X- and Ku-Band SAR Backscattering Signatures of Snow-Covered Lake Ice and Sea Ice
Abstract
1. Introduction
2. Materials and Methods
2.1. Study Areas
2.1.1. Baltic Sea Landfast Ice Test Site
2.1.2. Lake Orajärvi Test Site
2.2. Data
2.2.1. Airborne SnowSAR Data
2.2.2. TerraSAR-X Data over Lake Orajärvi
2.2.3. In Situ Data on Lake Orajärvi
2.2.4. In Situ Data on Landfast Ice
2.3. Methods
2.3.1. SnowSAR and TerraSAR-X Data Processing
2.3.2. Comparison of SnowSAR Backscatter and In Situ Data
2.3.3. TerraSAR-X and Ice Mass Balance Buoy Data
3. Results
3.1. Overview of Snow and Ice Properties in the Sea Ice and Lake Ice Sites
3.2. SnowSAR Data versus Snow Depth on Lake Ice
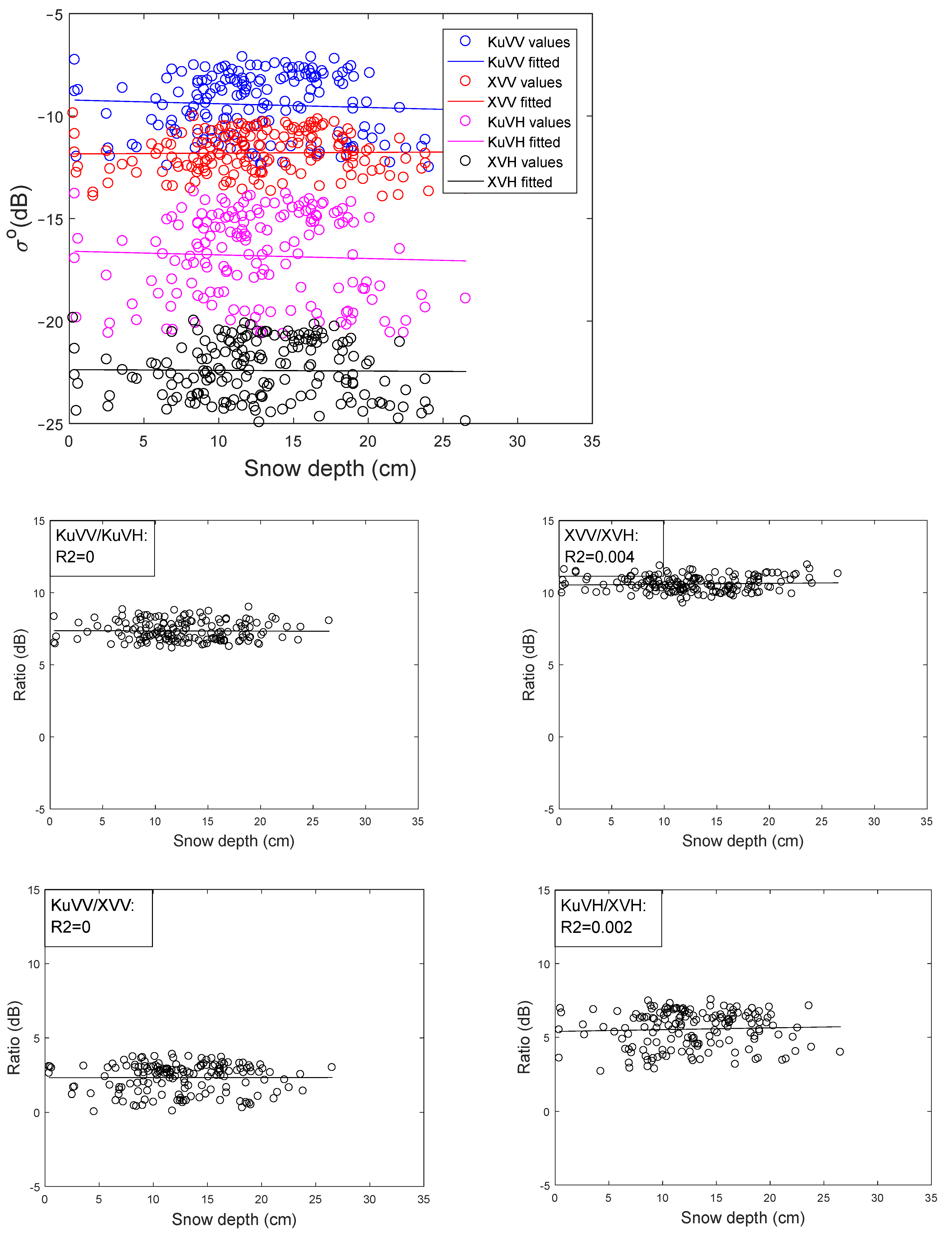
3.3. SnowSAR Data versus Snow Depth on Sea Ice
3.4. Analysis of TerraSAR-X Imagery Time Series on Lake Ice
3.4.1. Qualitative Analysis
3.4.2. Time Series of TerraSAR-X Mean over Lake Ice
4. Discussion
4.1. Previous Studies
4.2. Discussion of This Study
5. Conclusions
Author Contributions
Funding
Data Availability Statement
Acknowledgments
Conflicts of Interest
Appendix A
| Lake | ||||
|---|---|---|---|---|
| Slope Term [db/cm] | Average [db] | R2 | p-Value | |
| XVV | 0.00 | −11.7 | 0.00 | 0.795 |
| XVH | −0.00 | −22.2 | 0.00 | 0.864 |
| KuVV | −0.02 | −9.2 | 0.00 | 0.438 |
| KuVH | −0.02 | −16.4 | 0.00 | 0.584 |
| KuVV/KuVH | 0.00 | 7.4 | 0.00 | 0.886 |
| XVV/XVH | 0.01 | 10.6 | 0.00 | 0.417 |
| KuVV/XVV | −0.03 | 2.4 | 0.02 | 0.052 |
| KuVH/XVH | −0.02 | 5.7 | 0.01 | 0.233 |

| Lake | ||||
|---|---|---|---|---|
| Slope Term [db/cm] | Average [db] | R2 | p-Value | |
| XVV | 0.00 | −10.9 | 0.00 | 0.845 |
| XVH | −0.02 | −20.5 | 0.00 | 0.060 |
| KuVV | −0.01 | −8.8 | 0.00 | 0.400 |
| KuVH | 0.03 | −16.6 | 0.02 | <0.001 |
| KuVV/KuVH | −0.01 | 7.9 | 0.01 | 0.005 |
| XVV/XVH | 0.02 | 9.7 | 0.02 | <0.001 |
| KuVV/XVV | −0.01 | 2.1 | 0.01 | 0.033 |
| KuVH/XVH | 0.02 | 3.9 | 0.02 | <0.001 |




References
- Maykut, G.A. Energy Exchange over Young Sea Ice in the Central Arctic. J. Geophys. Res. Oceans 1978, 83, 3646–3658. [Google Scholar] [CrossRef]
- Leppäranta, M. A Growth Model for Black Ice, Snow Ice and Snow Thickness in Subarctic Basins. Hydrol. Res. 1983, 14, 59–70. [Google Scholar] [CrossRef]
- Fichefet, T.; Maqueda, M.A.M. Modelling the Influence of Snow Accumulation and Snow-Ice Formation on the Seasonal Cycle of the Antarctic Sea-Ice Cover. Clim. Dyn. 1999, 15, 251–268. [Google Scholar] [CrossRef]
- Giles, K.A.; Laxon, S.W.; Wingham, D.J.; Wallis, D.W.; Krabill, W.B.; Leuschen, C.J.; McAdoo, D.; Manizade, S.S.; Raney, R.K. Combined Airborne Laser and Radar Altimeter Measurements over the Fram Strait in May 2002. Remote Sens. Environ. 2007, 111, 182–194. [Google Scholar] [CrossRef]
- Shen, X.; Ke, C.-Q.; Wang, Q.; Zhang, J.; Shi, L.; Zhang, X. Assessment of Arctic Sea Ice Thickness Estimates From ICESat-2 Using IceBird Airborne Measurements. IEEE Trans. Geosci. Remote Sens. 2021, 59, 3764–3775. [Google Scholar] [CrossRef]
- Kurtz, N.T.; Farrell, S.L. Large-Scale Surveys of Snow Depth on Arctic Sea Ice from Operation IceBridge. Geophys. Res. Lett. 2011, 38, L20505:1–L20505:5. [Google Scholar] [CrossRef]
- Brucker, L.; Markus, T. Arctic-Scale Assessment of Satellite Passive Microwave-Derived Snow Depth on Sea Ice Using Operation IceBridge Airborne Data. J. Geophys. Res. Oceans 2013, 118, 2892–2905. [Google Scholar] [CrossRef]
- Yan, J.-B.; Gomez-Garcia Alvestegui, D.; McDaniel, J.W.; Li, Y.; Gogineni, S.; Rodriguez-Morales, F.; Brozena, J.; Leuschen, C.J. Ultrawideband FMCW Radar for Airborne Measurements of Snow Over Sea Ice and Land. IEEE Trans. Geosci. Remote Sens. 2017, 55, 834–843. [Google Scholar] [CrossRef]
- Rodriguez-Morales, F.; Leuschen, C.; Carabajal, C.L.; Paden, J.; Wolf, J.A.; Garrison, S.; McDaniel, J.W. An Improved UWB Microwave Radar for Very Long-Range Measurements of Snow Cover. IEEE Trans. Instrum. Meas. 2020, 69, 7761–7772. [Google Scholar] [CrossRef]
- Jenssen, R.O.R.; Eckerstorfer, M.; Jacobsen, S. Drone-Mounted Ultrawideband Radar for Retrieval of Snowpack Properties. IEEE Trans. Instrum. Meas. 2020, 69, 221–230. [Google Scholar] [CrossRef]
- Murfitt, J.; Duguay, C.R. 50 Years of Lake Ice Research from Active Microwave Remote Sensing: Progress and Prospects. Remote Sens. Environ. 2021, 264, 112616. [Google Scholar] [CrossRef]
- Markus, T.; Cavalieri, D.J. Snow Depth Distribution Over Sea Ice in the Southern Ocean from Satellite Passive Microwave Data. In Antarctic Research Series; Jeffries, M.O., Ed.; American Geophysical Union: Washington, DC, USA, 2013; pp. 19–39. ISBN 978-1-118-66824-5. [Google Scholar]
- Hallikainen, M.; Winebrenner, D.P. The Physical Basis for Sea Ice Remote Sensing. In Geophysical Monograph Series; Carsey, F.D., Ed.; American Geophysical Union: Washington, DC, USA, 1992; Volume 68, pp. 29–46. ISBN 978-0-87590-033-9. [Google Scholar]
- Du, J.; Kimball, J.S.; Duguay, C.; Kim, Y.; Watts, J.D. Satellite Microwave Assessment of Northern Hemisphere Lake Ice Phenology from 2002 to 2015. Cryosphere 2017, 11, 47–63. [Google Scholar] [CrossRef]
- Rott, H.; Yueh, S.H.; Cline, D.W.; Duguay, C.; Essery, R.; Haas, C.; Hélière, F.; Kern, M.; Macelloni, G.; Malnes, E.; et al. Cold Regions Hydrology High-Resolution Observatory for Snow and Cold Land Processes. Proc. IEEE 2010, 98, 752–765. [Google Scholar] [CrossRef]
- Trampuz, C.; Coccia, A.; Imbembo, E. Technical Assistance for the Development and Deployment of an X- and Ku- Band MiniSAR Airborne System; Metasensing, Final Report, Contract 4000101697/10/NL/FF/ef. 2011. Available online: https://earth.esa.int/eogateway/documents/20142/37627/SnowSAR-FinalReport_DataSet_Desc.pdf (accessed on 8 January 2024).
- Palosuo, E.; Leppäranta, M.; Seinä, A. Formation, Thickness and Stability of Fast Ice along the Finnish Coast; Winter Navig. Res. Board: Helsinki, Finland, 1982; Available online: https://www.traficom.fi/sites/default/files/12795-Report_No_36_FORMATION%2C_THICKNESS_AND_STABILITY_OF_FAST_ICE_ALONG_THE_FINNISH_COAST.pdf (accessed on 8 January 2024).
- Hallikainen, M. Microwave Remote Sensing of Low-Salinity Sea Ice. In Geophysical Monograph Series; Carsey, F.D., Ed.; American Geophysical Union: Washington, DC, USA, 1992; Volume 68, pp. 361–373. ISBN 978-0-87590-033-9. [Google Scholar]
- Cheng, B.; Vihma, T.; Rontu, L.; Kontu, A.; Pour, H.K.; Duguay, C.; Pulliainen, J. Evolution of Snow and Ice Temperature, Thickness and Energy Balance in Lake Orajärvi, Northern Finland. Tellus Dyn. Meteorol. Oceanogr. 2014, 66, 21564. [Google Scholar] [CrossRef]
- Di Leo, D.; Coccia, A.; Meta, A. Technical Assistance for the Development and Deployment of an X- and Ku-Band MiniSAR Airborne System (SnowSAR). Analysis and Comments on SnowSAR Datasets, Final Report, Contract 4000101697/10/NL/FF/ef. 2016. Available online: https://earth.esa.int/eogateway/documents/20142/37627/SnowSAR-Final-Report-MS-EST-SNW-03-TCN-258.pdf (accessed on 8 January 2024).
- Schwerdt, M.; Schmidt, K.; Klenk, P.; Tous Ramon, N.; Rudolf, D.; Raab, S.; Weidenhaupt, K.; Reimann, J.; Zink, M. Radiometric Performance of the TerraSAR-X Mission over More Than Ten Years of Operation. Remote Sens. 2018, 10, 754. [Google Scholar] [CrossRef]
- Lemmetyinen, J.; Kontu, A.; Pulliainen, J.; Mäkynen, M. Synergy of CoReH2O SAR and Microwave Radiometry Data to Retrieve Snow and Ice Parameters—Task 1 Report; ESA Study, Contract 22829/09/NL/JC; European Space Agency: Paris, France, 2013. [Google Scholar]
- Ulaby, F.T.; Moore, R.K.; Fung, A.K. Microwave Remote Sensing. 2: Radar Remote Sensing and Surface Scattering and Emission Theory; Remote Sensing; Addison-Wesley: Reading, MA, USA, 1982; ISBN 978-0-201-10760-9. [Google Scholar]
- Fung, A.K. Microwave Scattering and Emission Models and Their Applications; The Artech House Remote Sensing Library; Artech House: Boston, MA, USA, 1994; ISBN 978-0-89006-523-5. [Google Scholar]
- Makynen, M.; Cheng, B.; Simila, M.; Vihma, T.; Hallikainen, M. Interpretation of C-Band SAR Backscattering Coefficient Time Series for the Baltic Sea Landfast Sea Ice Using a 1-D Thermodynamic Snow/Ice Model. In Proceedings of the 2007 IEEE International Geoscience and Remote Sensing Symposium, Barcelona, Spain, 23–28 July 2007; pp. 3983–3986. [Google Scholar]
- Paterson, W.S.B. The Physics of Glaciers, 3rd ed.; Pergamon: Oxford, UK; Tarrytown, NY, USA, 1994; ISBN 978-0-08-037945-6. [Google Scholar]
- Kontu, A. Effect of Snow Microstructure and Subnivean Water Bodies on Microwave Radiometry of Seasonal Snow. Doctoral Thesis, Aalto University, Espoo, Finland, 2018. [Google Scholar]
- Kim, Y.-S.; Onstott, R.; Moore, R. Effect of a Snow Cover on Microwave Backscatter from Sea Ice. IEEE J. Ocean. Eng. 1984, 9, 383–388. [Google Scholar] [CrossRef]
- Howell, S.E.L.; Brown, L.C.; Kang, K.-K.; Duguay, C.R. Variability in Ice Phenology on Great Bear Lake and Great Slave Lake, Northwest Territories, Canada, from SeaWinds/QuikSCAT: 2000–2006. Remote Sens. Environ. 2009, 113, 816–834. [Google Scholar] [CrossRef]
- Shokr, M.; Sinha, N. Sea Ice: Physics and Remote Sensing; John Wiley & Sons: Hoboken, NJ, USA, 2015; ISBN 978-1-119-02789-8. [Google Scholar]
- Duguay, C.R.; Bernier, M.; Gauthier, Y.; Kouraev, A. Remote Sensing of Lake and River Ice. In Remote Sensing of the Cryosphere; Tedesco, M., Ed.; John Wiley & Sons, Ltd.: Chichester, UK, 2014; pp. 273–306. ISBN 978-1-118-36890-9. [Google Scholar]
- Leinss, S.; Parrella, G.; Hajnsek, I. Snow Height Determination by Polarimetric Phase Differences in X-Band SAR Data. IEEE J. Sel. Top. Appl. Earth Obs. Remote Sens. 2014, 7, 3794–3810. [Google Scholar] [CrossRef]
- Cai, Y.; Ke, C.-Q.; Duan, Z. Monitoring Ice Variations in Qinghai Lake from 1979 to 2016 Using Passive Microwave Remote Sensing Data. Sci. Total Environ. 2017, 607–608, 120–131. [Google Scholar] [CrossRef]
- Comiso, J.C.; Cavalieri, D.J.; Markus, T. Sea Ice Concentration, Ice Temperature, and Snow Depth Using AMSR-E Data. IEEE Trans. Geosci. Remote Sens. 2003, 41, 243–252. [Google Scholar] [CrossRef]
- Maaß, N.; Kaleschke, L.; Tian-Kunze, X.; Drusch, M. Snow Thickness Retrieval over Thick Arctic Sea Ice Using SMOS Satellite Data. Cryosphere 2013, 7, 1971–1989. [Google Scholar] [CrossRef]
- Markus, T.; Cavalieri, D.J.; Gasiewski, A.J.; Klein, M.; Maslanik, J.A.; Powell, D.C.; Stankov, B.B.; Stroeve, J.C.; Sturm, M. Microwave Signatures of Snow on Sea Ice: Observations. IEEE Trans. Geosci. Remote Sens. 2006, 44, 3081–3090. [Google Scholar] [CrossRef]
- Kern, S.; Ozsoy-Cicek, B.; Willmes, S.; Nicolaus, M.; Haas, C.; Ackley, S. An Intercomparison between AMSR-E Snow-Depth and Satellite C- and Ku-Band Radar Backscatter Data for Antarctic Sea Ice. Ann. Glaciol. 2011, 52, 279–290. [Google Scholar] [CrossRef]
- Merkouriadi, I.; Cheng, B.; Graham, R.M.; Rösel, A.; Granskog, M.A. Critical Role of Snow on Sea Ice Growth in the Atlantic Sector of the Arctic Ocean. Geophys. Res. Lett. 2017, 44, 10479–10485. [Google Scholar] [CrossRef]
- Cheng, B.; Zhang, Z.; Vihma, T.; Johansson, M.; Bian, L.; Li, Z.; Wu, H. Model Experiments on Snow and Ice Thermodynamics in the Arctic Ocean with CHINARE 2003 Data. J. Geophys. Res. 2008, 113, C09020. [Google Scholar] [CrossRef]
- Kern, S.; Ozsoy-Çiçek, B. Satellite Remote Sensing of Snow Depth on Antarctic Sea Ice: An Inter-Comparison of Two Empirical Approaches. Remote Sens. 2016, 8, 450. [Google Scholar] [CrossRef]
- Lawrence, I.R.; Tsamados, M.C.; Stroeve, J.C.; Armitage, T.W.K.; Ridout, A.L. Estimating Snow Depth over Arctic Sea Ice from Calibrated Dual-Frequency Radar Freeboards. Cryosphere 2018, 12, 3551–3564. [Google Scholar] [CrossRef]
- Kwok, R.; Kacimi, S.; Webster, M.A.; Kurtz, N.T.; Petty, A.A. Arctic Snow Depth and Sea Ice Thickness from ICESat-2 and CryoSat-2 Freeboards: A First Examination. J. Geophys. Res. Oceans 2020, 125, e2019JC016008. [Google Scholar] [CrossRef]
- Kern, M.; Cullen, R.; Berruti, B.; Bouffard, J.; Casal, T.; Drinkwater, M.R.; Gabriele, A.; Lecuyot, A.; Ludwig, M.; Midthassel, R.; et al. The Copernicus Polar Ice and Snow Topography Altimeter (CRISTAL) High-Priority Candidate Mission. Cryosphere 2020, 14, 2235–2251. [Google Scholar] [CrossRef]
- Wei, L.; Deng, X.; Cheng, B.; Vihma, T.; Hannula, H.-R.; Qin, T.; Pulliainen, J. The Impact of Meteorological Conditions on Snow and Ice Thickness in an Arctic Lake. Tellus Dyn. Meteorol. Oceanogr. 2016, 68, 31590. [Google Scholar] [CrossRef]
- Murfitt, J.; Duguay, C.R.; Picard, G.; Gunn, G.E. Investigating the Effect of Lake Ice Properties on Multifrequency Backscatter Using the Snow Microwave Radiative Transfer Model. IEEE Trans. Geosci. Remote Sens. 2022, 60, 1–23. [Google Scholar] [CrossRef]
- Beckers, J.F.; Alec Casey, J.; Haas, C. Retrievals of Lake Ice Thickness From Great Slave Lake and Great Bear Lake Using CryoSat-2. IEEE Trans. Geosci. Remote Sens. 2017, 55, 3708–3720. [Google Scholar] [CrossRef]
- Kheyrollah Pour, H.; Duguay, C.R.; Scott, K.A.; Kang, K.-K. Improvement of Lake Ice Thickness Retrieval From MODIS Satellite Data Using a Thermodynamic Model. IEEE Trans. Geosci. Remote Sens. 2017, 55, 5956–5965. [Google Scholar] [CrossRef]
- Zhou, L.; Stroeve, J.; Xu, S.; Petty, A.; Tilling, R.; Winstrup, M.; Rostosky, P.; Lawrence, I.R.; Liston, G.E.; Ridout, A.; et al. Inter-Comparison of Snow Depth over Arctic Sea Ice from Reanalysis Reconstructions and Satellite Retrieval. Cryosphere 2021, 15, 345–367. [Google Scholar] [CrossRef]
- Yackel, J.J.; Barber, D.G. Observations of Snow Water Equivalent Change on Landfast First-Year Sea Ice in Winter Using Synthetic Aperture Radar Data. IEEE Trans. Geosci. Remote Sens. 2007, 45, 1005–1015. [Google Scholar] [CrossRef]
- Paul, S.; Willmes, S.; Hoppmann, M.; Hunkeler, P.A.; Wesche, C.; Nicolaus, M.; Heinemann, G.; Timmermann, R. The Impact of Early-Summer Snow Properties on Antarctic Landfast Sea-Ice X-Band Backscatter. Ann. Glaciol. 2015, 56, 263–273. [Google Scholar] [CrossRef]
- Gill, J.P.S.; Yackel, J.J.; Geldsetzer, T.; Fuller, M.C. Sensitivity of C-Band Synthetic Aperture Radar Polarimetric Parameters to Snow Thickness over Landfast Smooth First-Year Sea Ice. Remote Sens. Environ. 2015, 166, 34–49. [Google Scholar] [CrossRef]
- Nghiem, S.V.; Tsai, W.-T. Global Snow Cover Monitoring with Spaceborne K/Sub u/-Band Scatterometer. IEEE Trans. Geosci. Remote Sens. 2001, 39, 2118–2134. [Google Scholar] [CrossRef]
- Eriksson, L.E.B.; Borenäs, K.; Dierking, W.; Berg, A.; Santoro, M.; Pemberton, P.; Lindh, H.; Karlson, B. Evaluation of New Spaceborne SAR Sensors for Sea-Ice Monitoring in the Baltic Sea. Can. J. Remote Sens. 2010, 36, S56–S73. [Google Scholar] [CrossRef]
- Nandan, V.; Geldsetzer, T.; Islam, T.; Yackel, J.J.; Gill, J.P.S.; Fuller, M.C.; Gunn, G.; Duguay, C. Ku-, X- and C-Band Measured and Modeled Microwave Backscatter from a Highly Saline Snow Cover on First-Year Sea Ice. Remote Sens. Environ. 2016, 187, 62–75. [Google Scholar] [CrossRef]
- Barber, D.G.; Fung, A.K.; Grenfell, T.C.; Nghiem, S.V.; Onstott, R.G.; Lytle, V.I.; Perovich, D.K.; Gow, A.J. The Role of Snow on Microwave Emission and Scattering over First-Year Sea Ice. IEEE Trans. Geosci. Remote Sens. 1998, 36, 1750–1763. [Google Scholar] [CrossRef]
- Shokr, M.; Dabboor, M. Observations of SAR Polarimetric Parameters of Lake and Fast Sea Ice during the Early Growth Phase. Remote Sens. Environ. 2020, 247, 111910. [Google Scholar] [CrossRef]
- Shaposhnikova, M.; Duguay, C.; Roy-Léveillée, P. Bedfast and Floating-Ice Dynamics of Thermokarst Lakes Using a Temporal Deep-Learning Mapping Approach: Case Study of the Old Crow Flats, Yukon, Canada. Cryosphere 2023, 17, 1697–1721. [Google Scholar] [CrossRef]
- Gunn, G.E.; Duguay, C.R.; Atwood, D.K.; King, J.; Toose, P. Observing Scattering Mechanisms of Bubbled Freshwater Lake Ice Using Polarimetric RADARSAT-2 (C-Band) and UW-Scat (X- and Ku-Bands). IEEE Trans. Geosci. Remote Sens. 2018, 56, 2887–2903. [Google Scholar] [CrossRef]
- Gunn, G.E.; Brogioni, M.; Duguay, C.; Macelloni, G.; Kasurak, A.; King, J. Observation and Modeling of X- and Ku-Band Backscatter of Snow-Covered Freshwater Lake Ice. IEEE J. Sel. Top. Appl. Earth Obs. Remote Sens. 2015, 8, 3629–3642. [Google Scholar] [CrossRef]
- Gunn, G.E.; Duguay, C.R.; Brown, L.C.; King, J.; Atwood, D.; Kasurak, A. Freshwater Lake Ice Thickness Derived Using Surface-Based X- and Ku-Band FMCW Scatterometers. Cold Reg. Sci. Technol. 2015, 120, 115–126. [Google Scholar] [CrossRef]
- Nghiem, S.V.; Leshkevich, G.A. Satellite SAR Remote Sensing of Great Lakes Ice Cover, Part 1. Ice Backscatter Signatures at C Band. J. Great Lakes Res. 2007, 33, 722–735. [Google Scholar] [CrossRef]
- Geldsetzer, T.; van der Sanden, J.; Brisco, B. Monitoring Lake Ice during Spring Melt Using RADARSAT-2 SAR. Can. J. Remote Sens. 2010, 36, S391–S400. [Google Scholar] [CrossRef]
- Sobiech, J.; Dierking, W. Observing Lake- and River-Ice Decay with SAR: Advantages and Limitations of the Unsupervised k-Means Classification Approach. Ann. Glaciol. 2013, 54, 65–72. [Google Scholar] [CrossRef]
- Engram, M.; Arp, C.D.; Jones, B.M.; Ajadi, O.A.; Meyer, F.J. Analyzing Floating and Bedfast Lake Ice Regimes across Arctic Alaska Using 25 Years of Space-Borne SAR Imagery. Remote Sens. Environ. 2018, 209, 660–676. [Google Scholar] [CrossRef]
- Ferguson, J.E.; Gunn, G.E. Polarimetric Decomposition of Microwave-Band Freshwater Ice SAR Data: Review, Analysis, and Future Directions. Remote Sens. Environ. 2022, 280, 113176. [Google Scholar] [CrossRef]
- King, J.; Derksen, C.; Toose, P.; Langlois, A.; Larsen, C.; Lemmetyinen, J.; Marsh, P.; Montpetit, B.; Roy, A.; Rutter, N.; et al. The Influence of Snow Microstructure on Dual-Frequency Radar Measurements in a Tundra Environment. Remote Sens. Environ. 2018, 215, 242–254. [Google Scholar] [CrossRef]
- Leshkevich, G.; Nghiem, S.V. Great Lakes Ice Classification Using Satellite C-Band SAR Multi-Polarization Data. J. Great Lakes Res. 2013, 39, 55–64. [Google Scholar] [CrossRef]
- Lemmetyinen, J.; Cohen, J.; Kontu, A.; Vehviläinen, J.; Hannula, H.-R.; Merkouriadi, I.; Scheiblauer, S.; Rott, H.; Nagler, T.; Ripper, E.; et al. Airborne SnowSAR Data at X and Ku Bands over Boreal Forest, Alpine and Tundra Snow Cover. Earth Syst. Sci. Data 2022, 14, 3915–3945. [Google Scholar] [CrossRef]










| Mission | SnowSAR Flight Date **** | In Situ Date | TSX Date (Closest Image) |
|---|---|---|---|
| 1 | 19 December 2011 20 December 2011 | 19 December 2011 20 December 2011 | 17 December 2011 |
| 2 * | 9 January 2012 10 January 2012 | 9 January 2012 10 January 2012 | 8 January 2012 |
| 3 * | 23 January 2012 24 January 2012 | 23 January 2012 24 January 2012 | 30 January 2012 |
| 4 * | 7 February 2012 8 February 2012 | 7 February 2012 8 February 2012 9 February 2012 * | 10 February 2012 |
| 5 * | 22 February 2012 23 February 2012 | 22 February 2012 23 February 2012 24 February 2012 | 21 February 2012 |
| 6 ** | 26 February 2012 | 25 February 2012 26 February 2012 | 21 February 2012 |
| 7 *** | 1 March 2012 | 29 February 2012 1 March 2012 | 3 March 2012 |
| 8 *** | 5 March 2012 | 5 March 2012 | 3 March 2012 |
| 9 *** | 10 March 2012 | 8 March 2012 13 March 2012 | 14 March 2012 |
| 10 * | 24 March 2012 | 23 March 2012 | 25 March 2012 |
| Sea Ice | Snow and Ice Properties | ||
|---|---|---|---|
| Variation | Mean | Std | |
| Snow depth (cm) * | 1–37 (2–19) ** | 14 (11) | 7.4 (5.1) |
| Ice thickness (cm) | 29–52 | 35 | 5.4 |
| Ice salinity (ppt) | 0.2–1.0 | - | - |
| SWE (mm) | 16–95 (25–44) | - | - |
| Snow density (g/cm3) | 0.28–0.36 (0.28–0.34) | 0.33 | 0.03 |
| Lake Ice | Snow and Ice Properties | ||
|---|---|---|---|
| Variation | Mean | Std | |
| Mission 2 | |||
| Snow depth (cm) | 0.4–27 | 13 | 5.1 |
| Ice thickness (cm) | 20–30 | 25 | 3.8 |
| Mission 4 | |||
| Track1 | |||
| Snow depth (cm) | 14–35 | 22 [21] *** | 4.1 [4.1] |
| Ice thickness (cm) | 38–40 | 39 | 1.0 |
| Track2 | |||
| Snow depth (cm) | 11.5–32 | 20 | 3.9 |
| Ice thickness (cm) | - | - | - |
| Mission 5 | |||
| Snow depth (cm) Ice thickness (cm) | 21–41 37–40 | 30 39 | 3.5 1.0 |
| Slope Term [db/cm] | Average [db] | R2 | p-Value | |
|---|---|---|---|---|
| Lake Track1 | ||||
| XVV | 0.13 | −11.3 | 0.34 | <0.001 |
| XVH | 0.16 | −20.3 | 0.36 | <0.001 |
| KuVV | 0.11 | −7.4 | 0.33 | <0.001 |
| KuVH | 0.12 | −15.1 | 0.33 | <0.001 |
| KuVV/KuVH | −0.03 | 7.8 | 0.14 | <0.001 |
| XVV/XVH | −0.03 | 9.0 | 0.11 | 0.003 |
| KuVV/XVV | −0.02 | 4.0 | 0.05 | 0.042 |
| KuVH/XVH | −0.02 | 5.2 | 0.03 | 0.138 |
| Lake Track2 | ||||
| XVV | 0.08 | −12.7 | 0.15 | <0.001 |
| XVH | 0.16 | −21.1 | 0.24 | <0.001 |
| KuVV | 0.08 | −8.5 | 0.19 | <0.001 |
| KuVH | 0.12 | −14.3 | 0.22 | <0.001 |
| KuVV/KuVH | −0.04 | 6.0 | 0.09 | <0.001 |
| XVV/XVH | −0.07 | 8.6 | 0.07 | <0.001 |
| KuVV/XVV | −0.01 | 4.3 | 0.01 | 0.142 |
| KuVH/XVH | −0.04 | 6.8 | 0.06 | 0.002 |
| Tracks combined | ||||
| XVV | 0.12 | −12.2 | 0.26 | <0.001 |
| XVH | 0.16 | −20.8 | 0.29 | <0.001 |
| KuVV | 0.11 | −8.1 | 0.27 | <0.001 |
| KuVH | 0.10 | −14.6 | 0.18 | <0.001 |
| KuVV/KuVH | −0.00 | 6.6 | 0.00 | 0.722 |
| XVV/XVH | −0.03 | 8.7 | 0.02 | 0.016 |
| KuVV/XVV | −0.02 | 4.2 | 0.06 | <0.001 |
| KuVH/XVH | −0.05 | 6.3 | 0.08 | <0.001 |
| Mission 2 | Mission 4 | |||||||
|---|---|---|---|---|---|---|---|---|
| Polarization | R2 | p-Value | Slope Term [db/cm] | Deviation | R2 | p-Value | Slope Term [db/cm] | Deviation |
| XVV | 0.04 | 0.009 | −0.058 | 0.0221 | 0.26 | <0.001 | 0.2089 | 0.0223 |
| XVH | 0.04 | 0.016 | −0.066 | 0.0275 | 0.37 | <0.001 | 0.2608 | 0.0216 |
| KuVV | 0.06 | 0.002 | −0.099 | 0.0317 | 0.25 | <0.001 | 0.1899 | 0.0207 |
| KuVH | 0.05 | 0.005 | −0.113 | 0.0398 | 0.24 | <0.001 | 0.1714 | 0.0190 |
| KuVV/KuVH | 0.01 | 0.224 | 0.013 | 0.0102 | 0.01 | 0.230 | 0.0185 | 0.0154 |
| XVV/XVH | 0.01 | 0.201 | 0.010 | 0.0076 | 0.04 | 0.001 | −0.0519 | 0.0158 |
| KuVV/XVV | 0.04 | 0.016 | −0.042 | 0.0171 | 0.03 | 0.005 | −0.0190 | 0.0067 |
| KuVH/XVH | 0.03 | 0.039 | −0.047 | 0.0225 | 0.14 | <0.001 | −0.0894 | 0.0138 |
| Mission 5 | ||||||||
| XVV | 0.00 | 0.770 | −0.003 | 0.0110 | ||||
| XVH | 0.00 | 0.044 | −0.024 | 0.0130 | ||||
| KuVV | 0.00 | 0.397 | −0.012 | 0.0144 | ||||
| KuVH | 0.00 | 0.440 | −0.012 | 0.0158 | ||||
| KuVV/KuVH | 0.00 | 0.996 | 0.000 | 0.0046 | ||||
| XVV/XVH | 0.02 | <0.001 | 0.021 | 0.0055 | ||||
| KuVV/XVV | 0.00 | 0.045 | −0.012 | 0.0062 | ||||
| KuVH/XVH | 0.00 | 0.213 | 0.009 | 0.0074 | ||||
| SnowSAR Band | Line Regression Statistics | |||
|---|---|---|---|---|
| Slope Term | Offset | R2 | p-Value | |
| XVV | 0.04 | −15.3 | 0.02 | 0.545 |
| XVH | 0.05 | −26.2 | 0.07 | 0.280 |
| KuVV | 0.09 | −11.5 | 0.21 | 0.042 |
| KuVH | 0.05 | −21.6 | 0.12 | 0.130 |
| KuVV/KuVH | 0.04 | 10.1 | 0.12 | 0.137 |
| XVV/XVH | −0.01 | 10.8 | 0.10 | 0.692 |
| KuVV/XVV | 0.06 | 3.9 | 0.10 | 0.175 |
| KuVH/XVH | 0.01 | 4.6 | 0.00 | 0.881 |
Disclaimer/Publisher’s Note: The statements, opinions and data contained in all publications are solely those of the individual author(s) and contributor(s) and not of MDPI and/or the editor(s). MDPI and/or the editor(s) disclaim responsibility for any injury to people or property resulting from any ideas, methods, instructions or products referred to in the content. |
© 2024 by the authors. Licensee MDPI, Basel, Switzerland. This article is an open access article distributed under the terms and conditions of the Creative Commons Attribution (CC BY) license (https://creativecommons.org/licenses/by/4.0/).
Share and Cite
Veijola, K.; Cohen, J.; Mäkynen, M.; Lemmetyinen, J.; Praks, J.; Cheng, B. X- and Ku-Band SAR Backscattering Signatures of Snow-Covered Lake Ice and Sea Ice. Remote Sens. 2024, 16, 369. https://doi.org/10.3390/rs16020369
Veijola K, Cohen J, Mäkynen M, Lemmetyinen J, Praks J, Cheng B. X- and Ku-Band SAR Backscattering Signatures of Snow-Covered Lake Ice and Sea Ice. Remote Sensing. 2024; 16(2):369. https://doi.org/10.3390/rs16020369
Chicago/Turabian StyleVeijola, Katriina, Juval Cohen, Marko Mäkynen, Juha Lemmetyinen, Jaan Praks, and Bin Cheng. 2024. "X- and Ku-Band SAR Backscattering Signatures of Snow-Covered Lake Ice and Sea Ice" Remote Sensing 16, no. 2: 369. https://doi.org/10.3390/rs16020369
APA StyleVeijola, K., Cohen, J., Mäkynen, M., Lemmetyinen, J., Praks, J., & Cheng, B. (2024). X- and Ku-Band SAR Backscattering Signatures of Snow-Covered Lake Ice and Sea Ice. Remote Sensing, 16(2), 369. https://doi.org/10.3390/rs16020369

