Remote Sensing of Forests in Bavaria: A Review
Abstract
1. Introduction
1.1. Forests in Bavaria

1.2. Current Progress and Challenges in Bavarian Forests
1.3. Remote Sensing of Forests
- Monitoring/Management (Figure 2A) aims to link ground-based national inventory data to remotely sensed data for large-scale mapping of parameters such as standing volume, mean and dominant height, and forest type. Field data can include metrics like stem position and diameter at breast height (DBH), a measurement used to approximate age classes.
- Disturbance (Figure 2B) includes both catastrophic events such as storms and the knock-on effects of for example drought. In this review, the drought topic is treated as a disturbance based on the catastrophic drought events of recent years. This research topic often also looks into quantifying the effects of forest disturbances over time.
- Leaf trait research (Figure 2C) aims to look at the small-scale traits of leaves, such as chlorophyll content, and link this to a remotely sensed parameter which can then be extrapolated to a stand or forest. This is especially useful for understanding the vegetation condition on a large scale.
- Biodiversity/Habitats (Figure 2D) is a field closely related to ecology, aiming to use data from RS of forests as a covariate for modelling a species- or taxa-specific habitat within a forest.
- Forest structure (Figure 2E) investigations take an interest in vertical or horizontal structure, meaning canopy heights and structural complexity, sometimes as a proxy for diversity or habitat. In this field, synthetic aperture radar (SAR) or lidar data are often employed.
- Phenology (Figure 2F) concerns the timing of leaf emergence and senescence at the start and end of the growing season, respectively.
- Forest type/Cover (Figure 2G) focuses on classifying tree species and the area forests cover, or changes therein.
- Biomass/Productivity (Figure 2H) concerns the growth, or increment, of forests which can be related to soil health and/or management schemes. This can also be used to inform practitioners about the biomass available for harvest.
1.4. Aim
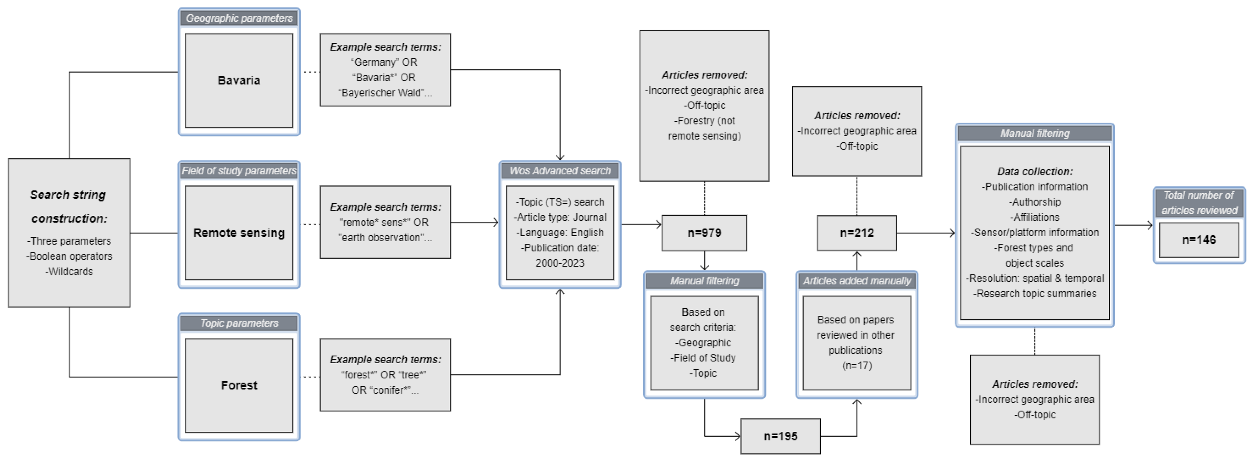
2. Materials and Methods
3. Results
3.1. Number of Papers Published, Journal Summary, and Author Summary
3.2. Study Locations
3.3. Study Area Size
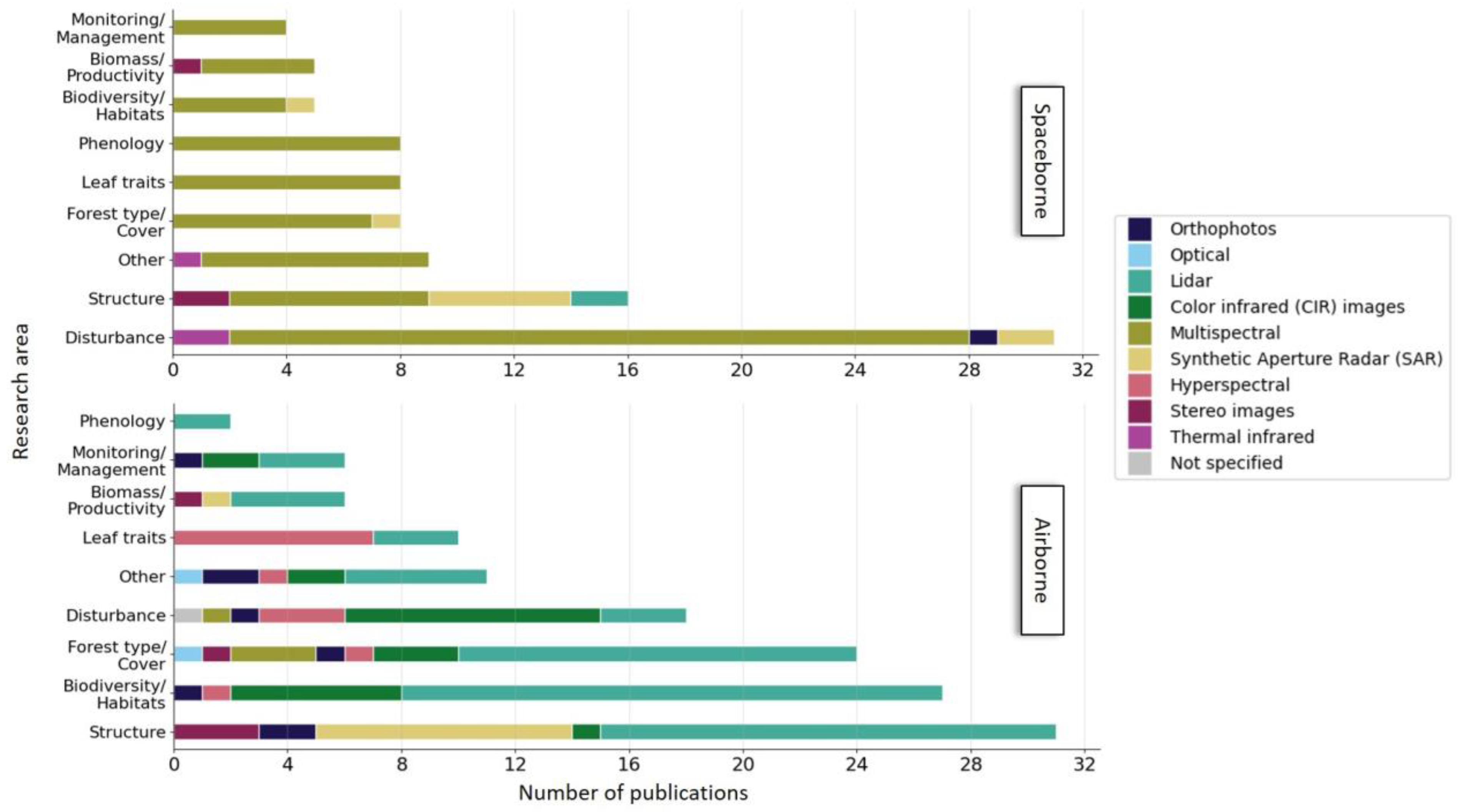
3.4. Platforms and Sensors
3.5. Temporal Resolution and In Situ Data
3.6. Forest Type
3.7. Object Scales and Data Resolution
3.8. Research Topics
3.8.1. Disturbance
3.8.2. Structure
3.8.3. Biodiversity/Habitats
3.8.4. Forest Type/Cover
3.8.5. Leaf Traits
3.8.6. Monitoring/Management
3.8.7. Phenology
3.8.8. Biomass/Productivity
3.8.9. Other
3.8.10. Sub-Topics
- ‘Disturbance’: Bark beetle, Drought, Windthrow, Structure, Disturbance, Standing deadwood, Vegetation condition, Cover.
- ‘Structure’: SAR Tomography, Canopy height, Structure, Leaf traits, Monitoring, Biomass, Disturbance, Segmentation, Habitats.
- ‘Biodiversity/Habitats’: Biodiversity, Habitats, Bark beetle, Species distribution modelling, Ecology, Spectral variability, Succession, Lying deadwood.
- ‘Forest cover/Type’: Tree species classification, Land cover classification, Cover, Segmentation, Biomass.
- ‘Leaf traits’: Leaf traits, Structure, Tree species classification, Bark beetle.
- ‘Monitoring/Management’: Forest inventory, Structure, Disturbance, Tree species classification.
- ‘Phenology’: Phenology, Structure, Habitats, Climate change.
- ‘Biomass/Productivity’: Forest inventory, Structure, Segmentation, Productivity, Biomass.
- ‘Other’: Lying deadwood, Succession, Vegetation indices, Carbon mitigation, Regeneration, Protective forests, Fragmentation/Climate change, Land cover classification, Segmentation, Land surface temperature.
4. Discussion
4.1. Key Findings for RS of Bavarian Forests
4.2. Disturbances by Bark Beetles—The Most Common Topic
4.3. Topical and Spatial Scale Research Gaps
4.4. Under-Utilized Data Platforms and Sensor Types
4.5. Potential for Densification of Time-Series and Integration of In Situ Data
4.6. Considerations for the WoS Search String
4.7. Applicability and Outlook for RS in Bavaria
5. Conclusions
Supplementary Materials
Author Contributions
Funding
Data Availability Statement
Acknowledgments
Conflicts of Interest
References
- Germany, the Land of Forests—Forest Area Unchanged. Available online: https://www.bundeswaldinventur.de/en/third-national-forest-inventory/germany-the-land-of-forests-forest-area-unchanged (accessed on 13 March 2024).
- Wetter und Klima—Deutscher Wetterdienst—Our Services—Climate Data for Direct Download. Available online: https://www.dwd.de/EN/ourservices/cdc/cdc_ueberblick-klimadaten_en.html (accessed on 7 March 2024).
- Estrella, N.; Menzel, A. Recent and Future Climate Extremes Arising from Changes to the Bivariate Distribution of Temperature and Precipitation in Bavaria, Germany. Int. J. Climatol. 2013, 33, 1687–1695. [Google Scholar] [CrossRef]
- Tank, A.M.G.K.; Können, G.P. Trends in Indices of Daily Temperature and Precipitation Extremes in Europe, 1946–99. J. Clim. 2003, 16, 3665–3680. [Google Scholar] [CrossRef]
- Hegerl, G.C.; Brönnimann, S.; Cowan, T.; Friedman, A.R.; Hawkins, E.; Iles, C.; Müller, W.; Schurer, A.; Undorf, S. Causes of Climate Change over the Historical Record. Environ. Res. Lett. 2019, 14, 123006. [Google Scholar] [CrossRef]
- Bayerisches Landesamt für Umwelt. Augsburg UmweltAtlas Bayern. Available online: https://www.umweltatlas.bayern.de (accessed on 6 March 2024).
- Forest Type 2018 (Raster 10 m and 100 m), Europe, 3-Yearly—Copernicus Land Monitoring Service. Available online: https://land.copernicus.eu/en/products/high-resolution-layer-forest-type/forest-type-2018 (accessed on 12 March 2024).
- Forest Ownership, Counselling and Forest Policy. Available online: https://www.lwf.bayern.de/en/221952/index.php (accessed on 1 March 2024).
- What Exactly Is a Forest? Available online: https://www.bundeswaldinventur.de/en/third-national-forest-inventory/background-information/what-exactly-is-a-forest (accessed on 1 March 2024).
- The Forests—Mainly Privately Owned. Available online: https://www.bundeswaldinventur.de/en/third-national-forest-inventory/germany-the-land-of-forests-forest-area-unchanged/the-forests-mainly-privately-owned (accessed on 13 March 2024).
- Holzwarth, S.; Thonfeld, F.; Abdullahi, S.; Asam, S.; Da Ponte Canova, E.; Gessner, U.; Huth, J.; Kraus, T.; Leutner, B.; Kuenzer, C. Earth Observation Based Monitoring of Forests in Germany: A Review. Remote Sens. 2020, 12, 3570. [Google Scholar] [CrossRef]
- Debel, A.; Meier, W.J.-H.; Bräuning, A. Climate Signals for Growth Variations of F. sylvatica, P. abies, and P. sylvestris in Southeast Germany over the Past 50 Years. Forests 2021, 12, 1433. [Google Scholar] [CrossRef]
- Hilmers, T.; Biber, P.; Knoke, T.; Pretzsch, H. Assessing Transformation Scenarios from Pure Norway Spruce to Mixed Uneven-Aged Forests in Mountain Areas. Eur. J. For. Res. 2020, 139, 567–584. [Google Scholar] [CrossRef]
- Becher, G. Clusterstatistik Forst und Holz: Tabellen für das Bundesgebiet und die Länder 2000 bis 2014; Johann Heinrich von Thünen-Institut: Braunschweig, Germany, 2016. [Google Scholar]
- Owners and Harvest—German Forestry—300 Yrs of Sustainability Campaign. Available online: https://www.forstwirtschaft-in-deutschland.de/index.php?id=84&L=1 (accessed on 13 March 2024).
- Aufgaben und Ziele. Available online: https://www.nationalpark-bayerischer-wald.bayern.de/ueber_uns/aufgaben/index.htm (accessed on 29 February 2024).
- Janík, T. Bavarian Forest and Šumava National Parks: On the Way to Transboundary Wildlife Management and Conservation? Silva Gabreta 2020, 26, 51–63. [Google Scholar]
- Simons, N.K.; Felipe-Lucia, M.R.; Schall, P.; Ammer, C.; Bauhus, J.; Blüthgen, N.; Boch, S.; Buscot, F.; Fischer, M.; Goldmann, K.; et al. National Forest Inventories Capture the Multifunctionality of Managed Forests in Germany. For. Ecosyst. 2021, 8, 5. [Google Scholar] [CrossRef]
- United Nations. Realizing Forest-Based Climate Actions: Global Forest Goals, SDGs & the Paris Agreement. Available online: https://www.un.org/en/desa/realizing-forest-based-climate-actions-global-forest-goals-sdgs-paris-agreement (accessed on 1 March 2024).
- Naturalness of the Tree Species Composition Is Somewhat Improved. Available online: https://www.bundeswaldinventur.de/en/third-national-forest-inventory/the-forest-habitat-more-biological-diversity-in-the-forests/naturalness-of-the-tree-species-composition-is-somewhat-improved (accessed on 1 March 2024).
- Lorenz, M.; Englert, H.; Dieter, M. The German Forest Strategy 2020: Target Achievement Control Using National Forest Inventory Results. Ann. For. Res. 2018, 61, 129. [Google Scholar] [CrossRef]
- Waldzustandserhebung 2023: Hitze und Trockenheit Werden Sichtbar. Available online: https://www.lwf.bayern.de/forschungsfoerderung/348385/index.php (accessed on 3 May 2024).
- Thonfeld, F.; Gessner, U.; Holzwarth, S.; Kriese, J.; Da Ponte, E.; Huth, J.; Kuenzer, C. A First Assessment of Canopy Cover Loss in Germany’s Forests after the 2018–2020 Drought Years. Remote Sens. 2022, 14, 562. [Google Scholar] [CrossRef]
- Hlásny, T.; König, L.; Krokene, P.; Lindner, M.; Montagné-Huck, C.; Müller, J.; Qin, H.; Raffa, K.F.; Schelhaas, M.-J.; Svoboda, M.; et al. Bark Beetle Outbreaks in Europe: State of Knowledge and Ways Forward for Management. Curr. For. Rep. 2021, 7, 138–165. [Google Scholar] [CrossRef]
- Seidl, R.; Rammer, W. Climate Change Amplifies the Interactions between Wind and Bark Beetle Disturbances in Forest Landscapes. Landsc. Ecol. 2017, 32, 1485–1498. [Google Scholar] [CrossRef] [PubMed]
- Heurich, M.; Ochs, T.; Andresen, T.; Schneider, T. Object-Orientated Image Analysis for the Semi-Automatic Detection of Dead Trees Following a Spruce Bark Beetle (Ips typographus) Outbreak. Eur. J. For. Res. 2010, 129, 313–324. [Google Scholar] [CrossRef]
- Pause, M.; Schweitzer, C.; Rosenthal, M.; Keuck, V.; Bumberger, J.; Dietrich, P.; Heurich, M.; Jung, A.; Lausch, A. In Situ/Remote Sensing Integration to Assess Forest Health—A Review. Remote Sens. 2016, 8, 471. [Google Scholar] [CrossRef]
- Fassnacht, F.E.; White, J.C.; Wulder, M.A.; Næsset, E. Remote Sensing in Forestry: Current Challenges, Considerations and Directions. For. Int. J. For. Res. 2024, 97, 11–37. [Google Scholar] [CrossRef]
- Holzwarth, S.; Thonfeld, F.; Kacic, P.; Abdullahi, S.; Asam, S.; Coleman, K.; Eisfelder, C.; Gessner, U.; Huth, J.; Kraus, T.; et al. Earth-Observation-Based Monitoring of Forests in Germany—Recent Progress and Research Frontiers: A Review. Remote Sens. 2023, 15, 4234. [Google Scholar] [CrossRef]
- Thünen: The German National Forest Inventory. Available online: https://www.thuenen.de/en/thuenen-topics/forests/the-german-national-forest-inventory (accessed on 1 March 2024).
- Sentinel-2. Available online: https://www.esa.int/Applications/Observing_the_Earth/Copernicus/Sentinel-2 (accessed on 1 March 2024).
- Media Library|Integration and Application Network. Available online: https://ian.umces.edu/media-library/ (accessed on 13 March 2024).
- Buras, A.; Schunk, C.; Zeiträg, C.; Herrmann, C.; Kaiser, L.; Lemme, H.; Straub, C.; Taeger, S.; Gößwein, S.; Klemmt, H.-J. Are Scots Pine Forest Edges Particularly Prone to Drought-Induced Mortality? Environ. Res. Lett. 2018, 13, 025001. [Google Scholar] [CrossRef]
- Shi, Y.; Wang, T.; Skidmore, A.K.; Holzwarth, S.; Heiden, U.; Heurich, M. Mapping Individual Silver Fir Trees Using Hyperspectral and LiDAR Data in a Central European Mixed Forest. Int. J. Appl. Earth Obs. GeoInf. 2021, 98, 102311. [Google Scholar] [CrossRef]
- Abdullah, H.; Darvishzadeh, R.; Skidmore, A.K.; Heurich, M. Sensitivity of Landsat-8 OLI and TIRS Data to Foliar Properties of Early Stage Bark Beetle (Ips typographus, L.) Infestation. Remote Sens. 2019, 11, 398. [Google Scholar] [CrossRef]
- Barta, K.A.; Hais, M.; Heurich, M. Characterizing Forest Disturbance and Recovery with Thermal Trajectories Derived from Landsat Time Series Data. Remote Sens. Environ. 2022, 282, 113274. [Google Scholar] [CrossRef]
- Brun, P.; Psomas, A.; Ginzler, C.; Thuiller, W.; Zappa, M.; Zimmermann, N.E. Large-scale Early-wilting Response of Central European Forests to the 2018 Extreme Drought. Glob. Chang. Biol. 2020, 26, 7021–7035. [Google Scholar] [CrossRef] [PubMed]
- Deigele, W.; Brandmeier, M.; Straub, C. A Hierarchical Deep-Learning Approach for Rapid Windthrow Detection on Planetscope and High-Resolution Aerial Image Data. Remote Sens. 2020, 12, 2121. [Google Scholar] [CrossRef]
- Einzmann, K.; Atzberger, C.; Pinnel, N.; Glas, C.; Böck, S.; Seitz, R.; Immitzer, M. Early Detection of Spruce Vitality Loss with Hyperspectral Data: Results of an Experimental Study in Bavaria, Germany. Remote Sens. Environ. 2021, 266, 112676. [Google Scholar] [CrossRef]
- Einzmann, K.; Immitzer, M.; Böck, S.; Bauer, O.; Schmitt, A.; Atzberger, C. Windthrow Detection in European Forests with Very High-Resolution Optical Data. Forests 2017, 8, 21. [Google Scholar] [CrossRef]
- Fassnacht, F.E.; Latifi, H.; Ghosh, A.; Joshi, P.K.; Koch, B. Assessing the Potential of Hyperspectral Imagery to Map Bark Beetle-Induced Tree Mortality. Remote Sens. Environ. 2014, 140, 533–548. [Google Scholar] [CrossRef]
- Hais, M.; Jonášová, M.; Langhammer, J.; Kučera, T. Comparison of Two Types of Forest Disturbance Using Multitemporal Landsat TM/ETM+ Imagery and Field Vegetation Data. Remote Sens. Environ. 2009, 113, 835–845. [Google Scholar] [CrossRef]
- Hamdi, Z.M.; Brandmeier, M.; Straub, C. Forest Damage Assessment Using Deep Learning on High Resolution Remote Sensing Data. Remote Sens. 2019, 11, 1976. [Google Scholar] [CrossRef]
- Hill, S.; Latifi, H.; Heurich, M.; Müller, J. Individual-Tree-and Stand-Based Development Following Natural Disturbance in a Heterogeneously Structured Forest: A LiDAR-Based Approach. Ecol. Inform. 2017, 38, 12–25. [Google Scholar] [CrossRef]
- Kautz, M. On Correcting the Time-Lag Bias in Aerial-Surveyed Bark Beetle Infestation Data. For. Ecol. Manag. 2014, 326, 157–162. [Google Scholar] [CrossRef]
- Kautz, M.; Duell, J.; Ohser, J. Spatial Dependence of Random Sets and Its Application to Dispersion of Bark Beetle Infestation in a Natural Forest. Image Anal. Stereol. 2011, 30, 123–131. [Google Scholar] [CrossRef]
- König, S.; Thonfeld, F.; Förster, M.; Dubovyk, O.; Heurich, M. Assessing Combinations of Landsat, Sentinel-2 and Sentinel-1 Time Series for Detecting Bark Beetle Infestations. GIScience Remote Sens. 2023, 60, 2226515. [Google Scholar] [CrossRef]
- Korolyova, N.; Buechling, A.; Ďuračiová, R.; Zabihi, K.; Turčáni, M.; Svoboda, M.; Blaha, J.; Swarts, K.; Poláček, M.; Hradecký, J. The Last Trees Standing: Climate Modulates Tree Survival Factors during a Prolonged Bark Beetle Outbreak in Europe. Agric. For. Meteorol. 2022, 322, 109025. [Google Scholar] [CrossRef]
- Latifi, H.; Dahms, T.; Beudert, B.; Heurich, M.; Kübert, C.; Dech, S. Synthetic RapidEye Data Used for the Detection of Area-Based Spruce Tree Mortality Induced by Bark Beetles. GIScience Remote Sens. 2018, 55, 839–859. [Google Scholar] [CrossRef]
- Latifi, H.; Fassnacht, F.E.; Schumann, B.; Dech, S. Object-Based Extraction of Bark Beetle (Ips typographus L.) Infestations Using Multi-Date LANDSAT and SPOT Satellite Imagery. Prog. Phys. Geogr. 2014, 38, 755–785. [Google Scholar] [CrossRef]
- Latifi, H.; Schumann, B.; Kautz, M.; Dech, S. Spatial Characterization of Bark Beetle Infestations by a Multidate Synergy of SPOT and Landsat Imagery. Environ. Monit. Assess. 2014, 186, 441–456. [Google Scholar] [CrossRef] [PubMed]
- Lausch, A.; Fahse, L.; Heurich, M. Factors Affecting the Spatio-Temporal Dispersion of Ips typographus (L.) in Bavarian Forest National Park: A Long-Term Quantitative Landscape-Level Analysis. For. Ecol. Manag. 2011, 261, 233–245. [Google Scholar] [CrossRef]
- Lausch, A.; Heurich, M.; Gordalla, D.; Dobner, H.-J.; Gwillym-Margianto, S.; Salbach, C. Forecasting Potential Bark Beetle Outbreaks Based on Spruce Forest Vitality Using Hyperspectral Remote-Sensing Techniques at Different Scales. For. Ecol. Manag. 2013, 308, 76–89. [Google Scholar] [CrossRef]
- Mandl, L.; Lang, S. Uncovering Early Traces of Bark Beetle Induced Forest Stress via Semantically Enriched Sentinel-2 Data and Spectral Indices. PFG—J. Photogramm. Remote Sens. Geoinf. Sci. 2023, 91, 211–231. [Google Scholar] [CrossRef]
- Meyer, B.F.; Buras, A.; Rammig, A.; Zang, C.S. Higher Susceptibility of Beech to Drought in Comparison to Oak. Dendrochronologia 2020, 64, 125780. [Google Scholar] [CrossRef]
- Nielsen, M.M.; Heurich, M.; Malmberg, B.; Brun, A. Automatic Mapping of Standing Dead Trees after an Insect Outbreak Using the Window Independent Context Segmentation Method. J. For. 2014, 112, 564–571. [Google Scholar]
- Reinermann, S.; Gessner, U.; Asam, S.; Kuenzer, C.; Dech, S. The Effect of Droughts on Vegetation Condition in Germany: An Analysis Based on Two Decades of Satellite Earth Observation Time Series and Crop Yield Statistics. Remote Sens. 2019, 11, 1783. [Google Scholar] [CrossRef]
- Senf, C.; Mori, A.S.; Müller, J.; Seidl, R. The Response of Canopy Height Diversity to Natural Disturbances in Two Temperate Forest Landscapes. Landsc. Ecol. 2020, 35, 2101–2112. [Google Scholar] [CrossRef]
- Senf, C.; Müller, J.; Seidl, R. Post-Disturbance Recovery of Forest Cover and Tree Height Differ with Management in Central Europe. Landsc. Ecol. 2019, 34, 2837–2850. [Google Scholar] [CrossRef]
- Tanase, M.A.; Aponte, C.; Mermoz, S.; Bouvet, A.; Le Toan, T.; Heurich, M. Detection of Windthrows and Insect Outbreaks by L-Band SAR: A Case Study in the Bavarian Forest National Park. Remote Sens. Environ. 2018, 209, 700–711. [Google Scholar] [CrossRef]
- West, E.; Morley, P.J.; Jump, A.S.; Donoghue, D.N. Satellite Data Track Spatial and Temporal Declines in European Beech Forest Canopy Characteristics Associated with Intense Drought Events in the Rhön Biosphere Reserve, Central Germany. Plant Biol. 2022, 24, 1120–1131. [Google Scholar] [CrossRef] [PubMed]
- Wenxue, F.; Huadong, G.; Xinwu, L.; Bangsen, T.; Zhongchang, S. Extended Three-Stage Polarimetric SAR Interferometry Algorithm by Dual-Polarization Data. IEEE Trans. Geosci. Remote Sens. 2015, 54, 2792–2802. [Google Scholar] [CrossRef]
- Kortmann, M.; Heurich, M.; Latifi, H.; Rösner, S.; Seidl, R.; Müller, J.; Thorn, S. Forest Structure Following Natural Disturbances and Early Succession Provides Habitat for Two Avian Flagship Species, Capercaillie (Tetrao urogallus) and Hazel Grouse (Tetrastes bonasia). Biol. Conserv. 2018, 226, 81–91. [Google Scholar] [CrossRef]
- Abdullahi, S.; Kugler, F.; Pretzsch, H. Prediction of Stem Volume in Complex Temperate Forest Stands Using TanDEM-X SAR Data. Remote Sens. Environ. 2016, 174, 197–211. [Google Scholar] [CrossRef]
- Abdullahi, S.; Schardt, M.; Pretzsch, H. An Unsupervised Two-Stage Clustering Approach for Forest Structure Classification Based on X-Band InSAR Data—A Case Study in Complex Temperate Forest Stands. Int. J. Appl. Earth Obs. Geoinf. 2017, 57, 36–48. [Google Scholar] [CrossRef]
- Alagialoglou, L.; Manakos, I.; Heurich, M.; Červenka, J.; Delopoulos, A. A Learnable Model with Calibrated Uncertainty Quantification for Estimating Canopy Height from Spaceborne Sequential Imagery. IEEE Trans. Geosci. Remote Sens. 2022, 60, 1–13. [Google Scholar] [CrossRef]
- Ali, A.M.; Darvishzadeh, R.; Skidmore, A.K. Retrieval of Specific Leaf Area from Landsat-8 Surface Reflectance Data Using Statistical and Physical Models. IEEE J. Sel. Top. Appl. Earth Obs. Remote Sens. 2017, 10, 3529–3536. [Google Scholar] [CrossRef]
- Amiri, N.; Polewski, P.; Heurich, M.; Krzystek, P.; Skidmore, A.K. Adaptive Stopping Criterion for Top-down Segmentation of ALS Point Clouds in Temperate Coniferous Forests. ISPRS J. Photogramm. Remote Sens. 2018, 141, 265–274. [Google Scholar] [CrossRef]
- Cazcarra-Bes, V.; Pardini, M.; Papathanassiou, K. Definition of Tomographic SAR Configurations for Forest Structure Applications at L-Band. IEEE Geosci. Remote Sens. Lett. 2020, 19, 1–5. [Google Scholar] [CrossRef]
- Cazcarra-Bes, V.; Pardini, M.; Tello, M.; Papathanassiou, K.P. Comparison of Tomographic SAR Reflectivity Reconstruction Algorithms for Forest Applications at L-Band. IEEE Trans. Geosci. Remote Sens. 2019, 58, 147–164. [Google Scholar] [CrossRef]
- Fischer, R.; Knapp, N.; Bohn, F.; Shugart, H.H.; Huth, A. The Relevance of Forest Structure for Biomass and Productivity in Temperate Forests: New Perspectives for Remote Sensing. Surv. Geophys. 2019, 40, 709–734. [Google Scholar] [CrossRef]
- Kacic, P.; Thonfeld, F.; Gessner, U.; Kuenzer, C. Forest Structure Characterization in Germany: Novel Products and Analysis Based on GEDI, Sentinel-1 and Sentinel-2 Data. Remote Sens. 2023, 15, 1969. [Google Scholar] [CrossRef]
- Latifi, H.; Heurich, M.; Hartig, F.; Müller, J.; Krzystek, P.; Jehl, H.; Dech, S. Estimating Over-and Understorey Canopy Density of Temperate Mixed Stands by Airborne LiDAR Data. For. Int. J. For. Res. 2016, 89, 69–81. [Google Scholar] [CrossRef]
- Luo, H.; Li, X.W.; Chen, E.; Cheng, J.; Cao, C. Analysis of Forest Backscattering Characteristics Based on Polarization Coherence Tomography. Sci. China Technol. Sci. 2010, 53, 166–175. [Google Scholar] [CrossRef]
- Neumann, M.; Ferro-Famil, L.; Reigber, A. Estimation of Forest Structure, Ground, and Canopy Layer Characteristics from Multibaseline Polarimetric Interferometric SAR Data. IEEE Trans. Geosci. Remote Sens. 2009, 48, 1086–1104. [Google Scholar] [CrossRef]
- Pardini, M.; Papathanassiou, K. On the Estimation of Ground and Volume Polarimetric Covariances in Forest Scenarios with SAR Tomography. IEEE Geosci. Remote Sens. Lett. 2017, 14, 1860–1864. [Google Scholar] [CrossRef]
- Pardini, M.; Papathanassiou, K.P.; Lombardini, F. Impact of Dielectric Changes on L-Band 3-D SAR Reflectivity Profiles of Forest Volumes. IEEE Trans. Geosci. Remote Sens. 2018, 56, 7324–7337. [Google Scholar] [CrossRef]
- Ponce, O.; Prats-Iraola, P.; Scheiber, R.; Reigber, A.; Moreira, A. First Airborne Demonstration of Holographic SAR Tomography with Fully Polarimetric Multicircular Acquisitions at L-Band. IEEE Trans. Geosci. Remote Sens. 2016, 54, 6170–6196. [Google Scholar] [CrossRef]
- Reitberger, J.; Schnörr, C.; Krzystek, P.; Stilla, U. 3D Segmentation of Single Trees Exploiting Full Waveform LIDAR Data. ISPRS J. Photogramm. Remote Sens. 2009, 64, 561–574. [Google Scholar] [CrossRef]
- Stepper, C.; Straub, C.; Immitzer, M.; Pretzsch, H. Using Canopy Heights from Digital Aerial Photogrammetry to Enable Spatial Transfer of Forest Attribute Models: A Case Study in Central Europe. Scand. J. For. Res. 2017, 32, 748–761. [Google Scholar] [CrossRef]
- Stepper, C.; Straub, C.; Pretzsch, H. Assessing Height Changes in a Highly Structured Forest Using Regularly Acquired Aerial Image Data. For. Int. J. For. Res. 2015, 88, 304–316. [Google Scholar] [CrossRef]
- Tello, M.; Cazcarra-Bes, V.; Pardini, M.; Papathanassiou, K. Forest Structure Characterization from SAR Tomography at L-Band. IEEE J. Sel. Top. Appl. Earth Obs. Remote Sens. 2018, 11, 3402–3414. [Google Scholar] [CrossRef]
- Tian, J.; Schneider, T.; Straub, C.; Kugler, F.; Reinartz, P. Exploring Digital Surface Models from Nine Different Sensors for Forest Monitoring and Change Detection. Remote Sens. 2017, 9, 287. [Google Scholar] [CrossRef]
- Torresani, M.; Rocchini, D.; Alberti, A.; Moudrý, V.; Heym, M.; Thouverai, E.; Kacic, P.; Tomelleri, E. LiDAR GEDI Derived Tree Canopy Height Heterogeneity Reveals Patterns of Biodiversity in Forest Ecosystems. Ecol. Inform. 2023, 76, 102082. [Google Scholar] [CrossRef] [PubMed]
- Yao, W.; Krzystek, P.; Heurich, M. Tree Species Classification and Estimation of Stem Volume and DBH Based on Single Tree Extraction by Exploiting Airborne Full-Waveform LiDAR Data. Remote Sens. Environ. 2012, 123, 368–380. [Google Scholar] [CrossRef]
- Ewald, M.; Dupke, C.; Heurich, M.; Müller, J.; Reineking, B. LiDAR Remote Sensing of Forest Structure and GPS Telemetry Data Provide Insights on Winter Habitat Selection of European Roe Deer. Forests 2014, 5, 1374–1390. [Google Scholar] [CrossRef]
- Bae, S.; Levick, S.R.; Heidrich, L.; Magdon, P.; Leutner, B.F.; Wöllauer, S.; Serebryanyk, A.; Nauss, T.; Krzystek, P.; Gossner, M.M. Radar Vision in the Mapping of Forest Biodiversity from Space. Nat. Commun. 2019, 10, 4757. [Google Scholar] [CrossRef] [PubMed]
- Bae, S.; Müller, J.; Lee, D.; Vierling, K.T.; Vogeler, J.C.; Vierling, L.A.; Hudak, A.T.; Latifi, H.; Thorn, S. Taxonomic, Functional, and Phylogenetic Diversity of Bird Assemblages Are Oppositely Associated to Productivity and Heterogeneity in Temperate Forests. Remote Sens. Environ. 2018, 215, 145–156. [Google Scholar] [CrossRef]
- Bae, S.; Reineking, B.; Ewald, M.; Mueller, J. Comparison of Airborne Lidar, Aerial Photography, and Field Surveys to Model the Habitat Suitability of a Cryptic Forest Species–the Hazel Grouse. Int. J. Remote Sens. 2014, 35, 6469–6489. [Google Scholar] [CrossRef]
- Bässler, C.; Stadler, J.; Müller, J.; Förster, B.; Göttlein, A.; Brandl, R. LiDAR as a Rapid Tool to Predict Forest Habitat Types in Natura 2000 Networks. Biodivers. Conserv. 2011, 20, 465–481. [Google Scholar] [CrossRef]
- Ciuti, S.; Tripke, H.; Antkowiak, P.; Gonzalez, R.S.; Dormann, C.F.; Heurich, M. An Efficient Method to Exploit Li DAR Data in Animal Ecology. Methods Ecol. Evol. 2018, 9, 893–904. [Google Scholar] [CrossRef]
- Förster, M.; Frick, A.; Walentowski, H.; Kleinschmit, B. Approaches to Utilising QuickBird Data for the Monitoring of NATURA 2000 Habitats. Community Ecol. 2008, 9, 155–168. [Google Scholar] [CrossRef]
- Kautz, M.; Dworschak, K.; Gruppe, A.; Schopf, R. Quantifying Spatio-Temporal Dispersion of Bark Beetle Infestations in Epidemic and Non-Epidemic Conditions. For. Ecol. Manag. 2011, 262, 598–608. [Google Scholar] [CrossRef]
- Kautz, M.; Schopf, R.; Ohser, J. The “Sun-Effect”: Microclimatic Alterations Predispose Forest Edges to Bark Beetle Infestations. Eur. J. For. Res. 2013, 132, 453–465. [Google Scholar] [CrossRef]
- Lehnert, L.W.; Bässler, C.; Brandl, R.; Burton, P.J.; Müller, J. Conservation Value of Forests Attacked by Bark Beetles: Highest Number of Indicator Species Is Found in Early Successional Stages. J. Nat. Conserv. 2013, 21, 97–104. [Google Scholar] [CrossRef]
- Leutner, B.F.; Reineking, B.; Müller, J.; Bachmann, M.; Beierkuhnlein, C.; Dech, S.; Wegmann, M. Modelling Forest α-Diversity and Floristic Composition—On the Added Value of LiDAR plus Hyperspectral Remote Sensing. Remote Sens. 2012, 4, 2818–2845. [Google Scholar] [CrossRef]
- Müller, D.; Schröder, B.; Müller, J. Modelling Habitat Selection of the Cryptic Hazel Grouse Bonasa Bonasia in a Montane Forest. J. Ornithol. 2009, 150, 717–732. [Google Scholar] [CrossRef]
- Müller, J.; Bae, S.; Röder, J.; Chao, A.; Didham, R.K. Airborne LiDAR Reveals Context Dependence in the Effects of Canopy Architecture on Arthropod Diversity. For. Ecol. Manag. 2014, 312, 129–137. [Google Scholar] [CrossRef]
- Müller, J.; Brandl, R. Assessing Biodiversity by Remote Sensing in Mountainous Terrain: The Potential of LiDAR to Predict Forest Beetle Assemblages. J. Appl. Ecol. 2009, 46, 897–905. [Google Scholar] [CrossRef]
- Müller, J.; Brandl, R.; Brändle, M.; Förster, B.; de Araujo, B.C.; Gossner, M.M.; Ladas, A.; Wagner, M.; Maraun, M.; Schall, P. LiDAR-derived Canopy Structure Supports the More-individuals Hypothesis for Arthropod Diversity in Temperate Forests. Oikos 2018, 127, 814–824. [Google Scholar] [CrossRef]
- Müller, J.; Moning, C.; Baessler, C.; Heurich, M.; Brandl, R. Using Airborne Laser Scanning to Model Potential Abundance and Assemblages of Forest Passerines. Basic Appl. Ecol. 2009, 10, 671–681. [Google Scholar] [CrossRef]
- Müller, J.; Stadler, J.; Brandl, R. Composition versus Physiognomy of Vegetation as Predictors of Bird Assemblages: The Role of Lidar. Remote Sens. Environ. 2010, 114, 490–495. [Google Scholar] [CrossRef]
- Peura, M.; Gonzalez, R.S.; Müller, J.; Heurich, M.; Vierling, L.A.; Mönkkönen, M.; Bässler, C. Mapping a ‘Cryptic Kingdom’: Performance of Lidar Derived Environmental Variables in Modelling the Occurrence of Forest Fungi. Remote Sens. Environ. 2016, 186, 428–438. [Google Scholar] [CrossRef]
- Schmidtlein, S.; Fassnacht, F.E. The Spectral Variability Hypothesis Does Not Hold across Landscapes. Remote Sens. Environ. 2017, 192, 114–125. [Google Scholar] [CrossRef]
- Seibold, S.; Bässler, C.; Brandl, R.; Fahrig, L.; Förster, B.; Heurich, M.; Hothorn, T.; Scheipl, F.; Thorn, S.; Müller, J. An Experimental Test of the Habitat-amount Hypothesis for Saproxylic Beetles in a Forested Region. Ecology 2017, 98, 1613–1622. [Google Scholar] [CrossRef]
- Torresani, M.; Rocchini, D.; Sonnenschein, R.; Zebisch, M.; Hauffe, H.C.; Heym, M.; Pretzsch, H.; Tonon, G. Height Variation Hypothesis: A New Approach for Estimating Forest Species Diversity with CHM LiDAR Data. Ecol. Indic. 2020, 117, 106520. [Google Scholar] [CrossRef]
- Vierling, K.T.; Bässler, C.; Brandl, R.; Vierling, L.A.; Weiß, I.; Müller, J. Spinning a Laser Web: Predicting Spider Distributions Using LiDAR. Ecol. Appl. 2011, 21, 577–588. [Google Scholar] [CrossRef] [PubMed]
- Zielewska-Büttner, K.; Heurich, M.; Müller, J.; Braunisch, V. Remotely Sensed Single Tree Data Enable the Determination of Habitat Thresholds for the Three-Toed Woodpecker (Picoides tridactylus). Remote Sens. 2018, 10, 1972. [Google Scholar] [CrossRef]
- Zong, X.; Wang, T.; Skidmore, A.K.; Heurich, M. Habitat Visibility Affects the Behavioral Response of a Large Herbivore to Human Disturbance in Forest Landscapes. J. Environ. Manag. 2023, 348, 119244. [Google Scholar] [CrossRef] [PubMed]
- Breidenbach, J.; Ortiz, S.M.; Reich, M. Forest Monitoring with TerraSAR-X: First Results. Eur. J. For. Res. 2010, 129, 813–823. [Google Scholar] [CrossRef]
- Immitzer, M.; Böck, S.; Einzmann, K.; Vuolo, F.; Pinnel, N.; Wallner, A.; Atzberger, C. Fractional Cover Mapping of Spruce and Pine at 1 Ha Resolution Combining Very High and Medium Spatial Resolution Satellite Imagery. Remote Sens. Environ. 2018, 204, 690–703. [Google Scholar] [CrossRef]
- Immitzer, M.; Vuolo, F.; Atzberger, C. First Experience with Sentinel-2 Data for Crop and Tree Species Classifications in Central Europe. Remote Sens. 2016, 8, 166. [Google Scholar] [CrossRef]
- Förster, M.; Kleinschmit, B. Significance Analysis of Different Types of Ancillary Geodata Utilized in a Multisource Classification Process for Forest Identification in Germany. IEEE Trans. Geosci. Remote Sens. 2013, 52, 3453–3463. [Google Scholar] [CrossRef]
- Wessel, M.; Brandmeier, M.; Tiede, D. Evaluation of Different Machine Learning Algorithms for Scalable Classification of Tree Types and Tree Species Based on Sentinel-2 Data. Remote Sens. 2018, 10, 1419. [Google Scholar] [CrossRef]
- Cheţan, M.A.; Dornik, A. 20 Years of Landscape Dynamics within the World’s Largest Multinational Network of Protected Areas. J. Environ. Manag. 2021, 280, 111712. [Google Scholar] [CrossRef]
- Senf, C.; Laštovička, J.; Okujeni, A.; Heurich, M.; van der Linden, S. A Generalized Regression-Based Unmixing Model for Mapping Forest Cover Fractions throughout Three Decades of Landsat Data. Remote Sens. Environ. 2020, 240, 111691. [Google Scholar] [CrossRef]
- Silveyra Gonzalez, R.; Latifi, H.; Weinacker, H.; Dees, M.; Koch, B.; Heurich, M. Integrating LiDAR and High-Resolution Imagery for Object-Based Mapping of Forest Habitats in a Heterogeneous Temperate Forest Landscape. Int. J. Remote Sens. 2018, 39, 8859–8884. [Google Scholar] [CrossRef]
- Amiri, N.; Krzystek, P.; Heurich, M.; Skidmore, A. Classification of Tree Species as Well as Standing Dead Trees Using Triple Wavelength ALS in a Temperate Forest. Remote Sens. 2019, 11, 2614. [Google Scholar] [CrossRef]
- Briechle, S.; Krzystek, P.; Vosselman, G. Silvi-Net–A Dual-CNN Approach for Combined Classification of Tree Species and Standing Dead Trees from Remote Sensing Data. Int. J. Appl. Earth Obs. Geoinf. 2021, 98, 102292. [Google Scholar] [CrossRef]
- Hell, M.; Brandmeier, M.; Briechle, S.; Krzystek, P. Classification of Tree Species and Standing Dead Trees with Lidar Point Clouds Using Two Deep Neural Networks: Pointcnn and 3dmfv-Net. PFG—J. Photogramm. Remote Sens. Geoinf. Sci. 2022, 90, 103–121. [Google Scholar] [CrossRef]
- Krzystek, P.; Serebryanyk, A.; Schnörr, C.; Červenka, J.; Heurich, M. Large-Scale Mapping of Tree Species and Dead Trees in Šumava National Park and Bavarian Forest National Park Using Lidar and Multispectral Imagery. Remote Sens. 2020, 12, 661. [Google Scholar] [CrossRef]
- Reitberger, J.; Krzystek, P.; Stilla, U. Analysis of Full Waveform LIDAR Data for the Classification of Deciduous and Coniferous Trees. Int. J. Remote Sens. 2008, 29, 1407–1431. [Google Scholar] [CrossRef]
- Shi, Y.; Wang, T.; Skidmore, A.K.; Heurich, M. Important LiDAR Metrics for Discriminating Forest Tree Species in Central Europe. ISPRS J. Photogramm. Remote Sens. 2018, 137, 163–174. [Google Scholar] [CrossRef]
- Shi, Y.; Wang, T.; Skidmore, A.K.; Heurich, M. Improving LiDAR-Based Tree Species Mapping in Central European Mixed Forests Using Multi-Temporal Digital Aerial Colour-Infrared Photographs. Int. J. Appl. Earth Obs. Geoinf. 2020, 84, 101970. [Google Scholar] [CrossRef]
- Straub, C.; Stepper, C.; Seitz, R.; Waser, L.T. Potential of UltraCamX Stereo Images for Estimating Timber Volume and Basal Area at the Plot Level in Mixed European Forests. Can. J. For. Res. 2013, 43, 731–741. [Google Scholar] [CrossRef]
- Yao, W.; Krull, J.; Krzystek, P.; Heurich, M. Sensitivity Analysis of 3D Individual Tree Detection from LiDAR Point Clouds of Temperate Forests. Forests 2014, 5, 1122–1142. [Google Scholar] [CrossRef]
- Darvishzadeh, R.; Skidmore, A.; Abdullah, H.; Cherenet, E.; Ali, A.; Wang, T.; Nieuwenhuis, W.; Heurich, M.; Vrieling, A.; O’Connor, B. Mapping Leaf Chlorophyll Content from Sentinel-2 and RapidEye Data in Spruce Stands Using the Invertible Forest Reflectance Model. Int. J. Appl. Earth Obs. Geoinf. 2019, 79, 58–70. [Google Scholar] [CrossRef]
- Abdullah, H.; Skidmore, A.K.; Darvishzadeh, R.; Heurich, M. Timing of Red-Edge and Shortwave Infrared Reflectance Critical for Early Stress Detection Induced by Bark Beetle (Ips typographus, L.) Attack. Int. J. Appl. Earth Obs. Geoinf. 2019, 82, 101900. [Google Scholar] [CrossRef]
- Ali, A.M.; Darvishzadeh, R.; Skidmore, A.; Gara, T.W.; Heurich, M. Machine Learning Methods’ Performance in Radiative Transfer Model Inversion to Retrieve Plant Traits from Sentinel-2 Data of a Mixed Mountain Forest. Int. J. Digit. Earth 2021, 14, 106–120. [Google Scholar] [CrossRef]
- Ali, A.M.; Darvishzadeh, R.; Skidmore, A.; Gara, T.W.; O’Connor, B.; Roeoesli, C.; Heurich, M.; Paganini, M. Comparing Methods for Mapping Canopy Chlorophyll Content in a Mixed Mountain Forest Using Sentinel-2 Data. Int. J. Appl. Earth Obs. Geoinf. 2020, 87, 102037. [Google Scholar] [CrossRef]
- Gara, T.W.; Darvishzadeh, R.; Skidmore, A.K.; Wang, T.; Heurich, M. Accurate Modelling of Canopy Traits from Seasonal Sentinel-2 Imagery Based on the Vertical Distribution of Leaf Traits. ISPRS J. Photogramm. Remote Sens. 2019, 157, 108–123. [Google Scholar] [CrossRef]
- Neinavaz, E.; Darvishzadeh, R.; Skidmore, A.K.; Abdullah, H. Integration of Landsat-8 Thermal and Visible-Short Wave Infrared Data for Improving Prediction Accuracy of Forest Leaf Area Index. Remote Sens. 2019, 11, 390. [Google Scholar] [CrossRef]
- Ali, A.M.; Darvishzadeh, R.; Skidmore, A.K.; van Duren, I. Effects of Canopy Structural Variables on Retrieval of Leaf Dry Matter Content and Specific Leaf Area from Remotely Sensed Data. IEEE J. Sel. Top. Appl. Earth Obs. Remote Sens. 2015, 9, 898–909. [Google Scholar] [CrossRef]
- Ali, A.M.; Skidmore, A.K.; Darvishzadeh, R.; van Duren, I.; Holzwarth, S.; Mueller, J. Retrieval of Forest Leaf Functional Traits from HySpex Imagery Using Radiative Transfer Models and Continuous Wavelet Analysis. ISPRS J. Photogramm. Remote Sens. 2016, 122, 68–80. [Google Scholar] [CrossRef]
- Hoeppner, J.M.; Skidmore, A.K.; Darvishzadeh, R.; Heurich, M.; Chang, H.-C.; Gara, T.W. Mapping Canopy Chlorophyll Content in a Temperate Forest Using Airborne Hyperspectral Data. Remote Sens. 2020, 12, 3573. [Google Scholar] [CrossRef]
- Liu, J.; Skidmore, A.K.; Heurich, M.; Wang, T. Significant Effect of Topographic Normalization of Airborne LiDAR Data on the Retrieval of Plant Area Index Profile in Mountainous Forests. ISPRS J. Photogramm. Remote Sens. 2017, 132, 77–87. [Google Scholar] [CrossRef]
- Shi, Y.; Skidmore, A.K.; Wang, T.; Holzwarth, S.; Heiden, U.; Pinnel, N.; Zhu, X.; Heurich, M. Tree Species Classification Using Plant Functional Traits from LiDAR and Hyperspectral Data. Int. J. Appl. Earth Obs. Geoinf. 2018, 73, 207–219. [Google Scholar] [CrossRef]
- Wang, Z.; Wang, T.; Darvishzadeh, R.; Skidmore, A.K.; Jones, S.; Suarez, L.; Woodgate, W.; Heiden, U.; Heurich, M.; Hearne, J. Vegetation Indices for Mapping Canopy Foliar Nitrogen in a Mixed Temperate Forest. Remote Sens. 2016, 8, 491. [Google Scholar] [CrossRef]
- Xie, R.; Darvishzadeh, R.; Skidmore, A.K.; Heurich, M.; Holzwarth, S.; Gara, T.W.; Reusen, I. Mapping Leaf Area Index in a Mixed Temperate Forest Using Fenix Airborne Hyperspectral Data and Gaussian Processes Regression. Int. J. Appl. Earth Obs. Geoinf. 2021, 95, 102242. [Google Scholar] [CrossRef]
- Zhu, X.; Skidmore, A.K.; Darvishzadeh, R.; Wang, T. Estimation of Forest Leaf Water Content through Inversion of a Radiative Transfer Model from LiDAR and Hyperspectral Data. Int. J. Appl. Earth Obs. Geoinf. 2019, 74, 120–129. [Google Scholar] [CrossRef]
- Mann, D.; Gohr, C.; Blumröder, J.S.; Ibisch, P.L. Does Fragmentation Contribute to the Forest Crisis in Germany? Front. For. Glob. Chang. 2023, 6, 1099460. [Google Scholar] [CrossRef]
- Krause, A.; Knoke, T.; Rammig, A. A Regional Assessment of Land-based Carbon Mitigation Potentials: Bioenergy, BECCS, Reforestation, and Forest Management. GCB Bioenergy 2020, 12, 346–360. [Google Scholar] [CrossRef]
- Dhillon, M.S.; Dahms, T.; Kübert-Flock, C.; Steffan-Dewenter, I.; Zhang, J.; Ullmann, T. Spatiotemporal Fusion Modelling Using STARFM: Examples of Landsat 8 and Sentinel-2 NDVI in Bavaria. Remote Sens. 2022, 14, 677. [Google Scholar] [CrossRef]
- Matiu, M.; Bothmann, L.; Steinbrecher, R.; Menzel, A. Monitoring Succession after a Non-Cleared Windthrow in a Norway Spruce Mountain Forest Using Webcam, Satellite Vegetation Indices and Turbulent CO2 Exchange. Agric. For. Meteorol. 2017, 244, 72–81. [Google Scholar] [CrossRef]
- Neinavaz, E.; Skidmore, A.K.; Darvishzadeh, R. Effects of Prediction Accuracy of the Proportion of Vegetation Cover on Land Surface Emissivity and Temperature Using the NDVI Threshold Method. Int. J. Appl. Earth Obs. Geoinf. 2020, 85, 101984. [Google Scholar] [CrossRef]
- Fassnacht, F.E.; Latifi, H.; Koch, B. An Angular Vegetation Index for Imaging Spectroscopy Data—Preliminary Results on Forest Damage Detection in the Bavarian National Park, Germany. Int. J. Appl. Earth Obs. Geoinf. 2012, 19, 308–321. [Google Scholar] [CrossRef]
- Hilmers, T.; Friess, N.; Bässler, C.; Heurich, M.; Brandl, R.; Pretzsch, H.; Seidl, R.; Müller, J. Biodiversity along Temperate Forest Succession. J. Appl. Ecol. 2018, 55, 2756–2766. [Google Scholar] [CrossRef]
- Kempf, C.; Tian, J.; Kurz, F.; D’Angelo, P.; Schneider, T.; Reinartz, P. Oblique View Individual Tree Crown Delineation. Int. J. Appl. Earth Obs. Geoinf. 2021, 99, 102314. [Google Scholar] [CrossRef]
- Polewski, P.; Shelton, J.; Yao, W.; Heurich, M. Instance Segmentation of Fallen Trees in Aerial Color Infrared Imagery Using Active Multi-Contour Evolution with Fully Convolutional Network-Based Intensity Priors. ISPRS J. Photogramm. Remote Sens. 2021, 178, 297–313. [Google Scholar] [CrossRef]
- Polewski, P.; Yao, W.; Heurich, M.; Krzystek, P.; Stilla, U. Learning a Constrained Conditional Random Field for Enhanced Segmentation of Fallen Trees in ALS Point Clouds. ISPRS J. Photogramm. Remote Sens. 2018, 140, 33–44. [Google Scholar] [CrossRef]
- Polewski, P.; Yao, W.; Heurich, M.; Krzystek, P.; Stilla, U. Detection of Fallen Trees in ALS Point Clouds Using a Normalized Cut Approach Trained by Simulation. ISPRS J. Photogramm. Remote Sens. 2015, 105, 252–271. [Google Scholar] [CrossRef]
- Reger, B.; Göttlein, A.; Katzensteiner, K.; Ewald, J. Assessing the Sensitivity of Mountain Forests to Site Degradation in the Northern Limestone Alps, Europe. Mt. Res. Dev. 2015, 35, 139–151. [Google Scholar] [CrossRef]
- Röder, M.; Latifi, H.; Hill, S.; Wild, J.; Svoboda, M.; Brůna, J.; Macek, M.; Nováková, M.H.; Gülch, E.; Heurich, M. Application of Optical Unmanned Aerial Vehicle-Based Imagery for the Inventory of Natural Regeneration and Standing Deadwood in Post-Disturbed Spruce Forests. Int. J. Remote Sens. 2018, 39, 5288–5309. [Google Scholar] [CrossRef]
- Welle, T.; Aschenbrenner, L.; Kuonath, K.; Kirmaier, S.; Franke, J. Mapping Dominant Tree Species of German Forests. Remote Sens. 2022, 14, 3330. [Google Scholar] [CrossRef]
- Wallner, A.; Elatawneh, A.; Schneider, T.; Kindu, M.; Ossig, B.; Knoke, T. Remotely Sensed Data Controlled Forest Inventory Concept. Eur. J. Remote Sens. 2018, 51, 75–87. [Google Scholar] [CrossRef]
- Elatawneh, A.; Wallner, A.; Manakos, I.; Schneider, T.; Knoke, T. Forest Cover Database Updates Using Multi-Seasonal RapidEye Data—Storm Event Assessment in the Bavarian Forest National Park. Forests 2014, 5, 1284–1303. [Google Scholar] [CrossRef]
- Wallner, A.; Elatawneh, A.; Schneider, T.; Knoke, T. Estimation of Forest Structural Information Using RapidEye Satellite Data. For. Int. J. For. Res. 2015, 88, 96–107. [Google Scholar] [CrossRef]
- Goodbody, T.R.; Coops, N.C.; Senf, C.; Seidl, R. Airborne Laser Scanning to Optimize the Sampling Efficiency of a Forest Management Inventory in South-Eastern Germany. Ecol. Indic. 2023, 157, 111281. [Google Scholar] [CrossRef]
- Heurich, M.; Thoma, F. Estimation of Forestry Stand Parameters Using Laser Scanning Data in Temperate, Structurally Rich Natural European Beech (Fagus sylvatica) and Norway Spruce (Picea abies) Forests. Forestry 2008, 81, 645–661. [Google Scholar] [CrossRef]
- Latifi, H.; Fassnacht, F.E.; Müller, J.; Tharani, A.; Dech, S.; Heurich, M. Forest Inventories by LiDAR Data: A Comparison of Single Tree Segmentation and Metric-Based Methods for Inventories of a Heterogeneous Temperate Forest. Int. J. Appl. Earth Obs. Geoinf. 2015, 42, 162–174. [Google Scholar] [CrossRef]
- Straub, C.; Stepper, C. Using Digital Aerial Photogrammetry and the Random Forest Approach to Model Forest Inventory Attributes in Beech-and Spruce-Dominated Central European Forests. Photogramm.-Fernerkund.-Geoinf. 2016, 3, 109–123. [Google Scholar] [CrossRef]
- Straub, C.; Tian, J.; Seitz, R.; Reinartz, P. Assessment of Cartosat-1 and WorldView-2 Stereo Imagery in Combination with a LiDAR-DTM for Timber Volume Estimation in a Highly Structured Forest in Germany. Forestry 2013, 86, 463–473. [Google Scholar] [CrossRef]
- Tum, M.; Buchhorn, M.; Günther, K.P.; Haller, B.C. Validation of Modelled Forest Biomass in Germany Using BETHY/DLR. Geosci. Model Dev. 2011, 4, 1019–1034. [Google Scholar] [CrossRef]
- Immitzer, M.; Stepper, C.; Böck, S.; Straub, C.; Atzberger, C. Use of WorldView-2 Stereo Imagery and National Forest Inventory Data for Wall-to-Wall Mapping of Growing Stock. For. Ecol. Manag. 2016, 359, 232–246. [Google Scholar] [CrossRef]
- Heurich, M. Automatic Recognition and Measurement of Single Trees Based on Data from Airborne Laser Scanning over the Richly Structured Natural Forests of the Bavarian Forest National Park. For. Ecol. Manag. 2008, 255, 2416–2433. [Google Scholar] [CrossRef]
- Li, W.; Chen, E.; Li, Z.; Ke, Y.; Zhan, W. Forest Aboveground Biomass Estimation Using Polarization Coherence Tomography and PolSAR Segmentation. Int. J. Remote Sens. 2015, 36, 530–550. [Google Scholar] [CrossRef]
- Stepper, C.; Straub, C.; Pretzsch, H. Using Semi-Global Matching Point Clouds to Estimate Growing Stock at the Plot and Stand Levels: Application for a Broadleaf-Dominated Forest in Central Europe. Can. J. For. Res. 2015, 45, 111–123. [Google Scholar] [CrossRef]
- Wu, J.; Yao, W.; Choi, S.; Park, T.; Myneni, R.B. A Comparative Study of Predicting DBH and Stem Volume of Individual Trees in a Temperate Forest Using Airborne Waveform LiDAR. IEEE Geosci. Remote Sens. Lett. 2015, 12, 2267–2271. [Google Scholar] [CrossRef]
- Kowalski, K.; Senf, C.; Hostert, P.; Pflugmacher, D. Characterizing Spring Phenology of Temperate Broadleaf Forests Using Landsat and Sentinel-2 Time Series. Int. J. Appl. Earth Obs. Geoinf. 2020, 92, 102172. [Google Scholar] [CrossRef]
- Doktor, D.; Bondeau, A.; Koslowski, D.; Badeck, F.-W. Influence of Heterogeneous Landscapes on Computed Green-up Dates Based on Daily AVHRR NDVI Observations. Remote Sens. Environ. 2009, 113, 2618–2632. [Google Scholar] [CrossRef]
- Uphus, L.; Uhler, J.; Tobisch, C.; Rojas-Botero, S.; Lüpke, M.; Benjamin, C.; Englmeier, J.; Fricke, U.; Ganuza, C.; Haensel, M. Earlier and More Uniform Spring Green-up Linked to Lower Insect Richness and Biomass in Temperate Forests. Commun. Biol. 2023, 6, 1052. [Google Scholar] [CrossRef] [PubMed]
- Uphus, L.; Lüpke, M.; Yuan, Y.; Benjamin, C.; Englmeier, J.; Fricke, U.; Ganuza, C.; Schwindl, M.; Uhler, J.; Menzel, A. Climate Effects on Vertical Forest Phenology of Fagus sylvatica L., Sensed by Sentinel-2, Time Lapse Camera, and Visual Ground Observations. Remote Sens. 2021, 13, 3982. [Google Scholar] [CrossRef]
- Misra, G.; Asam, S.; Menzel, A. Ground and Satellite Phenology in Alpine Forests Are Becoming More Heterogeneous across Higher Elevations with Warming. Agric. For. Meteorol. 2021, 303, 108383. [Google Scholar] [CrossRef]
- Misra, G.; Buras, A.; Heurich, M.; Asam, S.; Menzel, A. LiDAR Derived Topography and Forest Stand Characteristics Largely Explain the Spatial Variability Observed in MODIS Land Surface Phenology. Remote Sens. Environ. 2018, 218, 231–244. [Google Scholar] [CrossRef]
- Senf, C.; Pflugmacher, D.; Heurich, M.; Krueger, T. A Bayesian Hierarchical Model for Estimating Spatial and Temporal Variation in Vegetation Phenology from Landsat Time Series. Remote Sens. Environ. 2017, 194, 155–160. [Google Scholar] [CrossRef]
- Lausch, A.; Heurich, M.; Fahse, L. Spatio-Temporal Infestation Patterns of Ips typographus (L.) in the Bavarian Forest National Park, Germany. Ecol. Indic. 2013, 31, 73–81. [Google Scholar] [CrossRef]
- Müller, J.; Bußler, H.; Goßner, M.; Rettelbach, T.; Duelli, P. The European Spruce Bark Beetle Ips typographus in a National Park: From Pest to Keystone Species. Biodivers. Conserv. 2008, 17, 2979–3001. [Google Scholar] [CrossRef]
- Sommerfeld, A.; Rammer, W.; Heurich, M.; Hilmers, T.; Müller, J.; Seidl, R. Do Bark Beetle Outbreaks Amplify or Dampen Future Bark Beetle Disturbances in Central Europe? J. Ecol. 2021, 109, 737–749. [Google Scholar] [CrossRef]
- Schuldt, B.; Buras, A.; Arend, M.; Vitasse, Y.; Beierkuhnlein, C.; Damm, A.; Gharun, M.; Grams, T.E.E.; Hauck, M.; Hajek, P.; et al. A First Assessment of the Impact of the Extreme 2018 Summer Drought on Central European Forests. Basic Appl. Ecol. 2020, 45, 86–103. [Google Scholar] [CrossRef]
- Immitzer, M.; Atzberger, C. Frühzeitige Erkennung von Borkenkäferbefall an Fichten Mittels WorldView-2 Satellitendaten. Photogramm.-Fernerkund.-Geoinf. 2014, 2014, 351–367. [Google Scholar] [CrossRef]
- Heurich, M.; Brand, T.T.G.; Kaandorp, M.Y.; Šustr, P.; Müller, J.; Reineking, B. Country, Cover or Protection: What Shapes the Distribution of Red Deer and Roe Deer in the Bohemian Forest Ecosystem? PLoS ONE 2015, 10, e0120960. [Google Scholar] [CrossRef]
- Janík, T.; Romportl, D. Complex Comparison of Bavarian and Bohemian Forest National Parks from Geographical Perspective: Is There More Similarity or Difference? J. Landsc. Ecol. 2017, 10, 58–74. [Google Scholar] [CrossRef][Green Version]
- Thorn, S.; Bässler, C.; Svoboda, M.; Müller, J. Effects of Natural Disturbances and Salvage Logging on Biodiversity—Lessons from the Bohemian Forest. For. Ecol. Manag. 2017, 388, 113–119. [Google Scholar] [CrossRef]
- Hill, J.; Buddenbaum, H.; Townsend, P.A. Imaging Spectroscopy of Forest Ecosystems: Perspectives for the Use of Space-Borne Hyperspectral Earth Observation Systems. Surv. Geophys. 2019, 40, 553–588. [Google Scholar] [CrossRef]
- Ghiyamat, A.; Shafri, H.Z.M. A Review on Hyperspectral Remote Sensing for Homogeneous and Heterogeneous Forest Biodiversity Assessment. Int. J. Remote Sens. 2010, 31, 1837–1856. [Google Scholar] [CrossRef]
- Aguilar, F.J.; Rodríguez, F.A.; Aguilar, M.A.; Nemmaoui, A.; Álvarez-Taboada, F. Forestry Applications of Space-Borne LiDAR Sensors: A Worldwide Bibliometric Analysis. Sensors 2024, 24, 1106. [Google Scholar] [CrossRef]
- Chave, J.; Davies, S.J.; Phillips, O.L.; Lewis, S.L.; Sist, P.; Schepaschenko, D.; Armston, J.; Baker, T.R.; Coomes, D.; Disney, M.; et al. Ground Data Are Essential for Biomass Remote Sensing Missions. Surv. Geophys. 2019, 40, 863–880. [Google Scholar] [CrossRef]






















| (a) | Number of Authors | First Authorships Each | (b) | Number of Authors | Co-Authorships Each |
| 28 | 1 | 253 | 1 | ||
| 16 | 2 | 74 | 2–3 | ||
| 6 | 3 | 27 | 4–7 | ||
| 2 | 4 | 8 | 8–13 | ||
| 4 | 5 | 1 | 23 | ||
| 1 | 52 |
| Affiliated Institute Country | First Author Affiliations |
|---|---|
| Germany | 86 |
| Netherlands | 17 |
| Austria | 8 |
| China | 5 |
| Czech Republic, Switzerland, Australia | 3 |
| Italy | 2 |
| Iran, Sweden, South Korea, Hong Kong, Norway, United Kingdom, Canada, Finland, Romania, Greece, United States, Spain, France | 1 |
Disclaimer/Publisher’s Note: The statements, opinions and data contained in all publications are solely those of the individual author(s) and contributor(s) and not of MDPI and/or the editor(s). MDPI and/or the editor(s) disclaim responsibility for any injury to people or property resulting from any ideas, methods, instructions or products referred to in the content. |
© 2024 by the authors. Licensee MDPI, Basel, Switzerland. This article is an open access article distributed under the terms and conditions of the Creative Commons Attribution (CC BY) license (https://creativecommons.org/licenses/by/4.0/).
Share and Cite
Coleman, K.; Müller, J.; Kuenzer, C. Remote Sensing of Forests in Bavaria: A Review. Remote Sens. 2024, 16, 1805. https://doi.org/10.3390/rs16101805
Coleman K, Müller J, Kuenzer C. Remote Sensing of Forests in Bavaria: A Review. Remote Sensing. 2024; 16(10):1805. https://doi.org/10.3390/rs16101805
Chicago/Turabian StyleColeman, Kjirsten, Jörg Müller, and Claudia Kuenzer. 2024. "Remote Sensing of Forests in Bavaria: A Review" Remote Sensing 16, no. 10: 1805. https://doi.org/10.3390/rs16101805
APA StyleColeman, K., Müller, J., & Kuenzer, C. (2024). Remote Sensing of Forests in Bavaria: A Review. Remote Sensing, 16(10), 1805. https://doi.org/10.3390/rs16101805

