Oil Well Detection under Occlusion in Remote Sensing Images Using the Improved YOLOv5 Model
Abstract
:1. Introduction
1.1. Background
- We construct the first segmentation dataset of oil wells in remote sensing images, with many occluded objects. The dataset can be used as a reference for evaluating remote sensing image instance segmentation under occlusion.
- We propose combining the CONTEXT_AUGMENTATION_MODULE and Normalized Weighted Distance methods and demonstrate that it improves the accuracy of oil well detection under different occlusion scenarios.
1.2. Related Work
1.2.1. Research on Object Detection and Instance Segmentation Algorithms Based on Deep Learning
1.2.2. Research on Oil and Gas and Remote Sensing
1.2.3. Transfer Learning
2. Methods
2.1. The Network Structure of YOLOv5s-Seg
2.2. CONTEXT AUGMENTATION MODULE Structure
2.3. Normalized Weighted Distance
2.4. Other Modules
3. Experimental Results
3.1. Dataset
3.2. Model Training and Improvement
3.3. Evaluation Metrics
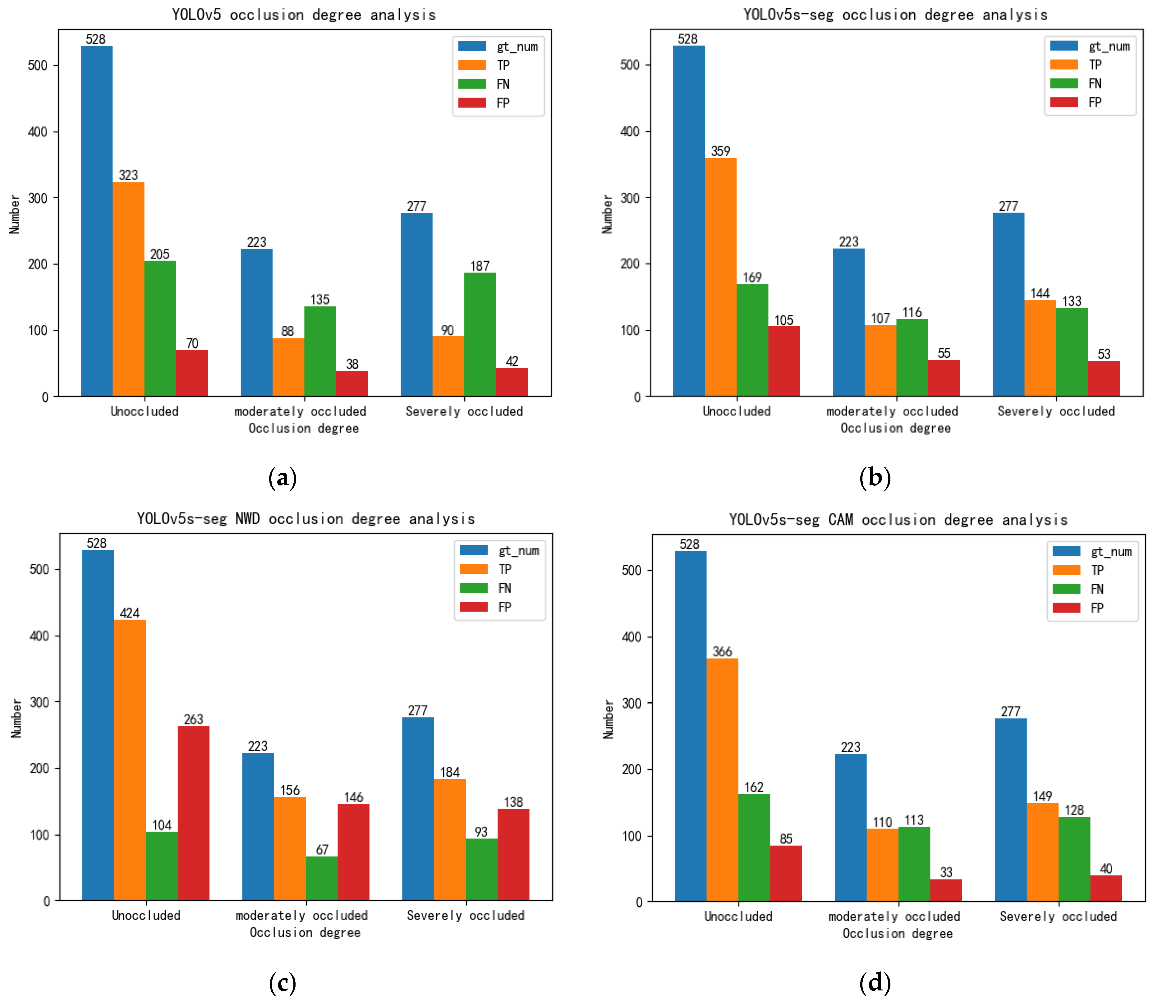
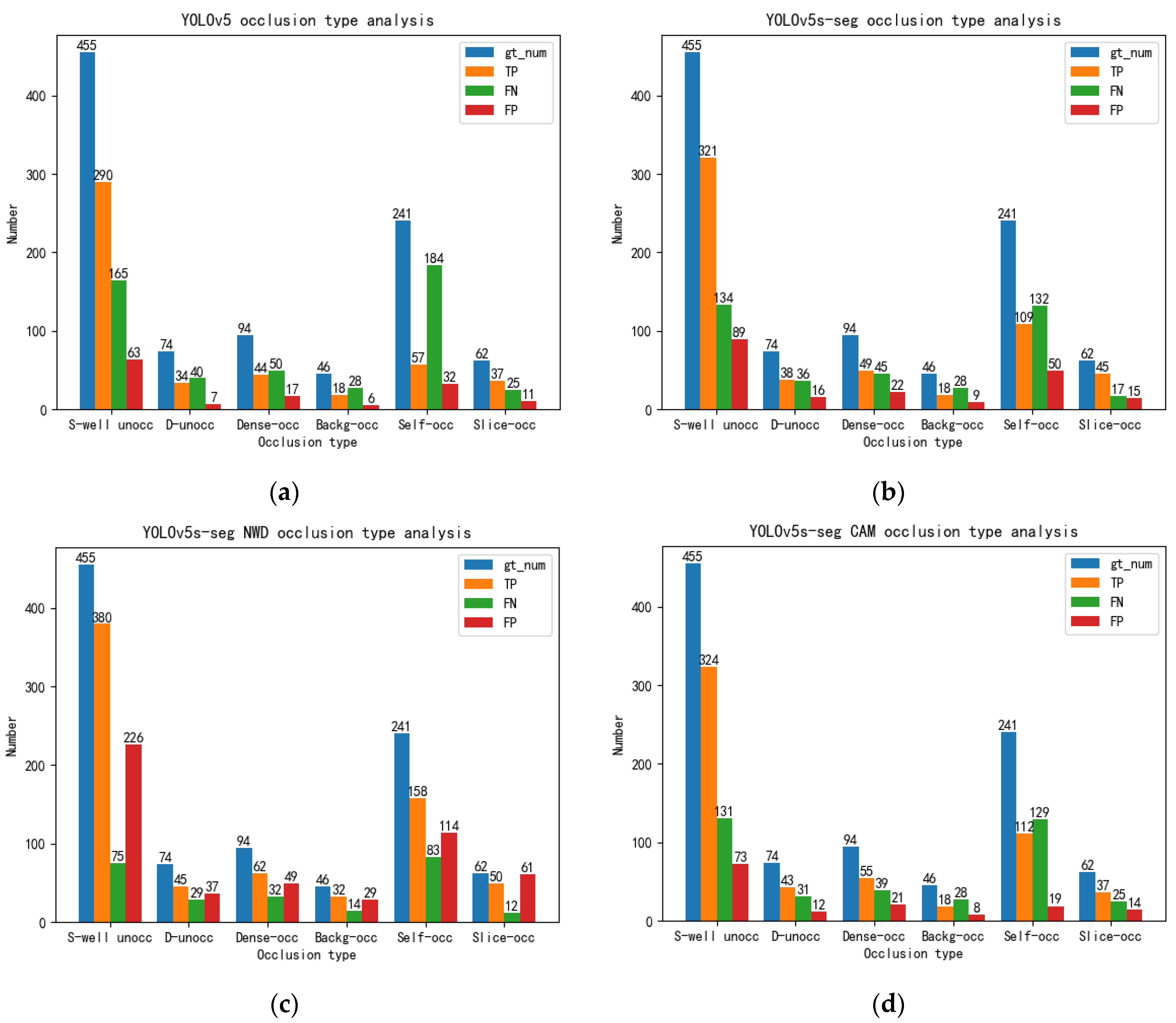
3.4. Experimental Results
4. Discussions
5. Conclusions
Author Contributions
Funding
Data Availability Statement
Conflicts of Interest
Abbreviations
| CAM | CONTEXT_AUGMENTATION_MODULE |
| NWD | Normalized Weighted Distance |
| S-well unocc | Single wells are unoccluded |
| D-unocc | Dense unoccluded |
| Dense-occ | Dense occluded |
| Backg-occ | Background occluded |
| Self-occ | Self_occluded |
| Slice-occ | Slice occluded |
| M-cls occ | Multi-class occluded |
References
- Bp, B. Statistical Review of World Energy 2022. 2023. Available online: https://www.bp.com/content/dam/bp/business-sites/en/global/corporate/pdfs/energy-economics/statistical-review/bp-stats-review-2022-full-report.pdf (accessed on 11 December 2023).
- Cheng, G.; Han, J. A survey on object detection in optical remote sensing images. ISPRS J. Photogramm. Remote Sens. 2016, 117, 11–28. [Google Scholar] [CrossRef]
- Li, Z.; Wang, Y.; Zhang, N.; Zhang, Y.; Zhao, Z.; Xu, D.; Ben, G.; Gao, Y. Deep learning-based object detection techniques for remote sensing images: A survey. Remote Sens. 2022, 14, 2385. [Google Scholar] [CrossRef]
- Li, K.; Wan, G.; Cheng, G.; Meng, L.; Han, J. Object detection in optical remote sensing images: A survey and a new benchmark. ISPRS J. Photogramm. Remote Sens. 2020, 159, 296–307. [Google Scholar] [CrossRef]
- Yu, Y.; Yuan, Y.; Guan, H.; Li, D.; Gu, T. Aeroplane detection from high-resolution remotely sensed imagery using bag-of-visual-words based hough forests. Int. J. Remote Sens. 2020, 41, 114–131. [Google Scholar] [CrossRef]
- Yang, X.; Sun, H.; Fu, K.; Yang, J.; Sun, X.; Yan, M.; Guo, Z. Automatic ship detection in remote sensing images from google earth of complex scenes based on multiscale rotation dense feature pyramid networks. Remote Sens. 2018, 10, 132. [Google Scholar] [CrossRef]
- Zao, Y.; Shi, Z. Richer U-Net: Learning more details for road detection in remote sensing images. IEEE Geosci. Remote Sens. Lett. 2021, 19, 3003105. [Google Scholar] [CrossRef]
- Han, Q.; Yin, Q.; Zheng, X.; Chen, Z. Remote sensing image building detection method based on Mask R-CNN. Complex Intell. Syst. 2021, 8, 1847–1855. [Google Scholar] [CrossRef]
- Yu, Z.; Huang, H.; Chen, W.; Su, Y.; Liu, Y.; Wang, X. Yolo-facev2: A scale and occlusion aware face detector. arXiv 2022, arXiv:2208.02019. [Google Scholar]
- Du, S.; Zhang, B.; Zhang, P.; Xiang, P.; Xue, H. FA-YOLO: An improved YOLO model for infrared occlusion object detection under confusing background. Wirel. Commun. Mob. Comput. 2021, 2021, 1896029. [Google Scholar] [CrossRef]
- Deng, Z.; Sun, H.; Zhou, S.; Zhao, J.; Lei, L.; Zou, H. Multi-scale object detection in remote sensing imagery with convolutional neural networks. ISPRS J. Photogramm. Remote Sens. 2018, 145, 3–22. [Google Scholar] [CrossRef]
- Li, C.; Xu, C.; Cui, Z.; Wang, D.; Zhang, T.; Yang, J. Feature-attentioned object detection in remote sensing imagery. In Proceedings of the 2019 IEEE international conference on image processing (ICIP), Taipei, Taiwan, 22–25 September 2019; pp. 3886–3890. [Google Scholar]
- Xiao, J.; Zhao, T.; Yao, Y.; Yu, Q.; Chen, Y. Context Augmentation and Feature Refinement Network for Tiny Object Detection. In Proceedings of the Tenth International Conference on Learning Representations (ICLR), virtual conference, 25 April 2022; pp. 1–11. [Google Scholar]
- Sun, X.; Wang, P.; Wang, C.; Liu, Y.; Fu, K. PBNet: Part-based convolutional neural network for complex composite object detection in remote sensing imagery. ISPRS J. Photogramm. Remote Sens. 2021, 173, 50–65. [Google Scholar] [CrossRef]
- Mahmoud, A.; Mohamed, S.; El-Khoribi, R.; AbdelSalam, H. Object detection using adaptive mask RCNN in optical remote sensing images. Int. J. Intell. Eng. Syst 2020, 13, 65–76. [Google Scholar] [CrossRef]
- Tian, D.; Han, Y.; Wang, B.; Guan, T.; Gu, H.; Wei, W. Review of object instance segmentation based on deep learning. J. Electron. Imaging 2022, 31, 041205. [Google Scholar] [CrossRef]
- Liu, Y.; Li, H.; Hu, C.; Luo, S.; Luo, Y.; Chen, C.W. Learning to Aggregate Multi-Scale Context for Instance Segmentation in Remote Sensing Images. arXiv 2021, arXiv:2111.11057. [Google Scholar]
- Lin, K.; Zhao, H.; Lv, J.; Li, C.; Liu, X.; Chen, R.; Zhao, R. Face detection and segmentation based on improved mask R-CNN. Discret. Dyn. Nat. Soc. 2020, 2020, 9242917. [Google Scholar] [CrossRef]
- Wang, D.; Wan, J.; Liu, S.; Chen, Y.; Yasir, M.; Xu, M.; Ren, P. BO-DRNet: An improved deep learning model for oil spill detection by polarimetric features from SAR images. Remote Sens. 2022, 14, 264. [Google Scholar] [CrossRef]
- Zhu, M.; Wang, Z.; Bai, L.; Zhang, J.; Tao, J.; Chen, L. Detection of industrial storage tanks at the city-level from optical satellite remote sensing images. In Proceedings of the Image and Signal Processing for Remote Sensing XXVII, Online, 13–17 September 2021; pp. 266–272. [Google Scholar]
- Wu, Q.; Zhang, B.; Xu, C.; Zhang, H.; Wang, C. Dense Oil Tank Detection and Classification via YOLOX-TR Network in Large-Scale SAR Images. Remote Sens. 2022, 14, 3246. [Google Scholar] [CrossRef]
- He, H.; Xu, H.; Zhang, Y.; Gao, K.; Li, H.; Ma, L.; Li, J. Mask R-CNN based automated identification and extraction of oil well sites. Int. J. Appl. Earth Obs. Geoinf. 2022, 112, 102875. [Google Scholar] [CrossRef]
- Wang, Z.; Bai, L.; Song, G.; Zhang, J.; Tao, J.; Mulvenna, M.D.; Bond, R.R.; Chen, L. An oil well dataset derived from satellite-based remote sensing. Remote Sens. 2021, 13, 1132. [Google Scholar] [CrossRef]
- Song, G.; Wang, Z.; Bai, L.; Zhang, J.; Chen, L. Detection of oil wells based on faster R-CNN in optical satellite remote sensing images. In Proceedings of the Image and Signal Processing for Remote Sensing XXVI, Online, 20 September 2020; pp. 114–121. [Google Scholar]
- Wang, Z.; Bai, L.; Song, G.; Zhang, Y.; Zhu, M.; Zhao, M.; Chen, L.; Wang, M. Optimized faster R-CNN for oil wells detection from high-resolution remote sensing images. Int. J. Remote Sens. 2023, 44, 6897–6928. [Google Scholar] [CrossRef]
- Shi, P.; Jiang, Q.; Shi, C.; Xi, J.; Tao, G.; Zhang, S.; Zhang, Z.; Liu, B.; Gao, X.; Wu, Q. Oil well detection via large-scale and high-resolution remote sensing images based on improved YOLO v4. Remote Sens. 2021, 13, 3243. [Google Scholar] [CrossRef]
- Ribani, R.; Marengoni, M. A survey of transfer learning for convolutional neural networks. In Proceedings of the 2019 32nd SIBGRAPI Conference on Graphics, Patterns and Images Tutorials (SIBGRAPI-T), Rio de Janeiro, Brazil, 28–31 October 2019; pp. 47–57. [Google Scholar]
- Yosinski, J.; Clune, J.; Bengio, Y.; Lipson, H. How transferable are features in deep neural networks? Adv. Neural Inf. Process. Syst. 2014, 27, 3320–3328. [Google Scholar] [CrossRef]
- Ruan, D.; Yan, Y.; Chen, S.; Xue, J.-H.; Wang, H. Deep disturbance-disentangled learning for facial expression recognition. In Proceedings of the 28th ACM International Conference on Multimedia, Seattle, WA, USA, 12–16 October 2020; pp. 2833–2841. [Google Scholar]
- Ma, Y.; Li, H.; Zhang, Z.; Guo, J.; Zhang, S.; Gong, R.; Liu, X. Annealing-Based Label-Transfer Learning for Open World Object Detection. In Proceedings of the IEEE/CVF Conference on Computer Vision and Pattern Recognition, Vancouver, BC, Canada, 18–22 June 2023; pp. 11454–11463. [Google Scholar]
- Song, H.; Yang, W. GSCCTL: A general semi-supervised scene classification method for remote sensing images based on clustering and transfer learning. Int. J. Remote Sens. 2022, 43, 5976–6000. [Google Scholar] [CrossRef]
- Alem, A.; Kumar, S. Transfer learning models for land cover and land use classification in remote sensing image. Appl. Artif. Intell. 2022, 36, 2014192. [Google Scholar] [CrossRef]
- Lin, T.-Y.; Maire, M.; Belongie, S.; Hays, J.; Perona, P.; Ramanan, D.; Dollár, P.; Zitnick, C.L. Microsoft coco: Common objects in context. In Proceedings of the Computer Vision–ECCV 2014: 13th European Conference, Zurich, Switzerland, 6–12 September 2014; Proceedings, Part V 13, 2014. pp. 740–755. [Google Scholar]
- Yu, F.; Koltun, V. Multi-scale context aggregation by dilated convolutions. arXiv 2015, arXiv:1511.07122. [Google Scholar]
- Zhang, J.; Lin, S.; Ding, L.; Bruzzone, L. Multi-scale context aggregation for semantic segmentation of remote sensing images. Remote Sens. 2020, 12, 701. [Google Scholar] [CrossRef]
- Liu, Y.; Sun, P.; Wergeles, N.; Shang, Y. A survey and performance evaluation of deep learning methods for small object detection. Expert Syst. Appl. 2021, 172, 114602. [Google Scholar] [CrossRef]
- Wang, J.; Xu, C.; Yang, W.; Yu, L. A normalized Gaussian Wasserstein distance for tiny object detection. arXiv 2021, arXiv:2110.13389. [Google Scholar]
- Woo, S.; Debnath, S.; Hu, R.; Chen, X.; Liu, Z.; Kweon, I.S.; Xie, S. Convnext v2: Co-designing and scaling convnets with masked autoencoders. In Proceedings of the IEEE/CVF Conference on Computer Vision and Pattern Recognition; 2023; pp. 16133–16142. [Google Scholar]
- Zhu, L.; Wang, X.; Ke, Z.; Zhang, W.; Lau, R.W. BiFormer: Vision Transformer with Bi-Level Routing Attention. In Proceedings of the IEEE/CVF Conference on Computer Vision and Pattern Recognition, Vancouver, BC, Canada, 18–22 June 2023; pp. 10323–10333. [Google Scholar]
- Liu, Z.; Lin, Y.; Cao, Y.; Hu, H.; Wei, Y.; Zhang, Z.; Lin, S.; Guo, B. Swin transformer: Hierarchical vision transformer using shifted windows. In Proceedings of the IEEE/CVF International Conference on Computer Vision, Montreal, BC, Canada, 11–17 October 2021; pp. 10012–10022. [Google Scholar]
- Yu, W.; Luo, M.; Zhou, P.; Si, C.; Zhou, Y.; Wang, X.; Feng, J.; Yan, S. Metaformer is actually what you need for vision. In Proceedings of the IEEE/CVF Conference on Computer Vision and Pattern Recognition, New Orleans, LA, USA, 18–24 June 2022; pp. 10819–10829. [Google Scholar]
- Xu, X.; Jiang, Y.; Chen, W.; Huang, Y.; Zhang, Y.; Sun, X. Damo-yolo: A report on real-time object detection design. arXiv 2022, arXiv:2211.15444. [Google Scholar]
- Yu, L.; Gong, P. Google Earth as a virtual globe tool for Earth science applications at the global scale: Progress and perspectives. Int. J. Remote Sens. 2012, 33, 3966–3986. [Google Scholar] [CrossRef]


















| Model | P | R | AP50 | F1 |
|---|---|---|---|---|
| YOLOv5s-seg | 0.907 | 0.858 | 0.923 | 0.882 |
| CAM | 0.922 | 0.894 | 0.943 | 0.908 |
| NWD | 0.920 | 0.895 | 0.949 | 0.907 |
| CAM NWD | 0.933 | 0.932 | 0.965 | 0.932 |
| Model | P | R | AP50 | F1 |
|---|---|---|---|---|
| faster_rcnn | 0.873 | 0.201 | 0.375 | 0.327 |
| mask_rcnn | 0.538 | 0.457 | 0.558 | 0.494 |
| YOLOv5 | 0.769 | 0.487 | 0.584 | 0.596 |
| YOLOv7 | 0.568 | 0.443 | 0.461 | 0.498 |
| YOLOv8 | 0.635 | 0.513 | 0.542 | 0.567 |
| YOLOv5s-seg | 0.741 | 0.593 | 0.65 | 0.659 |
| Improvement | AP50(Box) | F1 | AP50(Mask) | F1 |
|---|---|---|---|---|
| YOLOv5s-seg | 0.65 | 0.659 | 0.634 | 0.61 |
| BiLevelRoutingAttention | 0.496 | 0.533 | 0.484 | 0.49 |
| Attention | 0.558 | 0.611 | 0.54 | 0.546 |
| AttentionLePE | 0.593 | 0.625 | 0.583 | 0.574 |
| C2f | 0.499 | 0.575 | 0.487 | 0.506 |
| NWD | 0.611 | 0.652 | 0.62 | 0.615 |
| Convnextv2 | 0.503 | 0.634 | 0.504 | 0.541 |
| SwinTransformer | 0.447 | 0.533 | 0.433 | 0.465 |
| PoolFormer | 0.462 | 0.55 | 0.459 | 0.503 |
| CAM | 0.659 | 0.69 | 0.626 | 0.626 |
| EfficientRepGFPN | 0.652 | 0.613 | 0.621 | 0.624 |
| RFEM | 0.593 | 0.623 | 0.577 | 0.586 |
| CAM NWD | 0.701 | 0.704 | 0.686 | 0.642 |
| YOLOv5 | YOLOv5s-Seg | YOLOv5s-Seg NWD | YOLOv5s-Seg CAM | YOLOv5s-Seg CAM NWD | |
|---|---|---|---|---|---|
| Unoccluded P | 0.822 | 0.774 | 0.617 | 0.812 | 0.691 |
| Unoccluded R | 0.612 | 0.68 | 0.803 | 0.693 | 0.831 |
| Unoccluded F1 | 0.701 | 0.724 | 0.698 | 0.748 | 0.755 |
| Moderately occluded P | 0.698 | 0.66 | 0.517 | 0.769 | 0.578 |
| Moderately occluded R | 0.395 | 0.48 | 0.7 | 0.493 | 0.668 |
| Moderately occluded F1 | 0.504 | 0.556 | 0.594 | 0.601 | 0.62 |
| Severely occluded P | 0.682 | 0.731 | 0.571 | 0.788 | 0.645 |
| Severely occluded R | 0.325 | 0.52 | 0.664 | 0.534 | 0.7 |
| Severely occluded F1 | 0.44 | 0.608 | 0.614 | 0.639 | 0.671 |
| YOLOv5 | YOLOv5s-Seg | YOLOv5s-Seg NWD | YOLOv5s-Seg CAM | YOLOv5s-Seg CAM NWD | |
|---|---|---|---|---|---|
| Unoccluded P | 0.822 | 0.783 | 0.627 | 0.816 | 0.703 |
| Unoccluded R | 0.637 | 0.705 | 0.835 | 0.712 | 0.857 |
| Unoccluded F1 | 0.718 | 0.742 | 0.716 | 0.761 | 0.772 |
| Dense unoccluded P | 0.829 | 0.704 | 0.549 | 0.782 | 0.617 |
| Dense unoccluded R | 0.459 | 0.514 | 0.608 | 0.581 | 0.676 |
| Dense unoccluded F1 | 0.591 | 0.594 | 0.577 | 0.667 | 0.645 |
| Dense occluded P | 0.721 | 0.69 | 0.559 | 0.724 | 0.674 |
| Dense occluded R | 0.468 | 0.521 | 0.66 | 0.586 | 0.681 |
| Dense occluded F1 | 0.568 | 0.594 | 0.605 | 0.647 | 0.677 |
| Background occluded P | 0.75 | 0.667 | 0.525 | 0.692 | 0.604 |
| Background occluded R | 0.391 | 0.391 | 0.696 | 0.391 | 0.696 |
| Background occluded F1 | 0.514 | 0.493 | 0.598 | 0.5 | 0.646 |
| Self-occluded P | 0.64 | 0.686 | 0.581 | 0.855 | 0.637 |
| Self-occluded R | 0.237 | 0.452 | 0.656 | 0.465 | 0.664 |
| Self-occluded F1 | 0.345 | 0.545 | 0.616 | 0.602 | 0.65 |
| Slice occluded P | 0.771 | 0.75 | 0.45 | 0.725 | 0.556 |
| Slice occluded R | 0.597 | 0.726 | 0.806 | 0.597 | 0.806 |
| Slice occluded F1 | 0.673 | 0.738 | 0.578 | 0.655 | 0.658 |
Disclaimer/Publisher’s Note: The statements, opinions and data contained in all publications are solely those of the individual author(s) and contributor(s) and not of MDPI and/or the editor(s). MDPI and/or the editor(s) disclaim responsibility for any injury to people or property resulting from any ideas, methods, instructions or products referred to in the content. |
© 2023 by the authors. Licensee MDPI, Basel, Switzerland. This article is an open access article distributed under the terms and conditions of the Creative Commons Attribution (CC BY) license (https://creativecommons.org/licenses/by/4.0/).
Share and Cite
Zhang, Y.; Bai, L.; Wang, Z.; Fan, M.; Jurek-Loughrey, A.; Zhang, Y.; Zhang, Y.; Zhao, M.; Chen, L. Oil Well Detection under Occlusion in Remote Sensing Images Using the Improved YOLOv5 Model. Remote Sens. 2023, 15, 5788. https://doi.org/10.3390/rs15245788
Zhang Y, Bai L, Wang Z, Fan M, Jurek-Loughrey A, Zhang Y, Zhang Y, Zhao M, Chen L. Oil Well Detection under Occlusion in Remote Sensing Images Using the Improved YOLOv5 Model. Remote Sensing. 2023; 15(24):5788. https://doi.org/10.3390/rs15245788
Chicago/Turabian StyleZhang, Yu, Lu Bai, Zhibao Wang, Meng Fan, Anna Jurek-Loughrey, Yuqi Zhang, Ying Zhang, Man Zhao, and Liangfu Chen. 2023. "Oil Well Detection under Occlusion in Remote Sensing Images Using the Improved YOLOv5 Model" Remote Sensing 15, no. 24: 5788. https://doi.org/10.3390/rs15245788
APA StyleZhang, Y., Bai, L., Wang, Z., Fan, M., Jurek-Loughrey, A., Zhang, Y., Zhang, Y., Zhao, M., & Chen, L. (2023). Oil Well Detection under Occlusion in Remote Sensing Images Using the Improved YOLOv5 Model. Remote Sensing, 15(24), 5788. https://doi.org/10.3390/rs15245788

