954. [Google Scholar] [CrossRef]
- Zhu, Y.; Liu, Y. Advances in measurement techniques and statistics features of surface raindrop size distribution. Adv. Earth Sci. 2013, 28, 685–694. (In Chinese) [Google Scholar]
- Gao, W.; Liu, L.; Li, J.; Lu, C. The microphysical properties of convective precipitation over the Tibetan Plateau by a subkilometer resolution cloud-resolving simulation. J. Geophys. Res. Atmos. 2018, 123, 3212–3227. [Google Scholar] [CrossRef]
- Wang, M.; Zhao, K.; Pan, Y.; Xue, M. Evaluation of simulated drop size distributions and microphysical processes using polarimetric radar observations for landfalling Typhoon Matmo (2014). J. Geophys. Res. Atmos. 2020, 125, e2019JD031527. [Google Scholar] [CrossRef]
- Wang, P.; Qing, J.; Xie, L.; Jia, S.; Ma, R.; Yang, X. Design and implementation of multi-element integration platform based on tianqing data. Meteorol. Environ. Res. 2022, 13, 41–42. [Google Scholar] [CrossRef]
- Tokay, A.; Wolff, D.B.; Petersen, W.A. Evaluation of the new version of the laser-optical disdrometer, OTT Parsivel 2. J. Atmos. Ocean. Technol. 2014, 31, 1276–1288. [Google Scholar] [CrossRef]
- Liu, X.; He, B.; Zhao, S.; Hu, S.; Liu, L. Comparative measurement of rainfall with a precipitation micro-physical characteristics sensor, a 2D video disdrometer, an OTT PARSIVEL disdrometer, and a rain gauge. Atmos. Res. 2019, 229, 100–114. [Google Scholar] [CrossRef]
- Atlas, D.; Srivastava, R.C.; Sekhon, R.S. Doppler radar characteristics of precipitation at vertical incidence. Rev. Geophys. 1973, 11, 1–35. [Google Scholar] [CrossRef]
- Tokay, A.; Bashor, P.G. An experimental study of small-scale variability of raindrop size distribution. J. Appl. Meteorol. Climatol. 2010, 49, 2348–2365. [Google Scholar] [CrossRef]
- Zhou, L.; Fu, Z.; Xu, G.; Wang, J.; Wang, B. Vertical structures of raindrop size distributions over the middle and lower reaches of Yangtze River during the Meiyu period in 2020. Torr. Rain Dis. 2023, 42, 455–466. (In Chinese) [Google Scholar]
- Chen, G.; Zhao, K.; Wen, L.; Wang, M.; Huang, H.; Wang, M.; Yang, Z.; Zhang, G.; Zhang, P.; Lee, W.C. Microphysical characteristics of three convective events with intense rainfall observed by polarimetric radar and disdrometer in Eastern China. Remote Sens. 2019, 11, 2004. [Google Scholar] [CrossRef]
- Ji, L.; Chen, H.; Li, L.; Chen, B.; Xiao, X.; Chen, M.; Zhang, G. Raindrop size distributions and rain characteristics observed by a PARSIVEL disdrometer in Beijing, Northern China. Remote Sens. 2019, 11, 1479. [Google Scholar] [CrossRef]
- Cao, Q.; Zhang, G. Errors in estimating raindrop size distribution parameters employing disdrometer and simulated raindrop spectra. J. Appl. Meteorol. Climatol. 2009, 48, 406–425. [Google Scholar] [CrossRef]
- Thurai, M.; Bringi, V.N.; Petersen, W.A.; Gatlin, P.N. Drop shapes and fall speeds in rain: Two contrasting examples. J. Appl. Meteorol. Climatol. 2013, 52, 2567–2581. [Google Scholar] [CrossRef]
- Morrison, H.; Thompson, G.; Tatarskii, V. Impact of cloud microphysics on the development of trailing stratiform precipitation in a simulated squall line: Comparison of one-and two-moment schemes. Mon. Weather Rev. 2009, 137, 991–1007. [Google Scholar] [CrossRef]
- Kain, J.S. The Kain-Fritsch convective parameterization: An update. J. Appl. Meteorol. 2004, 43, 170–181. [Google Scholar] [CrossRef]
- Mlawer, E.J.; Taubman, S.J.; Brown, P.D.; Iacono, M.J.; Clough, S.A. Radiative transfer for inhomogeneous atmospheres: RRTM, a validated correlated-k model for the longwave. J. Geophys. Res. Atmos. 1997, 102, 16663–16682. [Google Scholar] [CrossRef]
- Dudhia, J. Numerical study of convection observed during the winter monsoon experiment using a mesoscale two-dimensional model. J. Atmos. Sci. 1989, 46, 3077–3107. [Google Scholar] [CrossRef]
- Pleim, J.E. A combined local and nonlocal closure model for the atmospheric boundary layer. Part I: Model description and testing. J. Appl. Meteorol. Climatol. 2007, 46, 1383–1395. [Google Scholar] [CrossRef]
- Chen, F.; Dudhia, J. Coupling an Advanced Land Surface-Hydrology Model with the Penn State-NCAR MM5 Modeling System. Part II: Preliminary Model Validation. Mon. Weather Rev. 2001, 129, 587–604. [Google Scholar] [CrossRef]
- Hersbach, H.; Bell, B.; Berrisford, P.; Hirahara, S.; Horányi, A.; Muñoz-Sabater, J.; Nicolas, J.; Peubey, C.; Radu, R.; Schepers, D.; et al. The ERA5 global reanalysis. Q. J. R. Meteorol. Soc. 2020, 146, 1999–2049. [Google Scholar] [CrossRef]
- Pardo, L.H.; Machado, L.A.; Cecchini, M.A. Cloud-top microphysics evolution in the Gamma phase space from a modeling perspective. Atmos. Chem. Phys. Discuss. 2018, 2018, 1–22. [Google Scholar] [CrossRef]
- Yang, Q.; Dai, Q.; Han, D.; Chen, Y.; Zhang, S. Sensitivity analysis of raindrop size distribution parameterizations in WRF rainfall simulation. Atmos. Res. 2019, 228, 1–13. [Google Scholar] [CrossRef]
- Chen, X.; Liu, X. Comparison of the Morrison and WDM6 Microphysics Schemes in the WRF Model for a Convective Precipitation Event in Guangdong, China, Through the Analysis of Polarimetric Radar Data. Remote Sens. 2024, 16, 3749. [Google Scholar] [CrossRef]
- Geoffroy, O.; Siebesma, A.P.; Burnet, F. Characteristics of the raindrop distributions in RICO shallow cumulus. Atmos. Chem. Phys. 2014, 14, 10897–10909. [Google Scholar] [CrossRef]
- Song, C.; Zhou, Y.; Wu, Z. Vertical Profiles of Raindrop Size Distribution Observed by Micro Rain Radar. J. Appl. Meteor. Sci. 2019, 30, 479–490. (In Chinese) [Google Scholar]
- Zhang, A.; Chen, Y.; Zhou, S.; Chen, S.; Li, W. Precipitation microphysics during the extreme meiyu period in 2020. Remote Sens. 2022, 14, 1651. [Google Scholar] [CrossRef]
- Morrison, H.; Milbrandt, J. Comparison of two-moment bulk microphysics schemes in idealized supercell thunderstorm simulations. Mon. Weather Rev. 2011, 139, 1103–1130. [Google Scholar] [CrossRef]
- Zhou, A.; Zhao, K.; Lee, W.C.; Ding, Z.; Lu, Y.; Huang, H. Evaluation and modification of microphysics schemes on the cold pool evolution for a simulated bow echo in southeast China. J. Geophys. Res. Atmos. 2022, 127, e2021JD035262. [Google Scholar] [CrossRef]













| Symbol | Description |
|---|---|
| ATcr | Autoconversion from cloud droplets to rain drops |
| CLcr | Accretion of cloud droplets by rain drops |
| MLir | Melting of ice hydrometeors (ice, snow and graupel) to rain drops |
| CLri | Accretion of rain drops by ice hydrometeors |
| VDrv | Evaporation of rain drops to water vapor |
| AGrr | Self-collection and breakup of rain drops |
Disclaimer/Publisher’s Note: The statements, opinions and data contained in all publications are solely those of the individual author(s) and contributor(s) and not of MDPI and/or the editor(s). MDPI and/or the editor(s) disclaim responsibility for any injury to people or property resulting from any ideas, methods, instructions or products referred to in the content. |
© 2025 by the authors. Licensee MDPI, Basel, Switzerland. This article is an open access article distributed under the terms and conditions of the Creative Commons Attribution (CC BY) license (https://creativecommons.org/licenses/by/4.0/).
Share and Cite
Kang, Z.; Zhou, Z.; Guo, Y.; Sun, Y.; Liu, L. An Investigation of the Characteristics of the Mei–Yu Raindrop Size Distribution and the Limitations of Numerical Microphysical Parameterization. Remote Sens. 2025, 17, 2459. https://doi.org/10.3390/rs17142459
Kang Z, Zhou Z, Guo Y, Sun Y, Liu L. An Investigation of the Characteristics of the Mei–Yu Raindrop Size Distribution and the Limitations of Numerical Microphysical Parameterization. Remote Sensing. 2025; 17(14):2459. https://doi.org/10.3390/rs17142459
Chicago/Turabian StyleKang, Zhaoping, Zhimin Zhou, Yinglian Guo, Yuting Sun, and Lin Liu. 2025. "An Investigation of the Characteristics of the Mei–Yu Raindrop Size Distribution and the Limitations of Numerical Microphysical Parameterization" Remote Sensing 17, no. 14: 2459. https://doi.org/10.3390/rs17142459
APA StyleKang, Z., Zhou, Z., Guo, Y., Sun, Y., & Liu, L. (2025). An Investigation of the Characteristics of the Mei–Yu Raindrop Size Distribution and the Limitations of Numerical Microphysical Parameterization. Remote Sensing, 17(14), 2459. https://doi.org/10.3390/rs17142459

