ADMM-Net for Beamforming Based on Linear Rectification with the Atomic Norm Minimization
Abstract
:1. Introduction
- (1)
- Target signals and interference signals often occur simultaneously, making it difficult to distinguish. The presence of target signals can induce deviation in the formed beam from its intended direction, diminishing the effectiveness of interference suppression from sidelobes. In severe instances, this phenomenon may lead to the cancellation of target signals.
- (2)
2. Signal Model
3. Proposed Algorithm
3.1. ADMM Model Based on the Linear Correction Atomic Norm
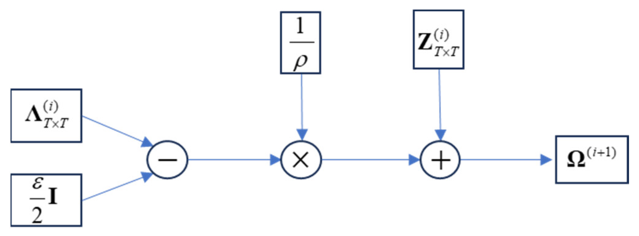
3.2. Design of the C-ADMM-Net
3.2.1. The Update Layer of Data
3.2.2. The Update Layer of Matrix Reconstruction
3.2.3. Analysis of C-ADMM-Net Structure
3.2.4. Back Propagation Algorithm in Complex Number Domain
4. Computer Simulation Experiments
4.1. Introduction of the Dataset
4.2. Experimental Results and Analysis
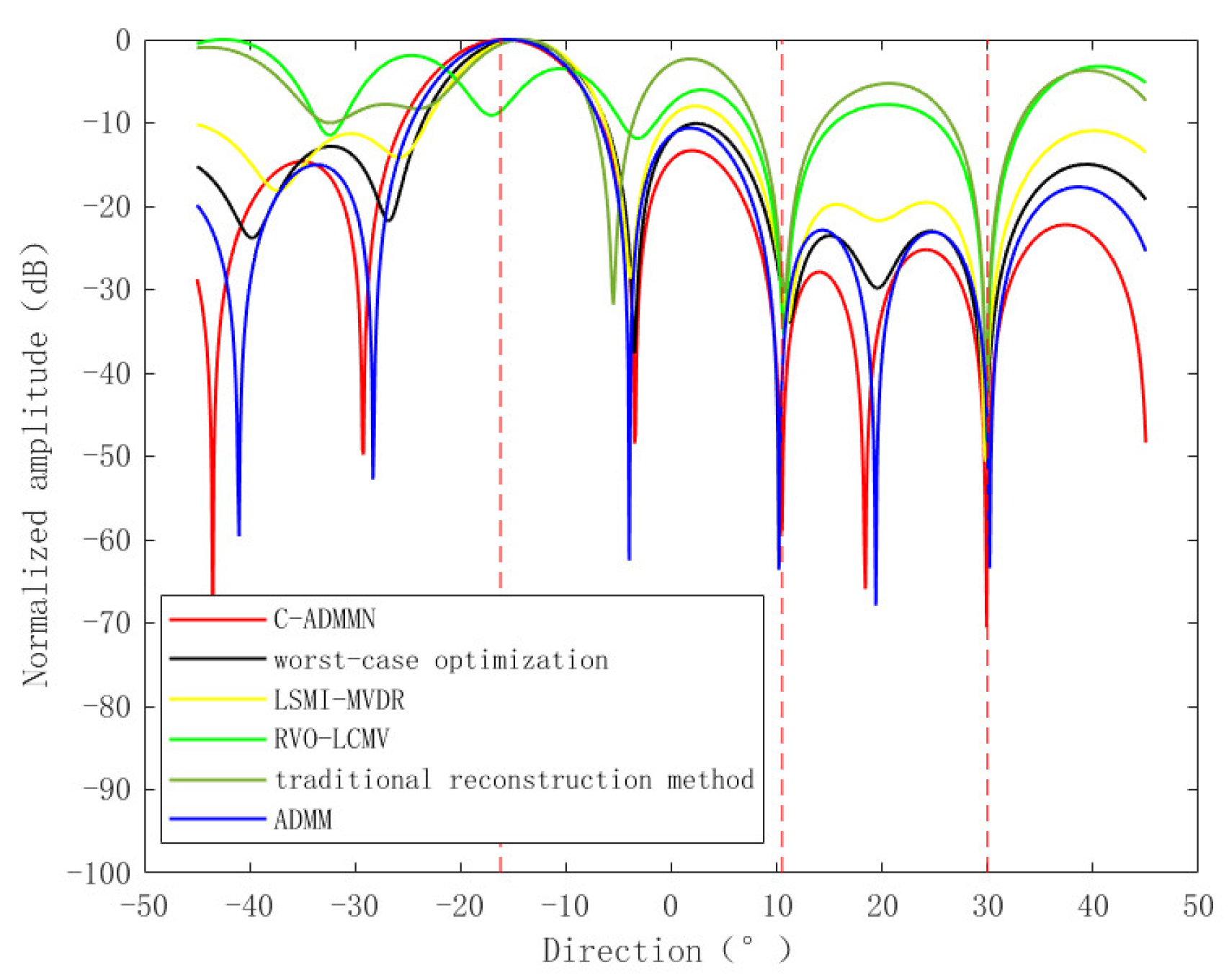
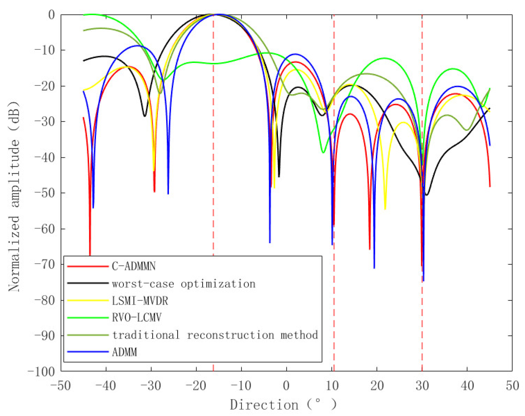
4.2.1. Contrast of Beamforming Optimization
4.2.2. Comparison of the Algorithm Performance
5. Conclusions
Author Contributions
Funding
Data Availability Statement
Conflicts of Interest
References
- Capon, J. High-resolution frequency-wavenumber spectrum analysis. Proc. IEEE 1969, 57, 1408–1418. [Google Scholar] [CrossRef]
- Yue, Y.; Zhou, C.; Xing, F.; Choo, K.-K.R.; Shi, Z. Adaptive Beamforming for Cascaded Sparse Diversely Polarized Planar Array. IEEE Trans. Veh. Technol. 2023, 72, 15648–15664. [Google Scholar] [CrossRef]
- Yang, J.; Yang, Y.; Liao, B. Robust adaptive Bayesian beamforming against stationary and nonstationary interferences. Signal Process. 2023, 212, 109122. [Google Scholar] [CrossRef]
- TLuo, T.; Chen, P.; Cao, Z.; Zheng, L.; Wang, Z. URGLQ: An Efficient Covariance Matrix Reconstruction Method for Robust Adaptive Beamforming. IEEE Trans. Aerosp. Electron. Syst. 2023, 59, 5634–5645. [Google Scholar] [CrossRef]
- Huang, Y.; Fu, H.; Vorobyov, S.A.; Luo, Z.-Q. Robust Adaptive Beamforming via Worst-Case SINR Maximization With Nonconvex Uncertainty Sets. IEEE Trans. Signal Process. 2023, 71, 218–232. [Google Scholar] [CrossRef]
- Wu, X.; Luo, J.; Li, G.; Zhang, S.; Sheng, W. Fast Wideband Beamforming Using Convolutional Neural Network. Remote Sens. 2023, 15, 712. [Google Scholar] [CrossRef]
- Huang, L.; Zhang, B.; Ye, Z. Robust adaptive beamforming using a new projection approach. In Proceedings of the 2015 IEEE International Conference on Digital Signal Processing (DSP), Singapore, 21–24 July 2015; pp. 1181–1185. [Google Scholar] [CrossRef]
- Feldman, D.D.; Griffiths, L.J. A projection approach for robust adaptive beamforming. IEEE Trans. Signal Process. 1994, 42, 867–876. [Google Scholar] [CrossRef]
- Ruan, H.; de Lamare, R.C. Robust Adaptive Beamforming Based on Low-Rank and Cross-Correlation Techniques. IEEE Trans. Signal Process. 2016, 64, 3919–3932. [Google Scholar] [CrossRef]
- Bao, Y.; Zhang, H.; Liu, X.; Jiang, Y.; Tao, Y. Design of Robust Sparse Wideband Beamformers with Circular-Model Mismatches Based on Reweighted ℓ2,1 Optimization. Remote Sens. 2023, 15, 4791. [Google Scholar] [CrossRef]
- Li, J.; Stoica, P.; Wang, Z. On robust Capon beamforming and diagonal loading. IEEE Trans. Signal Process. 2003, 51, 1702–1715. [Google Scholar] [CrossRef]
- Elnashar, A.; Elnoubi, S.M.; El-Mikati, H.A. Further Study on Robust Adaptive Beamforming With Optimum Diagonal Loading. IEEE Trans. Antennas Propag. 2006, 54, 3647–3658. [Google Scholar] [CrossRef]
- Yang, J.; Ma, X.; Hou, C.; Liu, Y. Automatic Generalized Loading for Robust Adaptive Beamforming. IEEE Signal Process. Lett. 2009, 16, 219–222. [Google Scholar] [CrossRef]
- Du, L.; Li, J.; Stoica, P. Fully Automatic Computation of Diagonal Loading Levels for Robust Adaptive Beamforming. IEEE Trans. Aerosp. Electron. Syst. 2010, 46, 449–458. [Google Scholar] [CrossRef]
- Vorobyov, S.; Gershman, A.; Luo, Z.-Q. Robust adaptive beamforming using worst-case performance optimization: A solution to the signal mismatch problem. IEEE Trans. Signal Process. 2003, 51, 313–324. [Google Scholar] [CrossRef]
- Lorenz, R.G.; Boyd, S.P. Robust minimum variance beamforming. IEEE Trans. Signal Process. 2005, 53, 1684–1696. [Google Scholar] [CrossRef]
- Liao, B.; Guo, C.T.; Huang, L.; Li, Q.; Liao, G.S.; So, H.C. Robust adaptive beamforming with random steering vector mismatch. Signal Process. 2016, 129, 190–194. [Google Scholar] [CrossRef]
- Hassanien, A.; Vorobyov, S.A.; Wong, K.M. Robust Adaptive Beamforming Using Sequential Quadratic Programming: An Iterative Solution to the Mismatch Problem. IEEE Signal Process. Lett. 2008, 15, 733–736. [Google Scholar] [CrossRef]
- Xu, J.; Liao, G.; Zhu, S.; Huang, L. Response Vector Constrained Robust LCMV Beamforming Based on Semidefinite Programming. IEEE Trans. Signal Process. 2015, 63, 5720–5732. [Google Scholar] [CrossRef]
- Xu, J.W.; Liao, G.S.; Zhu, S.Q. Robust LCMV beamforming based on phase response constraint. Electron. Lett. 2012, 48, 1284. [Google Scholar] [CrossRef]
- Somasundaram, S.D. Linearly Constrained Robust Capon Beamforming. IEEE Trans. Signal Process. 2012, 60, 5845–5856. [Google Scholar] [CrossRef]
- Chen, C.-Y.; Vaidyanathan, P.P. Quadratically Constrained Beamforming Robust Against Direction-of-Arrival Mismatch. IEEE Trans. Signal Process. 2007, 55, 4139–4150. [Google Scholar] [CrossRef]
- Yu, Z.L.; Ser, W.; Er, M.H.; Gu, Z.; Li, Y. Robust Adaptive Beamformers Based on Worst-Case Optimization and Constraints on Magnitude Response. IEEE Trans. Signal Process. 2009, 57, 2615–2628. [Google Scholar] [CrossRef]
- Yu, Z.L.; Er, M.H.; Ser, W. A Novel Adaptive Beamformer Based on Semidefinite Programming (SDP) With Magnitude Response Constraints. IEEE Trans. Antennas Propag. 2008, 56, 1297–1307. [Google Scholar] [CrossRef]
- Huang, F.; Sheng, W.; Ma, X. Modified projection approach for robust adaptive array beamforming. Signal Process. 2012, 92, 1758–1763. [Google Scholar] [CrossRef]
- Jia, W.; Jin, W.; Zhou, S.; Yao, M. Robust adaptive beamforming based on a new steering vector estimation algorithm. Signal Process. 2013, 93, 2539–2542. [Google Scholar] [CrossRef]
- Zhang, W.; Liu, T.; Yang, G.; Jiang, C.; Hu, Y.; Lan, T.; Zhao, Z. A Novel Method for Improving Quality of Oblique Incidence Sounding Ionograms Based on Eigenspace-Based Beamforming Technology and Capon High-Resolution Range Profile. Remote Sens. 2022, 14, 4305. [Google Scholar] [CrossRef]
- Yang, H.; Wang, P.; Ye, Z. Robust Adaptive Beamforming via Covariance Matrix Reconstruction and Interference Power Estimation. IEEE Commun. Lett. 2021, 25, 3394–3397. [Google Scholar] [CrossRef]
- Yang, Z.; de Lamare, R.C.; Li, X. L1 Regularized STAP Algorithms with a Generalized Sidelobe Canceler Architecture for Airborne Radar. IEEE Trans. Signal Process. 2012, 60, 674–686. [Google Scholar] [CrossRef]
- Wu, Q.; Zhang, Y.D.; Amin, M.G.; Himed, B. Space-time adaptive processing and motion parameter estimation in multi-static passive radar exploiting Bayesian compressive sensing. IEEE Trans. Geosci. Remote Sens. 2016, 54, 944–957. [Google Scholar] [CrossRef]
- Yang, X.; Sun, Y.; Zeng, T.; Long, T.; Sarkar, T.K. Fast STAP Method Based on PAST with Sparse Constraint for Airborne Phased Array Radar. IEEE Trans. Signal Process. 2016, 64, 4550–4561. [Google Scholar] [CrossRef]
- Zhang, X.; Jiang, W.; Huo, K.; Liu, Y.; Li, X. Robust Adaptive Beamforming Based on Linearly Modified Atomic-Norm Minimization with Target Contaminated Data. IEEE Trans. Signal Process. 2020, 68, 5138–5151. [Google Scholar] [CrossRef]
- Bhaskar, B.N.; Tang, G.; Recht, B. Atomic Norm Denoising with Applications to Line Spectral Estimation. IEEE Trans. Signal Process. 2013, 61, 5987–5999. [Google Scholar] [CrossRef]
- Li, Y.; Chi, Y. Off-the-Grid Line Spectrum Denoising and Estimation with Multiple Measurement Vectors. IEEE Trans. Signal Process. 2016, 64, 1257–1269. [Google Scholar] [CrossRef]
- Tang, G.; Bhaskar, B.N.; Shah, P.; Recht, B. Compressed sensing off the grid. IEEE Trans. Inf. Theory 2013, 59, 7465–7490. [Google Scholar] [CrossRef]
- Pei, B.; Han, H.; Sheng, Y.; Qiu, B. Research on smart antenna beamforming by generalized regression neural network. In Proceedings of the 2013 IEEE International Conference on Signal Processing, Communication and Computing (ICSPCC 2013), Kunming, China, 5–8 August 2013; pp. 1–4. [Google Scholar] [CrossRef]
- Zaharis, Z.D.; Yioultsis, T.V.; Skeberis, C.; Xenos, T.D.; Lazaridis, P.I.; Mastorakis, G.; Mavromoustakis, C.X. Implementation of antenna array beamforming by using a novel neural network structure. In Proceedings of the 2016 International Conference on Telecommunications and Multimedia (TEMU), Heraklion, Greece, 25–27 July 2016; pp. 1–5. [Google Scholar] [CrossRef]
- Zaharis, Z.D.; Gravas, I.P.; Lazaridis, P.I.; Yioultsis, T.V.; Antonopoulos, C.S.; Xenos, T.D. An Effective Modification of Conventional Beamforming Methods Suitable for Realistic Linear Antenna Arrays. IEEE Trans. Antennas Propag. 2020, 68, 5269–5279. [Google Scholar] [CrossRef]
- Kim, Y.-S.; Schvartzman, D.; Yu, T.-Y.; Palmer, R.D. Fast Adaptive Beamforming for Weather Observations with Convolutional Neural Networks. Remote Sens. 2023, 15, 4129. [Google Scholar] [CrossRef]
- Shi, J.; Hu, G.; Zhang, X.; Sun, F.; Zhou, H. Sparsity-based 2-D DOA estimation for co-prime array: From sum-difference coarray viewpoint. IEEE Trans. Signal Process. 2017, 65, 5591–5604. [Google Scholar] [CrossRef]
- Ren, M.; Hu, G.; Shi, J.; Zhou, H. Joint Angle and Gain-Phase Error Estimation for Nested Bistatic MIMO Radar via Tensor Decomposition. Signal Process. 2023, 202, 108740. [Google Scholar] [CrossRef]












| Algorithm | RMSE | Time | |
|---|---|---|---|
| Scene 1 | worst-case optimization | 3.7511 | 48.845960 |
| LSMI-MVDR | 3.4097 | 51.199925 | |
| RVO-LCMV | 10.1474 | 48.082712 | |
| ADMM (max 300) | 0.8192 | 35.036440 | |
| C-ADMMN (30 layer) | 0.4594 | 3.770667 | |
| Scene 2 | worst-case optimization | 9.8828 | 49.784180 |
| LSMI-MVDR | 10.3290 | 53.399999 | |
| RVO-LCMV | 18.7958 | 47.921498 | |
| ADMM (max 300) | 0.8969 | 33.197317 | |
| C-ADMMN (30 layer) | 0.4173 | 3.607241 | |
| Scene 3 | worst-case optimization | 3.8176 | 49.784180 |
| LSMI-MVDR | 3.6098 | 50. 870276 | |
| RVO-LCMV | 10.1997 | 48.201499 | |
| ADMM (max 300) | 0.9078 | 33.372376 | |
| C-ADMMN (30 layer) | 0.5211 | 3.496087 |
Disclaimer/Publisher’s Note: The statements, opinions and data contained in all publications are solely those of the individual author(s) and contributor(s) and not of MDPI and/or the editor(s). MDPI and/or the editor(s) disclaim responsibility for any injury to people or property resulting from any ideas, methods, instructions or products referred to in the content. |
© 2023 by the authors. Licensee MDPI, Basel, Switzerland. This article is an open access article distributed under the terms and conditions of the Creative Commons Attribution (CC BY) license (https://creativecommons.org/licenses/by/4.0/).
Share and Cite
Gong, Z.; Zhang, X.; Ren, M.; Su, X.; Liu, Z. ADMM-Net for Beamforming Based on Linear Rectification with the Atomic Norm Minimization. Remote Sens. 2024, 16, 96. https://doi.org/10.3390/rs16010096
Gong Z, Zhang X, Ren M, Su X, Liu Z. ADMM-Net for Beamforming Based on Linear Rectification with the Atomic Norm Minimization. Remote Sensing. 2024; 16(1):96. https://doi.org/10.3390/rs16010096
Chicago/Turabian StyleGong, Zhenghui, Xinyu Zhang, Mingjian Ren, Xiaolong Su, and Zhen Liu. 2024. "ADMM-Net for Beamforming Based on Linear Rectification with the Atomic Norm Minimization" Remote Sensing 16, no. 1: 96. https://doi.org/10.3390/rs16010096
APA StyleGong, Z., Zhang, X., Ren, M., Su, X., & Liu, Z. (2024). ADMM-Net for Beamforming Based on Linear Rectification with the Atomic Norm Minimization. Remote Sensing, 16(1), 96. https://doi.org/10.3390/rs16010096

