Advancing Accuracy in Sea Level Estimation with GNSS-R: A Fusion of LSTM-DNN-Based Deep Learning and SNR Residual Sequences
Abstract
1. Introduction
2. Sea Level Inversion Approach
2.1. The Principle of GNSS-IR Technology
- pknoise > 2.8. The maximum amplitude should be 2.8 times larger than the average background noise amplitude.
- maxAmp > 5. Maximum amplitude peak in LSP spectral analysis should be greater than 5.
- 3 m < RH < 12 m. The effective reflector height at SC02 station should be between 3 m and 12 m.
- 5°. The difference between the maximum and minimum values of the elevation’s angle is at least 5°.
- ArcdelT < 75. The maximum duration of data used for inversion should not exceed 75 min.


2.2. The Principle of LSTM
2.3. Inversion Process of Proposed Strategy
3. Dataset Information
4. Experimental Results
4.1. Station SC02 Fresnel Reflectance Region and Model Evaluation Criteria
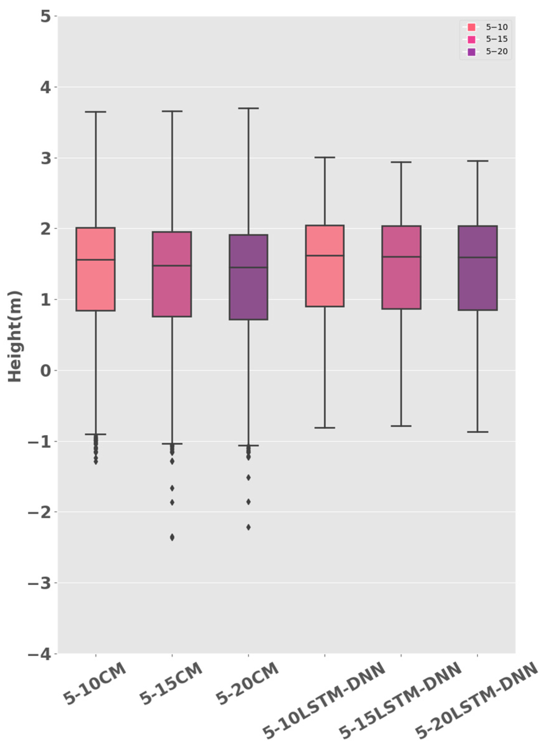
4.2. Sea Level Inversion at Different Elevation Ranges
5. Discussion
6. Conclusions
Author Contributions
Funding
Data Availability Statement
Acknowledgments
Conflicts of Interest
References
- Soulat, F.; Caparrini, M.; Germain, O.; Lopez-Dekker, P.; Taani, M.; Ruffini, G. Sea state monitoring using coastal GNSS-R. Geophys. Res. Lett. 2004, 31. [Google Scholar] [CrossRef]
- Bevis, M.; Businger, S.; Herring, T.A.; Rocken, C.; Anthes, R.A.; Ware, R.H. GPS meteorology: Remote sensing of atmospheric water vapor using the global positioning system. J. Geophys. Res. Atmos. 1992, 97, 15787–15801. [Google Scholar] [CrossRef]
- Wickert, J.; Cardellach, E.; Martín-Neira, M.; Bandeiras, J.; Bertino, L.; Andersen, O.B.; Camps, A.; Catarino, N.; Chapron, B.; Fabra, F. GEROS-ISS: GNSS reflectometry, radio occultation, and scatterometry onboard the international space station. IEEE J. Sel. Top. Appl. Earth Obs. Remote Sens. 2016, 9, 4552–4581. [Google Scholar] [CrossRef]
- Larson, K.M.; Ray, R.D.; Nievinski, F.G.; Freymueller, J.T. The accidental tide gauge: A GPS reflection case study from Kachemak Bay, Alaska. IEEE Geosci. Remote Sens. Lett. 2013, 10, 1200–1204. [Google Scholar] [CrossRef]
- Yan, Q.; Liu, S.; Chen, T.; Jin, S.; Xie, T.; Huang, W. Mapping Surface Water Fraction Over the Pan-tropical Region Using CYGNSS Data. IEEE Trans. Geosci. Remote Sens. 2024, 62, 5800914. [Google Scholar] [CrossRef]
- Larson, K.M.; Nievinski, F.G. GPS snow sensing: Results from the EarthScope Plate Boundary Observatory. GPS Solut. 2013, 17, 41–52. [Google Scholar] [CrossRef]
- Larson, K.M.; Small, E.E.; Gutmann, E.; Bilich, A.; Axelrad, P.; Braun, J. Using GPS multipath to measure soil moisture fluctuations: Initial results. GPS Solut. 2008, 12, 173–177. [Google Scholar] [CrossRef]
- Yan, Q.; Huang, W. Sea ice thickness measurement using spaceborne GNSS-R: First results with TechDemoSat-1 data. IEEE J. Sel. Top. Appl. Earth Obs. Remote Sens. 2020, 13, 577–587. [Google Scholar] [CrossRef]
- Yan, Q.; Huang, W. Sea ice remote sensing using GNSS-R: A review. Remote Sens. 2019, 11, 2565. [Google Scholar] [CrossRef]
- Jackson, T.J.; Chen, D.; Cosh, M.; Li, F.; Anderson, M.; Walthall, C.; Doriaswamy, P.; Hunt, E.R. Vegetation water content mapping using Landsat data derived normalized difference water index for corn and soybeans. Remote Sens. Environ. 2004, 92, 475–482. [Google Scholar] [CrossRef]
- Martin-Neira, M. A passive reflectometry and interferometry system (PARIS): Application to ocean altimetry. ESA J. 1993, 17, 331–355. [Google Scholar]
- Anderson, K.D. Determination of water level and tides using interferometric observations of GPS signals. J. Atmos. Ocean. Technol. 2000, 17, 1118–1127. [Google Scholar] [CrossRef]
- Limsupavanich, N.; Guo, B.; Fu, X. Application of RNN on GNSS Reflectometry Sea level monitoring. Int. J. Remote Sens. 2022, 43, 3592–3608. [Google Scholar] [CrossRef]
- Kim, S.-K.; Park, J. Monitoring a storm surge during Hurricane Harvey using multi-constellation GNSS-Reflectometry. GPS Solut. 2021, 25, 63. [Google Scholar] [CrossRef]
- Raj, N.; Brown, J. Prediction of Mean Sea Level with GNSS-VLM Correction Using a Hybrid Deep Learning Model in Australia. Remote Sens. 2023, 15, 2881. [Google Scholar] [CrossRef]
- Jian, L.; Wang, X.; Huang, S.; Hao, H.; Zhang, X.; Yang, X. Comparative analysis of different empirical mode decomposition-kind algorithms on sea-level inversion by GNSS-MR. J. Appl. Geod. 2024, 18, 133–152. [Google Scholar] [CrossRef]
- Hu, Y.; Yuan, X.; Liu, W.; Wickert, J.; Jiang, Z. GNSS-R snow depth inversion based on variational mode decomposition with multi-GNSS constellations. IEEE Trans. Geosci. Remote Sens. 2022, 60, 2005512. [Google Scholar] [CrossRef]
- Williams, S.; Nievinski, F. Tropospheric delays in ground-based GNSS multipath reflectometry—Experimental evidence from coastal sites. J. Geophys. Res. Solid Earth 2017, 122, 2310–2327. [Google Scholar] [CrossRef]
- Nievinski, F.G.; Larson, K.M. Forward modeling of GPS multipath for near-surface reflectometry and positioning applications. GPS Solut. 2014, 18, 309–322. [Google Scholar] [CrossRef]
- Lomb, N.R. Least-squares frequency analysis of unequally spaced data. Astrophys. Space Sci. 1976, 39, 447–462. [Google Scholar] [CrossRef]
- Larson, K.M.; Gutmann, E.D.; Zavorotny, V.U.; Braun, J.J.; Williams, M.W.; Nievinski, F.G. Can we measure snow depth with GPS receivers? Geophys. Res. Lett. 2009, 36, L17502. [Google Scholar] [CrossRef]
- Yu, K.; Ban, W.; Zhang, X.; Yu, X. Snow depth estimation based on multipath phase combination of GPS triple-frequency signals. IEEE Trans. Geosci. Remote Sens. 2015, 53, 5100–5109. [Google Scholar] [CrossRef]
- Chen, Q.; Won, D.; Akos, D.M. Snow depth sensing using the GPS L2C signal with a dipole antenna. EURASIP J. Adv. Signal Process. 2014, 2014, 106. [Google Scholar] [CrossRef]
- Qian, X.; Jin, S. Estimation of snow depth from GLONASS SNR and phase-based multipath reflectometry. IEEE J. Sel. Top. Appl. Earth Obs. Remote Sens. 2016, 9, 4817–4823. [Google Scholar] [CrossRef]
- Zheng, N.; Chen, P.; Li, Z. Accuracy analysis of ground-based GNSS-R sea level monitoring based on multi GNSS and multi SNR. Adv. Space Res. 2021, 68, 1789–1801. [Google Scholar] [CrossRef]
- Zheng, N.; Chen, P.; Li, Z.; Ma, Y.; Liu, L. Tide height inversion and accuracy analysis based on GNSS-MR technology. In Proceedings of the China Satellite Navigation Conference (CSNC) 2020 Proceedings: Volume I, Chengdu, China, 23–25 May 2020; pp. 141–152. [Google Scholar]
- Zhang, S.; Liu, K.; Liu, Q.; Zhang, C.; Zhang, Q.; Nan, Y. Tide variation monitoring based improved GNSS-MR by empirical mode decomposition. Adv. Space Res. 2019, 63, 3333–3345. [Google Scholar] [CrossRef]
- Böhm, J.; Möller, G.; Schindelegger, M.; Pain, G.; Weber, R. Development of an improved empirical model for slant delays in the troposphere (GPT2w). GPS Solut. 2015, 19, 433–441. [Google Scholar] [CrossRef]
- Bennett, G. The calculation of astronomical refraction in marine navigation. J. Navig. 1982, 35, 255–259. [Google Scholar] [CrossRef]
- Peng, D.; Hill, E.M.; Li, L.; Switzer, A.D.; Larson, K.M. Application of GNSS interferometric reflectometry for detecting storm surges. GPS Solut. 2019, 23, 47. [Google Scholar] [CrossRef]
- Fang, W.; Jiang, J.; Lu, S.; Gong, Y.; Tao, Y.; Tang, Y.; Yan, P.; Luo, H.; Liu, J. A LSTM algorithm estimating pseudo measurements for aiding INS during GNSS signal outages. Remote Sens. 2020, 12, 256. [Google Scholar] [CrossRef]
- Lindsey, J. The Fresnel zone and its interpetive significance. Lead. Edge 1989, 8, 33–39. [Google Scholar] [CrossRef]
- Bayındır, C.; Altintas, A.A.; Ozaydin, F. Self-localized solitons of a q-deformed quantum system. Commun. Nonlinear Sci. Numer. Simul. 2021, 92, 105474. [Google Scholar] [CrossRef]
- Xu, H.; Wu, H. Accurate tsunami wave prediction using long short-term memory based neural networks. Ocean. Model. 2023, 186, 102259. [Google Scholar] [CrossRef]
- Meng, Z.-F.; Chen, Z.; Khoo, B.C.; Zhang, A.-M. Long-time prediction of sea wave trains by LSTM machine learning method. Ocean. Eng. 2022, 262, 112213. [Google Scholar] [CrossRef]










| Mould | Layer | Value |
|---|---|---|
| LSTM-DNN | Lstm1 | (Max_n, 128) |
| Dnn1 | (128, 64) | |
| Dnn2 | (64, 32) | |
| Dnn3 | (32, 1) |
| Method | Elevation | R2 | RMSE | MAE |
|---|---|---|---|---|
| CM | 5°–10° | 95.20% | 17.937 cm | 14.158 cm |
| 5°–15° | 93.71% | 20.843 cm | 15.615 cm | |
| 5°–20° | 90.83% | 25.197 cm | 17.614 cm | |
| LSTM-DNN | 5°–10° | 95.23% | 17.425 cm | 11.888 cm |
| 5°–15° | 95.49% | 17.191 cm | 11.701 cm | |
| 5°–20° | 93.19% | 21.227 cm | 14.607 cm |
Disclaimer/Publisher’s Note: The statements, opinions and data contained in all publications are solely those of the individual author(s) and contributor(s) and not of MDPI and/or the editor(s). MDPI and/or the editor(s) disclaim responsibility for any injury to people or property resulting from any ideas, methods, instructions or products referred to in the content. |
© 2024 by the authors. Licensee MDPI, Basel, Switzerland. This article is an open access article distributed under the terms and conditions of the Creative Commons Attribution (CC BY) license (https://creativecommons.org/licenses/by/4.0/).
Share and Cite
Hu, Y.; Tian, A.; Yan, Q.; Liu, W.; Wickert, J.; Yuan, X. Advancing Accuracy in Sea Level Estimation with GNSS-R: A Fusion of LSTM-DNN-Based Deep Learning and SNR Residual Sequences. Remote Sens. 2024, 16, 1874. https://doi.org/10.3390/rs16111874
Hu Y, Tian A, Yan Q, Liu W, Wickert J, Yuan X. Advancing Accuracy in Sea Level Estimation with GNSS-R: A Fusion of LSTM-DNN-Based Deep Learning and SNR Residual Sequences. Remote Sensing. 2024; 16(11):1874. https://doi.org/10.3390/rs16111874
Chicago/Turabian StyleHu, Yuan, Aodong Tian, Qingyun Yan, Wei Liu, Jens Wickert, and Xintai Yuan. 2024. "Advancing Accuracy in Sea Level Estimation with GNSS-R: A Fusion of LSTM-DNN-Based Deep Learning and SNR Residual Sequences" Remote Sensing 16, no. 11: 1874. https://doi.org/10.3390/rs16111874
APA StyleHu, Y., Tian, A., Yan, Q., Liu, W., Wickert, J., & Yuan, X. (2024). Advancing Accuracy in Sea Level Estimation with GNSS-R: A Fusion of LSTM-DNN-Based Deep Learning and SNR Residual Sequences. Remote Sensing, 16(11), 1874. https://doi.org/10.3390/rs16111874

