Abstract
Accurately assessing and predicting the impacts of land use changes on ecosystem carbon stocks in the Yellow River Basin (YRB) and exploring the optimization of land use structure to increase ecosystem carbon stocks are of great practical significance for China to achieve the goal of “double carbon”. In this study, we used multi-year remote sensing data, meteorological data and statistical data to measure the ecosystem carbon stock in the YRB from 2000 to 2020 based on the InVEST model, and then simulated and measured the ecosystem carbon stock under four different land use scenarios coupled with the FLUS model in 2030. The results show that, from 2000 to 2020, urban expansion in the YRB continued, but woodland and grassland grew more slowly. Carbon stock showed an increasing trend during the first 20 years, with an overall increase of 7.2 megatons, or 0.23%. Simulating the four land use scenarios in 2030, carbon stock will decrease the most under the cropland protection scenario, with a decrease of 17.7 megatons compared with 2020. However, carbon stock increases the most under the ecological protection scenario, with a maximum increase of 9.1 megatons. Furthermore, distinct trends in carbon storage were observed across different regions, with significant increases in the upstream under the natural development scenario, in the midstream under the ecological protection scenario and in the downstream under the cropland protection scenario. We suggest that the upstream should maintain the existing development mode, with ecological protection prioritized in the middle reaches and farmland protection prioritized in the lower reaches. This study provides a scientific basis for the carbon balance, land use structure adjustment and land management decision-making in the YRB.
1. Introduction
In the context of climate change, global warming is increasing, and extreme events are occurring frequently, endangering the survival and development of humankind [1,2,3]. How to reduce carbon emissions and increase carbon sequestration capacity has become a focus of attention. China has launched several carbon reduction policies since the beginning of the 21st century, such as Nationally Appropriate Mitigation Actions (NAMAs) and Five-Year Plans (FYPs). In addition, China has committed to striving for carbon peaking by 2030 and carbon neutrality by 2060 [4]. Terrestrial ecosystems are important carriers of carbon emissions and carbon storage and are key to the carbon cycle worldwide and climate change. Existing studies have shown that land use/cover change (LUCC) plays a significant role in influencing how much carbon is stored in terrestrial ecosystems [5]. LUCC affects local and even global carbon cycling processes by influencing the Earth’s biochemical cycling processes [6,7,8]. Due to the disturbance caused by human activities, the change in carbon storage in terrestrial ecosystems caused by land use change is uncertain in the carbon cycle process, which shows that the effect of changes in land use on carbon storage to enhance carbon storage in terrestrial ecosystems are important ways to mitigate the rising CO2 concentration and global warming [9,10].
Based on LUCC, many scholars have analyzed the carbon cycle of global and national ecosystems in-depth, mainly including the carbon storage capacity of different ecosystems [11,12], the relationship between carbon storage and LUCC [13,14] and the carbon emission mechanism of LUCC [15,16,17], among others. LUCC affects soil carbon storage by changing the input and output environments of soil organic matter, and affects vegetation carbon storage by changing vegetation cover and biomass [18]. Analyzing the effects of LUCC on vegetation or soil carbon stocks in ecosystems is crucial to understand how LUCC affects carbon processes. Different ecosystems have varying capacities for sequestering carbon, and LUCC in forests [19,20], grasslands [21,22], croplands [23,24] and cities [25,26] has different impacts on the soil and vegetation’s ability to store carbon. Currently, scholars focus on the quantitative variations in carbon storage between vegetation types, land use types and regions, but an understanding of the complex mechanism between LUCC and carbon storage is still lacking.
The quantitative assessment of carbon storage is the prerequisite and basis for studying the carbon cycle process. Model simulation methods and field survey methods are frequently used to evaluate terrestrial carbon storage. The field survey method is the most basic and effective assessment method, but it is complicated to operate, and the laboratory equipment is expensive, so it is suitable for the assessment of carbon storage in small areas. The model simulation method makes up for the shortcomings of the field survey method, and common models include empirically based statistical models, ecosystem process simulation models and remote sensing models. Previous studies used empirical statistical models to assess carbon storage [27,28]. Large uncertainties exist in the simulation results of empirical statistical models due to the limited number of observed samples and the challenge of localizing the model parameters. Ecosystem process simulation models are the current hotspot of carbon storage research, including the CLUE-Nuts model [29], CENTURY model [30], Atmosphere–Vegetation Interaction Model (AVIM2) [31], Biome—BioGeochemical Cycles (Biome-BGC) model [32], etc. Although these models take into account the physicochemical processes of the carbon cycle and the physiological processes of plants, the shortcomings of this approach are the difficulty of obtaining complex biological and geographical parameters of ecosystems and the lack of consideration of the processes of change in the structural functioning and spatial distribution of ecosystems. Some remote sensing models, such as the Carnegie–Ames–Stanford Approach (CASA) [33], GLObal Production Efficiency Model (GIO-PEM) [34], vegetation photosynthesis model (VPM) [35], etc., can fully utilize the vegetation observation information from satellite remote sensing, do not require field sampling and can reduce the interpolation error, which are widely used in the assessment of carbon stock, but such models are limited by the geographical area and the type of vegetation, and most of them are empirical models with which it is not easy to accurately calculate the carbon stock. In recent years, the Integrated Valuation of Ecosystem Services and Trade-offs (InVEST) model is often applied to estimate carbon storage, which can be coupled with land prediction models to assess future ecosystem carbon storage [36,37]. However, the process of localizing carbon density parameters in existing studies usually draws directly from other literature or is validated by meteorological data, which increases the uncertainty of carbon storage estimation.
Currently, there are a significant number of studies being conducted on carbon storage and the research is still insufficient. First, the existing studies based on the assessment of carbon storage in LUCC are characterized by significant uncertainties in the results due to the insufficient amount of data resulting from the high cost of field observations and limitations caused by empirical modeling. In this study, we combined the carbon density data under ecological zoning with the secondary categorization of land use types to reduce the error between the carbon density parameters and the actual carbon density caused by spatial heterogeneity, and to improve the accuracy of carbon stock estimation by the InVEST model. Secondly, existing studies mainly focus on the assessment of carbon storage capacity for single development scenarios in the history or the future [38,39], and the simulation of future multi-scenario carbon storage capacity is still to be optimized [40]. Therefore, we assessed the land use changes in the Yellow River Basin (YRB) and their impacts on the carbon stock under various development scenarios in the future through the coupling of the Future Land Use Simulation (FLUS) 2.4 model and the InVEST 3.13 model.
In summary, we simulated the land use pattern under different scenarios based on the FLUS–InVEST model, and predicted the potential of future carbon storage under different scenarios, with the aim to provide a scientific basis for the carbon balance and land use structure adjustment in the Yellow River Basin.
2. Materials and Methods
2.1. Study Area
Situated in northern China, the YRB (32°2′–42°50′N, 96°58′–119°5′E) spans 5464 km in total length (Figure 1). The basin has complex topography and geomorphology, diverse climate types and abundant natural resources. The Loess Plateau, the North China Plain and the Tibetan Plateau are connected by this ecological corridor. In recent years, the YRB has experienced rapid economic development, and at the same time, the ecological environment in the basin has deteriorated. Imbalances in the allocation of natural resources exacerbate ecosystem vulnerability, and on the other hand, resource waste, land degradation and pollution are accelerated by urban growth and the irrational usage of ecological zones. Carbon storage services can reflect the quality of ecosystems [41]. It is crucial to analyze how the YRB’s carbon storage has changed, which could ensure ecological security in the area and promote the coordinated growth of the socioeconomic and ecological systems.
Figure 1.
Overview of the Yellow River Basin in China.
2.2. Data Sources and Preprocessing
This research collected a series of datasets. Land use data were derived from the Climate Change Initiative–LUCC (CCI–LC) remote sensing product of the European Space Agency (ESA), which has a 300 m × 300 m spatial resolution. Since the land use data in the dataset are not in raster format, the raw data were preprocessed with network Common Data Form (NetCDF) data conversion. The land use maps for 2000, 2010 and 2020 were obtained through the process of uniform projection (WGS 1984 Cylindrical Equal Area), reclassification (Table S1) and resampling (1 km × 1 km). In this paper, land use types are classified into seven categories: grassland, cultivated land, woodland, barren, urban, water area and permanent snow and ice. Carbon density data were derived from the 2010s China Terrestrial Ecosystem Carbon Density Dataset (http://www.nesdc.org.cn (accessed on 10 February 2023)) [42]. The Digital Elevation Model (DEM) was obtained from the National Glacial Tundra Desert Science Data Center (www.ncdc.ac.cn (accessed on 11 February 2023)) [43]. Meteorological data and spatial distribution data of GDP and population were derived from the Center for Resource and Environmental Science and Data of the Chinese Academy of Sciences (http://www.resdc.cn (accessed on 13 February 2023)) [44]. Soil data were derived from the National Glacial Tundra Desert Science Data Center (www.ncdc.ac.cn (accessed on 14 February 2023)) [45]. Road and river data were derived from China National Basic Geographic Information (https://www.webmap.cn (accessed on 15 February 2023)).
2.3. Method
2.3.1. Carbon Storage
In this research, the carbon storage of the YRB was evaluated using the carbon storage module of the InVEST 3.13 model. The carbon storage module determines the total of the four ecosystem carbon pools—the aboveground, belowground, soil and dead carbon pools.
where is aboveground carbon value, is belowground carbon value, is dead carbon value, is soil carbon value and is the total carbon storage in terrestrial ecosystems.
Based on the 2010s Chinese terrestrial ecosystem carbon density dataset, the 892, 686 and 1134 sample data were selected for the calculation of aboveground, belowground and soil carbon densities of vegetation in the YRB, respectively [46]. In order to decrease the mistake resulting from carbon density averaging, land use data, ecological zoning and carbon density points were stacked and analyzed, and the mean value of carbon density of each category in different ecological zoning points were used as the input parameter of the carbon storage module, and the carbon density of water area and urban land categories were calculated with reference to the research results of other scholars [47,48]. The results of the carbon density are shown in Table S2. Considering that the carbon fixed during crop growth will be released to the atmosphere in the form of CO2 in a short period, the aboveground and belowground carbon densities of vegetation on cultivated land were set to 0. In addition, a soil carbon density of 0–20 cm was selected to assess the carbon storage in this paper, and the calculation of dead organic carbon was not taken into account.
2.3.2. FLUS Model
FLUS is a cellular automaton (CA) model for simulating land use changes, which uses a cellular automaton based on the adaptive inertial competition mechanism based on artificial neural network (ANN) suitability probabilities obtained from multiple driving factors to realize the simulation of future land use changes. In contrast to the typical CA model, the FLUS 2.4 model can effectively couple the socio-economic elements and the natural environment elements and achieve the simulation of LUCC by designing the transformation matrix and roulette mechanism among different land classes. It can solve the problems of local transformation and complex parameter determination in the traditional CA method and can better simulate and detect the complex change system.
In the ANN module, a certain percentage of training samples are taken to determine multiple factors that drive LUCC, as input layer neurons in the neural network and the output layer will be given the probability of shifting like elements to other land classes:
In the CA module of the adaptive inertia competition mechanism, it is necessary to adjust the inertia coefficient for every kind of land use. Multiple iterations are based on the land demand in the future scenario and the actual number of current classes in each raster. Finally, the allocation of land use in hypothetical futures is simulated by modifying each raster’s inheritance of the existing land usage [49].
where indicates the kind of land use’s inertia coefficient for period t and shows the discrepancy between the number of land uses that are actually in use at any one time and the demand for that type of land use, respectively. and are the differences between the land use requirements and the actual current land use quantities for category at time and time , respectively.
LUCC was the result of a multi-factor interaction drive. Based on data about land use driving factors, the FLUS 2.4 model simulates the likelihood that various land use types will be spatially suitable using an ANN. Synthesizing the related literature [50,51,52], and combining the topography and geomorphology, hydrological features and the variability in the development within the basin, this paper selected 15 driving factors related to LUCC, such as socio-economics, natural environment, spatial accessibility and so on (Figure S1). These 15 drivers are input into the model as the training set of the neural network, and the final training accuracy RSME = 0.2111 is obtained. RMSE is a measure of the predictive accuracy of a predictive model on continuous data, and a smaller the RMSE indicates that the model is more accurate in its prediction, from which it can be concluded that the training results are better.
Each land use type’s growth capacity is primarily determined by the neighborhood factor, which is in a range of 0–1. A terrain type has a greater capacity for expansion the closer it is to 1. The neighborhood factors in this study were set to 0.8 for water, 0.7 for forest land, 0.7 for grassland, 0.7 for barren, 0.6 for cultivated land, 0.7 for urban and 0.9 for permanent snow and ice, respectively. This is shown in Table S3.
The FLUS 2.4 model integrates neighborhood factors, transformation rules and realizes the simulation of LUCC based on the suitability probability of each class. In this study, we chose to carry out an iterative cycle under a 3 × 3 molar neighborhood and at last received the results of the land use simulation in the YRB in 2020.
In this paper, the three indices of the Kappa coefficient, overall accuracy (OA) and figure of merit (FoM) are mainly selected to verify the accuracy of simulation results. The calculation formula is as follows:
where is the proportion of simulation results consistent with the actual, expressed as the proportion of predicted results consistent with the actual in the random situation. For a kappa coefficient between 0 and 1, the larger the value of the kappa coefficient, the higher the simulation accuracy, and when the kappa coefficient > 0.75, this indicates that the land use change prediction of the degree of coincidence is higher and therefore that the the simulation effect is better [53].
where indicates the number of correct rasters for land use change simulation, N is the total number of rasters involved in land use change simulation in the study area and the larger the OA value, the higher the simulation accuracy.
where represents the number of rasters where the land use type remains unchanged in the simulation results and the actual land use type changes, is the raster data where the simulation results and the actual land use type changes are consistent, is the number of rasters where the simulation results and the actual land use type changes are inconsistent and is the number of rasters where the simulation results in a change in the land use type and the actual land use type does not change. Similar to the kappa coefficient, the higher the value of the FoM coefficient, the more accurate the simulation. As far as the theory is concerned, there is no fixed range for the value of FoM accuracy; in previous studies, the FoM value is mostly lower than 0.3, and the FoM accuracy is related to the simulation step size [54].
Findings from a comparison of the simulation and actual 2020 land use data revealed that the FoM index is 0.0327, the OA accuracy is 0.8785 and the correlation Kappa coefficient is 0.8010. The simulated land changes have a high similarity to the actual land change patterns, and future scenarios are more reliably predicted with the FLUS 2.4 model.
2.3.3. Scenario Setting
Considering of historical LUCC processes and development objectives of the YRB, we set up four scenarios, which are Natural Development Scenario (NDS), Ecological Protection Scenario (EPS), Cropland Protection Scenario (CPS) and Urban Expansion Scenario (UES) [48].
NDS: Policies will not influence LUCC in the future, and the pattern of LUCC will remain the same from 2010 to 2020.
EPS: Adhere to the ecological primacy principle and restrict the conversion of grasslands and forests into other land types. Increase the chance of converting agricultural land into a forest (Table S4). Decrease the neighborhood parameter of barren and urban by 0.1 and increase the neighborhood parameter of forest land, grassland and water by 0.1 based on the natural development scenario (Table S5), and finally set the land transfer rank in the cost matrix as forest land > grassland > water > others (Table S6).
CPS: The main ways to increase the area under cultivation are to restrict the conversion of cultivated land into different land classes, adjusting the likelihood of converting farmed land to different types of land use based on natural development, while the neighborhood factor of cultivated land is increased by 0.2 and the amount of unused land is decreased by 0.1. The cost matrix restricts cultivated land from shifting to barren land types.
UES: Compressing the area for cultivated land, woodland, grassland and barrenness increases the chance of transferring these areas to the urban area, resulting in rapid urban growth. Adjustment of the urban neighborhood factor increases by 0.1 and the cultivated land, woodland, grassland and barren neighborhood factor decreases by 0.1, while the cost matrix is set to have only a single transfer of other land categories to the city.
3. Results
3.1. Impact of Historical Land Use Change on Carbon Storage
3.1.1. Characteristics of Land Use Change 2000–2020
There was a stable spatial distribution of land use types in the YRB, with grassland, woodland and cultivated land from west to east (Figure 2). The spatial distribution was closely related to the topography and terrain of the three terraces of the YRB, the disparity in temperature and the uneven distribution of precipitation. Grassland occupied the largest area in the YRB, mainly distributed in the large part of the upper reaches and the localized area (Hekouzhen to Longmen) in the middle reaches. Cultivated land was the second largest land category in the YRB, mostly found in the middle and lower reaches. The majority of the forest land stretched from Longmen to the Huayuankou region in the middle reaches. Most urban land was found in the province capital cities, and urban expansion was obvious between 2000 and 2020, with cities growing significantly in size.
Figure 2.
Spatial distribution of land use in the Yellow River Basin, 2000–2020.
Figure 3b shows the proportion of each type of land use by area: grassland > cultivated land > woodland > barren > urban > water > permanent snow and ice. Between 2000 and 2020, the cultivated land in the YRB decreased the most, while urban land expansion was obvious, increasing by 11,527 km2. The areas of water, grassland and forests were expanding, while barren areas showed a decreasing and then increasing trend. Concerning the sub-basins, the upstream had the largest share of grassland area, above 73% (Figure S2b). The grassland area increased and then decreased, cultivated land area kept declining and forested land area kept growing between 2000 and 2020. The area of cultivated land in the midstream accounted for the largest proportion (Figure S2d), and cultivated land kept declining during the 20 years, forested land increased from 63,782 km2 to 65,712 km2, grassland area decreased and then increased and water and urban areas kept rising. Over 83% of the entire area was made up of the downstream cultivated land area, which kept on decreasing over the 20 years, while the urban area kept on increasing.
Figure 3.
LUCC in the Yellow River Basin from 2000 to 2020. (a) Area of land use type, (b) percentage of area in land use type.
3.1.2. Temporal Changes in Carbon Storage
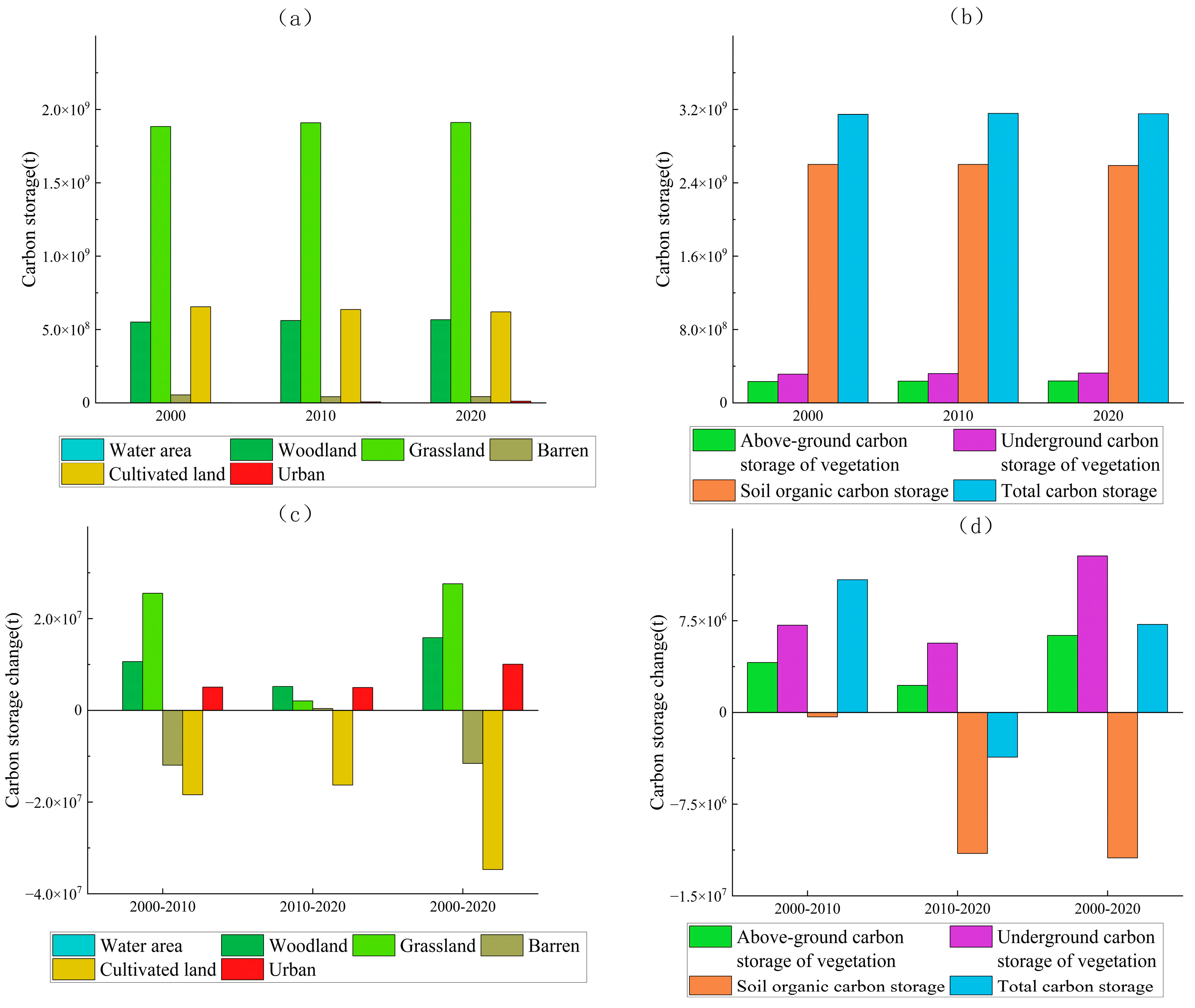
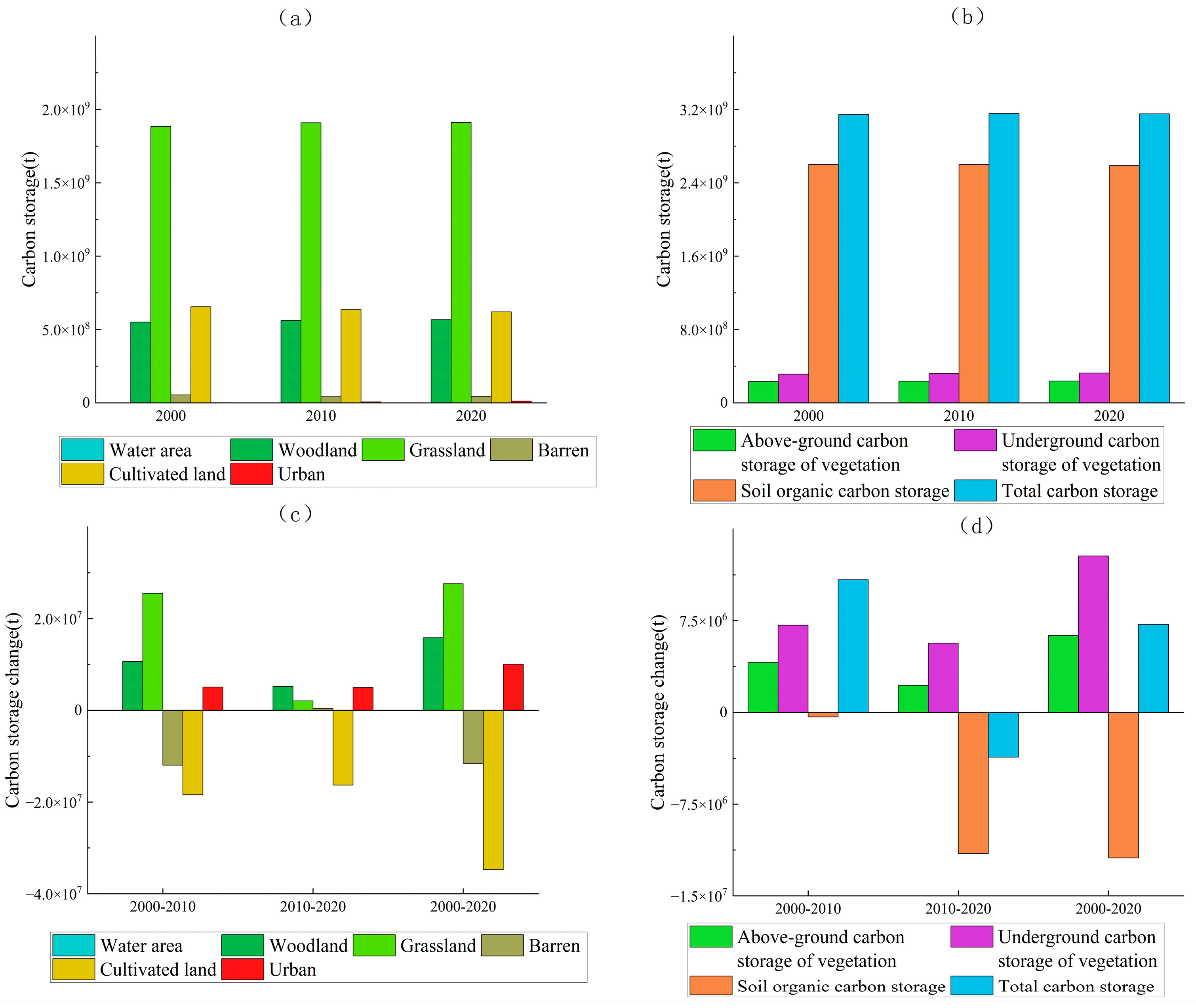
From 2000 to 2020, the YRB’s carbon storage trended upward and then downward (Figure 4). The cumulative values of carbon storage in the YRB in 2000, 2010 and 2020 were 3.1455 × 109 t, 3.1563 × 109 t and 3.1527 × 109 t, respectively. The land-use categories with the highest carbon storage values were grassland, cultivated land, forest, barren and urban, in decreasing order. Between 2000 and 2020, cultivated land’s carbon storage decreased, with a trend of declining and then increasing carbon storage in arid land. Urban environments, woodlands and grasslands all have higher carbon storage capacities. The YRB ecosystem’s carbon storage services were dominated by soil carbon storage in terms of carbon pools, much larger than vegetation carbon stocks. Carbon stocks above and below ground in the vegetation increased consistently over 20 years, indicating the effectiveness of the revegetation project.
Figure 4.
Changes in carbon storage in the Yellow River Basin of various land use types and carbon pools from 2000 to 2020. (a,b) Carbon storage of land use type, (c,d) changes in carbon storage in land use type.
The variations in carbon storage within the sub-basins are depicted in Figure 5. The upper reaches’ carbon storage exhibited a tendency of initially growing and then dropping between 2000 and 2020. The cumulative values of upstream carbon stock during 2000, 2010 and 2020 were of 1.9090 × 109 t, 1.9189 × 109 t and 1.9159 × 109 t, respectively, with a total increase of 6.8558 megatons in carbon stock for 20 years. Grassland and cultivated land contribute more to the carbon storage in the upper reaches, followed by woodland and barren areas. Carbon stocks in grassland increased and then decreased, barrenness decreased and then increased, carbon stocks in woodland continued to increase and carbon stocks in cultivated land decreased. In contrast to aboveground and belowground biomass, which both showed continuous increases, soil carbon storage displayed a trend of growing and then dropping.
Figure 5.
Changes in carbon storage of LUCC and carbon pools in the sub-basins from 2000 to 2020.
Between 2000 and 2020, the middle reaches of the YRB saw a constant rise in carbon storage, adding 2.58 megatons to the total. In the middle reaches of the YRB, the primary sources of carbon storage were forests, crops and grasslands. Woodland, grassland and urban carbon stocks continued to increase, and cultivated land carbon stocks continued to decrease from 2000 to 2020. The carbon storage in the middle reaches was mostly attributed to the soil carbon pool, with aboveground and underground carbon pools following suit. Between 2000 and 2020, the soil carbon pool continued to decline while the aboveground and belowground carbon pools of vegetation continued to rise.
The YRB’s lower reaches’ carbon storage kept declining, with a complete drop of 2.24 megatons from 2000 to 2020, which was mostly attributable to the decline in the area of cultivated land. The lower reaches of the YRB contributed the least to the carbon stock in the YRB. In terms of carbon pools, soil carbon storage made up the majority of downstream carbon storage between 2000 and 2020, and vegetation carbon storage increased while downstream soil carbon storage decreased.
3.1.3. Spatial Variation in Carbon Storage
The regional distribution of carbon storage in the YRB was rather constant when compared to the fundamental spatial distribution features of “high in the south and low in the north, high in the west and low in the east” (Figure 6). With a piecewise distribution, the high-value area was centered in the YRB’s southwest as well as its middle stretches from Longmen to Sanmenxia and from Sanmenxia to Huayuankou. The low-value area was centered in the regions that distributed water, bare land and construction land. The southeastern region of the Tibetan Plateau was dominated by alpine meadows, where a low temperature was unfavorable to the breakdown of organic materials in soil, and the region accumulated a large amount of soil carbon so that the upstream alpine meadows showed high-value areas of carbon storage. The western portion of the middle sections of the Yellow River has less carbon storage because the Loess Plateau region has a high sand content and the Luliang Mountain Range prevents water vapor from the east, which is detrimental to the establishment of plants.
Figure 6.
Spatial distribution of carbon storage in the Yellow River Basin from 2000 to 2020.
From 2000 to 2020, the total amount of carbon stored in the YRB did not vary in response to changes in space, with increasing and decreasing areas staggered (Figure S3). Carbon-storage-increasing areas were mostly centered in the upper reaches’ western region from Lanzhou to Hekou Town, and some areas in the middle stream from Hekou Town to Longmen, and decreasing areas were mainly distributed around the provincial capital cities. Influenced by LUCC, carbon storage showed opposite trends in different periods. The area wherein carbon storage changed in 2000–2020 was smaller compared to the two subperiods (2000–2010, 2010–2020). Between 2000 and 2020, the percentage of carbon storage that decreased (2.13%) was marginally less than the percentage of carbon storage that increased (2.48%).
3.2. Simulation and Analysis of Different Land Use Scenarios
Based on 2010 land use data, the FLUS 2.4 model was used to estimate the regional pattern of land use in 2030 for the scenarios of natural development, ecological conservation, agricultural protection and urban growth (Figure 7). Under all four scenarios in 2030, the land use was distributed spatially in a similar manner, with a significant expansion of urban land in all scenarios compared to 2020.
Figure 7.
Spatial distribution of future LUCC in the Yellow River Basin under different scenarios.
Urban growth was most significant under the UES, with urban areas accounting for 2.72% of the total, and expansion areas were concentrated in metropolitan areas in the YRB’s middle and lower regions (Figure 8). Cultivated land and grassland areas declined while areas of forest, water and bare ground rose. Compared to the other scenarios, cultivated land reduced the most, falling by 9.06‰.
Figure 8.
Future LUCC in the Yellow River Basin under different scenarios. (a) Area of land use type, (b) percentage of area in land use type.
Under the NDS, forest land, barrenness, waters and urban areas increased. At the same time, barrenness had a relatively large proportion in this scenario compared to other scenarios, with a proportion of 2.64%. The areas of grassland and cultivated land decreased, with grassland areas decreasing most significantly in this scenario, by 9118 km2.
Under the CPS, cultivated land expansion was most significant, showing an increase of 11.58‰. It was evident that urban land was expanding, with the majority of the growth areas falling into the urban agglomerations of Lanzhou–Xining and Hohhot–Baotou–Ordos–Yulin. The water area increased, and the extent of the barren, forested and grassland areas indicated a downward trend.
Under the EPS, the expansion of grassland and woodland was more significant, with the grassland area increasing by 4.12‰ and the woodland area increasing by 1.82‰, with the grassland and woodland areas accounting for 51.22% and 9.55%, respectively. The water area and urban area increased and the cultivated and barren area decreased.
There were notable differences in the distribution and quantitative changes in land use categories under the different scenarios in the upper, middle and downstream sections of the YRB (Figure S4). In all four scenarios, there was a downward trend in the upstream cultivated land area, an upward trend in the midstream cultivated land area under the natural development and cultivated land protection scenarios and only an upward trend in the downstream agricultural area under the cultivated land protection scenario. While the middle and downstream grassland regions showed a declining tendency under all four scenarios, the upstream grassland area showed a drop only under the cultivated land conservation scenario. The upstream urban area increased only in the case of farmland protection, and midstream and downstream urban areas decreased under the cultivated land protection scenario.
3.3. Assessment of Carbon Storage under Different Scenarios
3.3.1. Temporal Changes in Carbon Storage under Different Scenarios
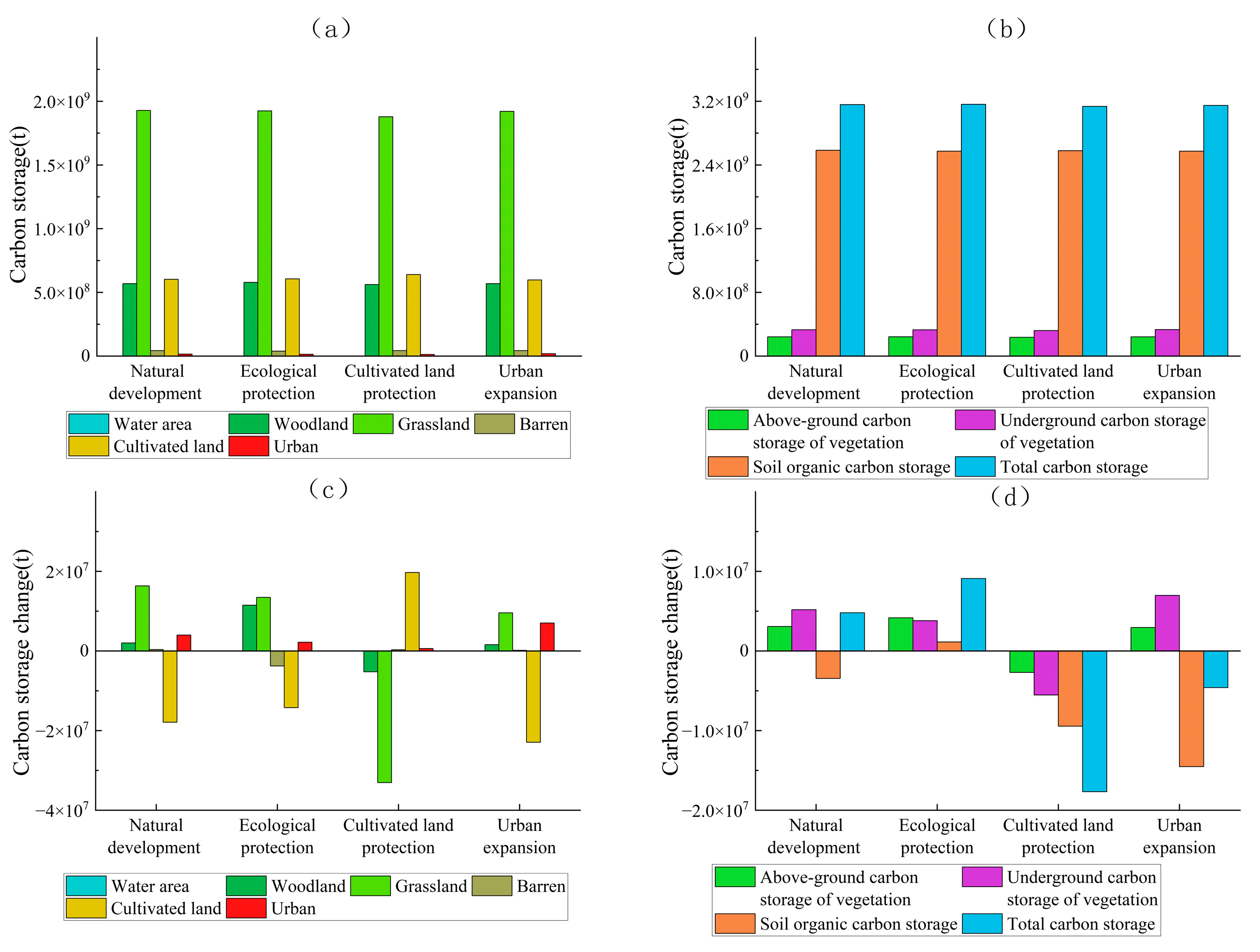
Under the NDS, the total carbon stock in the YRB is 31.57 × 108 t, which is an increase of 4.80 megatons of carbon stock compared to 2020 (Figure 9). All land types, with the exception of farming, experienced an increase in carbon storage relative to different land use types. The largest increase, of 16.33 megatons, was observed in grassland carbon storage. In terms of carbon pools, all carbon pools showed growth except soil carbon pools, with the most significant increase in belowground carbon stocks in vegetation. There was a 18.8 megatons increase in the overall carbon storage upstream, in which grassland carbon storage increased significantly, cultivated land carbon storage loss was severe and all carbon pools showed growth (Figures S5 and S6). In the midstream, with the exception of grassland, all land types exhibited a rising tendency in carbon storage, and the midstream soil carbon stock lost the most. In contrast to 2020, the downstream carbon storage decreased by 4.07 megatons, mainly reflecting the decline in carbon storage in cultivated land and grassland.
Figure 9.
Carbon storage and changes in land use and carbon pools in the Yellow River Basin under different future scenarios. (a,b) Carbon storage of land use type, (c,d) changes of carbon storage in land use type.
Under the EPS, the carbon stock in the YRB is 31.62 × 108 t in 2030, which is the largest increase among the four scenarios, with an increase of 9.10 megatons compared with 2020. Under this scenario, the carbon storage in urban areas, grasslands and woodlands rose, with woodland carbon storage increasing at the highest rate, namely 11.18 megatons. The carbon storage in barren and cultivated land decreased. All carbon pools showed growth in this scenario. Upstream carbon storage increased by 13.3 megatons in 2030, and woodland carbon storage showed an increasing trend only in this scenario. Similar to the NDS, all upstream carbon pools grew under this scenario. Under the ecological protection scenario, the amount of carbon stored in the midstream grasslands was negligibly lost, and all carbon pools in the midstream aside from the soil carbon pool exhibited an increasing trend.
Under the CPS, the YRB had the greatest decline in carbon storage, with 31.353 × 108 t of carbon stored in 2030 compared to 17.68 megatons in 2020. The carbon storage of cultivated land in the YRB only showed an increase in this scenario, with an increase of 19.71 megatons, and grassland’s capacity to store carbon decreased in this scenario, with a total decrease of 33.07 megatons. In this scenario, all the three pools of carbon showed a decrease. Upstream total carbon and, in this scenario, grassland carbon storage trended downward, and urban carbon storage showed an increase only in the cultivated land protection scenario. Midstream forest land and urban carbon storage showed a decrease only in this scenario. Downstream cultivated land carbon storage increased significantly by 2.84 megatons, and urban carbon storage was opposite to cultivated land carbon storage.
Under the UES, the carbon storage was 31.48 × 108 t in the YRB, a decrease of 4.61 megatons from 2020. Regarding various land use categories, only cultivated land carbon stock showed a decrease in this scenario, with grassland carbon stock showing the largest increase, followed by urban carbon stock and forest land carbon storage. Similar to the NDS, all carbon pools displayed an increase in this scenario except for the soil carbon pool, which decreased most significantly in this scenario. Compared to 2020, the overall carbon stock in the upstream grew by 15.4 megatons, whereas the farmland carbon stock dramatically reduced. The midstream urban carbon storage showed a large gain under this scenario, and all carbon pools in the midstream showed growth except for the soil carbon pool. Downstream cultivated land carbon storage showed the greatest loss in this scenario, while urban carbon storage showed significant growth in this scenario.
3.3.2. Spatial Variation in Carbon Storage under Different Scenarios
All things considered, the YRB’s regional carbon storage distribution under different scenarios was comparable (Figure 10). The central region’s distributed forest land and the southwest’s distributed grassland were the high-value carbon storage areas, while the western portion of the Yellow River Basin’s middle reaches and the distributed areas of water, barren and construction land were the low-value carbon storage areas. Changes in the spatial distribution of carbon storage under various scenarios were primarily seen in the upstream and intermediate reaches in the entwined regions of forestry, livestock and agriculture, where there were frequent changes in land use, and therefore changes in carbon storage. The region had a larger proportion of low-value areas for carbon storage under the UES, the highest percentage of high-value areas under the NDS, the lowest percentage of low-value areas under the EPS and the lowest percentage of high-value areas under the CPS.
Figure 10.
Spatial distribution of carbon storage in the Yellow River Basin under different future scenarios.
In terms of spatial changes, there was an insignificant difference in carbon storage changes in the YRB under different scenarios. In the scenarios of ecological preservation, urban growth and natural development, the carbon storage above Longyangxia and the junction from Longyangxia to Lanzhou, the west and north of Lanzhou to Hekouzhen, the middle reaches of the Yellow River from Hekouzhen to Longmen and part of the area from Longmen to Sanmenxia showed growth, while the urban agglomerations accounted for the majority of the areas with declining carbon storage. The urban agglomerations of Hohhot–Baotou–Ordos–Yulin and upstream Lanzhou–Xining showed the largest losses in carbon storage, and the scenarios of planted land conservation were special.
Differences in carbon storage under the four scenarios in 2030 were mostly focused in the transition areas of agriculture and livestock, agriculture and forestry in the upstream and midstream and the urban expansion area. While the rise in carbon stock was largest in the EPS, the loss of carbon stock in the YRB was more severe under the CPS. Carbon stocks in forest land and grassland in the YRB and in the upper, middle and lower reaches of the basin had the largest increment under the EPS, and carbon stocks in cultivated land had the largest increment under the CPS. The carbon stocks of other land use types in the upper, middle and lower reaches of the YRB still differ greatly under different scenarios.
4. Discussion
By coupling the FLUS–InVEST model, the key elements of land use and carbon density statistics based on different ecological zones and different vegetations were quantified, and the spatial distribution pattern of historical and future carbon stocks was measured, revealing the carbon storage effect of LUCC. To lower the inaccuracy in carbon density induced by spatial heterogeneity and increase the accuracy of the findings of the carbon storage calculation in the YRB, we calculated the carbon density of each species in several ecological zones. This study is crucial for effectively adapting to climate change, realizing ecological preservation and ensuring that the YRB develops at a high standard continually.
The carbon density parameter held great significance in the InVEST 3.13 model’s carbon storage computation and exerted a noteworthy influence on the carbon storage simulation outcomes. In this study, carbon density data were combined with land use data and ecological zoning to obtain the carbon density of different ecological zones in the Yellow River Basin. Compared with others who used a set of carbon density data to estimate carbon storage, this study improved the accuracy of carbon storage estimation to some extent. The range of vegetation carbon density settings in this study was close to that of Jia and Hou et al. as a whole [55,56]. The carbon density of the barren land found in this study was slightly lower than that of the sparse vegetation in the northern Tibetan Plateau [57], while the soil carbon density was significantly greater than that of the soil organic carbon density (8.6 Mg/ha) in 0–20 cm of the desert in the study of Xie et al. [58], mainly due to the differences in the sampling time and calculation method between the two. The organic carbon density of vegetation in the Henan section of the YRB in the study by Qin et al. ranged from 5.70 to 36.37 Mg/ha [59], and the set range of organic carbon density of vegetation in the same ecological zone in this study was from 1.72 to 38.03 Mg/ha, which was relatively similar. Compared with the carbon density values of Tang et al. for field surveys of forests, shrubs, grasslands and farmlands in China during 2010–2015 [60], the vegetation carbon densities of woodlands in the YRB were all lower than the national average, because the average carbon densities of woodlands and shrubs were used in this study. In summary, the carbon density data used in this study were relatively accurate and reliable. When compared to using a single set of carbon density data to represent the entire carbon density level in the studied area, this study may help to improve the accuracy of regional carbon storage estimation.
The findings demonstrated that the YRB’s overall carbon storage was 3.1455 × 109~3.1563 × 109 t from 2000 to 2020, which is lower than the value in other scholars’ studies [46,61]. First off, there were discrepancies in the land use and carbon density data utilized in this study. Additionally, the findings of the carbon storage computation varied depending on the sources and methodologies used to interpret the land use data. Most studies estimated the soil carbon storage at 1 m depth [62,63], while this paper calculated the carbon storage in the soil surface layer (0~20 cm), which led to the low carbon storage calculated. Second, there was a difference in the carbon density of vegetation in cultivated land, and we set farmland vegetation’s aboveground and belowground carbon densities to 0, which was different from other scholars [46,61]. Last but not least, the fact that this study neglected to account for the computation of subterranean carbon storage in cities and dead organic carbon storage is another factor contributing to the inconsistent results of the carbon storage computation. Regarding the arrangement of spaces, the upstream plateau ecological zones as well as the woodland distribution area in midstream had higher carbon storage, the downstream carbon storage was low and the upstream barren distribution area had the lowest carbon storage. It resembled the regional patterns of carbon storage in the YRB found in previous researchers’ studies [64]. As far as carbon storage changes are concerned, between 2000 and 2020, the YRB’s vegetation carbon storage rose steadily, but the middle reaches saw a notable rise in vegetation carbon storage. This agreed with the net primary productivity trend in the YRB as determined by other scholars [65,66].
The geographical distribution of carbon storage was governed by the combined ability of soil and vegetation to sequester carbon, and the capacity of soil and vegetation to store carbon varied widely between sites owing to factors including soil type, plant type and temperature [67]. In the middle reaches, forest land demonstrated a significant amount of vegetative carbon storage, and the alpine meadows in the upper reaches accumulated a large amount of soil carbon under the environment of low temperature and high soil humidity, which resulted in a high carbon storage value. The loss of soil carbon storage around the provincial capital cities in the YRB was serious due to the obvious urban expansion and the increase in impervious surface [32,68]. In the upstream Longyangxia to Lanzhou, the western part of Lanzhou to Hekouzhen, the middle reaches from Hekouzhen to Longmen and part of Longmen to Sanmenxia, the trend of vegetation cover had improved under the influence of ecological restoration and reconstruction projects, such as the Sanjiangyuan and Qilianshan National Nature Reserve [69], as well as the Three-North Protective Forest Project and the Ploughland Returning Forests to Grassland Project [70], and thus the carbon storage in some areas showed an increase.
The change in land use intensity and direction has a significant impact on the change in carbon storage. Other scholars have found that LUCC was occurring in a way that would cause a reduction in carbon storage when grassland and forest land were moved to other land use categories, but a gain in carbon storage when grassland was moved to forest land [71,72,73,74]. Forest and grassland were important land use types to enhance carbon storage, while vegetation restoration projects improved vegetation cover and had a positive effect on enhancing carbon sinks in terrestrial ecosystems [75]. Major changes in cultivated land and grassland were observed in the YRB with respect to the degree of LUCC, and these changes had a major impact on carbon storage. Although the intensity of the transfer from barren to grassland was relatively obvious, the impact on the carbon storage change was relatively small. The intensity of the change in forest land was not large, but it did result in a more noticeable shift in carbon storage. In summary, the degree and direction of LUCC both influenced the amount of carbon stored, which was in line with studies carried out by other scholars [76,77].
This study has certain limitations. First, we employed a fixed carbon density and momentarily ignored the consequences of climate change, ecological protection projects and straw-burning-related policies on carbon stock [78,79,80], and there is a possibility of underestimating the carbon stock. Therefore, carbon density measured data should be strengthened and a dynamic carbon density database should be established to realize the dynamic monitoring of carbon stock. Secondly, consideration should be given to obtaining more refined land use data to improve the accuracy of carbon stock estimation. Finally, forests are one of the major carbon sinks, and further subdivision of forests, taking into account forest type as well as forest age, could increase the assessment of the forest carbon stock’s accuracy.
5. Conclusions and Policy Implications
Based on the FLUS 2.4 and InVEST 3.13 models, we revealed the impacts of land use changes on carbon storage in history and for different scenarios of the future. The main conclusions are the following: From 2000 to 2020, the carbon storage in the YRB showed a trend of increasing and then decreasing, and the total value of carbon storage in 2000, 2010 and 2020 was 3.1455 × 109 t, 3.1563 × 109 t and 3.1527 × 109 t, respectively. The carbon storage in the YRB showed a spatial pattern of “high in the west and low in the east, high in the south and low in the north”. Grassland, cultivated land and forest land were the main carbon sinks in the YRB, and the soil carbon pool had a greater impact on the carbon pool of the whole terrestrial ecosystem. The geographic pattern of land use in the YRB was similar under different scenarios in 2030. Compared to the natural development scenario, the ecological protection scenario showed a significant increase in woodland and grassland; the cultivated land protection scenario showed a significant increase in cultivated land; and the urban expansion scenario showed a significant increase in urban and a decrease in grassland and cultivated land. The carbon storage in the YRB decreased the most under the cultivated land protection scenario in 2030 (a decrease of 17.7 megatons) and increased the most under the ecological protection scenario (an increase of 9.10 megatons). The upstream carbon storage increased significantly under the natural development scenario, while under the ecological preservation scenario, there was an increase in midstream carbon storage, and under the farmland protection scenario, there was an increase in downstream carbon storage. Overall, the type of land transfer determined the trend of increasing or decreasing carbon storage, and the outcome of carbon storage changes was determined by both the type of transfer and the amount of transfer.
Based on an examination of how potential changes in land use in the future will affect carbon storage, we propose a land use optimization scheme to maximize carbon storage. The future land use planning of the YRB should be closer to the ecological protection scenario, and the upstream should maintain the current development pattern to keep the growth of grassland at a high level. The middle regions must adhere to the ecological preservation scenario’s development pattern and put efforts in place to convert agriculture back into forests and grasslands. The lower reaches should choose the development pattern of the cultivated land protection scenario to avoid the large-scale encroachment of cultivated land by urban expansion. The ecological protection scenario and the cultivated land protection scenario do not mean slowing down urbanization, but rather focusing on protecting high-quality cultivated land and increasing the coverage of forest and grassland. At the same time, current urban land resources should be fully utilized, and vertical urban development should be explored to achieve urban land intensification.
Supplementary Materials
The following supporting information can be downloaded at: https://www.mdpi.com/article/10.3390/rs16101810/s1, Figure S1: Driving factors for suitability probability assessment in the Yellow River basin; Figure S2: Land use changes in sub-basins, 2000–2020. (a,c,e) are the areas of land-use type, (b,d,f) are the percentages of area in land-use types; Figure S3: Spatial distribution of carbon storage changes in the Yellow River Basin from 2000 to 2020; Figure S4: Land use changes in the Yellow River Basin and sub-basins of the river under different future scenarios. (a) the Yellow River Basin; (b) the upstream; (c) the midstream; (d) the downstream; Figure S5: Carbon storage of land use types and carbon pools in the sub-basins under different future scenarios; Figure S6: Varieties in carbon storage of land use types and carbon pools in the sub-basins under different future scenarios; Table S1: CCI Reclassification codes; Table S2: Carbon density of land use in the ecological zones of the Yellow River Basin (Mg/ha); Table S3: Neighborhood factor settings for different land use type; Table S4: Future land use requirements for different scenarios (number of pixels). NDS: the Natural Development Scenario; EPS: the Ecological Protection Scenario; CPS: the Cropland Protection Scenario; UES: the Urban Expansion Scenario; Table S5: ELAS values for each category for different future scenarios. NDS: the Natural Development Scenario; EPS: the Ecological Protection Scenario; CPS: the Cropland Protection Scenario; UES: the Urban Expansion Scenario; Table S6: Matrix of land transfer costs for different scenarios. NDS: the Natural Development Scenario; EPS: the Ecological Protection Scenario; CPS: the Cropland Protection Scenario; UES: the Urban Expansion Scenario.
Author Contributions
Conceptualization, P.L.; methodology, P.L. and J.Y.; software, J.Y. and J.Z.; validation, Y.L. and Y.Z.; formal analysis, J.Z.; investigation, J.Y. and X.S.; resources, H.S.; data curation, J.Y.; writing—original draft preparation, J.Z. and J.Y.; writing—review and editing, P.L. and Z.L.; visualization, B.L.; supervision, P.L.; project administration, P.L.; funding acquisition, P.L. All authors have read and agreed to the published version of the manuscript.
Funding
This research was funded by the National Natural Science Foundation of China (No. 42101424), Natural Science Foundation of Henan (No. 232300421244) and the Higher Education Teaching Reform Research and Practice Program of Henan University (No. HDXJJG2021-043).
Data Availability Statement
No new data were created or analyzed in this study. Data sharing is not applicable to this article.
Conflicts of Interest
The authors declare no conflicts of interest.
References
- Qin, D.H.; Thomas, S. Highlights of the IPCC Working Group I Fifth Assessment Report. Clim. Chang. Res. 2014, 10, 1–6. [Google Scholar]
- Rogelj, J.; Den Elzen, M.; Hohne, N.; Fransen, T.; Fekete, H.; Winkler, H.; Schaeffer, R.; Sha, F.; Riahi, K.; Meinshausen, M. Paris Agreement climate proposals need a boost to keep warming well below 2 °C. Nature 2016, 534, 631–639. [Google Scholar] [CrossRef] [PubMed]
- Falkner, R. The Paris Agreement and the new logic of international climate politics. Int. Aff. 2016, 92, 1107–1125. [Google Scholar] [CrossRef]
- Yu, B.Y.; Zhao, Z.H.; Wei, Y.M.; Liu, L.C.; Zhao, Q.Y.; Xu, S.; Kang, J.N.; Liao, H. Approaching National Climate Targets in China Considering the Challenge of Regional Inequality. Nat. Commun. 2023, 14, 8342. [Google Scholar] [CrossRef] [PubMed]
- Geng, Y.B.; Dong, Y.S.; Meng, W.Q. Progresses of Terrestrial Carbon Cycle Studies. Prog. Geogr. 2000, 19, 297–306. [Google Scholar]
- Fu, B.J.; Zhang, L.W. Land-use change and ecosystem services: Concepts, methods and progress. Prog. Geogr. 2014, 33, 441–446. [Google Scholar]
- Qu, J.S.; Sun, C.Q.; Zhang, Z.Q.; Gao, F. Trends and advances of the global change studies on carbon cycle. Adv. Earth Sci. 2003, 18, 980–987. [Google Scholar]
- Ma, X.; Wang, Z. Progress in the study on the impact of land-use change on regional carbon sources and sinks. Acta Ecol. Sin. 2015, 35, 5898–5907. [Google Scholar]
- Fang, J.Y.; Yu, G.R.; Ren, X.B.; Liu, G.H.; Zhao, X.Q. Carbon Sequestration in China’s Terrestrial Ecosystems under Climate Change—Progress on Ecosystem Carbon Sequestration from the CAS Strategic Priority Research Program. Bull. Chin. Acad. Sci. 2015, 30, 848–857. [Google Scholar]
- Yang, Y.H.; Shi, Y.; Sun, W.J.; Chang, J.F.; Zhu, J.X.; Wang, X.; Guo, Y.P.; Zhang, H.T.; Yu, L.F.; Zhao, S. Terrestrial carbon sinks in China and around the world and their contribution to carbon neutrality. Sci. China-Life Sci. 2022, 52, 534–574. [Google Scholar]
- Jian, N. Carbon storage in Chinese terrestrial ecosystems: Approaching a more accurate estimate. Clim. Chang. 2013, 119, 905–917. [Google Scholar]
- Lai, L.; Huang, X.J.; Yang, H.; Chuai, X.W.; Zhang, M.; Zhong, T.Y.; Chen, Z.G.; Chen, Y.; Wang, X.; Thompson, J.R. Carbon emissions from land-use change and management in China between 1990 and 2010. Sci. Adv. 2016, 2, e1601063. [Google Scholar] [CrossRef] [PubMed]
- McGuire, A.D.; Sitch, S.; Clein, J.S.; Dargaville, R.; Esser, G.; Foley, J.; Heimann, M.; Joos, F.; Kaplan, J.; Kicklighter, D.W.; et al. Carbon balance of the terrestrial biosphere in the Twentieth Century: Analyses of CO2, climate and land use effects with four process-based ecosystem models. Glob. Biogeochem. Cycles 2001, 15, 183–206. [Google Scholar] [CrossRef]
- Maanan, M.; Karim, M.; Ait Kacem, H.; Ajrhough, S.; Rueff, H.; Snoussi, M.; Rhinane, H. Modelling the potential impacts of land use/cover change on terrestrial carbon stocks in north-west Morocco. Int. J. Sustain. Dev. World Ecol. 2019, 26, 560–570. [Google Scholar] [CrossRef]
- Kong, J.; Yang, R.; Su, Y.; Fu, Z. Effect of land use and cover change on carbon stock dynamics in a typical desert oasis. Acta Ecol. Sin. 2018, 38, 801–7812. [Google Scholar]
- Liu, M.Y.; Bao, A.M.; Chen, X.; Liu, H.L.; Zhang, H.L.; Chen, X.N. Impact of Land Use/Cover Change on the Vegetation Carbon Storage in the Manas River Basin between 1976 and 2007. J. Nat. Resour. 2010, 25, 926–938. [Google Scholar]
- Wen, Y.Y.; Sun, Q.; Yan, Y.C.; Xiao, M.Z.; Song, W.W.; Yang, J. Impacts of the terrestrial ecosystem changes on the carbon fixation and oxygen release services in the Guangdong-Hong Kong-Macao Greater Bay Area. Acta Ecol. Sin. 2020, 40, 8482–8493. [Google Scholar]
- Raich, J.W.; Nadelhoffer, K.J. Belowground carbon allocation in forest ecosystems: Global trends. Ecology 1989, 70, 1346–1354. [Google Scholar] [CrossRef]
- Fang, J.Y.; Huang, Y.; Zhu, J.L.; Sun, W.J.; Hu, H.F. Carbon Budget of Forest Ecosystems and Its Driving Forces. China Basic Sci. 2015, 17, 20–25. [Google Scholar]
- Zhou, J.F.; Guan, D.S. Change in the use of forest land and its impact on the carbon cycling. Ecol. Environ. 2004, 13, 674–676. [Google Scholar]
- Li, L.H. Effects of Land Use Change on Soil Carbon Storage in Grassland Ecosystems. Acta Phytoecol. Sin. 1998, 22, 13–15. [Google Scholar]
- Wang, G.X.; Cheng, G.D.; Shen, Y.P. Soil Organic Carbon Pool of Grasslands on the Tibetan Plateau and Its Global Implication. J. Glaciol. Geocryol. 2002, 24, 693–700. [Google Scholar]
- Xie, G.D.; Qi, W.H.; Zhang, Y.S.; Leng, Y.F. A Study on Utilization Efficiency of Main Agricultural Resources. Resour. Sci. 1998, 20, 10–14. [Google Scholar]
- Tang, L.P.; Ke, X.L.; Zhou, T.; Zheng, W.W.; Wang, L.Y. Impacts of cropland expansion on carbon storage: A case study in Hubei, China. J. Environ. Manag. 2020, 265, 110515. [Google Scholar] [CrossRef]
- Rimal, B. Urbanization and the decline of agricultural land in Pokhara Sub-metropolitan City, Nepal. J. Agric. Sci. 2012, 5, 54–65. [Google Scholar] [CrossRef]
- Zhang, F.; Xu, N.; Wang, C.; Wu, F.; Chu, X. Effects of land use and land cover change on carbon sequestration and adaptive management in Shanghai, China. Phys. Chem. Earth Parts A/B/C 2020, 120, 102948. [Google Scholar] [CrossRef]
- Houghton, R.A. Revised estimates of the annual net flux of carbon to the atmosphere from changes in land use and land management 1850–2000. Tellus. Ser. B Chem. Phys. Meteorol. 2003, 55, 378–390. [Google Scholar]
- Chen, Y.L.; Luo, G.P.; Ye, H.; Wang, Y.G.; Huang, X.T.; Zhang, Q.; Cai, P. Sources and Sinks of Carbon Caused by Forest Land Use Change from 1975 to 2005 in Central Asia. J. Nat. Resour. 2015, 30, 397–408. [Google Scholar]
- Priess, J.A.; De Koning, G.H.J.; Veldkamp, A. Assessment of interactions between land use change and carbon and nutrient fluxes in Ecuador. Agric. Ecosyst. Environ. 2001, 85, 269–279. [Google Scholar] [CrossRef]
- Zhang, Y.Q.; Tang, Y.H.; Jiang, J.; Yang, Y.H. Characterizing the dynamics of soil organic carbon in grasslands on the Qinghai-Tibetan Plateau. Sci. China Ser. D-Earth Sci. 2007, 50, 113–120. [Google Scholar] [CrossRef]
- Ji, J.J.; Huang, M.; Li, K.R. Predictive study of carbon exchange between terrestrial ecosystems and the atmosphere in China in the 21st century. Sci. China Ser. D-Earth Sci. 2008, 38, 211–223. [Google Scholar]
- Pei, F.S.; Li, X.; Liu, X.P.; Xia, G.R. Dynamic Simulation of Urban Expansion and Their Effects on Net Primary Productivity: A Scenario Analysis of Guangdong Province in China. J. Geo-Inf. Sci. 2015, 17, 469–477. [Google Scholar]
- Potter, C.S.; Randerson, J.T.; Field, C.B.; Matson, P.A.; Vitousek, P.M.; Mooney, H.A.; Klooster, S.A. Terrestrial ecosystem production: A process model based on global satellite and surface data. Glob. Biogeochem. Cycles 1993, 7, 811–841. [Google Scholar] [CrossRef]
- Prince, S.D.; Goward, S.N. Global Primary Production: A Remote Sensing Approach. J. Biogeogr. 1995, 22, 815. [Google Scholar] [CrossRef]
- Zhuang, Q.W.; Shao, Z.F.; Li, D.R.; Huang, X.; Altan, O.; Wu, S.; Li, Y. Isolating the Direct and Indirect Impacts of Urbanization on Vegetation Carbon Sequestration Capacity in a Large Oasis City: Evidence from Urumqi, China. Geo-Spat. Inf. Sci. 2023, 26, 379–391. [Google Scholar] [CrossRef]
- Zhao, Z.H.; Liu, G.H.; Xu, Z.R. The ecosystem carbon storage dataset in Tibet (2001–2010). J. Glob. Chang. Data Discov. 2018, 2, 67–71. [Google Scholar]
- Li, J.Y.; Gong, J.; Guldmann, J.M.; Li, S.C.; Zhu, J. Carbon dynamics in the northeastern Qinghai–Tibetan Plateau from 1990 to 2030 using landsat land use/cover change data. Remote Sens. 2020, 12, 528. [Google Scholar] [CrossRef]
- Wang, C.W.; Luo, J.J.; Qing, F.; Tang, Y.; Wang, Y.F. Analysis of the Driving Force of Spatial and Temporal Differentiation of Carbon Storage in Taihang Mountains Based on InVEST Model. Appl. Sci. 2022, 12, 10662. [Google Scholar] [CrossRef]
- Li, Y.G.; Han, N.; Li, X.J.; Du, H.Q.; Mao, F.J.; Cui, L.; Liu, T.Y.; Xing, L.Q. Spatiotemporal Estimation of Bamboo Forest Aboveground Carbon Storage Based on Landsat Data in Zhejiang, China. Remote Sens. 2018, 10, 898. [Google Scholar] [CrossRef]
- Wu, X.W.; Shen, C.T.; Shi, L.N.; Wan, Y.Y.; Ding, J.M.; Wen, Q. Spatio-Temporal Evolution Characteristics and Simulation Prediction of Carbon Storage: A Case Study in Sanjiangyuan Area, China. Ecol. Inform. 2024, 80, 102485. [Google Scholar] [CrossRef]
- Fang, L.L.; Xu, D.H.; Wang, L.C.; Niu, Z.G.; Zhang, M. The study of ecosystem services and the comparison of trade-off and synergy in Yangtze River Basin and Yellow River Basin. Geogr. Res. 2021, 40, 821–838. [Google Scholar]
- Xu, L.; He, N.P.; Yu, G.R. A dataset of carbon density in Chinese terrestrial ecosystems (2010s). Sci. Data Bank 2019, 4, 90–96. [Google Scholar]
- Zhang, Y.N. Data of 30 Meter Resolution Digital Elevation Model (DEM) in the Yellow River Basin. Dataset Is Provid. National Cryosphere Desert Data Center, 2022. Available online: http://www.ncdc.ac.cn/portal/metadata/11a743d6-8340-4d14-a0ac-b5e6ab6224d5 (accessed on 11 February 2023).
- Xu, X.L. China GDP Spatial Distribution Kilometer Grid Dataset. Center for Resource and Environmental Science and Data of the Chinese Academy of Sciences 2017. Available online: http://www.resdc.cn (accessed on 13 February 2023).
- FAO SOILS PORTAL. Based on the World Soil Database (HWSD) Soil Data Set (v1.2). National Cryosphere Desert Data Center, 2021. Available online: http://www.ncdc.ac.cn/portal/metadata/1fdf7dc7-7ecb-4e1f-a5df-30f7196756a8 (accessed on 14 February 2023).
- Xu, L.; Yu, G.R.; He, N.P. Increased soil organic carbon storage in Chinese terrestrial ecosystems from the 1980s to the 2010s. J. Geogr. Sci. 2019, 29, 49–66. [Google Scholar] [CrossRef]
- Yang, F.; Li, S.C.; Gao, Y.; Li, M.J.; Wu, P.F. Inconsistent Carbon Budget Estimation Using Dynamic/Static Carbon Density under Land Use and Land Cover Change: A Case Study in Henan Province, China. Land 2022, 11, 2232. [Google Scholar] [CrossRef]
- Yang, J.; Xie, B.P.; Zhang, D.G. Spatio-temporal evolution of carbon stocks in the Yellow River Basin based on InVEST and CA-Markov models. Chin. J. Eco-Agric. 2021, 29, 1018–1029. [Google Scholar]
- Luo, M. Simulation and analysis of 1km land use and land cover change in China under full SSP-RCP scenarios based on GCAM-FLUS models. East China Norm. Univ. 2021, 9, 110. [Google Scholar]
- Ren, Y.M.; Liu, X.P.; Xu, X.C.; Sun, S.S.; Zhao, L.F.; Liang, X.; Zeng, L. Multi-scenario simulation of land use change and its impact on ecosystem services in Beijing-Tianjin-Hebei region based on the FLUS-InVEST Model. Acta Ecol. Sin. 2023, 43, 4473–4487. [Google Scholar]
- Shao, Z.; Chen, R.; Zhao, J.; Xia, C.Y.; He, Y.T.; Tang, F.Y. Spatio-temporal evolution and prediction of carbon storage in Beijing’s ecosystem based on FLUS and InVEST models. Acta Ecol. Sin. 2022, 42, 9456–9469. [Google Scholar]
- Liu, X.J.; Li, X.; Liang, X.; Shi, H.; Ou, J.P. Simulating the Change of Terrestrial Carbon Storage in China Based on the FLUS-InVEST Model. Trop. Geogr. 2019, 39, 397–409. [Google Scholar]
- Yang, X.D.; Bai, Y.P.; Che, L.; Qiao, F.W.; Xie, L.X. Incorporating ecological constraints into urban growth boundaries: A case study of ecologically fragile areas in the Upper Yellow River. Ecol. Indic. 2021, 124, 107436. [Google Scholar] [CrossRef]
- Liu, X.P.; Liang, X.; Li, X.; Xu, X.C.; Ou, J.P.; Chen, Y.M.; Li, S.Y.; Wang, S.J.; Pei, F.S. A future land use simulation model (FLUS) for simulating multiple land use scenarios by coupling human and natural effects. Landsc. Urban Plan. 2017, 168, 94–116. [Google Scholar] [CrossRef]
- Hou, J.K.; Chen, J.J.; Zhang, K.Q.; Zhou, G.Q.; You, H.T.; Han, X.W. Temporal and Spatial Variation Characteristics of Carbon Storage in the Source Region of the Yellow River Based on InVEST and GeoSoS-FLUS Models and Its Response to Different Future Scenarios. Environ. Sci. 2022, 43, 5253–5262. [Google Scholar]
- Jia, S.W. Carbon Storage of Forest Vegetation and Its Dynamic Changes in Yellow River Basin Based on Continuous Forest Resources Inventory. Res. Soil Water Conserv. 2018, 25, 78–82, 88. [Google Scholar]
- Xu, Z.; Zhao, Z.; Lu, C. The contribution of land use and land cover on carbon storage in the north Tibet Plateau, China. J. Anim. Plant Sci.-Japs 2021, 31, 1598–1609. [Google Scholar]
- Xie, X.L.; Sun, B.; Zhou, H.Z.; Li, Z.P. Soil carbon stocks and their influencing factors under native vegetations in China. Acta Pedol. Sin. 2004, 41, 687–699. [Google Scholar]
- Qin, Y.P.; Xu, S.J.W.; Tian, Y. The spatial differentiation of vegetation and soil carbon density in Henan section of the Yellow River Basin. Ecol. Environ. Sci. 2022, 31, 1745–1753. [Google Scholar]
- Tang, X.L.; Zhao, X.; Bai, Y.F.; Tang, Z.Y.; Wang, W.T.; Zhao, Y.C.; Wan, H.W.; Xie, Z.Q.; Shi, X.Z.; Wu, B.F.; et al. Carbon pools in China’s terrestrial ecosystems: New estimates based on an intensive field survey. Proc. Natl. Acad. Sci. USA 2018, 115, 4021–4026. [Google Scholar] [CrossRef] [PubMed]
- Ren, J.; Zhao, X.Y.; Xu, X.C.; Ma, P.Y.; Du, Y.X. Spatial-temporal evolution, tradeoffs and synergies of ecosystem services in the middle Yellow River. J. Earth Environ. 2022, 13, 477–490. [Google Scholar]
- Jin, F.; Yang, H.; Cai, Z.C.; Zhao, Q.G. Calculation of density and reserve of organic carbon in soils. Acta Pedol. Sin. 2001, 38, 522–528. [Google Scholar]
- Yu, D.S.; Shi, X.Z.; Sun, W.X.; Wang, H.J.; Liu, Q.H.; Zhao, Y.C. Estimation of China soil organic carbon storage and density based on 1:1000000 soil database. Chin. J. Appl. Ecol. 2005, 16, 2279–2283. [Google Scholar]
- Wang, J.F.; Li, L.F.; Li, Q.; Wang, S.; Liu, X.L.; Li, Y. The spatiotemporal evolution and prediction of carbon storage in the Yellow River Basin based on the major function-oriented zone planning. Sustainability 2022, 14, 7963. [Google Scholar] [CrossRef]
- Cao, Y.; Sun, Y.L.; Jiang, Y.Q.; Wang, J. Analysis on temporal-spatial variations and driving factors of net ecosystem productivity in the Yellow River Basin. Ecol. Environ. Sci. 2022, 31, 2101–2110. [Google Scholar]
- Wang, F.; Cao, Y.Q.; Zhou, S.H.; Fan, S.B.; Jiang, X.M. Estimation of vegetation carbon sink in the Yellow River Basin ecological function area and analysis of its main meteorological elements. Acta Ecol. Sin. 2023, 43, 1–14. [Google Scholar]
- Wang, L.; Zeng, H.; Zhang, Y.J.; Zhao, G.; Chen, N.; Li, J.X. A review of research on soil carbon storage and its influencing factors in the Tibetan Plateau. Chin. J. Ecol. 2019, 38, 3506–3515. [Google Scholar]
- Zhao, S.Q.; Zhu, C.; Zhou, D.C.; Huang, D.; Werner, J. Organic Carbon Storage in China’s Urban Areas. PLoS ONE 2013, 8, e71975. [Google Scholar] [CrossRef] [PubMed]
- Guo, J.; Zhang, Q.; Song, M.H.; Shi, Y.; Zhou, B.R.; Wang, W.Y.; Li, Y.K.; Zhao, X.Q.; Zhou, H.K. Status and Function Improvement Technology of the Grassland Ecosystem in the Upper Yellow River Basin. Acta Agrestia Sin. 2020, 28, 1173–1184. [Google Scholar]
- Lin, Y.X.; Li, Y.Z.; Yu, W.J.; Bu, T.H.; Huang, R. Quantitative assessment of the impact of the vegetation restoration project on water-energy balance in 12 typical basins of the middle Yellow River. Geogr. Res. 2020, 39, 2593–2606. [Google Scholar]
- Liu, Y.; Zhang, J.; Zhou, D.M.; Ma, J.; Dang, R.; Ma, J.J.; Zhu, X.Y. Temporal and spatial variation of carbon storage in the Shule River Basin based on InVEST model. Acta Ecol. Sin. 2021, 41, 4052–4065. [Google Scholar]
- Xu, Z.W.; Zhang, Z.J. Spatiotemporal variation of carbon storage in Yuli County during 2010–2016. Res. Environ. Sci. 2018, 31, 1909–1917. [Google Scholar]
- Kong, J.Q.; Du, Z.Y.; Yang, R.; Su, Y.Z. Prediction of Land Use Change and Its Influence on Carbon Stocks in the Middle Reaches of Heihe River. J. Desert Res. 2019, 39, 87–97. [Google Scholar]
- Zhu, E.Y.; Deng, J.S.; Zhou, M.M.; Gan, M.Y.; Jiang, R.W.; Wang, K.; AmirReza, S. Carbon emissions induced by land-use and land-cover change from 1970 to 2010 in Zhejiang, China. Sci. Total Environ. 2019, 646, 930–939. [Google Scholar] [CrossRef] [PubMed]
- Wang, X.F.; Yang, D.; Feng, X.M.; Chen, C.W.; Zhou, C.W.; Zhang, X.R.; Ao, Y. Impacts of Ecological Restoration on Water Resources in Middle Reaches of Yellow River. Bull. Soil Water Conserv. 2020, 40, 205–212. [Google Scholar]
- Ren, X.J.; Pei, T.T.; Chen, Y.; Xie, B.P.; Chen, D.L. Impact of land use change on carbon storage in Gansu Province based on carbon density correction. Ecol. Sci. 2021, 40, 66–74. [Google Scholar]
- Shi, M.J.; Wu, H.Q.; Jia, H.T.; Zhu, L.; Dong, T.; He, P.X.; Yang, Q.J. Temporal and spatial evolution and prediction of carbon stocks in Yili Valley based on MCE-CA-Markov and InVEST models. J. Agric. Resour. Environ. 2021, 38, 1010–1019. [Google Scholar]
- Liao, L.L.; Zhou, L.; Wang, S.Q.; Wang, X.Q. Carbon sequestration potential of biomass carbon pool for new afforestation in China during 2005–2013. Acta Geogr. Sin. 2016, 71, 1939–1947. [Google Scholar]
- Ma, C.X.; Liu, J.J.; Kang, B.W.; Sun, S.H.; Ren, J.H. Evaluation of forest ecosystem carbon fixation and oxygen release services in Shaanxi Province from 1999 to 2003. Acta Ecol. Sin. 2010, 30, 1412–1422. [Google Scholar]
- Hou, G.L.; Delang, C.O.; Lu, X.X.; Gao, L. A meta-analysis of changes in soil organic carbon stocks after afforestation with deciduous broadleaved, sempervirent broadleaved, and conifer tree species. Ann. For. Sci. 2020, 77, 1–13. [Google Scholar] [CrossRef]
Disclaimer/Publisher’s Note: The statements, opinions and data contained in all publications are solely those of the individual author(s) and contributor(s) and not of MDPI and/or the editor(s). MDPI and/or the editor(s) disclaim responsibility for any injury to people or property resulting from any ideas, methods, instructions or products referred to in the content. |
© 2024 by the authors. Licensee MDPI, Basel, Switzerland. This article is an open access article distributed under the terms and conditions of the Creative Commons Attribution (CC BY) license (https://creativecommons.org/licenses/by/4.0/).









