Spatiotemporally Mapping Non-Grain Production of Winter Wheat Using a Developed Auto-Generating Sample Algorithm on Google Earth Engine
Abstract
1. Introduction
2. Study Area and Data
2.1. Study Area
2.2. Datasets
2.2.1. Landsat Surface Reflectance Imagery
2.2.2. Historical Samples Used to Support the Algorithm for Auto-Generating Samples
3. Methods
3.1. Auto-Generating Winter Wheat Sample Algorithm
3.2. One-Class Support Vector Machine for Winter Wheat Mapping
3.3. Spatiotemporally Mapping Non-Grain Production of Winter Wheat
4. Results
4.1. Auto-Generating Winter Wheat Samples
4.2. AGWWS Maps
4.3. Spatiotemporal Pattern of NGPOWW
5. Discussion
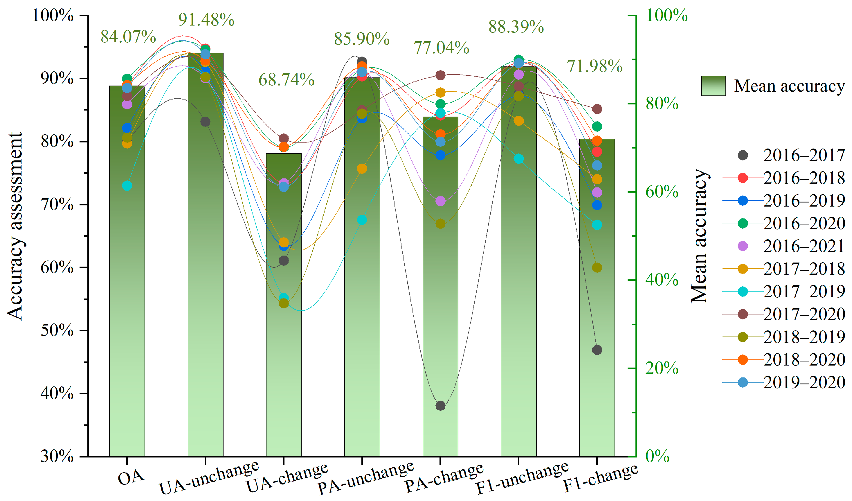
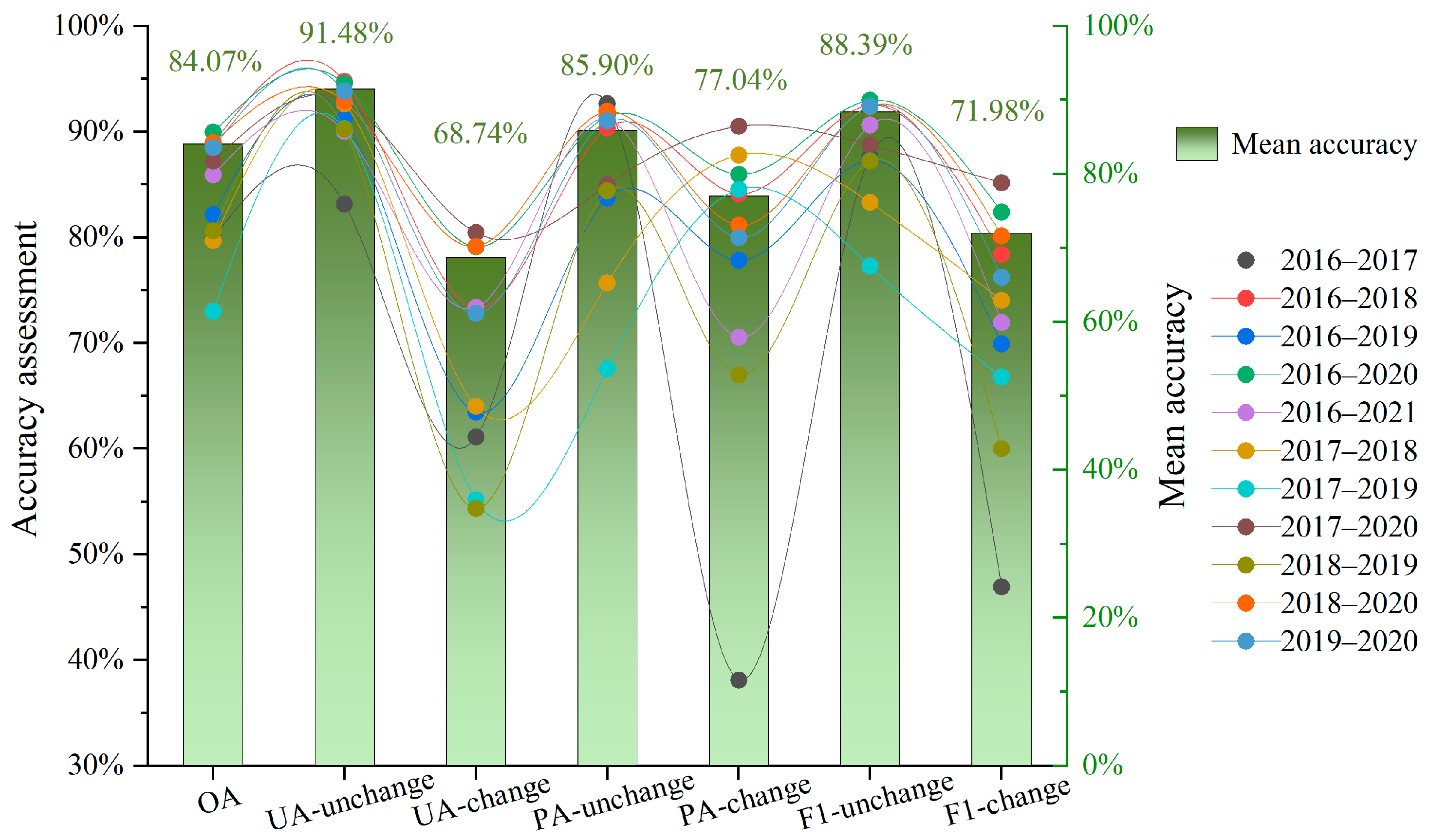
5.1. Algorithm Assessment of AGWWS
5.2. Spatiotemporally Pattern of Winter Wheat
5.3. Marginalization of Winter Wheat Planting Caused by NGPOWW
5.4. Issues for AGWWS Algorithm and Mapping Winter Wheat
6. Conclusions
Supplementary Materials
Author Contributions
Funding
Data Availability Statement
Acknowledgments
Conflicts of Interest
References
- Qiu, B.; Luo, Y.; Tang, Z.; Chen, C.; Lu, D.; Huang, H.; Chen, Y.; Chen, N.; Xu, W. Winter Wheat Mapping Combining Variations before and after Estimated Heading Dates. ISPRS J. Photogramm. Remote Sens. 2017, 123, 35–46. [Google Scholar] [CrossRef]
- Upadhyay, P.; Ghosh, S.K.; Kumar, A. Temporal MODIS Data for Identification of Wheat Crop Using Noise Clustering Soft Classification Approach. Geocarto Int. 2016, 31, 278–295. [Google Scholar] [CrossRef]
- Yang, G.; Yu, W.; Yao, X.; Zheng, H.; Cao, Q.; Zhu, Y.; Cao, W.; Cheng, T. AGTOC: A Novel Approach to Winter Wheat Mapping by Automatic Generation of Training Samples and One-Class Classification on Google Earth Engine. Int. J. Appl. Earth Obs. Geoinf. 2021, 102, 102446. [Google Scholar] [CrossRef]
- Zhu, Z.; Dai, Z.; Li, S.; Feng, Y. Spatiotemporal Evolution of Non-Grain Production of Cultivated Land and Its Underlying Factors in China. Int. J. Environ. Res. Public Health 2022, 19, 8210. [Google Scholar] [CrossRef]
- Sun, Y.; Chang, Y.; Liu, J.; Ge, X.; Liu, G.-J.; Chen, F. Spatial Differentiation of Non-Grain Production on Cultivated Land and Its Driving Factors in Coastal China. Sustainability 2021, 13, 13064. [Google Scholar] [CrossRef]
- Zhang, D.; Yang, W.; Kang, D.; Zhang, H. Spatial-Temporal Characteristics and Policy Implication for Non-Grain Production of Cultivated Land in Guanzhong Region. Land Use Policy 2023, 125, 106466. [Google Scholar] [CrossRef]
- State Council General Office. Opinions on Preventing the “Non-Grain” of Production on Cultivated Land and Stabilizing Grain Production. 2020. Available online: https://www.gov.cn/zhengce/content/2020-11/17/content_5562053.htm (accessed on 11 October 2023).
- Bindraban, P.S.; van der Velde, M.; Ye, L.; van den Berg, M.; Materechera, S.; Kiba, D.I.; Tamene, L.; Ragnarsdóttir, K.V.; Jongschaap, R.; Hoogmoed, M.; et al. Assessing the Impact of Soil Degradation on Food Production. Curr. Opin. Environ. Sustain. 2012, 4, 478–488. [Google Scholar] [CrossRef]
- Chen, Y.; Li, M.; Zhang, Z. Does the Rural Land Transfer Promote the Non-Grain Production of Cultivated Land in China? Land 2023, 12, 688. [Google Scholar] [CrossRef]
- Satterthwaite, D.; McGranahan, G.; Tacoli, C. Urbanization and Its Implications for Food and Farming. Philos. Trans. R. Soc. B Biol. Sci. 2010, 365, 2809–2820. [Google Scholar] [CrossRef]
- Liu, C.; Song, C.; Ye, S.; Cheng, F.; Zhang, L.; Li, C. Estimate Provincial-Level Effectiveness of the Arable Land Requisition-Compensation Balance Policy in Mainland China in the Last 20 Years. Land Use Policy 2023, 131, 106733. [Google Scholar] [CrossRef]
- National Bureau of Statistics of China. China Statistical Yearbook—2022. National Bureau of Statistics of China. 2022. Available online: http://www.stats.gov.cn/sj/ndsj/2022/indexch.htm (accessed on 11 October 2023).
- Ren, S.; Guo, B.; Wu, X.; Zhang, L.; Ji, M.; Wang, J. Winter Wheat Planted Area Monitoring and Yield Modeling Using MODIS Data in the Huang-Huai-Hai Plain, China. Comput. Electron. Agric. 2021, 182, 106049. [Google Scholar] [CrossRef]
- Su, Y.; Guo, B.; Zhou, Z.; Zhong, Y.; Min, L. Spatio-Temporal Variations in Groundwater Revealed by GRACE and Its Driving Factors in the Huang-Huai-Hai Plain, China. Sensors 2020, 20, 922. [Google Scholar] [CrossRef]
- Tan, Y.; Chen, H.; Xiao, W.; Meng, F.; He, T. Influence of Farmland Marginalization in Mountainous and Hilly Areas on Land Use Changes at the County Level. Sci. Total Environ. 2021, 794, 149576. [Google Scholar] [CrossRef]
- Zhang, Y.; Li, B. Coupling Coordination Analysis of Grain Production and Economic Development in Huang-Huai-Hai Region. Env. Dev. Sustain. 2022, 25, 13099–13124. [Google Scholar] [CrossRef]
- Zhao, X.; Zheng, Y.; Huang, X.; Kwan, M.-P.; Zhao, Y. The Effect of Urbanization and Farmland Transfer on the Spatial Patterns of Non-Grain Farmland in China. Sustainability 2017, 9, 1438. [Google Scholar] [CrossRef]
- Pan, Y.; Li, L.; Zhang, J.; Liang, S.; Zhu, X.; Sulla-Menashe, D. Winter Wheat Area Estimation from MODIS-EVI Time Series Data Using the Crop Proportion Phenology Index. Remote Sens. Environ. 2012, 119, 232–242. [Google Scholar] [CrossRef]
- Gorelick, N.; Hancher, M.; Dixon, M.; Ilyushchenko, S.; Thau, D.; Moore, R. Google Earth Engine: Planetary-Scale Geospatial Analysis for Everyone. Remote Sens. Environ. 2017, 202, 18–27. [Google Scholar] [CrossRef]
- Lobell, D.B.; Thau, D.; Seifert, C.; Engle, E.; Little, B. A Scalable Satellite-Based Crop Yield Mapper. Remote Sens. Environ. 2015, 164, 324–333. [Google Scholar] [CrossRef]
- Fang, P.; Zhang, X.; Wei, P.; Wang, Y.; Zhang, H.; Liu, F.; Zhao, J. The Classification Performance and Mechanism of Machine Learning Algorithms in Winter Wheat Mapping Using Sentinel-2 10 m Resolution Imagery. Appl. Sci. 2020, 10, 5075. [Google Scholar] [CrossRef]
- Coltin, B.; McMichael, S.; Smith, T.; Fong, T. Automatic Boosted Flood Mapping from Satellite Data. Int. J. Remote Sens. 2016, 37, 993–1015. [Google Scholar] [CrossRef]
- Chen, C.; Mcnairn, H. A Neural Network Integrated Approach for Rice Crop Monitoring. Int. J. Remote Sens. 2006, 27, 1367–1393. [Google Scholar] [CrossRef]
- Jin, Z.; Azzari, G.; You, C.; Di Tommaso, S.; Aston, S.; Burke, M.; Lobell, D.B. Smallholder Maize Area and Yield Mapping at National Scales with Google Earth Engine. Remote Sens. Environ. 2019, 228, 115–128. [Google Scholar] [CrossRef]
- Zhang, W.; Brandt, M.; Prishchepov, A.V.; Li, Z.; Lyu, C.; Fensholt, R. Mapping the Dynamics of Winter Wheat in the North China Plain from Dense Landsat Time Series (1999 to 2019). Remote Sens. 2021, 13, 1170. [Google Scholar] [CrossRef]
- Cai, W.; Tian, J.; Li, X.; Zhu, L.; Chen, B. A New Multiple Phenological Spectral Feature for Mapping Winter Wheat. Remote Sens. 2022, 14, 4529. [Google Scholar] [CrossRef]
- Yao, J.; Wu, J.; Xiao, C.; Zhang, Z.; Li, J. The Classification Method Study of Crops Remote Sensing with Deep Learning, Machine Learning, and Google Earth Engine. Remote Sens. 2022, 14, 2758. [Google Scholar] [CrossRef]
- SHARMA, R.; GHOSH, A.; JOSHI, P.K. Decision Tree Approach for Classification of Remotely Sensed Satellite Data Using Open Source Support. J. Earth Syst. Sci. 2013, 122, 1237–1247. [Google Scholar] [CrossRef]
- Zhong, L.; Gong, P.; Biging, G.S. Efficient Corn and Soybean Mapping with Temporal Extendability: A Multi-Year Experiment Using Landsat Imagery. Remote Sens. Environ. 2014, 140, 1–13. [Google Scholar] [CrossRef]
- Zhang, H.; Du, H.; Zhang, C.; Zhang, L. An Automated Early-Season Method to Map Winter Wheat Using Time-Series Sentinel-2 Data: A Case Study of Shandong, China. Comput. Electron. Agric. 2021, 182, 105962. [Google Scholar] [CrossRef]
- Peña-Barragán, J.M.; Ngugi, M.K.; Plant, R.E.; Six, J. Object-Based Crop Identification Using Multiple Vegetation Indices, Textural Features and Crop Phenology. Remote Sens. Environ. 2011, 115, 1301–1316. [Google Scholar] [CrossRef]
- Wardlow, B.D.; Egbert, S.L.; Kastens, J.H. Analysis of Time-Series MODIS 250 m Vegetation Index Data for Crop Classification in the U.S. Central Great Plains. Remote Sens. Environ. 2007, 108, 290–310. [Google Scholar] [CrossRef]
- Biggs, T.W.; Thenkabail, P.S.; Gumma, M.K.; Scott, C.A.; Parthasaradhi, G.R.; Turral, H.N. Irrigated Area Mapping in Heterogeneous Landscapes with MODIS Time Series, Ground Truth and Census Data, Krishna Basin, India. Int. J. Remote Sens. 2006, 27, 4245–4266. [Google Scholar] [CrossRef]
- Turker, M.; Arikan, M. Sequential Masking Classification of Multi-temporal Landsat7 ETM+ Images for Field-based Crop Mapping in Karacabey, Turkey. Int. J. Remote Sens. 2005, 26, 3813–3830. [Google Scholar] [CrossRef]
- Huang, H.; Wang, J.; Liu, C.; Liang, L.; Li, C.; Gong, P. The Migration of Training Samples towards Dynamic Global Land Cover Mapping. ISPRS J. Photogramm. Remote Sens. 2020, 161, 27–36. [Google Scholar] [CrossRef]
- Wang, C.; Zhang, H.; Wu, X.; Yang, W.; Shen, Y.; Lu, B.; Wang, J. AUTS: A Novel Approach to Mapping Winter Wheat by Automatically Updating Training Samples Based on NDVI Time Series. Agriculture 2022, 12, 817. [Google Scholar] [CrossRef]
- Yan, D.H.; Wu, D.; Huang, R.; Wang, L.N.; Yang, G.Y. Drought Evolution Characteristics and Precipitation Intensity Changes during Alternating Dry–Wet Changes in the Huang–Huai–Hai River Basin. Hydrol. Earth Syst. Sci. 2013, 17, 2859–2871. [Google Scholar] [CrossRef]
- Shirazi, S.Z.; Mei, X.; Liu, B.; Liu, Y. Estimating Potential Yield and Change in Water Budget for Wheat and Maize across Huang-Huai-Hai Plain in the Future. Agric. Water Manag. 2022, 260, 107282. [Google Scholar] [CrossRef]
- Wang, X.; Zhang, S.; Feng, L.; Zhang, J.; Deng, F. Mapping Maize Cultivated Area Combining MODIS EVI Time Series and the Spatial Variations of Phenology over Huanghuaihai Plain. Appl. Sci. 2020, 10, 2667. [Google Scholar] [CrossRef]
- Li, J.; Lei, H. Tracking the Spatio-Temporal Change of Planting Area of Winter Wheat-Summer Maize Cropping System in the North China Plain during 2001–2018. Comput. Electron. Agric. 2021, 187, 106222. [Google Scholar] [CrossRef]
- Yang, G.; Li, X.; Liu, P.; Yao, X.; Zhu, Y.; Cao, W.; Cheng, T. Automated In-Season Mapping of Winter Wheat in China with Training Data Generation and Model Transfer. ISPRS J. Photogramm. Remote Sens. 2023, 202, 422–438. [Google Scholar] [CrossRef]
- Masek, J.G.; Vermote, E.F.; Saleous, N.E.; Wolfe, R.; Hall, F.G.; Huemmrich, K.F.; Gao, F.; Kutler, J.; Lim, T.-K. A Landsat Surface Reflectance Dataset for North America, 1990–2000. IEEE Geosci. Remote Sens. Lett. 2006, 3, 68–72. [Google Scholar] [CrossRef]
- Dwyer, J.L.; Roy, D.P.; Sauer, B.; Jenkerson, C.B.; Zhang, H.K.; Lymburner, L. Analysis Ready Data: Enabling Analysis of the Landsat Archive. Remote Sens. 2018, 10, 1363. [Google Scholar] [CrossRef]
- Zhu, Z.; Wang, S.; Woodcock, C.E. Improvement and Expansion of the Fmask Algorithm: Cloud, Cloud Shadow, and Snow Detection for Landsats 4–7, 8, and Sentinel 2 Images. Remote Sens. Environ. 2015, 159, 269–277. [Google Scholar] [CrossRef]
- Rouse, J.W.; Haas, R.H.; Schell, J.A.; Deering, D.W. Monitoring Vegetation Systems in the Great Plains with ERTS. NASA Spec. Publ. 1974, 351, 309. [Google Scholar]
- Xiao, X.; Boles, S.; Liu, J.; Zhuang, D.; Liu, M. Characterization of Forest Types in Northeastern China, Using Multi-Temporal SPOT-4 VEGETATION Sensor Data. Remote Sens. Environ. 2002, 82, 335–348. [Google Scholar] [CrossRef]
- Xiao, X.; Boles, S.; Liu, J.; Zhuang, D.; Frolking, S.; Li, C.; Salas, W.; Moore, B. Mapping Paddy Rice Agriculture in Southern China Using Multi-Temporal MODIS Images. Remote Sens. Environ. 2005, 95, 480–492. [Google Scholar] [CrossRef]
- Huete, A.R.; Liu, H.; van Leeuwen, W.J. The Use of Vegetation Indices in Forested Regions: Issues of Linearity and Saturation. In Proceedings of the IGARSS’97. 1997 IEEE International Geoscience and Remote Sensing Symposium Proceedings—Remote Sensing-A Scientific Vision for Sustainable Development, Singapore, 3–8 August 1997; IEEE: Piscataway, NJ, USA, 1997; Volume 4, pp. 1966–1968. [Google Scholar]
- Dong, J.; Fu, Y.; Wang, J.; Tian, H.; Fu, S.; Niu, Z.; Han, W.; Zheng, Y.; Huang, J.; Yuan, W. Early-Season Mapping of Winter Wheat in China Based on Landsat and Sentinel Images. Earth Syst. Sci. Data 2020, 12, 3081–3095. [Google Scholar] [CrossRef]
- Xuan, F.; Dong, Y.; Li, J.; Li, X.; Su, W.; Huang, X.; Huang, J.; Xie, Z.; Li, Z.; Liu, H.; et al. Mapping Crop Type in Northeast China during 2013–2021 Using Automatic Sampling and Tile-Based Image Classification. Int. J. Appl. Earth Obs. Geoinf. 2023, 117, 103178. [Google Scholar] [CrossRef]
- Wen, Y.; Li, X.; Mu, H.; Zhong, L.; Chen, H.; Zeng, Y.; Miao, S.; Su, W.; Gong, P.; Li, B.; et al. Mapping Corn Dynamics Using Limited but Representative Samples with Adaptive Strategies. ISPRS J. Photogramm. Remote Sens. 2022, 190, 252–266. [Google Scholar] [CrossRef]
- Ji, L.; Geng, X.; Sun, K.; Zhao, Y.; Gong, P. Target Detection Method for Water Mapping Using Landsat 8 OLI/TIRS Imagery. Water 2015, 7, 794–817. [Google Scholar] [CrossRef]
- Fekri, E.; Latifi, H.; Amani, M.; Zobeidinezhad, A. A Training Sample Migration Method for Wetland Mapping and Monitoring Using Sentinel Data in Google Earth Engine. Remote Sens. 2021, 13, 4169. [Google Scholar] [CrossRef]
- Jenks, G.F. The Data Model Concept in Statistical Mapping. Int. Yearb. Cartogr. 1967, 7, 186–190. [Google Scholar]
- McMaster, R.B. Automated Line Generalization. Cartogr. Int. J. Geogr. Inf. Geovisualization 1987, 24, 74–111. [Google Scholar] [CrossRef]
- Zhan, P.; Zhu, W.; Li, N. An Automated Rice Mapping Method Based on Flooding Signals in Synthetic Aperture Radar Time Series. Remote Sens. Environ. 2021, 252, 112112. [Google Scholar] [CrossRef]
- Ni, R.; Tian, J.; Li, X.; Yin, D.; Li, J.; Gong, H.; Zhang, J.; Zhu, L.; Wu, D. An Enhanced Pixel-Based Phenological Feature for Accurate Paddy Rice Mapping with Sentinel-2 Imagery in Google Earth Engine. ISPRS J. Photogramm. Remote Sens. 2021, 178, 282–296. [Google Scholar] [CrossRef]
- Xiao, Y.; Wang, H.; Xu, W. Parameter Selection of Gaussian Kernel for One-Class SVM. IEEE Trans. Cybern. 2015, 45, 941–953. [Google Scholar] [CrossRef] [PubMed]
- Schölkopf, B.; Platt, J.C.; Shawe-Taylor, J.; Smola, A.J.; Williamson, R.C. Estimating the Support of a High-Dimensional Distribution. Neural Comput. 2001, 13, 1443–1471. [Google Scholar] [CrossRef]
- Guo, Y.; Xia, H.; Zhao, X.; Qiao, L.; Du, Q.; Qin, Y. Early-Season Mapping of Winter Wheat and Garlic in Huaihe Basin Using Sentinel-1/2 and Landsat-7/8 Imagery. IEEE J. Sel. Top. Appl. Earth Obs. Remote Sens. 2022, 16, 8809–8817. [Google Scholar] [CrossRef]
- Huang, X.; Huang, J.; Li, X.; Shen, Q.; Chen, Z. Early Mapping of Winter Wheat in Henan Province of China Using Time Series of Sentinel-2 Data. GIScience Remote Sens. 2022, 59, 1534–1549. [Google Scholar] [CrossRef]
- Congalton, R.G. A Review of Assessing the Accuracy of Classifications of Remotely Sensed Data. Remote Sens. Environ. 1991, 37, 35–46. [Google Scholar] [CrossRef]
- Yang, J.; Huang, X. The 30 m Annual Land Cover Dataset and Its Dynamics in China from 1990 to 2019. Earth Syst. Sci. Data 2021, 13, 3907–3925. [Google Scholar] [CrossRef]
- Luo, Y.; Zhang, Z.; Li, Z.; Chen, Y.; Zhang, L.; Cao, J.; Tao, F. Identifying the Spatiotemporal Changes of Annual Harvesting Areas for Three Staple Crops in China by Integrating Multi-Data Sources. Environ. Res. Lett. 2020, 15, 074003. [Google Scholar] [CrossRef]
- Shen, R.; Dong, J.; Yuan, W.; Han, W.; Ye, T.; Zhao, W. A 30 m Resolution Distribution Map of Maize for China Based on Landsat and Sentinel Images. J. Remote Sens. 2022, 2022, 9846712. [Google Scholar] [CrossRef]
- Ghorbanian, A.; Kakooei, M.; Amani, M.; Mahdavi, S.; Mohammadzadeh, A.; Hasanlou, M. Improved Land Cover Map of Iran Using Sentinel Imagery within Google Earth Engine and a Novel Automatic Workflow for Land Cover Classification Using Migrated Training Samples. ISPRS J. Photogramm. Remote Sens. 2020, 167, 276–288. [Google Scholar] [CrossRef]
- Zhang, S.; Yang, J.; Leng, P.; Ma, Y.; Wang, H.; Song, Q. Crop Type Mapping with Temporal Sample Migration. Int. J. Remote Sens. 2023. [Google Scholar] [CrossRef]
- Li, P.; Xu, H.; Guo, J. Urban Building Damage Detection from Very High Resolution Imagery Using OCSVM and Spatial Features. Int. J. Remote Sens. 2010, 31, 3393–3409. [Google Scholar] [CrossRef]
- Zhou, C.; Zhang, R.; Ning, X.; Zheng, Z. Spatial-Temporal Characteristics in Grain Production and Its Influencing Factors in the Huang-Huai-Hai Plain from 1995 to 2018. Int. J. Environ. Res. Public Health 2020, 17, 9193. [Google Scholar] [CrossRef] [PubMed]
- He, C.; Ho, C.-Y.; Yu, L.; Zhu, X. Public Investment and Food Security: Evidence from the Hundred Billion Plan in China. China Econ. Rev. 2019, 54, 176–190. [Google Scholar] [CrossRef]
- Xu, H.; Yang, R. Does Agricultural Water Conservation Policy Necessarily Reduce Agricultural Water Extraction? Evidence from China. Agric. Water Manag. 2022, 274, 107987. [Google Scholar] [CrossRef]
- Wang, J.; Liu, H.; Liu, H.; Huang, H. Spatiotemporal Evolution of Multiscale Urbanization Level in the Beijing-Tianjin-Hebei Region Using the Integration of DMSP/OLS and NPP/VIIRS Night Light Datasets. Sustainability 2021, 13, 2000. [Google Scholar] [CrossRef]
- Wu, X.; Qi, Y.; Shen, Y.; Yang, W.; Zhang, Y.; Kondoh, A. Change of Winter Wheat Planting Area and Its Impacts on Groundwater Depletion in the North China Plain. J. Geogr. Sci. 2019, 29, 891–908. [Google Scholar] [CrossRef]
- Pan, X.; Li, G.; Liu, F.; Wu, X.; Kondoh, A.; Shen, Y. Using remote sensing to determine spatio-temporal variations in winter wheat growing area in the North China Plain. Zgstnyxb 2015, 23, 497–505. [Google Scholar] [CrossRef]
- Henan Provincial Bureau of Statistics. Statistical Yearbook of Henan Province. Henan Provincial Bureau of Statistics. Available online: https://tjj.henan.gov.cn/tjfw/tjcbw/tjnj/ (accessed on 11 October 2023).
- Li, S.; Li, X. The Mechanism of Farmland Marginalization in Chinese Mountainous Areas: Evidence from Cost and Return Changes. J. Geogr. Sci. 2019, 29, 531–548. [Google Scholar] [CrossRef]
- Wang, Q.; Qiu, J.; Yu, J. Impact of Farmland Characteristics on Grain Costs and Benefits in the North China Plain. Land Use Policy 2019, 80, 142–149. [Google Scholar] [CrossRef]
- Chen, C.; Zhao, M. The Undermining of Rural Labor Out-Migration by Household Strategies in China’s Migrant-Sending Areas: The Case of Nanyang, Henan Province. Cities 2017, 60, 446–453. [Google Scholar] [CrossRef]
- Chen, H.; Xu, L.; Cao, Q.; Huang, M.; Song, M.; Quan, Q.; Liu, J. Coupling and Metabolic Analysis of Urbanization and Environment between Two Resource-Based Cities in North China. PeerJ 2019, 7, e6869. [Google Scholar] [CrossRef]
- Yang, Y.; Zhang, H.; Qiao, X.; Liu, L.; Zheng, J. Urban Expansion in Major Grain Producing Area from 1978 to 2017: A Case Study of Zhengzhou Metropolitan Area, China. Chin. Geogr. Sci. 2023, 33, 1–20. [Google Scholar] [CrossRef]
- Luo, J.; Ma, X.; Chu, Q.; Xie, M.; Cao, Y. Characterizing the Up-to-Date Land-Use and Land-Cover Change in Xiong’an New Area from 2017 to 2020 Using the Multi-Temporal Sentinel-2 Images on Google Earth Engine. ISPRS Int. J. Geo-Inf. 2021, 10, 464. [Google Scholar] [CrossRef]
- Tang, Z.; Zhang, Z.; Zuo, L.; Wang, X.; Zhao, X.; Liu, F.; Hu, S.; Yi, L.; Xu, J. Spatial Evolution of Urban Expansion in the Beijing–Tianjin–Hebei Coordinated Development Region. Sustainability 2021, 13, 1579. [Google Scholar] [CrossRef]
- Wang, F.; Yuan, X.; Xie, X. Dynamic Change of Land Use/Land Cover Patterns and Driving Factors of Nansihu Lake Basin in Shandong Province, China. Environ. Earth Sci. 2021, 80, 180. [Google Scholar] [CrossRef]
- Wang, G. Research on Big Data Platform Design in the Context of Digital Agriculture: Case Study of the Peony Industry in Heze City, China. Contemp. Soc. Sci. 2022, 7, 45–58. [Google Scholar] [CrossRef]
- Wang, S.; Chen, J.; Shen, M.; Shi, T.; Liu, L.; Zhang, L.; Dong, Q.; Wang, C. Characterizing Spatiotemporal Patterns of Winter Wheat Phenology from 1981 to 2016 in North China by Improving Phenology Estimation. Remote Sens. 2022, 14, 4930. [Google Scholar] [CrossRef]
- Kremneva, O.Y.; Danilov, R.Y.; Sereda, I.I.; Tutubalina, O.V.; Pachkin, A.A.; Zimin, M.V. Spectral Characteristics of Winter Wheat Varieties Depending on the Development Degree of Pyrenophora Tritici-Repentis. Precis. Agric. 2023, 24, 830–852. [Google Scholar] [CrossRef]
- Wang, C.; Feng, M.; Yang, W.; Ding, G.; Xiao, L.; Li, G.; Liu, T. Extraction of Sensitive Bands for Monitoring the Winter Wheat (Triticum Aestivum) Growth Status and Yields Based on the Spectral Reflectance. PLoS ONE 2017, 12, e0167679. [Google Scholar] [CrossRef]
- Hellwich, O.; Günzl, M.; Wiedemann, C. Fusion of SAR/INSAR Data and Optical Imagery for Landuse Classification. Frequenz 2001, 55, 129–136. [Google Scholar] [CrossRef]
- Zhou, T.; Pan, J.; Zhang, P.; Wei, S.; Han, T. Mapping Winter Wheat with Multi-Temporal SAR and Optical Images in an Urban Agricultural Region. Sensors 2017, 17, 1210. [Google Scholar] [CrossRef]
- Höfle, B. Radiometric Correction of Terrestrial LiDAR Point Cloud Data for Individual Maize Plant Detection. IEEE Geosci. Remote Sens. Lett. 2014, 11, 94–98. [Google Scholar] [CrossRef]
- Yang, X.; Lo, C.P. Using a Time Series of Satellite Imagery to Detect Land Use and Land Cover Changes in the Atlanta, Georgia Metropolitan Area. Int. J. Remote Sens. 2002, 23, 1775–1798. [Google Scholar] [CrossRef]











| Band/Index | Wavelength [Min–Max] (μm)/Equation |
|---|---|
| Blue (B) | [0.45–0.52] |
| Green (G) | [0.52–0.60] |
| Red (R) | [0.63–0.69] |
| NIR (Near-Infrared) | [0.77–0.90] |
| SWIR1 (Shortwave Infrared 1) | [1.55–1.75] |
| SWIR2 (Shortwave Infrared 2) | [2.08–2.35] |
| Normalized Difference Vegetation Index (NDVI) [45] | |
| Land Surface Water Index (LSWI) [46,47] | |
| Enhanced Vegetation Index (EVI) [48] |
| Period | Winter Wheat to Rice (×103 ha) | Winter Wheat Change (×103 ha) | Proportion |
|---|---|---|---|
| 2000–2005 | 23.60 | 3461.30 | 0.68% |
| 2005–2010 | 12.60 | 2483.00 | 0.51% |
| 2010–2015 | 52.80 | 2869.70 | 1.84% |
| Intersection Criteria | ≥SAD | ≤ED | ≤NIRDI | |
|---|---|---|---|---|
| Different thresholds | 1 | 0.678546 | 0.339203 | 0.201108 |
| 2 | 0.805858 | 0.264924 | 0.104253 | |
| 3 | 0.853300 | 0.205496 | 0.056761 | |
| 4 | 0.892172 | 0.152997 | 0.021987 | |
| 5 | 0.926136 | 0.110889 | −0.004949 | |
| 6 | 0.955699 | 0.080112 | −0.029506 | |
| 7 | 0.978941 | 0.056054 | −0.054408 | |
| 8 | 0.993051 | 0.034353 | −0.085166 |
| Year | Training Samples | Validation Samples | |
|---|---|---|---|
| Winter Wheat | Winter Wheat | Non-Winter Wheat | |
| 2000 | 642 | 345 | 306 |
| 2005 | 631 | 316 | 361 |
| 2010 | 644 | 332 | 361 |
| 2015 | 644 | 332 | 347 |
| 2021 | 671 | 353 | 405 |
| Year | Class | Winter Wheat | Non-Winter Wheat | UA (%) | PA (%) | F1 (%) | OA (%) |
|---|---|---|---|---|---|---|---|
| 2000 | Winter wheat | 297 | 100 | 74.81 | 86.09 | 80.05 | 77.27 |
| Non-winter wheat | 48 | 206 | 81.10 | 67.32 | 73.57 | ||
| 2005 | Winter wheat | 220 | 20 | 91.67 | 69.62 | 79.14 | 82.87 |
| Non-winter wheat | 96 | 341 | 78.03 | 94.46 | 85.46 | ||
| 2010 | Winter wheat | 261 | 72 | 78.38 | 78.61 | 78.50 | 79.37 |
| Non-winter wheat | 71 | 289 | 80.28 | 80.06 | 80.17 | ||
| 2015 | Winter wheat | 252 | 37 | 87.20 | 75.90 | 81.16 | 82.77 |
| Non-winter wheat | 80 | 310 | 79.49 | 89.34 | 84.12 | ||
| 2021 | Winter wheat | 262 | 24 | 91.61 | 76.38 | 83.31 | 85.96 |
| Non-winter wheat | 81 | 381 | 82.47 | 94.07 | 87.89 |
Disclaimer/Publisher’s Note: The statements, opinions and data contained in all publications are solely those of the individual author(s) and contributor(s) and not of MDPI and/or the editor(s). MDPI and/or the editor(s) disclaim responsibility for any injury to people or property resulting from any ideas, methods, instructions or products referred to in the content. |
© 2024 by the authors. Licensee MDPI, Basel, Switzerland. This article is an open access article distributed under the terms and conditions of the Creative Commons Attribution (CC BY) license (https://creativecommons.org/licenses/by/4.0/).
Share and Cite
Zhang, M.; Sun, P.; Sun, Z. Spatiotemporally Mapping Non-Grain Production of Winter Wheat Using a Developed Auto-Generating Sample Algorithm on Google Earth Engine. Remote Sens. 2024, 16, 659. https://doi.org/10.3390/rs16040659
Zhang M, Sun P, Sun Z. Spatiotemporally Mapping Non-Grain Production of Winter Wheat Using a Developed Auto-Generating Sample Algorithm on Google Earth Engine. Remote Sensing. 2024; 16(4):659. https://doi.org/10.3390/rs16040659
Chicago/Turabian StyleZhang, Meng, Peijun Sun, and Zhangli Sun. 2024. "Spatiotemporally Mapping Non-Grain Production of Winter Wheat Using a Developed Auto-Generating Sample Algorithm on Google Earth Engine" Remote Sensing 16, no. 4: 659. https://doi.org/10.3390/rs16040659
APA StyleZhang, M., Sun, P., & Sun, Z. (2024). Spatiotemporally Mapping Non-Grain Production of Winter Wheat Using a Developed Auto-Generating Sample Algorithm on Google Earth Engine. Remote Sensing, 16(4), 659. https://doi.org/10.3390/rs16040659

