Improvement Method of Antenna Negative Sidelobes on Cross Beam Correlation Microwave Radiometer
Abstract
1. Introduction
2. Theoretical Analysis
3. Negative Sidelobes and Window Function Design
3.1. Sidelobes Distribution Characteristics of Mills Cross Array
3.2. Particle Swarm Optimization Algorithm
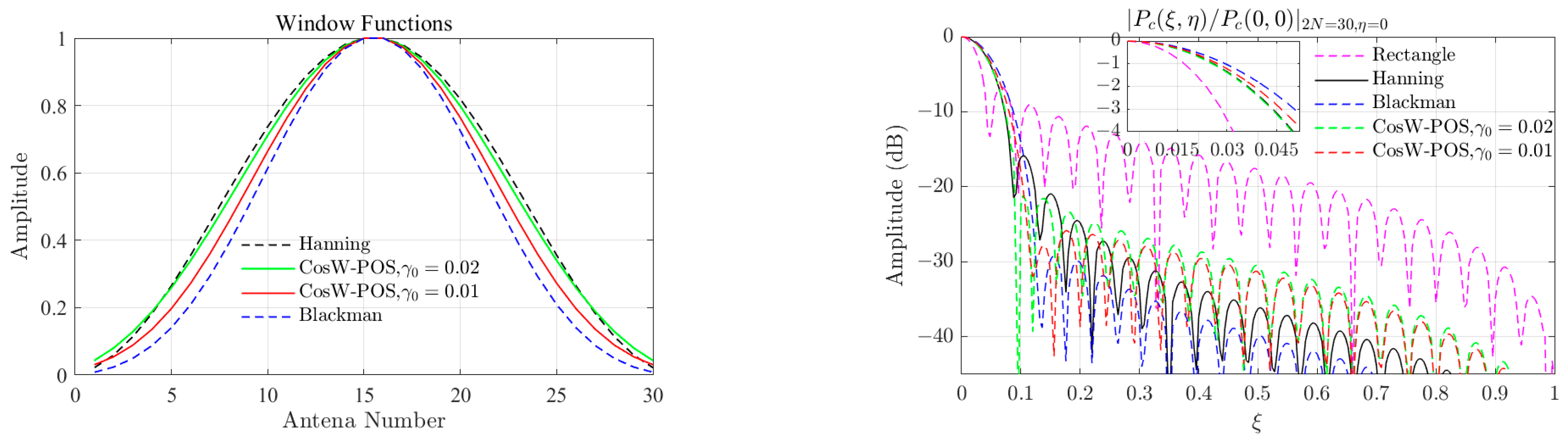
3.3. Window Function Optimization Based on Particle Swarm Algorithm
- (1)
- Particle swarm optimization weight function value: The PSO algorithm directly implements iterations on the weighting values [25], and the search space has a dimension of 2N, which is the length of the window function on each arm. This approach has a wider solution space but does not guarantee the sidelobe characteristics of the optimized pattern, such as sidelobe distribution spacing and sidelobe level decline characteristics, which may cause large tail lobes.
- (2)
- Particle swarm optimization of the combined term coefficients of the combined cosine window: The PSO algorithm iteratively combines term coefficients of the combined cosine window, and then calculates the weighting function value of the array using the updated combined term coefficients. The dimension of the search space is reduced from 2N to P + 1 (where P is the number of the terms in the function of the combined cosine window, generally 2 or 3). This optimization scheme can effectively leverage prior knowledge of the combined cosine window to expedite the optimization process. At the same time, the optimized window function can inherit the favorable performance of the combined cosine window, so the optimized pattern tends to exhibit good sidelobe performance.
- Step 1: Determine the value of the combined cosine term P and initialize the particle swarm using the existing P-order cosine window function according to the desired value;
- Step 2: For each particle use (16) to calculate the weighting function value of the array (when , let ), bring in (10) to obtain the product power pattern of Mills cross array;
- Step 3: Evaluate the fitness of each particle, using fitness Function (15);
- Step 4: Compare the fitness of each particle to its best fitness. If , then , ;
- Step 5: Compare the fitness of each particle with the global optimal particle. If , then , ;
- Step 6: Update the velocity and position of all the particles;
- Step 7: Repeat steps 2 to 6 until satisfies the design requirements, output the global optimal solution , then compute the optimized solution of the weighted window function from (16).
4. Numerical Simulation
4.1. Pattern Optimization Using CosW-PSO
4.2. Natural Scene Observation Simulation
5. Conclusions
Author Contributions
Funding
Data Availability Statement
Conflicts of Interest
References
- Mills, B.Y.; Little, A.G. A High-Resolution Aerial System of a New Type. Aust. J. Phys. 1953, 6, 272. [Google Scholar] [CrossRef]
- Milman, A.S. Sparse Aperture Microwave Radiometers for earth remote sensing. Radio Sci. 1988, 23, 193–205. [Google Scholar] [CrossRef]
- Shain, C.A. The Sydney 19.7-mc radio telescope. Proc. IRE 1958, 46, 85–88. [Google Scholar] [CrossRef]
- Mills, B.Y.; Little, A.G.; Sheridan, K.V.; Slee, O.B. A high resolution radio telescope for use at 3.5 m. Proc. IRE 1958, 46, 67–84. [Google Scholar] [CrossRef]
- Costian, C.H.; Lacey, J.D.; Roger, R.S. Large 22-MHz array for radio astronomy. IEEE Trans. Antennas Propag. 1969, 17, 162–169. [Google Scholar] [CrossRef]
- Malliot, H.A. A cross beam interferometer radiometer for high resolution microwave sensing. In Proceedings of the 1993 IEEE Aerospace Applications Conference Digest, Steamboat Springs, CO, USA, 31 January–5 February 1993; pp. 77–86. [Google Scholar]
- Grill, M.; Honary, F.; Nielsen, E.; Hagfors, T.; Dekoulis, G.; Chapman, P.; Yamagishi, H. A New Imaging Riometer based on Mills Cross Technique. In Proceedings of the 7th International Symposium on Communication Theory and Applications, Ambleside, UK, 13–18 July 2003; pp. 26–31. [Google Scholar]
- Li, Y.; Timms, G.P.; Archer, J.W.; Rosolen, G.C.; Tello, J.Y.; Brothers, M.L.; Hellicar, A.D.; Guo, Y.J. Passive millimeter-wave imaging using two scanning fan-beam antennas. In Proceedings SPIE—Passive Millimeter-Wave Imaging Technology X; SPIE: Bellingham, WA, USA, 2007; Volume 6548, pp. 65480E–65481E. [Google Scholar]
- Li, Y.; Archer, J.; Tello, J.; Rosolen, G.; Ceccato, F.; Hay, S.; Hellicar, A.; Guo, Y. Performance evaluation of a passive millimeter-wave imager. IEEE Trans. Microw. Theory Technol. 2009, 57, 2391–2405. [Google Scholar] [CrossRef]
- Verdilla, S.R. Calibration, Validation and Polarimetry in 2D Aperture Synthesis: Application to MIRAS. Ph.D. Thesis, University Politecnica de Catalunya, Barcelona, Spain, May 2005. [Google Scholar]
- Feng, X.; Liu, H.; Zhang, C.; Han, D.; Guo, X.; Niu, L. Performance Analysis of Cross Beam Correlation Microwave Radiometers Using Two Orthogonal Subarrays. IEEE Trans. Geosci. Remote Sens. 2024, 62, 5300717. [Google Scholar] [CrossRef]
- Grill, M. Technological Advances in Imaging Riometry. Ph.D. Thesis, University of Lancaster, Lancaster, UK, 2007. [Google Scholar]
- Bará, J.; Camps, A.; Torres, F.; Corbella, I. Angular resolution of two-dimensional, hexagonally sampled interferometric radiometers. Radio Sci. 1998, 33, 1459–1473. [Google Scholar] [CrossRef]
- Camps, A.; Corbella, I.; Bara, J.; Torres, F. Radiometric sensitivity computation in aperture synthesis interferometric radiometer. IEEE Trans. Geosci. Remote Sens. 1998, 36, 680–685. [Google Scholar] [CrossRef]
- Long, D.; Ulaby, F. Microwave Radar and Radiometric Remote Sensing; The University of Michigan Press: Ann Arbor, MI, USA, 2015. [Google Scholar]
- Kennedy, J.; Eberhart, R. Particle swarm optimization. Proc. IEEE Int. Conf. Neural Netw. 1995, 4, 1942–1948. [Google Scholar]
- Eberhart, R.C.; Kennedy, J. A new optimizer using particle swarm theory. In Proceedings of the Sixth International Symposium on Micromachine and Human Science, Nagoya, Japan, 4–6 October 1995; pp. 39–43. [Google Scholar]
- Jin, N.; Rahmat-Samii, Y. Advances in particle swarm optimization for antenna designs: Real-number, binary, single-objective and multiobjective implementations. IEEE Trans. Antennas Propag. 2007, 55, 556–567. [Google Scholar] [CrossRef]
- Jin, N.; Rahmat-Samii, Y. Analysis and particle swarm optimization of correlator antenna arrays for radio astronomy applications. IEEE Trans. Antennas Propag. 2008, 56, 1269–1279. [Google Scholar] [CrossRef]
- Khodier, M.M.; Christodoulou, C.G. Linear array geometry synthesis with minimum sidelobe level and null control using particle swarm optimization. IEEE Trans. Antennas Propag. 2008, 53, 1269–1279. [Google Scholar] [CrossRef]
- Gies, D.; Rahmat-Samii, Y. Particle swarm optimization for reconfigurable phased-differentiated array design. Microw. Opt. Technol. Lett. 2003, 38, 168–175. [Google Scholar] [CrossRef]
- Parsopoulos, K.; Vrahatis, M. Recent approaches to global optimization problems through particle swarm optimization. Nat. Comput. 2002, 1, 235–306. [Google Scholar] [CrossRef]
- Fieldsend, J.; Singh, S. A multi-objective algorithm based upon particle swarm optimization, an efficient data structure and turbulence. In Proceedings of the U.K. Workshop on Computational Intelligence, Birmingham, UK, 2–4 September 2002; pp. 37–44. [Google Scholar]
- Velduizen, D.; Zydallis, J.; Lamont, G. Considerations in engineering parallel multiobjective evolutionary optimizations. IEEE Trans. Evol. Comput. 2003, 7, 144–173. [Google Scholar] [CrossRef]
- Brown, A.D. Electronically Scanned Arrays-Matlab Modeling and Simulation; CRC Press, Taylor &. Francis Group, LLC: Boca Raton, FL, USA, 2012; pp. 35–80. [Google Scholar]
- Nuttall, A.H. Some windows with very good side lobe behavior. IEEE Trans. Acoust. Speech Signal Process. 1981, 29, 84–91. [Google Scholar] [CrossRef]
- Wu, J.; Zhang, C.; Liu, H.; Yan, J. Performance Analysis of Circular Antenna Array for Microwave Interferometric Radiometers. IEEE Trans. Geosci. Remote Sens 2017, 55, 3261–3271. [Google Scholar] [CrossRef]












| 0.01 | 0.3992 | 0.4976 | 0.0773 | 18.04 |
| 0.02 | 0.4450 | 0.5125 | 0.0551 | 17.93 |
| Rectangle | CosW-PSO | Blackman | Hanning | ||
|---|---|---|---|---|---|
| 3.2548 | 5.2731 | 5.0092 | 5.7951 | 5.0494 | |
| 0.7832 | 1 | 1 | 0.9995 | 0.9767 | |
| MSLL (dB) | −6.67 | −25.80 | −21.45 | −29.24 | −15.80 |
| \ | 0.01 | 0.02 | 0.003 | 0.015 | |
| \ | −0.01 | −0.02 | −0.002 | −0.039 | |
| Max () (K) | 71 | 0.052 | 0.118 | 0.106 | 5.828 |
| Mean () (K) | 41 | 0.0004 | 0.0028 | 0.0721 | 3.6234 |
Disclaimer/Publisher’s Note: The statements, opinions and data contained in all publications are solely those of the individual author(s) and contributor(s) and not of MDPI and/or the editor(s). MDPI and/or the editor(s) disclaim responsibility for any injury to people or property resulting from any ideas, methods, instructions or products referred to in the content. |
© 2024 by the authors. Licensee MDPI, Basel, Switzerland. This article is an open access article distributed under the terms and conditions of the Creative Commons Attribution (CC BY) license (https://creativecommons.org/licenses/by/4.0/).
Share and Cite
Feng, X.; Liu, H.; Zhang, C.; Han, D.; Niu, L. Improvement Method of Antenna Negative Sidelobes on Cross Beam Correlation Microwave Radiometer. Remote Sens. 2024, 16, 1245. https://doi.org/10.3390/rs16071245
Feng X, Liu H, Zhang C, Han D, Niu L. Improvement Method of Antenna Negative Sidelobes on Cross Beam Correlation Microwave Radiometer. Remote Sensing. 2024; 16(7):1245. https://doi.org/10.3390/rs16071245
Chicago/Turabian StyleFeng, Xiaolong, Hao Liu, Cheng Zhang, Donghao Han, and Lijie Niu. 2024. "Improvement Method of Antenna Negative Sidelobes on Cross Beam Correlation Microwave Radiometer" Remote Sensing 16, no. 7: 1245. https://doi.org/10.3390/rs16071245
APA StyleFeng, X., Liu, H., Zhang, C., Han, D., & Niu, L. (2024). Improvement Method of Antenna Negative Sidelobes on Cross Beam Correlation Microwave Radiometer. Remote Sensing, 16(7), 1245. https://doi.org/10.3390/rs16071245

