Noise Analysis for Unbiased Tree Diameter Estimation from Personal Laser Scanning Data
Abstract
1. Introduction
2. Materials and Methods
2.1. Research Area
2.2. Data Acquisition
2.3. Raw Data Post-Processing and Tree Cross-Sections Extraction
2.4. Noise Characteristics
- Center coordinates of the cross-section were defined as the coordinates of the center of the circle recognized with RANSAC technique in the TLS point structure representing the cross-section’s perimeter returns. Within the RANSAC procedure, 1000 iterations of fitting the circle to the random subsample were used, searching for circle with the radius limited to the closed interval [0.025 m, 0.5 m]; points within 0.02 from the fitted circle were considered inliers;
- Positions of all cross-section perimeter points in TLS data were transformed to polar coordinates, i.e., the angle θ and the radial distance r. The angle from the cross-section center was calculated as the four-quadrant inverse tangent. The radial distance was calculated as the Euclidean distance between the point from the cross-section center point. The LOESS method was used to smooth the radial distances according to their respective azimuth (Figure 3); to ensure the required continuity of the smoothed curve, three repetitions of the point sequence were concatenated, and the smoothed values of the middle repetition were used. The resulting curve was considered a model of the cross-section perimeter.
- Scanner position at the time of the point return was calculated from the trajectory record using cubic interpolation based on the recorded GPS time;
- The Euclidean distance di to the respective scanner position was calculated as the norm of a difference vector between the coordinates of the return and the actual scanner position:where xr, yr are the coordinates of the laser return; xs, ys are the coordinates of the respective scanner position;
- 3.
- The point’s residual ei was defined as the radial distance of the point from the smoothed perimeter model, i.e., the distance of the point to the LOESS curve in the same azimuth from the cross-section center as the actual point. To calculate this, the radial distance ri between the point and the cross-section center was taken as:with xc, yc standing for the coordinates of the cross-section center, and the angle θ of the point respective to the cross-section center:were calculated. The residual ei was calculated as the difference between the radial distance of the point and the radial distance of the stem perimeter model in the given angle;
- 4.
- The incidence angle αi defined as the angle between the vectors scanner–cross section center and point–cross section center was calculated by:
2.5. Analyzing the Effect of Scan Lines
- A circle was detected using all points of the cross-section point set with the RANSAC technique. The circle center and radius were recorded;
- For each scan line that contained more than 10 points in the evaluated cross-section point set, a circle was fitted to all points acquired from the given scan line. The center point coordinates, and the radius of the fitted circle were recorded. Differences in circle radius and center coordinates from the circle parameters fitted to all cross-section points in previous step were calculated and recorded;
- For each scan line, a simulated scan line point set was created by selecting random subsamples from all cross-section points. This simulated point set matched the real point set in both quantity and angular range of the points across the cross-section. Perimeter points from individual scan lines covered different angular ranges, resulting in varying cross-section perimeter coverage. To standardize this, we categorized the perimeter points of each cross-section into eight angular sections based on the azimuth of individual points from the cross-section center. To maintain the original point counts and angular range of the scan line points, the original point counts in each of the eight angular sections were preserved in the simulated point set;
- The simulated scan line point set, mirroring the quantity and range of points as the real scan line point set, was used to fit a circle. The coordinates of the center point and the radius of the fitted circle were recorded, and differences from the circle parameters fitted to all cross-section points in step 1, were calculated, similar to the original scan line points (step 2);
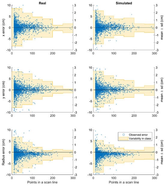
- Circles fitted to point sets from individual scan lines exhibited variations compared to those fitted from all cross-section points. Generally, circles fitted on scan lines with fewer points on the cross-section perimeter showed increased variation in both position and radius. To analyze the effect of point count acquired from individual lines, scan line point sets were classified into six categories, 10–50 points, 50–100 points, … 250–300 points. Mean errors and standard deviations of errors in fitted circle position and radius were evaluated separately within these point count classes.
2.6. RANSAC Parameters
3. Results
3.1. Distribution of Residuals
3.2. Vertical Distribution of Residuals
3.3. Residuals According to Scanning Distance
3.4. Residuals According to Incidence Angle
3.5. Residuals According to Cross-Section Diameter
3.6. The Quality of SLAM Scan Alignment
3.7. RANSAC Parameters
4. Discussion
5. Conclusions
Author Contributions
Funding
Data Availability Statement
Conflicts of Interest
References
- FAO. Voluntary Guidelines on National Forest Monitoring; Food and Agriculture Organization of the United Nations: Rome, Italy, 2017; ISBN 9789251096192. [Google Scholar]
- Díaz, S.; Pascual, U.; Stenseke, M.; Martín-López, B.; Watson, R.T.; Molnár, Z.; Hill, R.; Chan, K.M.A.; Baste, I.A.; Brauman, K.A.; et al. Assessing Nature’s Contributions to People. Science 2018, 359, 270–272. [Google Scholar] [CrossRef] [PubMed]
- Gamfeldt, L.; Snäll, T.; Bagchi, R.; Jonsson, M.; Gustafsson, L.; Kjellander, P.; Ruiz-Jaen, M.C.; Fröberg, M.; Stendahl, J.; Philipson, C.D.; et al. Higher Levels of Multiple Ecosystem Services Are Found in Forests with More Tree Species. Nat. Commun. 2013, 4, 1340. [Google Scholar] [CrossRef] [PubMed]
- Coops, N.C.; Tompalski, P.; Goodbody, T.R.H.; Queinnec, M.; Luther, J.E.; Bolton, D.K.; White, J.C.; Wulder, M.A.; van Lier, O.R.; Hermosilla, T. Modelling Lidar-Derived Estimates of Forest Attributes over Space and Time: A Review of Approaches and Future Trends. Remote Sens. Environ. 2021, 260, 112477. [Google Scholar] [CrossRef]
- Iglhaut, J.; Cabo, C.; Puliti, S.; Piermattei, L.; O’Connor, J.; Rosette, J. Structure from Motion Photogrammetry in Forestry: A Review. Curr. For. Rep. 2019, 5, 155–168. [Google Scholar] [CrossRef]
- Kükenbrink, D.; Marty, M.; Bösch, R.; Ginzler, C. Benchmarking Laser Scanning and Terrestrial Photogrammetry to Extract Forest Inventory Parameters in a Complex Temperate Forest. Int. J. Appl. Earth Obs. Geoinf. 2022, 113, 1569–8432. [Google Scholar] [CrossRef]
- McGlade, J.; Wallace, L.; Reinke, K.; Jones, S. The Potential of Low-Cost 3D Imaging Technologies for Forestry Applications: Setting a Research Agenda for Low-Cost Remote Sensing Inventory Tasks. Forests 2022, 13, 204. [Google Scholar] [CrossRef]
- Bruggisser, M.; Hollaus, M.; Otepka, J.; Pfeifer, N. Influence of ULS Acquisition Characteristics on Tree Stem Parameter Estimation. ISPRS J. Photogramm. Remote Sens. 2020, 168, 28–40. [Google Scholar] [CrossRef]
- Hyyppä, E.; Hyyppä, J.; Hakala, T.; Kukko, A.; Wulder, M.A.; White, J.C.; Pyörälä, J.; Yu, X.; Wang, Y.; Virtanen, J.P.; et al. Under-Canopy UAV Laser Scanning for Accurate Forest Field Measurements. ISPRS J. Photogramm. Remote Sens. 2020, 164, 41–60. [Google Scholar] [CrossRef]
- Liang, X.; Kankare, V.; Hyyppä, J.; Wang, Y.; Kukko, A.; Haggrén, H.; Yu, X.; Kaartinen, H.; Jaakkola, A.; Guan, F.; et al. Terrestrial Laser Scanning in Forest Inventories. ISPRS J. Photogramm. Remote Sens. 2016, 115, 63–77. [Google Scholar] [CrossRef]
- Liang, X.; Hyyppä, J.; Kaartinen, H.; Lehtomäki, M.; Pyörälä, J.; Pfeifer, N.; Holopainen, M.; Brolly, G.; Francesco, P.; Hackenberg, J.; et al. International Benchmarking of Terrestrial Laser Scanning Approaches for Forest Inventories. ISPRS J. Photogramm. Remote Sens. 2018, 144, 137–179. [Google Scholar] [CrossRef]
- Calders, K.; Adams, J.; Armston, J.; Bartholomeus, H.; Bauwens, S.; Bentley, L.P.; Chave, J.; Danson, F.M.; Demol, M.; Disney, M.; et al. Terrestrial Laser Scanning in Forest Ecology: Expanding the Horizon. Remote Sens. Environ. 2020, 251, 112102. [Google Scholar] [CrossRef]
- Wilkes, P.; Lau, A.; Disney, M.; Calders, K.; Burt, A.; de Tanago, J.G.; Bartholomeus, H.; Brede, B.; Herold, M. Data Acquisition Considerations for Terrestrial Laser Scanning of Forest Plots. Remote Sens. Environ. 2017, 196, 140–153. [Google Scholar] [CrossRef]
- Bogdanovich, E.; Perez-Priego, O.; El-Madany, T.S.; Guderle, M.; Pacheco-Labrador, J.; Levick, S.R.; Moreno, G.; Carrara, A.; Pilar Martín, M.; Migliavacca, M. Using Terrestrial Laser Scanning for Characterizing Tree Structural Parameters and Their Changes under Different Management in a Mediterranean Open Woodland. For. Ecol. Manag. 2021, 486, 118945. [Google Scholar] [CrossRef]
- Wang, D.; Liang, X.; Mofack, G.I.; Martin-Ducup, O. Individual Tree Extraction from Terrestrial Laser Scanning Data via Graph Pathing. For. Ecosyst. 2021, 8, 67. [Google Scholar] [CrossRef]
- Molina-Valero, J.A.; Martínez-Calvo, A.; Ginzo Villamayor, M.J.; Novo Pérez, M.A.; Álvarez-González, J.G.; Montes, F.; Pérez-Cruzado, C. Operationalizing the Use of TLS in Forest Inventories: The R Package FORTLS. Environ. Model. Softw. 2022, 150, 105337. [Google Scholar] [CrossRef]
- Bauwens, S.; Bartholomeus, H.; Calders, K.; Lejeune, P. Forest Inventory with Terrestrial LiDAR: A Comparison of Static and Hand-Held Mobile Laser Scanning. Forests 2016, 7, 127. [Google Scholar] [CrossRef]
- Gollob, C.; Ritter, T.; Wassermann, C.; Nothdurft, A. Influence of Scanner Position and Plot Size on the Accuracy of Tree Detection and Diameter Estimation Using Terrestrial Laser Scanning on Forest Inventory Plots. Remote Sens. 2019, 11, 1602. [Google Scholar] [CrossRef]
- Chudá, J.; Výbošťok, J.; Tomaštík, J.; Chudý, F.; Tunák, D.; Skladan, M.; Tuček, J.; Mokroš, M. Prompt Mapping Tree Positions with Handheld Mobile Scanners Based on SLAM Technology. Land 2024, 13, 93. [Google Scholar] [CrossRef]
- Solares-Canal, A.; Alonso, L.; Picos, J.; Armesto, J. Automatic Tree Detection and Attribute Characterization Using Portable Terrestrial Lidar. Trees–Struct. Funct. 2023, 37, 963–979. [Google Scholar] [CrossRef]
- Chen, S.; Liu, H.; Feng, Z.; Shen, C.; Chen, P. Applicability of Personal Laser Scanning in Forestry Inventory. PLoS ONE 2019, 14, e0211392. [Google Scholar] [CrossRef]
- Mokroš, M.; Mikita, T.; Singh, A.; Tomaštík, J.; Chudá, J.; Wężyk, P.; Kuželka, K.; Surový, P.; Klimánek, M.; Zięba-Kulawik, K.; et al. Novel Low-Cost Mobile Mapping Systems for Forest Inventories as Terrestrial Laser Scanning Alternatives. Int. J. Appl. Earth Obs. Geoinf. 2021, 104, 102512. [Google Scholar] [CrossRef]
- Muhojoki, J.; Hakala, T.; Kukko, A.; Kaartinen, H.; Hyyppä, J. Comparing Positioning Accuracy of Mobile Laser Scanning Systems under a Forest Canopy. Sci. Remote Sens. 2024, 9, 100121. [Google Scholar] [CrossRef]
- Hoffrén, R.; Lamelas, M.T.; Riva, J. de la Evaluation of Handheld Mobile Laser Scanner Systems for the Definition of Fuel Types in Structurally Complex Mediterranean Forest Stands. Fire 2024, 7, 59. [Google Scholar] [CrossRef]
- Balenović, I.; Liang, X.; Jurjević, L.; Hyyppä, J.; Seletković, A.; Kukko, A. Hand-Held Personal Laser Scanning–Current Status and Perspectives for Forest Inventory Application. Croat. J. For. Eng. 2020, 42, 165–183. [Google Scholar] [CrossRef]
- Stal, C.; Verbeurgt, J.; De Sloover, L.; De Wulf, A. Assessment of Handheld Mobile Terrestrial Laser Scanning for Estimating Tree Parameters. J. For. Res. 2021, 32, 1503–1513. [Google Scholar] [CrossRef]
- Oveland, I.; Hauglin, M.; Giannetti, F.; Kjørsvik, N.S.; Gobakken, T. Comparing Three Different Ground Based Laser Scanning Methods for Tree Stem Detection. Remote Sens. 2018, 10, 538. [Google Scholar] [CrossRef]
- Del Perugia, B.; Giannetti, F.; Chirici, G.; Travaglini, D. Influence of Scan Density on the Estimation of Single-Tree Attributes by Hand-Held Mobile Laser Scanning. Forests 2019, 10, 277. [Google Scholar] [CrossRef]
- Hyyppä, E.; Yu, X.; Kaartinen, H.; Hakala, T.; Kukko, A.; Vastaranta, M.; Hyyppä, J. Comparison of Backpack, Handheld, under-Canopy UAV, and above-Canopy UAV Laser Scanning for Field Reference Data Collection in Boreal Forests. Remote Sens. 2020, 12, 3327. [Google Scholar] [CrossRef]
- Giannetti, F.; Puletti, N.; Quatrini, V.; Travaglini, D.; Bottalico, F.; Corona, P.; Chirici, G. Integrating Terrestrial and Airborne Laser Scanning for the Assessment of Single-Tree Attributes in Mediterranean Forest Stands. Eur. J. Remote Sens. 2018, 51, 795–807. [Google Scholar] [CrossRef]
- Liu, L.; Zhang, A.; Xiao, S.; Hu, S.; He, N.; Pang, H.; Zhang, X.; Yang, S. Single Tree Segmentation and Diameter at Breast Height Estimation with Mobile LiDAR. IEEE Access 2021, 9, 24314–24325. [Google Scholar] [CrossRef]
- Ahmed, M.F.; Masood, K.; Fremont, V.; Fantoni, I. Active SLAM: A Review on Last Decade. Sensors 2023, 23, 8097. [Google Scholar] [CrossRef] [PubMed]
- Tang, J.; Chen, Y.; Kukko, A.; Kaartinen, H.; Jaakkola, A.; Khoramshahi, E.; Hakala, T.; Hyyppä, J.; Holopainen, M.; Hyyppä, H. SLAM-Aided Stem Mapping for Forest Inventory with Small-Footprint Mobile LiDAR. Forests 2015, 6, 4588–4606. [Google Scholar] [CrossRef]
- Di Stefano, F.; Chiappini, S.; Gorreja, A.; Balestra, M.; Pierdicca, R. Mobile 3D Scan LiDAR: A Literature Review. Geomat. Nat. Hazards Risk 2021, 12, 2387–2429. [Google Scholar] [CrossRef]
- Liu, K.; Xiao, A.; Huang, J.; Cui, K.; Xing, Y.; Lu, S. D-LC-Nets: Robust Denoising and Loop Closing Networks for LiDAR SLAM in Complicated Circumstances with Noisy Point Clouds. In Proceedings of the IEEE International Conference on Intelligent Robots and Systems, Kyoto, Japan, 23–27 October 2022; pp. 12212–12218. [Google Scholar] [CrossRef]
- Gollob, C.; Ritter, T.; Nothdurft, A. Forest Inventory with Long Range and High-Speed Personal Laser Scanning (PLS) and Simultaneous Localization and Mapping (SLAM) Technology. Remote Sens. 2020, 12, 1509. [Google Scholar] [CrossRef]
- Fol, C.R.; Kükenbrink, D.; Rehush, N.; Murtiyoso, A.; Griess, V.C. Evaluating State-of-the-Art 3D Scanning Methods for Stem-Level Biodiversity Inventories in Forests. Int. J. Appl. Earth Obs. Geoinf. 2023, 122, 103396. [Google Scholar] [CrossRef]
- Kuželka, K.; Marušák, R.; Surový, P. Inventory of Close-to-Nature Forest Stands Using Terrestrial Mobile Laser Scanning. Int. J. Appl. Earth Obs. Geoinf. 2022, 115, 103104. [Google Scholar] [CrossRef]
- Cabo, C.; Ordoñez, C.; García-Cortés, S.; Martínez, J. An Algorithm for Automatic Detection of Pole-like Street Furniture Objects from Mobile Laser Scanner Point Clouds. ISPRS J. Photogramm. Remote Sens. 2014, 87, 47–56. [Google Scholar] [CrossRef]
- Trochta, J.; Kruček, M.; Vrška, T.; Král, K. 3D Forest: An Application for Descriptions of Three-Dimensional Forest Structures Using Terrestrial LiDAR. PLoS ONE 2017, 12, e0176871. [Google Scholar] [CrossRef] [PubMed]
- Nurunnabi, A.; Sadahiro, Y.; Lindenbergh, R. Robust Cylinder Fitting in Three-Dimensional Point Cloud Data. Int. Arch. Photogramm. Remote Sens. Spat. Inf. Sci.–ISPRS Arch. 2017, 42, 63–70. [Google Scholar] [CrossRef]
- Fischler, M.A.; Bolles, R.C. Random Sample Consensus. Commun. ACM 1981, 24, 381–395. [Google Scholar] [CrossRef]
- Puliti, S.; Breidenbach, J.; Astrup, R. Estimation of Forest Growing Stock Volume with UAV Laser Scanning Data: Can It Be Done without Field Data? Remote Sens. 2020, 12, 1245. [Google Scholar] [CrossRef]
- Singh, A.; Kushwaha, S.K.P.; Nandy, S.; Padalia, H. An Approach for Tree Volume Estimation Using RANSAC and RHT Algorithms from TLS Dataset. Appl. Geomat. 2022, 14, 785–794. [Google Scholar] [CrossRef]
- Su, Z.; Li, S.; Liu, H.; Liu, Y. Extracting Wood Point Cloud of Individual Trees Based on Geometric Features. IEEE Geosci. Remote Sens. Lett. 2019, 16, 1294–1298. [Google Scholar] [CrossRef]
- Enrique, P.; Herrero-Tejedor, T. Assessment of Tree Diameter Estimation Methods from Mobile Laser Scanning in a Historic Garden. Forests 2021, 12, 1013. [Google Scholar] [CrossRef]
- Kaijaluoto, R.; Kukko, A.; El Issaoui, A.; Hyyppä, J.; Kaartinen, H. Semantic Segmentation of Point Cloud Data Using Raw Laser Scanner Measurements and Deep Neural Networks. ISPRS Open J. Photogramm. Remote Sens. 2022, 3, 100011. [Google Scholar] [CrossRef]












| Species | Norway Spruce | European Beech | ||
|---|---|---|---|---|
| Plot | 1 | 2 | 3 | 4 |
| Tree count | 43 | 62 | 46 | 50 |
| DBH range (cm) | 32–64 | 21–62 | 32–56 | 33–66 |
| Mean DBH (cm) | 44 | 41 | 42 | 43 |
| Species | Plot | Residuals | Mean Residuals in Cross-Sections | ||
|---|---|---|---|---|---|
| Mean | SD | Mean | SD | ||
| Spruce | 1 | −0.38 (−0.39, −0.37) | 1.43 (1.42,1.44) | −0.39 (−0.41, −0.37) | 0.19 (0.18, 0.20) |
| 2 | −0.40 (−0.41, −040) | 1.51 (1.50, 1.51) | −0.41 (−0.43, −0.39) | 0.23 (0.22, 0.24) | |
| Beech | 3 | −0.46 (−0.47, −0.45) | 1.48 (1.47, 1.48) | −0.45 (−0.47, −0.43) | 0.18 (0.17, 0.20) |
| 4 | −0.43 (−0.44, −0.42) | 1.85 (1.84, 1.86) | −0.46 (−0.49, −0.42) | 0.38 (0.36, 0.31) | |
Disclaimer/Publisher’s Note: The statements, opinions and data contained in all publications are solely those of the individual author(s) and contributor(s) and not of MDPI and/or the editor(s). MDPI and/or the editor(s) disclaim responsibility for any injury to people or property resulting from any ideas, methods, instructions or products referred to in the content. |
© 2024 by the authors. Licensee MDPI, Basel, Switzerland. This article is an open access article distributed under the terms and conditions of the Creative Commons Attribution (CC BY) license (https://creativecommons.org/licenses/by/4.0/).
Share and Cite
Kuželka, K.; Surový, P. Noise Analysis for Unbiased Tree Diameter Estimation from Personal Laser Scanning Data. Remote Sens. 2024, 16, 1261. https://doi.org/10.3390/rs16071261
Kuželka K, Surový P. Noise Analysis for Unbiased Tree Diameter Estimation from Personal Laser Scanning Data. Remote Sensing. 2024; 16(7):1261. https://doi.org/10.3390/rs16071261
Chicago/Turabian StyleKuželka, Karel, and Peter Surový. 2024. "Noise Analysis for Unbiased Tree Diameter Estimation from Personal Laser Scanning Data" Remote Sensing 16, no. 7: 1261. https://doi.org/10.3390/rs16071261
APA StyleKuželka, K., & Surový, P. (2024). Noise Analysis for Unbiased Tree Diameter Estimation from Personal Laser Scanning Data. Remote Sensing, 16(7), 1261. https://doi.org/10.3390/rs16071261

