Research on Design and Staged Deployment of LEO Navigation Constellation for MEO Navigation Satellite Failure
Abstract
1. Introduction
2. Problem Description and Methodology
2.1. Optimal Design of LEO Navigation Constellation
2.1.1. Configuration of Constellations
2.1.2. Performance Metrics for Navigation Constellation
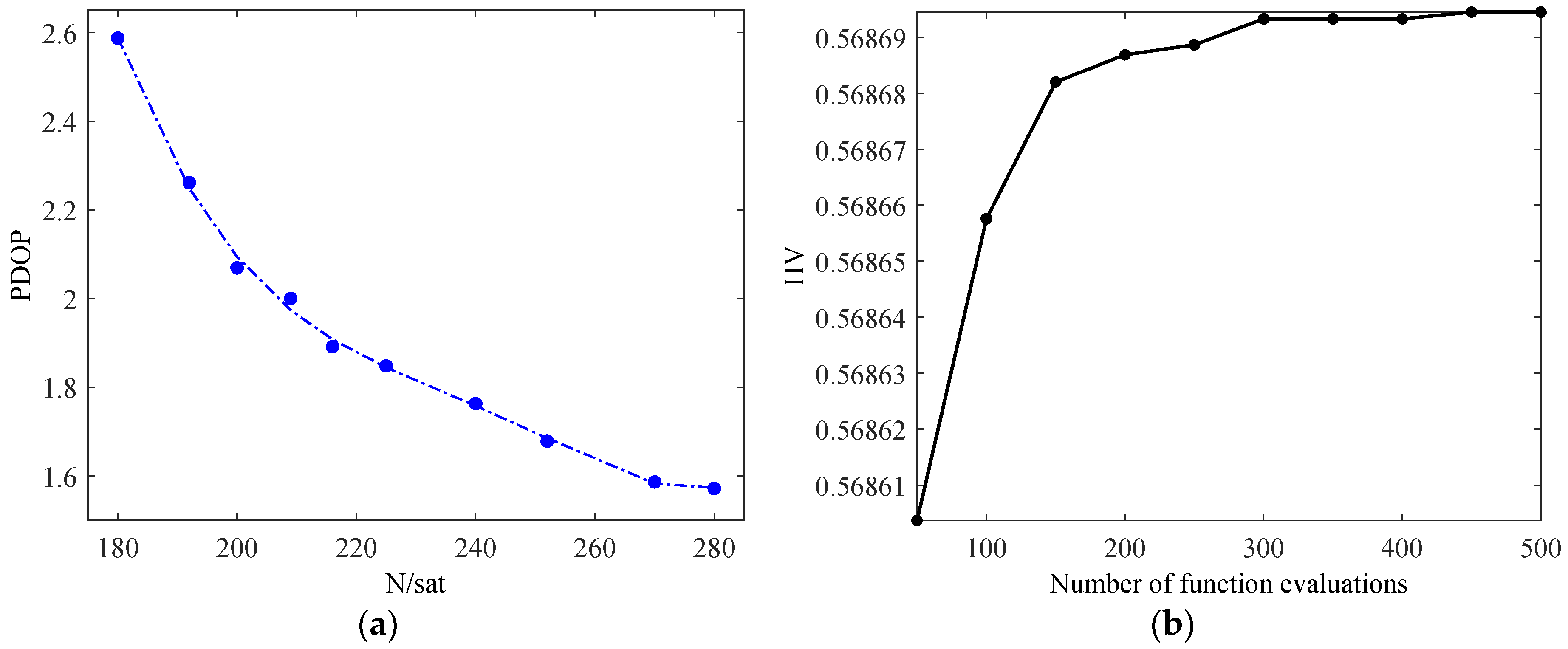
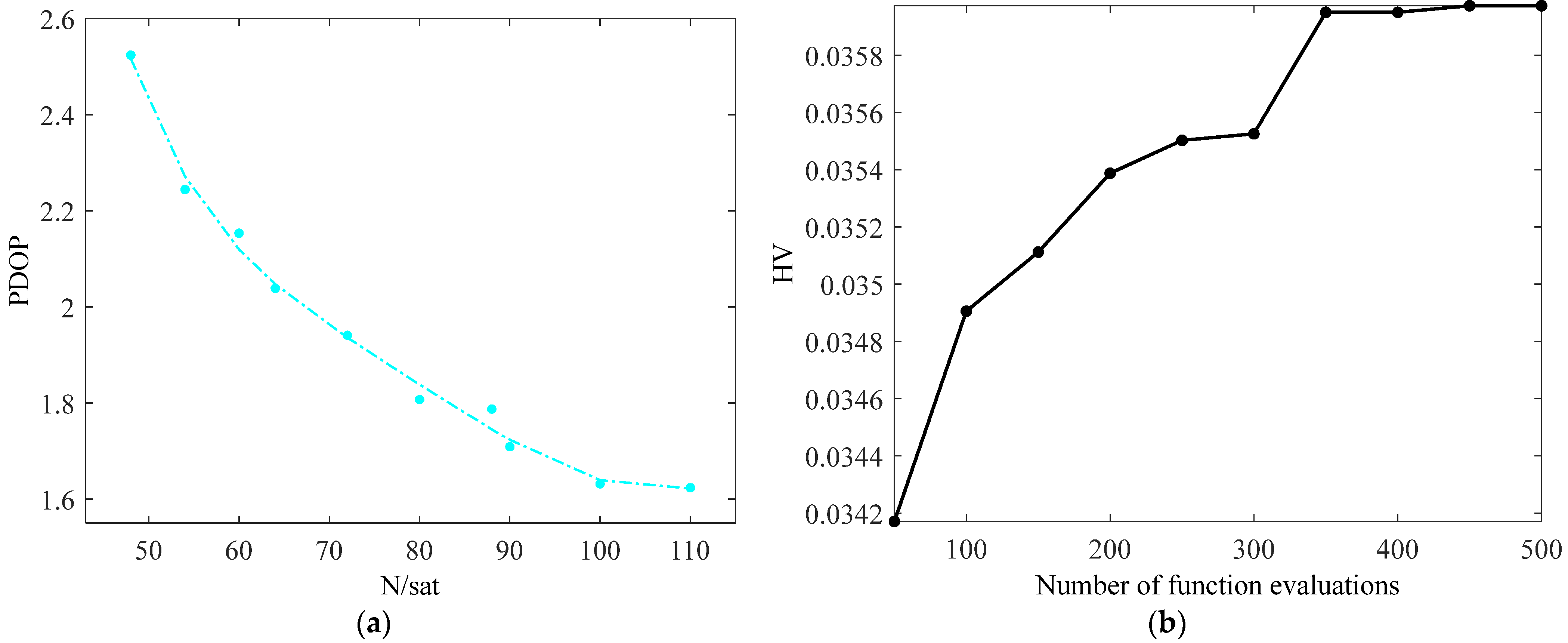
2.1.3. Optimization Algorithms and Models
2.2. MEO Satellite Failure and Staged Deployment
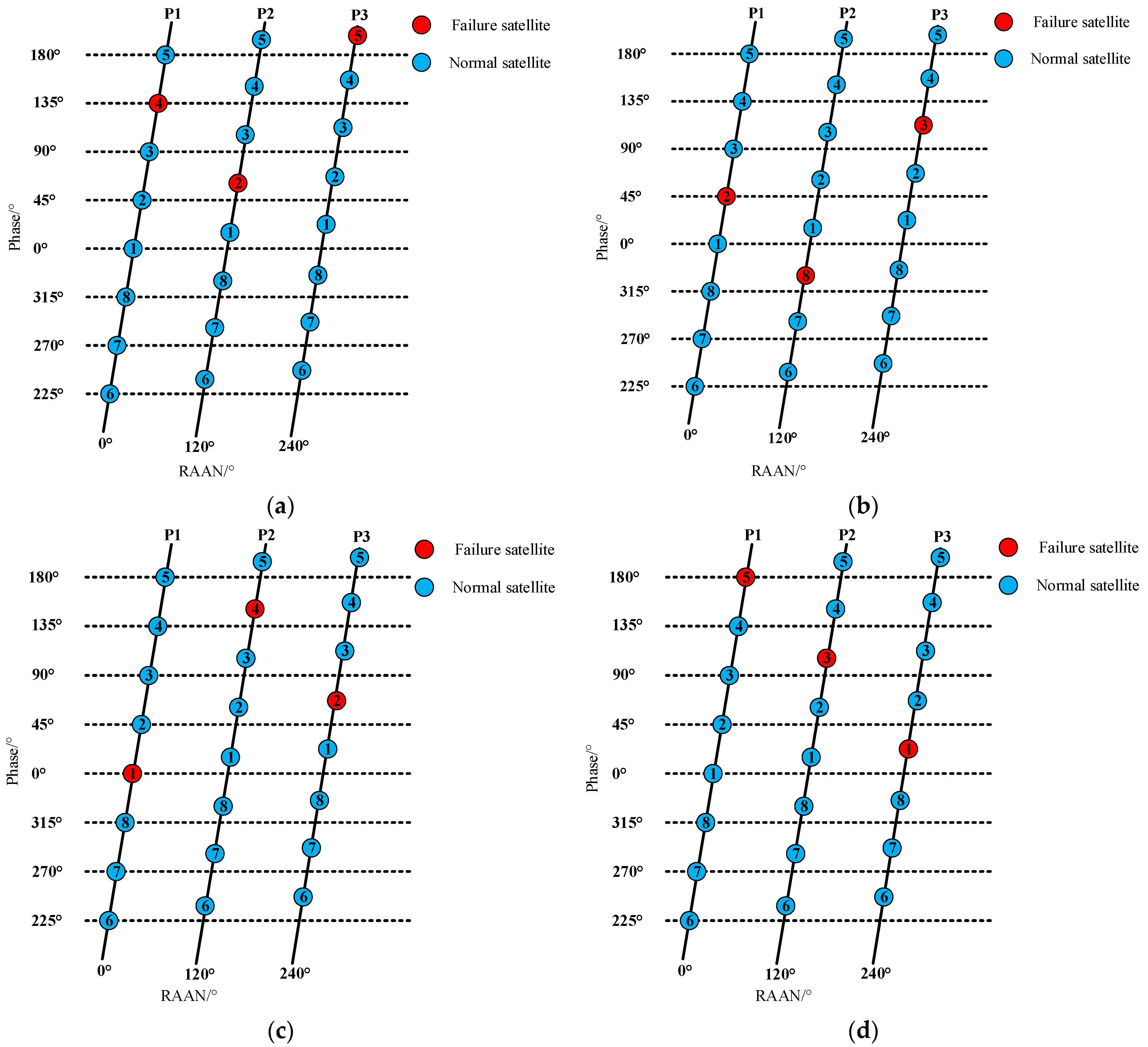
2.2.1. Satellite Failure Model
2.2.2. Staged Deployment Model
3. Results
3.1. Optimization Results and Analysis
3.1.1. The Impact of Orbital Altitude on LEO Satellites
3.1.2. The Impact of Orbital Inclination on LEO Satellites
3.1.3. Optimization Design of LEO Tilt Constellation
3.1.4. Optimization Design of LEO Polar Constellation
3.2. Staged Deployment of LEO Constellation for MEO Navigation Satellite Failure
3.2.1. Failure Analysis of Single and Double Satellite in MEO Navigation Constellation
3.2.2. Analysis of Three-Satellite Failure Based on Monte Carlo Method
3.3. Staged Deployment of LEO Constellation
4. Discussion
4.1. Comparison of LEO Constellation Scheme with GNSS
4.2. Analysis of Different Failure Modes
4.3. Analysis of Staged Deployment Scheme
5. Conclusions
Author Contributions
Funding
Data Availability Statement
Acknowledgments
Conflicts of Interest
References
- Melaku, S.D.; Kim, H.-D. Optimization of Multi-Mission CubeSat Constellations with a Multi-Objective Genetic Algorithm. Remote Sens. 2023, 15, 1572. [Google Scholar] [CrossRef]
- Deccia, C.M.; Wiese, D.N.; Nerem, R.S. Using a multiobjective genetic algorithm to design satellite constellations for recovering Earth system mass change. Remote Sens. 2022, 14, 3340. [Google Scholar] [CrossRef]
- Wang, X.; Zhang, H.; Bai, S.; Yue, Y. Design of agile satellite constellation based on hybrid-resampling particle swarm optimization method. Acta Astronaut. 2021, 178, 595–605. [Google Scholar] [CrossRef]
- Imoto, Y.; Satoh, S.; Obata, T.; Yamada, K. Optimal constellation design based on satellite ground tracks for Earth observation missions. Acta Astronaut. 2023, 207, 1–9. [Google Scholar] [CrossRef]
- Deng, Z.; Ge, W.; Yin, L.; Dai, S. Optimization design of two-layer Walker constellation for LEO navigation augmentation using a dynamic multi-objective differential evolutionary algorithm based on elite guidance. GPS Solut. 2023, 27, 26. [Google Scholar] [CrossRef] [PubMed]
- Jiang, C.; Luo, Z.; Guan, M.; Zhu, H. Low orbit regional enhanced navigation constellation for BDS3 design based on Bayesian optimization algorithm. Geod. Geodyn. 2024; in press. [Google Scholar] [CrossRef]
- Huang, S.; Colombo, C.; Bernelli-Zazzera, F. Multi-criteria design of continuous global coverage Walker and Street-of-Coverage constellations through property assessment. Acta Astronaut. 2021, 188, 151–170. [Google Scholar] [CrossRef]
- Han, Y.; Wang, L.; Fu, W.; Zhou, H.; Li, T.; Xu, B.; Chen, R. LEO navigation augmentation constellation design with the multi-objective optimization approaches. Chin. J. Aeronaut. 2021, 34, 265–278. [Google Scholar] [CrossRef]
- Yang, Y.; Mao, Y.; Sun, B. Basic performance and future developments of BeiDou global navigation satellite system. Satell. Navig. 2020, 1, 1. [Google Scholar] [CrossRef]
- Yang, Y.; Ren, X.; Jia, X.; Sun, B. Development trends of the national secure PNT system based on BDS. Sci. China Earth Sci. 2023, 66, 929–938. [Google Scholar] [CrossRef]
- Yang, Y.; Mao, Y.; Ren, X.; Jia, X.; Sun, B. Demand and key technology for a LEO constellation as augmentation of satellite navigation systems. Satell. Navig. 2024, 5, 11. [Google Scholar] [CrossRef]
- Yin, K.; Li, R.; Wang, C.; Teng, J. Credibility research of BeiDou navigation satellites based on LEO constellation enhancement. In Proceedings of the 13th China Satellite Navigation Conference, Beijing, China, 25–27 May 2022. [Google Scholar]
- Guan, M.; Xu, T.; Gao, F.; Nie, W.; Yang, H. Optimal walker constellation design of LEO-based global navigation and augmentation system. Remote Sens. 2020, 12, 1845. [Google Scholar] [CrossRef]
- Liu, J.; Hao, J.; Yang, Y.; Xu, Z.; Liu, W.; Wu, R. Design optimisation of low earth orbit constellation based on BeiDou Satellite Navigation System precise point positioning. IET Radar Sonar Navig. 2022, 16, 1241–1252. [Google Scholar] [CrossRef]
- Ma, F.; Zhang, X.; Li, X.; Cheng, J.; Guo, F.; Hu, J.; Pan, L. Hybrid constellation design using a genetic algorithm for a LEO-based navigation augmentation system. GPS Solut. 2020, 24, 62. [Google Scholar] [CrossRef]
- Teng, Y.; Jia, X.; Peng, G. LEO navigation augmentation constellation design and precise point positioning performance analysis based on BDS-3. Adv. Space Res. 2023, 72, 1944–1960. [Google Scholar] [CrossRef]
- Shively, C. Satellite criticality concepts for unavailability and unreliability of GNSS satellite navigation. Navigation 1993, 40, 429–450. [Google Scholar] [CrossRef]
- Zhao, S.; Zhang, Y.; Dai, H.; Qi, Y. Failure Performance and Reconstruction Method of Satellite Navigation System. Aerosp. Control. Appl. 2018, 44, 49–55. [Google Scholar]
- De Weck, O.L.; De Neufville, R.; Chaize, M. Staged deployment of communications satellite constellations in low earth orbit. J. Aerosp. Comput. Inf. Commun. 2004, 1, 119–136. [Google Scholar] [CrossRef]
- Chaize, M. Enhancing the Economics of Satellite Constellations via Staged Deployment and Orbital Reconfiguration. Doctoral Dissertation, Massachusetts Institute of Technology, Cambridge, MA, USA, 2003. [Google Scholar]
- Chan, S.; Samuels, A.; Shah, N.; Underwood, J.; de Weck, O. Optimization of Hybrid Satellite Constellations using Multiple Layers and Mixed Circular-Elliptical Orbits. In Proceedings of the 22nd AIAA International Communications Satellite Systems Conferenc & Exhibit, Monterey, CA, USA, 9–12 May 2004. [Google Scholar]
- Durand, J.-M.; Michal, T.; Bouchard, J. GPS availability, part I: Availability of service achievable for different categories of civil users. Navigation 1990, 37, 123–139. [Google Scholar] [CrossRef]
- Xue, S.; Yang, Y. Combined walker configurations with minimal GDOP. Geomat. Inf. Sci. Wuhan Univ. 2016, 41, 380–387. [Google Scholar]
- Zhang, Y.; Li, Z.; Li, R.; Wang, Z.; Yuan, H.; Song, J. Orbital design of LEO navigation constellations and assessment of their augmentation to BDS. Adv. Space Res. 2020, 66, 1911–1923. [Google Scholar] [CrossRef]
- Zhang, Y.; Jia, L.; Yu, J.; Liang, S. LEO constellation configuration design method with constant trajectory of subsatellite points. Chin. Space Sci. Technol. 2023, 43, 116–122. [Google Scholar]
- Tian, Y.; Cheng, R.; Zhang, X.; Jin, Y. PlatEMO: A MATLAB platform for evolutionary multi-objective optimization. IEEE Comput. Intell. Mag. 2017, 12, 73–87. [Google Scholar] [CrossRef]
- He, L.; Dai, W.; Wang, H.; He, X.; Zhou, Y.; Liu, C. Elevating performance in BDS-3 Precise Point Positioning Ambiguity Resolution through LEO augmented constellations. Measurement 2024, 236, 115010. [Google Scholar] [CrossRef]
















| Parameter | Scheme 1 | Scheme 2 | Scheme 3 | Scheme 4 | Scheme 5 |
|---|---|---|---|---|---|
| Altitude h/km | 1190 | 1176 | 1150 | 1125 | 1110 |
| Inclination i/° | 45 | 49 | 50 | 52 | 53 |
| Number of coverage | 11.88 | 11.64 | 11.48 | 11.28 | 11.11 |
| PDOP | 2.0072 | 1.8365 | 1.8498 | 1.9084 | 1.9494 |
| Parameter | Scheme 1 | Scheme 2 | Scheme 3 | Scheme 4 | Scheme 5 |
|---|---|---|---|---|---|
| Altitude h/km | 1117 | 1136 | 1152 | 1176 | 1193 |
| Inclination i/° | 88 | 87 | 86 | 85 | 87 |
| Number of coverage | 13.25 | 13.32 | 13.41 | 13.59 | 13.60 |
| PDOP | 1.9606 | 1.9091 | 1.8648 | 1.863 | 1.8115 |
| Event | PDOP | Event | PDOP |
|---|---|---|---|
| 24MEO | 2.348 | 24MEO + | 1.562 |
| 14-2235 | 5.208 | 24MEO + | 1.479 |
| 14-22-35 + | 2.828 | 24MEO + | 1.456 |
| 14-22-35 + | 2.206 | 24MEO + | 1.3 |
| 14-22-35 + | 2.039 | 1.676 |
| Failure Mode | Excellent | Good | Fair | Poor | Failure Mode | Excellent | Good | Fair | Poor |
|---|---|---|---|---|---|---|---|---|---|
| 1-3 | 48.00% | 52.00% | --- | --- | 1-2, 3-1 | 11.67% | 65.83% | 22.50% | --- |
| 2-3 | 45.45% | 54.55% | --- | --- | 1-1, 2-2 | 16.67% | 69.79% | 13.54% | --- |
| 3-3 | 41.67% | 58.33% | --- | --- | 1-1, 3-2 | 27.43% | 65.49% | 7.08% | --- |
| 1-1, 2-1, 3-1 | 13.83% | 44.66% | 32.02% | 9.49% | 2-2, 3-1 | 27.93% | 60.36% | 11.71% | --- |
| 1-2, 2-1 | 11.11% | 77.78% | 11.11% | --- | 2-1, 3-2 | 29.06% | 63.25% | 7.69% | --- |
| Number | Failure Mode | Minimum CV | Number | Failure Mode | Minimum CV |
|---|---|---|---|---|---|
| 1 | 14-22-35 | 83.9751 | 6 | 15-23-36 | 84.2006 |
| 2 | 12-28-33 | 84.0952 | 7 | 16-21-37 | 84.2084 |
| 3 | 11-24-32 | 84.1053 | 8 | 17-25-33 | 84.2085 |
| 4 | 15-23-31 | 84.1111 | 9 | 14-27-35 | 84.2088 |
| 5 | 18-26-34 | 84.1176 | 10 | 18-23-31 | 84.2182 |
Disclaimer/Publisher’s Note: The statements, opinions and data contained in all publications are solely those of the individual author(s) and contributor(s) and not of MDPI and/or the editor(s). MDPI and/or the editor(s) disclaim responsibility for any injury to people or property resulting from any ideas, methods, instructions or products referred to in the content. |
© 2024 by the authors. Licensee MDPI, Basel, Switzerland. This article is an open access article distributed under the terms and conditions of the Creative Commons Attribution (CC BY) license (https://creativecommons.org/licenses/by/4.0/).
Share and Cite
Xue, W.; Hu, M.; Ruan, Y.; Wang, X.; Yu, M. Research on Design and Staged Deployment of LEO Navigation Constellation for MEO Navigation Satellite Failure. Remote Sens. 2024, 16, 3667. https://doi.org/10.3390/rs16193667
Xue W, Hu M, Ruan Y, Wang X, Yu M. Research on Design and Staged Deployment of LEO Navigation Constellation for MEO Navigation Satellite Failure. Remote Sensing. 2024; 16(19):3667. https://doi.org/10.3390/rs16193667
Chicago/Turabian StyleXue, Wen, Min Hu, Yongjing Ruan, Xun Wang, and Moyao Yu. 2024. "Research on Design and Staged Deployment of LEO Navigation Constellation for MEO Navigation Satellite Failure" Remote Sensing 16, no. 19: 3667. https://doi.org/10.3390/rs16193667
APA StyleXue, W., Hu, M., Ruan, Y., Wang, X., & Yu, M. (2024). Research on Design and Staged Deployment of LEO Navigation Constellation for MEO Navigation Satellite Failure. Remote Sensing, 16(19), 3667. https://doi.org/10.3390/rs16193667
