Abstract
In the past few decades, network real-time kinematic (NRTK) positioning technology has developed rapidly. Generally, in the continuously operating reference stations (CORS) network, within a moderate baseline length, e.g., 80–100 km, atmospheric delay can be effectively processed through regional modeling and, thus, can support almost instantaneous centimeter-level NRTK positioning. However, in long-baseline CORS networks, especially during the active period of the ionosphere, ionospheric delays cannot be fully eliminated through modeling, leading to decreased NRTK positioning accuracy. To address this issue, this study proposes a long-baseline NRTK positioning method considering ionospheric residual interpolation uncertainty (IRIU). The method utilizes the ionospheric residual interpolation standard deviation (IRISTD) calculated during atmospheric delay modeling, then fits an IRISTD-related stochastic model through the fitting of the absolute values of the ionospheric delay modeling residuals and IRISTD. Finally, based on the ionosphere-weighted model, the IRISTD processed by the stochastic model is used to constrain the ionospheric pseudo-observations. This method achieves good comprehensive performance in handling ionospheric delay and model strength, and the advantage is validated through experiments using CORS data with baseline lengths ranging from 54 km to 106 km in western China and from 84 km to 180 km in AUSCORS data. Quantitative results demonstrate that, across the three sets of experiments, the proposed ionosphere-weighted model achieves an average increase in the fixed rate of 16.9% compared to the ionosphere-fixed model and 25.6% compared to the ionosphere-float model. In terms of positioning accuracy, the proposed model yields average improvements of 67.4%, 76.4%, and 66.0% in the N/E/U directions, respectively, compared to the ionosphere-fixed model, and average improvements of 21.0%, 32.0%, and 24.4%, respectively, compared to the ionosphere-float model. Overall, the proposed method can achieve better NRTK positioning performance in situations where ionospheric delay modeling is inaccurate, such as long baselines and ionospheric activity.
1. Introduction
With the development of the Global Navigation Satellite System (GNSS), carrier-phase differential positioning technology, known as real-time kinematic (RTK) positioning, has been widely used in geodetic surveying, engineering surveying, and location-based industries due to its high positioning accuracy. However, the positioning accuracy of RTK technology is limited by the baseline distance. As the distance between the rover station and the reference station increases, the spatial correlation of errors (ionospheric delay, tropospheric delay, ephemeris errors, etc.) decreases [1], leading to a decrease in positioning accuracy [2,3]. In response to this limitation of RTK technology, network real-time kinematic (NRTK) technology has emerged. With the development of NRTK technology, various countries and regions have constructed thousands of continuously operating reference stations (CORS), providing real-time centimeter-level high-precision RTK positioning services within the CORS coverage area [4,5]. The positioning accuracy of NRTK technology relies on the precision of the atmospheric delay correction broadcasted by the NRTK sever, and the accuracy of atmospheric delay correction has a strong correlation with the spatial distribution of reference stations. Therefore, the distance between reference stations is advised to be within 70 km [6,7]. However, denser reference station networks result in increased costs, so some countries or regions have reference station spacings exceeding 70 km, affecting the accuracy of atmospheric delay modeling.
In NRTK technology, atmospheric delays between baselines are typically computed using geometric free (GF) or ionospheric free (IF) models. These errors are then modeled by linear or non-linear interpolation models over a region to estimate the atmospheric delay at the user’s position. Commonly used models include the Linear Interpolation Model (LIM), the Low-Order Surface Fitting Model (LSM), the Distance-Related Linear Interpolation Model (DIM), and the Linear Combination Model (LCM). These methods heavily rely on the spatial correlation of atmospheric delay and usually perform well when the atmospheric delay is relatively stable. According to research in recent years, tropospheric delay has significant correlations with height differences, elevation angles, baseline distances, and change slowly over time [8,9]. It has good spatial correlations and can be effectively addressed [10,11]. Meanwhile, ionospheric delay exhibits correlations with latitude, solar activity, and seasons [12,13,14]. This variability is more intricate, carries higher uncertainty, and lacks high-precision empirical models. Particularly, in cases involving long baselines and active ionospheric conditions (e.g., ionospheric scintillation, jitter, or medium-scale traveling disturbances), the above modeling methods are usually difficult to handle well. Ionospheric delay modeling residuals can significantly affect RTK positioning [15,16,17,18].
In light of the impact of ionospheric delay modeling residuals, a more conservative method is to use IF combination or use the ionosphere as a parameter estimation, but this loses model strength and does not effectively utilize prior information generated by NRTK technology for atmospheric delay modeling. Another strategy is the use of ionosphere-weighted models, which researchers have widely used to address the influence of ionospheric delays [19,20,21,22,23,24,25].
The above studies indicate that the key to the ionosphere-weighted model is how to quantify the accuracy level of prior ionospheric delay information in the ionosphere-weighted model. This mainly manifests in the measurement noise of ionospheric pseudo-observations, and when the measurement noise is excessively small, a considerable portion of ionospheric delay modeling residuals cannot be estimated, and will be absorbed by ambiguity and geometric terms, leading to a decrease in accuracy. In particular, when the measurement noise variance is zero, the solution model is equivalent to the ionosphere-fixed model [23]. When the measurement noise is excessively large, the constraint strength on the ionospheric pseudo-observation is weak, which will lead to a weakening of the model strength. Especially, when the measurement noise variance is infinite, no constraint is applied to the ionospheric pseudo-observations, and when it is jointly estimated with carrier observations and pseudo-range observations, it can be considered as the ionosphere-float model. The ionosphere-float model is more difficult to converge to a fixed solution when the number of satellites is limited compared to the ionosphere-fixed model because it increases a parameter for each satellite with an equivalent observation number. In summary, if we can use prior information to reasonably weight ionospheric pseudo-observations, the ionosphere-weighted model can achieve a good comprehensive processing effect of model strength and ionospheric delay.
Another approach to handling ionospheric delay modeling residuals is to utilize integrity monitoring of ionospheric delay modeling residuals. Currently, research on the integrity monitoring of ionospheric delay modeling residuals mainly falls into two categories. The first category is based on the ionospheric and indices proposed by Wanninger [26], which can effectively reflect the fluctuations in ionospheric delays in baseline or NRTK positioning. However, it cannot reflect the higher-order ionospheric delay after ionospheric delay modeling. The other category, proposed by Chen et al. [27], addresses the limitations of the and proposes ionospheric residual interpolation uncertainty (IRIU) and ionospheric residual integrity monitoring (IRIM) indicators. The former can be derived during ionospheric delay modeling and has real-time performance, while the latter needs to export ionospheric delay modeling residuals from monitoring stations and accumulate them every hour with a 95% distribution, making it more suitable for post-statistical analysis. Both indicators can well-reflect ionospheric delay modeling residuals. Conducting ionospheric residual interpolation standard deviation (IRISTD) for each satellite generated during the IRIU calculation can also reflect the variation in ionospheric delay modeling residuals for the rover station, providing relevant information about ionospheric delay modeling residuals and making it more suitable for NRTK ionospheric integrity monitoring. Prochniewicz et al. [28] used the precision characteristics of the correction term directly defined in atmospheric error modeling to introduce this index into the stochastic model. In this way, the influence of ionospheric delay modeling residual and geometric term modeling residuals can be considered, and the observations affected by ionospheric delay modeling residuals and geometric term modeling residuals are weighted down, thus weakening their influence on the positioning accuracy. The experimental results show that this method achieves better positioning accuracy than the ionosphere-fixed model and troposphere-fixed model during the ionospheric active period.
Based on their research, we propose to combine the advantages of the ionosphere-weighted model with the ionospheric delay modeling uncertainty. Different from the method proposed by Prochniewicz et al. [28], in the ionosphere-weighted model, we parameterize the ionospheric delay and use the prior information about the accuracy of ionospheric delay modeling as the constraint of the ionospheric delay, and this method can effectively reduce the impact of ionospheric delay modeling residuals on ambiguity during the ionospheric active period and achieve high-precision and reliable positioning during periods of large ionospheric delay modeling residuals. Finally, three sets of experiments are conducted to validate the proposed method, demonstrating that it can consider the impact of ionospheric delay modeling residuals and achieve high-precision centimeter-level positioning during active ionospheric periods, with a fixed rate and positioning accuracy that are superior to ionosphere-fixed models.
The organizational structure of this paper is as follows. We first introduce the ionosphere-weighted model, and then we depict the calculation method of IRISTD based on the star network and LIM model. In the experimental section, two sets of CORS stations’ data are used for experimental verification, then the atmospheric delay correction is analyzed. In the subsequent section, we depict the fitting method of the IRISTD correlation stochastic model, list the RTK positioning results using the method proposed in this study, and analyze the ambiguity dilution of precision (ADOP). Finally, the summary and conclusions are given in the last section.
2. Materials and Methods
2.1. Ionosphere-Weighted Model Considering IRISTD
In long-baseline or large-scale reference station networks, the ionosphere modeling introduces significant uncertainties due to large ionospheric fluctuations. This poses challenges for ambiguity resolution (AR) in RTK positioning. On the other hand, tropospheric variations are relatively stable and can be corrected more effectively. Tropospheric delay modeling residuals are typically only a few centimeters, and their impact on the AR is minor. Traditional RTK positioning algorithms commonly adopt the ionosphere-fixed model for ionospheric delay correction and correct atmospheric delay only through empirical models. However, NRTK positioning often involves short baselines or ultra-short baselines, and tropospheric errors have been well-corrected through modeling, making their impact on AR negligible. However, during active ionospheric periods, the ionospheric delay modeling residuals are large and often do not conform to the correction patterns of the empirical models, making it difficult to correct them. Particularly for ionospheric delay modeling residuals, they can be eliminated by using the ionosphere-free model, which reduces the impact on the AR and positioning accuracy. However, the ionosphere-free model amplifies carrier observation noise and can only provide float-solutions, thereby reducing the positioning accuracy to some extent. Therefore, conventional RTK positioning algorithms often ignore the atmospheric delay modeling residuals and directly fix ambiguities through Kalman filtering and ambiguity searching, neglecting the uncertainty of atmospheric delay modeling. The large ionospheric delay modeling residuals are absorbed by geometric terms and ambiguities, affecting the reliable fixing of ambiguities and RTK positioning accuracy.
To address these issues, we propose a long-baseline NRTK positioning method that considers the ionospheric delay modeling residuals. The proposed method is based on the ionosphere-weighted model [19], which constrains the ionospheric delay modeling residuals using ionospheric pseudo-observations’ measurement noise.
The ionosphere-weighted model can be expressed as follows:
where represents the double-difference operator, denotes the carrier phase observations at frequency , is the pseudo-range observations at frequency , represents the wavelength at frequency , denotes the ambiguity at frequency , represents the ionospheric amplification factor at frequency , is the direction cosine coefficient matrix, represents the unknown position parameters, and represents the ionospheric pseudo-observations. The ionospheric pseudo-observations and represent the ionospheric delay as the unknown parameters. The measurement noise variance in the ionospheric pseudo-observations constrains the fluctuation magnitude of the ionospheric residual error [20].
The measurement noise variance in the ionospheric pseudo-observations in the proposed ionosphere-weighted model is determined by IRISTD. The IRISTD is amplified using the stochastic model to reflect the actual magnitude of the ionospheric delay modeling residuals and constrain the ionospheric delay modeling residuals. The measurement noise variance in the carrier phase observations and the pseudo-range observations is determined by the elevation angle-dependent stochastic model.
The measurement noise variance in the ionospheric pseudo-observations in the proposed ionosphere-weighted model is given by:
where is the measurement noise variance in the ionospheric pseudo-observations. The stochastic model is obtained by fitting the IRISTD with the ionospheric delay modeling residuals.
Based on post-data processing, the ionospheric delay corrections for the rover station’s position can be obtained, which are the ionospheric delay modeling values. Meanwhile, the true ionospheric delay sequence can be calculated through the NRTK baseline process for the rover station’s position. By taking the difference between the ionospheric delay modeling values and the true ionospheric delay, the ionospheric delay modeling residuals can be obtained. The absolute value of the ionospheric delay modeling residuals represents their magnitude, resulting in the ionospheric delay modeling residuals’ absolute value sequence. The IRISTD can be derived by the NRTK technology during ionospheric delay modeling interpolation, and the specific calculation method will be detailed in the second section. This process yields the ionospheric delay modeling residuals’ absolute value sequence and the IRISTD sequence. According to the posterior analysis, there is a strong correlation between the IRISTD and the ionospheric delay modeling residuals. Therefore, by appropriately amplifying the IRISTD to more-accurately describe the ionospheric delay modeling residuals’ magnitude, the sample values can be obtained with a step size of 0.001 m, corresponding to the ionospheric delay modeling residuals at the 95% position. Using a linear function, , to fit the sample values, the stochastic model can be obtained. The specific fitting process is detailed in the experimental analysis section. Especially, the stochastic model can be calculated by the monitoring station in the real-time NRTK system.
2.2. Calculation of IRISTD
Calculation principle of IRISTD: By using several reference stations (≥4) around the rover station, multiple baselines can be formed to construct a regional interpolation model. With this model, the interpolation standard deviation is calculated. The standard deviation characterizes the linearity of the ionosphere at the rover station for that satellite within the interpolation region and reflects the variation in ionospheric delay modeling residuals. If the IRISTD is weighted by the satellite’s elevation, the comprehensive indicator IRIU will be obtained.
In this study, based on the star network basic solving unit [29,30], the steps for calculating the interpolation standard deviation are as follows.
- (1)
- Interpolation Model LIM [31]:
- (2)
- Calculation of Interpolation Coefficients α:
- (3)
- Calculation of the unit-weighted root mean square error of interpolation coefficients α:
- (4)
- The standard deviation of ionospheric delay correction for each satellite is as follows:
3. Results
The experimental data used were CORS station data in western China from 27 May 2020 (DOY 148) and the AUSCORS station data from 9 February 2022 (DOY 40), with a sampling interval of 30 s. For the western-China CORS stations, five stations (STA1, STA2, STA3, STA4, and STA5) were selected. STA1 was chosen as the central reference station, and STA5 was used as the simulated rover station. For the AUSCORS stations, seven stations (MOON, DALB, IGWD, NSTA, CCPL, WEEM, and 4GW2) were selected. MOON was chosen as the central reference station, and CCPL and 4GW2 were used as the simulated rover stations, forming the basic solving unit of the star network.
The experiments were conducted using self-developed NRTK experimental software (NRTKProcess 1.0). VRS [32] technology was employed for the experiments, and the ionospheric delay corrections were generated using the LIM model. The tropospheric delay corrections were generated using an empirical model correction along with the DIM model [10].
Table 1 and Table 2 provide the baseline information for the star networks in western China and Australia, respectively.
Table 1.
Western China CORS baseline information.
Table 2.
AUSCORS baseline information.
The distribution of reference stations is shown in Figure 1, the black sign in the figure represents the reference stations, while the red sign represents the simulated rover stations. In the western-China CORS data, a virtual reference station was generated at the simulated rover station location STA5. Similarly, in the AUSCORS data, virtual reference stations were generated at the simulated rover station locations CCPL and 4GW2. The simulated rover stations then underwent zero-baseline RTK positioning.
Figure 1.
Geographical distribution of reference stations. (a) Reference stations in western China CORS; (b) reference stations in AUSCORS.
3.1. Analysis of Atmospheric Error Corrections
In Figure 2, the top portion illustrates the tropospheric delay modeling residuals pertaining to the STA5 station in the CORS data from western China. These residuals are obtained by taking the difference between the tropospheric delay corrections from the virtual reference station and the tropospheric delay of the simulated rover station, which is obtained through NRTK baseline processing. From the figure, it can be observed that, despite the significant height differences between the reference stations [33], the adopted tropospheric modeling method fits the tropospheric variations well. The majority of the tropospheric delay modeling residuals are only a few centimeters, and almost all satellite tropospheric delay modeling residuals are smaller than half of the wavelength, indicating that the tropospheric modeling residuals have little impact on the AR.
Figure 2.
Tropospheric delay modeling residuals for different simulated rover stations (Different colors represent different satellite pairs): STA5 (top), CCPL (middle), 4GW2 (bottom).
In Figure 2, the middle panel displays the tropospheric delay modeling residuals for the CCPL station, while the bottom panel depicts those for the 4GW2 station in the AUSCORS data. Most of the time, the tropospheric delay modeling residuals are small, with only a few satellites showing residuals exceeding half of the wavelength. Overall, the impact on the RTK positioning is minimal.
In Figure 3, the top panel illustrates the ionospheric delay for the STA5 station obtained from the NRTK baseline solution. In GPS, the ionospheric delay refers to the L1 frequency, while in BDS-2 and BDS-3, the ionospheric delay refers to the B1I frequency, and in GAL, the ionospheric delay refers to the E1 frequency. In Figure 4, the top panel displays the associated ionospheric index I95. It is evident that ionospheric disturbances occur from 12:00 to 18:00 in UTC, and the I95 index exceeds 10 or even approaches 20. Even though the baseline of the network used in this article is longer and the I95 index is relatively larger, overall, the I95 index still clearly shows ionospheric activity during this period, and more than half of the wavelengths are exceeded in the ionospheric delay during this period. The ionospheric delay modeling residuals for the STA5 station are presented in the top panel in Figure 5. These residuals are obtained by subtracting the ionospheric delay corrections from the virtual reference station from the simulated rover station (STA5)’s ionospheric delay. From the top panels of Figure 3 and Figure 5, it can be observed that the ionospheric delay is well-modeled during relatively quiet ionospheric periods, and the ionospheric delay modeling residuals are relatively small. However, during active ionospheric periods, the ionospheric delay modeling residuals become significant, which impacts the AR.
Figure 3.
Ionospheric delay for different simulated rover stations (Different colors represent different satellite pairs): STA5 (top), CCPL (middle), 4GW2 (bottom).
Figure 4.
Ionospheric index I95 for different simulated rover stations: STA5 (top), CCPL and 4GW2 (bottom).
Figure 5.
Ionospheric delay modeling residuals for different simulated rover stations (Different colors represent different satellite pairs): STA5 (top), CCPL (middle), 4GW2 (bottom).
In Figure 3, the middle and bottom panels illustrate the ionospheric delay for the CCPL and 4GW2 stations, respectively. In addition, the bottom panel of Figure 4 illustrates the ionospheric index I95 for both the CCPL and 4GW2 stations. It can be observed from these panels that the ionosphere in the vicinity of these CORS stations is relatively active. Even during relatively quiet ionospheric periods, the ionospheric delay is still significant, reaching up to one wavelength. During relatively active ionospheric periods, the ionospheric delay for some satellites even exceeds two wavelengths. Figure 5 displays the ionospheric delay modeling residuals for the CCPL and 4GW2 stations in the middle and bottom panels, respectively. A comparison with the corresponding sections in Figure 5 reveals that these residuals increase significantly during ionospheric disturbances, impacting the accuracy of the AR.
In Figure 6, the IRISTD for the STA5 station is presented in the top panel, while the IRISTDs for the CCPL station and the 4GW2 station are illustrated in the middle and bottom panels, respectively. By comparing Figure 5 and Figure 6, it can be observed that the IRISTD effectively characterizes the fluctuation in ionospheric delay modeling residuals. When the ionospheric delay modeling residuals increase, the IRISTD also increases, indicating that the latter contains relevant prior information related to ionospheric delay modeling residuals. Therefore, the IRISTD can serve as an indicator for describing ionospheric delay modeling residuals.
Figure 6.
IRISTD for different simulated rover stations (Different colors represent different satellite pairs): STA5 (top), CCPL (middle), 4GW2 (bottom).
3.2. IRISTD Analysis
In Figure 7, the top panel features a comparison between the absolute value of the ionospheric delay modeling residuals for the STA5 station and the IRISTD for the STA5 virtual reference station. Figure 7 illustrates similar comparisons for the CCPL station in the middle panel and the 4GW2 station in the bottom panel. It can be observed from the figure that the IRISTD value can better fit the trend of ionospheric delay modeling residuals, but it cannot accurately represent the size of ionospheric delay modeling residuals. In Figure 7, there is a significant difference in magnitude between the absolute value of the ionospheric delay modeling residuals for the STA5 and 4GW2 stations and the IRISTD, In the case of the CCPL station, the magnitude of the ionospheric delay modeling residuals’ absolute value is close to that of the IRISTD. This is because the IRISTD value is a standard deviation that describes the size of ionospheric delay modeling residuals with a probability of 68.26%. Therefore, it is necessary to adjust the IRISTD appropriately to more-accurately express the size and trend of ionospheric delay modeling residuals. However, for different baseline lengths, network element areas, and atmospheric conditions, the specific amplification factor is difficult to determine and cannot be simply multiplied by a fixed amplification factor. Similarly to what we found for the ionosphere-weighted model, the loose constraint on the ionospheric pseudo-observations will reduce the model strength and affect the efficiency of ambiguity resolution, while the tight constraint will lead to the inability to well-separate the ionospheric delay modeling residual from the ambiguity, resulting in the ambiguity resolution still being affected by the ionospheric delay modeling residual. It is very important to adjust the IRISTD index properly, so that we can obtain a suitable amplification factor by fitting it with the ionospheric delay modeling residuals.
Figure 7.
The comparison between the absolute value of the ionospheric delay modeling residuals and the IRISTD for different simulated rover stations: STA5 (top), CCPL (middle), 4GW2 (bottom).
To improve the capability of the IRISTD provided by the virtual reference station to describe the magnitude of ionospheric delay modeling residuals, a linear function, , is used to amplify the IRISTD. The stochastic model is fitted using the ionospheric delay modeling residuals’ absolute values and the IRISTD. First, in the ionospheric delay modeling residual sequence, which is represented by blue points in Figure 8, each ionospheric delay modeling residual has its corresponding IRISTD value. Next, we sort the IRISTD values and group them according to a step size of 0.001 m. There are several ionospheric delay modeling residuals in each group. We sort the ionospheric delay modeling residuals in each group and take the 95th % ionospheric delay modeling residual as the sample value, which is represented by red points in Figure 8. Then, we fit these sample values and obtain a stochastic model (yellow line). The left panel of Figure 8 illustrates a fitting graph of the absolute values of ionospheric delay modeling residuals for the STA5 station and the IRISTD of the virtual reference station. The stochastic model for the STA5 station is given by , and the value of b is non-zero. The non-zero value of b is mainly due to the presence of noise in the original carrier observation values. For example, when the noise in the carrier observation values is 0.5 cm, it will result in a noise of about 1 cm in the double-difference ionospheric delay calculated by the geometry-free model. Furthermore, when using the double-difference ionospheric delay for atmospheric error modeling, this noise is further amplified, resulting in a basic noise that is commonly present in the atmospheric error modeling values.
Figure 8.
The fitting graph of the stochastic model for the absolute value of the ionospheric delay modeling residuals and the IRISTD for different simulated rover stations: STA5 (left), CCPL (middle), 4GW2 (right).
In the middle panel of Figure 8, the fitting graph depicting the absolute value of ionospheric delay modeling residuals for the CCPL station and the IRISTD for the virtual reference station is presented. The fitting function is . The amplification factor for the IRISTD for the CCPL station is similar to values found for the analysis mentioned earlier, indicating the rationality of the stochastic model used in this study. The fitting graph depicting the absolute value of ionospheric delay modeling residuals for the 4GW2 station and the IRISTD for the virtual reference station is presented in the right panel of Figure 8. The fitting function is . To better express the similarity between the ionospheric delay modeling residuals and the amplified IRISTD, in the top panel of Figure 9, a comparison is made between the absolute value of the ionospheric delay modeling residuals for the STA5 station and the amplified IRISTD, using a factor of . Similarly, a comparison is depicted for the CCPL station in the middle panel of Figure 9, using a factor of , and the bottom panel of Figure 9 shows a comparison for the 4GW2 station, using a factor of . By comparing Figure 7 and Figure 9, it can be observed that the amplified IRISTD can better represent the fluctuations and magnitudes of the ionospheric delay modeling residuals compared to the unamplified IRISTD.
Figure 9.
The comparison graph between the absolute value of ionospheric delay modeling residuals and the amplified IRISTD for different simulated rover stations: STA5 (top), CCPL (middle), 4GW2 (bottom).
3.3. Positioning Analysis
To characterize the effect of considering ionospheric delay modeling residuals in the ionosphere-weighted model for RTK positioning, three different models are compared: the ionosphere-fixed model, the ionosphere-float model, and the ionosphere-weighted model that takes into account the ionospheric delay modeling residuals proposed in this study. The RTK positioning experiments are conducted using the GPS L1/L2 carrier phase and pseudo-range observations, the BDS2 B1I/B2I carrier phase and pseudo-range observations, BDS3 B1I/B3I carrier phase observations, and the GAL E1/E5a carrier phase and pseudo-range observations. The Kalman filtering algorithm is employed for filtering and smoothing to optimize the solution efficiency. Finally, the Least-Squares Ambiguity Decorrelation Adjustment (LAMBDA) algorithm is used to fix the ambiguities, with a ratio threshold value of 1.8 based on empirical values, and a partial AR method is applied to improve the fixed rate.
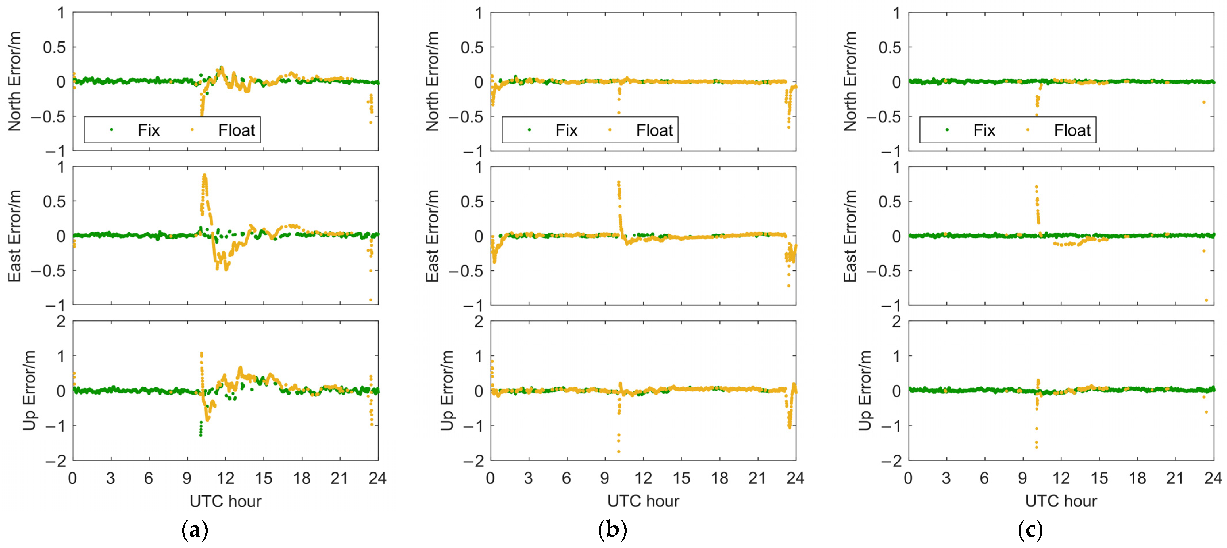
Figure 10 shows the number of satellites satisfying the experimental frequency points for the STA5 station. By selecting common-view satellites, the three groups of experiments maintain the same number of common-view satellites. Figure 11 shows, respectively, the positioning errors in three directions (North/East/Up) for the ionosphere-fixed model, the ionosphere-float model, and the ionosphere-weighted model proposed in this study. The measurement noise variance for the ionospheric pseudo-observations in the ionosphere-weighted model is as mentioned earlier, which is the square of the amplified IRISTD obtained from the stochastic model , and the measurement noise variance for the ionospheric pseudo-observations is .
Figure 10.
The number of satellites for the simulated rover station STA5.
Figure 11.
The positioning errors of different ionospheric models for the simulated rover station STA5; (a) ionosphere-fixed model; (b) ionosphere-float model; (c) ionosphere-weighted model.
Figure 12 presents the positioning errors for the three ionospheric models for the STA5 station. Please refer to Table 3 for the specific positioning accuracy and other information. The ionosphere-weighted model shows a fixed rate improvement of 17.5% compared to the ionosphere-fixed model and 5.1% compared to the ionosphere-float model. The positioning accuracy in the North, East, and Up directions is improved by 80.0%, 84.2%, and 52.6%, respectively, compared to the ionosphere-fixed model. The positioning accuracy of the ionosphere-float model is almost consistent with that of the ionosphere-weighted model. The mean error of all three models in the Up direction is −0.015 m, −0.018 m, and −0.019 m, respectively. The mean error in the Up direction is relatively small, due to the error of the relative tropospheric delay being absorbed to the Up direction by more than 3 times [33]; thus, the RTK positioning results in this study are less affected by tropospheric delay modeling residuals and more affected by ionospheric delay modeling residuals.
Figure 12.
The positioning errors of different ionospheric models for the simulated rover station STA5; North Error (dark blue); East Error (orange); Up Error (yellow); North Fixed Error (purple); East Fixed Error (green); Up Fixed Error (blue); Fixed Rate (green line).
Table 3.
The positioning errors of the different ionospheric models for the simulated rover station STA5.
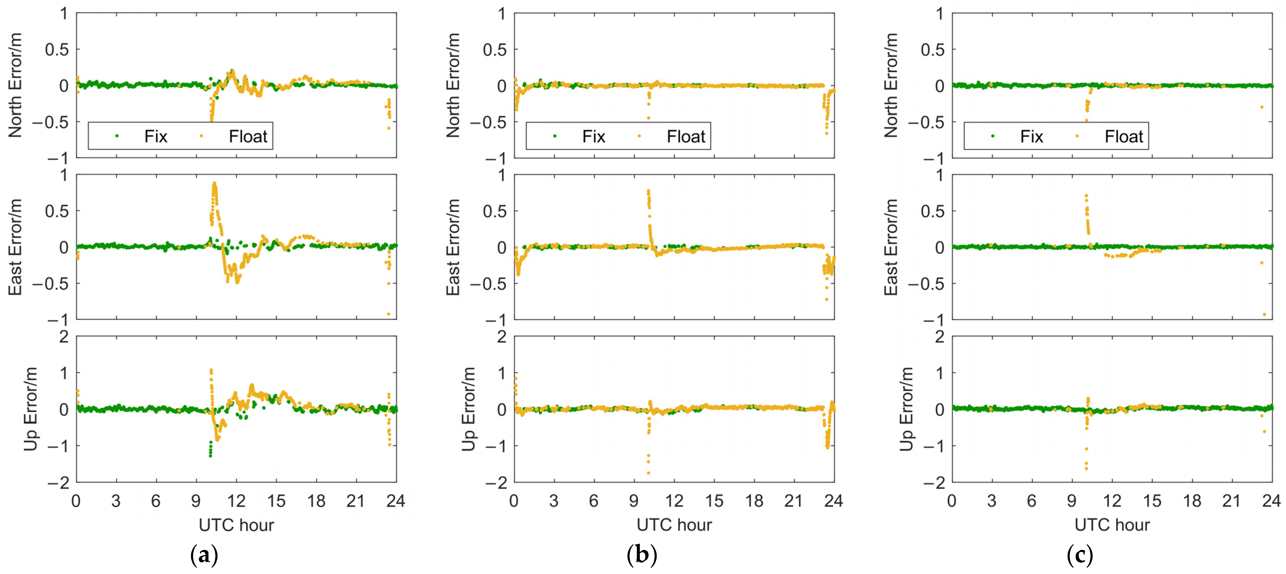
Figure 13 shows the number of satellites with common frequencies used for the CCPL station. Due to an incomplete dual-frequency for many satellites in the AUSCORS data, there are significant fluctuations in the number of common-view satellites. However, the total number of common-view satellites still exceeds 10, which meets the requirements for RTK positioning. Figure 14 shows the positioning errors in three directions (North/East/Up), respectively, for the ionosphere-fixed model, the ionosphere-float model, and the ionosphere-weighted model proposed in this study for the CCPL station. In the ionosphere-weighted model, the measurement noise variance for the ionospheric pseudo-observations is .
Figure 13.
The number of satellites for the simulated rover station CCPL.
Figure 14.
The positioning errors of different ionospheric models for the simulated rover station CCPL; (a) ionosphere-fixed model; (b) ionosphere-float model; (c) ionosphere-weighted model.
Figure 15 presents the positioning errors for the three ionospheric models for the CCPL station. Please refer to Table 4 for the specific positioning accuracy and other information. The ionosphere-weighted model shows a fixed rate improvement of 16.2% compared to the ionosphere-fixed model and 13.3% compared to the ionosphere-float model. The positioning accuracy in the North, East, and Up directions is improved by 83.6%, 86.0%, and 79.7%, respectively, compared to the ionosphere-fixed model, and by 34.8%, 57.1%, and 31.7%, respectively, compared to the ionosphere-float model. In terms of fixed solutions, the ionosphere-weighted model improves the positioning accuracy in the North, East, and Up directions by 66.7%, 63.2%, and 37.9%, respectively, compared to the ionosphere-fixed model, and the N- and E-direction positioning accuracies are almost the same as those of the ionosphere-float model, with the Up direction positioning accuracy being improved by 14.2%.
Figure 15.
The positioning errors of different ionospheric models for the simulated rover station CCPL; North Error (dark blue); East Error (orange); Up Error (yellow); North Fixed Error (purple); East Fixed Error (green); Up Fixed Error (blue); Fixed Rate (green line).
Table 4.
The positioning errors of the different ionospheric models for the simulated rover station CCPL.
Figure 16 shows the number of satellites with common frequencies used for the 4GW2 station. Figure 17 shows the positioning errors in three directions (North/East/Up), respectively, for the ionosphere-fixed model, the ionosphere-float model, and the ionosphere-weighted model proposed in this study for the 4GW2 station. In the ionosphere-weighted model, the measurement noise variance for the ionospheric pseudo-observations is .
Figure 16.
The number of satellites for the simulated rover station 4GW2.
Figure 17.
The positioning errors of different ionospheric models for the simulated rover station 4GW2; (a) ionosphere-fixed model; (b) ionosphere-float model; (c) ionosphere-weighted model.
Figure 18 presents the positioning errors for the three ionospheric models for the 4GW2 station. Please refer to Table 5 for the specific positioning accuracy and other information. The ionosphere-weighted model shows a fixed rate improvement of 17.1% compared to the ionosphere-fixed model and 58.5% compared to the ionosphere-float model. The positioning accuracy in the North, East, and Up directions is improved by 38.7%, 59.0%, and 65.8%, respectively, compared to the ionosphere-fixed model, and by 28.3%, 38.8%, and 41.4%, respectively, compared to the ionosphere-float model. In terms of fixed solutions, the ionosphere-weighted model improves the positioning accuracy in the North, East, and Up directions by 61.5%, 59.1%, and 63.6%, respectively, compared to the ionosphere-fixed model, and by 16.7%, 18.2%, and 7.7%, respectively, compared to the ionosphere-float model.
Figure 18.
The positioning errors of different ionospheric models for the simulated rover station 4GW2; North Error (dark blue); East Error (orange); Up Error (yellow); North Fixed Error (purple); East Fixed Error (green); Up Fixed Error (blue); Fixed Rate (green line).
Table 5.
The positioning errors of the different ionospheric models for the simulated rover station 4GW2.
3.4. ADOP Analysis
Figure 19 shows the ADOP values for the ionospheric models for the STA5 station, CCPL station, and 4GW2 station, respectively. From the figure, it can be observed that the ionosphere-fixed model exhibits the fastest convergence rate, followed by the ionosphere-weighted model, while the ionosphere-float model shows the weakest strength.
Figure 19.
The ADOP of the different ionospheric models for different simulated rover stations: STA5 (top), CCPL (middle), 4GW2 (bottom).
In all three experiments, after several epochs of filtering and smoothing, the ADOP values for all models are less than 0.12, which is equivalent to a priori success rates for an AR greater than 99.9%. For the STA5 station, the fluctuations in ADOP values for the ionosphere-fixed model are mainly due to the elevation changes of the satellites. The percentages of epochs with ADOP values below 0.12 for the ionosphere-fixed model, ionosphere-float model, and ionosphere-weighted model for the STA5 station are 100%, 99.4%, and 100%, respectively, indicating a strong model performance.
At the CCPL station, the percentages of epochs with ADOP values below 0.12 for the ionosphere-fixed model, ionosphere-float model, and ionosphere-weighted model are 99.9%, 98.8%, and 89.6%, respectively. For the 4GW2 station, these percentages are 99.9%, 99.0%, and 94.0%, respectively. The CCPL and 4GW2 stations have fewer satellites compared to the STA5 station, resulting in slower convergence rates for the ionosphere-float model.
By combining the positioning error plots with the ADOP analysis, it is evident that, after filtering initialization, when the ionosphere is calm, the ionosphere-fixed model shows the fastest convergence rate, followed by the ionosphere-weighted model. However, during active ionospheric periods, the ionosphere-weighted model exhibits the fastest convergence rate, while the ionosphere-fixed model’s convergence rate is the slowest and may even fail to converge for extended periods. The convergence rate of the ionosphere-float model is significantly affected by the number of satellites, with faster convergence when more satellites are available.
4. Discussion
With the development of NRTK technology, the NRTK positioning accuracy has already met the requirements in general scenarios. The demand for NRTK positioning has gradually shifted from high-precision positioning to high-reliability positioning. The main factor affecting the reliability of NRTK positioning is the reliability of atmospheric error modeling. When the atmospheric error modeling is poor, the atmospheric error modeling residuals will affect the ambiguity resolution. Due to the good modeling effect of tropospheric delay, the impact of modeling residuals of tropospheric delay is small. The modeling effect of ionospheric delay is poor during active ionospheric periods, which is the main factor affecting the reliability of NRTK positioning.
Currently, the main solutions to solve ionospheric delay are the ionosphere-float model and ionosphere-weighted model. The ionosphere-float model is mainly applied in long-baseline RTK positioning [25]. The ionosphere-weighted model is widely used to mitigate the effects of ionospheric delay [19,20,21,22,23,24,25]. However, the effectiveness of the ionosphere-weighted model depends on the constraint of ionospheric pseudo-observations. The closer the constraint value is to the ionospheric delay modeling residual [20], the better the constraint effect and the stronger the model strength.
Zang Nan et al. [24] used the ionosphere-weighted model in Precise Point Positioning (PPP) and obtained the ionospheric delay correction through interpolation of Global Ionospheric Maps (GIMs). The variance in ionospheric pseudo-observations was set to 0.09 m2 based on the accuracy of the GIMs. However, the accuracy of GIMs is limited and not suitable for RTK positioning. In medium-to-long baseline RTK positioning, the ionospheric pseudo-observations’ variance in the ionosphere-weighted model is taken as , where is the baseline length [19]. In NRTK positioning, the ionospheric delay has lost its correlation with the baseline distance, so this method is not suitable for NRTK positioning. Pu et al. [21] used spatiotemporal constraints in the ionosphere-weighed model, and determined the variance in ionospheric pseudo-observations using the autocorrelation time and autocorrelation distance of the ionosphere. Some researchers have proposed using multi-frequency observations to generate high-precision ionospheric pseudo-observations and, based on the accuracy of the pseudo-observations, provided smaller variances, but this method is limited by multi-frequency observations.
In summary, the current ionosphere-weighted model methods are difficult to achieve good results with in NRTK positioning. The method proposed in this paper is based on IRISTD to constrain ionospheric pseudo-observations, which can better match the size of ionospheric delay modeling residuals and achieve adaptive ionospheric constraints.
5. Conclusions
We investigated the modeling of atmospheric delay in scenarios characterized by long baselines, large height differences, and active ionospheric conditions within CORS networks. Through the analysis of three sets of experimental data, which encompassed height differences ranging from 161 m to a maximum height difference of 918 m and baseline lengths spanning from 54 km to 180 km, we found that the utilized tropospheric delay modeling method is suitable for scenarios with large height differences, and that the tropospheric delay modeling residuals have little influence on the positioning accuracy. However, during active ionospheric periods, ionospheric delay modeling introduces substantial uncertainties, resulting in greater ionospheric delay modeling residuals, which will lead to lower positioning accuracy.
To address this issue, we propose a long-baseline NRTK positioning method that considers IRIU. This method first obtains an IRISTD-related stochastic model by fitting the absolute value of ionospheric delay modeling residuals and IRISTD. Then, based on the ionospheric weighted model, the IRISTD processed by the stochastic model is used to constrain the ionospheric pseudo-observations to characterize the ionospheric delay modeling uncertainties. To demonstrate the rationality of this method, we analyze the correlation between IRISTD and ionospheric delay modeling residuals, indicating a significant correlation between them. Finally, through comparative experiments with the ionosphere-fixed and ionosphere-float models, we provided evidence of the proposed method’s performance from the perspectives of fixed-rate and positioning accuracy. Quantitative results demonstrate that the proposed method improves the fixed rate by 16.9% and achieves an average enhancement of 67.4%, 76.4%, and 66.0% in N/E/U positioning accuracy, respectively, compared to the ionosphere-fixed model. In comparison to the ionosphere-float model, our mothed exhibits a fixed-rate improvement of 25.6% and average enhancements of 21.0%, 32.0%, and 24.4% in N/E/U positioning accuracy, respectively.
In summary, the proposed method provides a robust and reliable solution for RTK positioning under ionospheric disturbances. By considering the uncertainties in ionospheric delay modeling, precise positioning can still be achieved even during severe ionospheric disturbances. At the same time, it is necessary to explain that, although the current NRTK data transmission protocol and terminal RTK algorithm have not adapted to the indicators used in the proposed method, the study in this paper provides a reference for the improvement of future technology.
Author Contributions
H.L. conceived the idea and designed the experiments with W.G. and L.Q., H.L. and W.G. wrote the main manuscript. X.M. and S.P. reviewed the paper. W.M. provided technical support. All components of this research study were carried out under the supervision of W.G. All authors have read and agreed to the published version of the manuscript.
Funding
This research was funded by the Science and Technology Project of State Grid (Grant No. 5700-202218439A-2-0-ZN).
Data Availability Statement
The AUSCORS data is available at https://ga-gnss-data-rinex-v1.s3.amazonaws.com/public/daily/ (accessed on 9 February 2022 (DOY 40)).
Acknowledgments
The authors gratefully acknowledge Australia GNSS Continuously Operating Reference Stations (AUSCORS) for providing GNSS observation data.
Conflicts of Interest
Author Weiwei Miao was employed by the State Grid Jiangsu Electric Power Company. The remaining authors declare that the research was conducted in the absence of any commercial or financial relationships that could be construed as a potential conflict of interest.
References
- Tang, W.; Meng, X.; Shi, C.; Liu, J. Performance Assessment of a Long Range Reference Station Ambiguity Resolution Algorithm for Network RTK GPS Positioning. Surv. Rev. 2010, 42, 132–145. [Google Scholar] [CrossRef]
- Aponte, J.; Meng, X.; Hill, C.; Moore, T.; Burbidge, M.; Dodson, A. Quality assessment of a network-based RTK GPS service in the UK. J. Appl. Geod. 2009, 3, 25–34. [Google Scholar] [CrossRef]
- Gökdaş, Ö.; Özlüdemir, M.T. A Variance Model in NRTK-Based Geodetic Positioning as a Function of Baseline Length. Geosciences 2020, 10, 262. [Google Scholar] [CrossRef]
- Garrido, M.S.; Giménez, E.; Armenteros, J.A.; Lacy, M.C.; Gil, A.J. Evaluation of NRTK positioning using the RENEP and RAP networks on the Southern border region of Portugal and Spain. Acta Geod. Geophys. Hung. 2012, 47, 52–65. [Google Scholar] [CrossRef]
- Chen, X.; Yang, Y.; Zhou, C.; Liao, C. Study on Fast Positioning Algorithm for BeiDou Post-Mission Network RTK. IOP Conf. Ser. Mater. Sci. Eng. 2020, 780, 032051. [Google Scholar] [CrossRef]
- Chen, W.; Hu, C.; Chen, Y.; Ding, X. In Rapid static and kinematic positioning with Hong Kong GPS active network. In Proceedings of the 14th International Technical Meeting of the Satellite Division of The Institute of Navigation (ION GPS 2001), Salt Lake City, UT, USA, 11–14 September 2001; pp. 346–352. [Google Scholar]
- El-Diasty, M. A real-time KSACORS-based NRTK GNSS positioning system for Saudi coastal navigation. Aust. J. Marit. Ocean Aff. 2020, 12, 95–107. [Google Scholar] [CrossRef]
- Garrido, M.S.; Gimenez, E.; De Lacy, M.C.; Gil, A.J. Quality Analysis of NRTK Positioning on Boundary Regions and under Unfavorable Topographic Conditions in the Southern Iberian Peninsula. IEEE J. Sel. Top. Appl. Earth Obs. Remote Sens. 2013, 6, 2364–2374. [Google Scholar] [CrossRef]
- Baybura, T.; Tiryakioğlu, İ.; Uğur, M.A.; Solak, H.İ.; Şafak, Ş. Examining the accuracy of network RTK and long base RTK methods with repetitive measurements. J. Sens. 2019, 2019, 3572605. [Google Scholar] [CrossRef]
- Zhao, Q.; Pan, S.; Gao, C.; Qiao, L.; Liu, G. A Multi-Station Troposphere Modelling Method Based on Error Compensation Considering the Influence of Height Factor. J. Navig. 2020, 74, 38–59. [Google Scholar] [CrossRef]
- Pu, Y.; Song, M.; Yuan, Y. Modified Interpolation Method of Multi-Reference Station Tropospheric Delay Considering the Influence of Height Difference. Remote Sens. 2021, 13, 2994. [Google Scholar] [CrossRef]
- Kedar, S. The effect of the second order GPS ionospheric correction on receiver positions. Geophys. Res. Lett. 2003, 30, 341–345. [Google Scholar] [CrossRef]
- Wu, S.; Zhang, K.; Silcock, D. Magnitudes and Temporal Variations of the Tropospheric and Ionospheric Errors in GPSnet. J. Glob. Position. Syst. 2010, 9, 61–67. [Google Scholar] [CrossRef]
- Hernández-Pajares, M.; Juan, J.; Sanz, J.; Aragón-Àngel, A. Propagation of medium scale traveling ionospheric disturbances at different latitudes and solar cycle conditions. Radio Sci. 2012, 47, 1–22. [Google Scholar] [CrossRef]
- Wielgosz, P.; Kashani, I.; Grejner-Brzezinska, D. Analysis of long-range network RTK during a severe ionospheric storm. J. Geod. 2005, 79, 524–531. [Google Scholar] [CrossRef]
- Stankov, S.M.; Jakowski, N. Ionospheric effects on GNSS reference network integrity. J. Atmos. Sol.-Terr. Phys. 2007, 69, 485–499. [Google Scholar] [CrossRef]
- Charoenkalunyuta, T.; Satirapod, C.; Lee, H.-K.; Choi, Y.-S. Performance of Network-Based RTK GPS in Low-Latitude Region: A Case Study in Thailand. Eng. J. 2012, 16, 95–104. [Google Scholar] [CrossRef]
- Odolinski, R.; Teunissen, P.J. Low-cost, 4-system, precise GNSS positioning: A GPS, Galileo, BDS and QZSS ionosphere-weighted RTK analysis. Meas. Sci. Technol. 2017, 28, 125801. [Google Scholar] [CrossRef]
- Schaffrin, B.; Bock, Y. A unified scheme for processing GPS dual-band phase observations. J. Geod. 1988, 62, 142–160. [Google Scholar] [CrossRef]
- Paziewski, J. Study on desirable ionospheric corrections accuracy for network-RTK positioning and its impact on time-to-fix and probability of successful single-epoch ambiguity resolution. Adv. Space Res. 2016, 57, 1098–1111. [Google Scholar] [CrossRef]
- Pu, Y.; Song, M.; Yuan, Y.; Che, T. Triple-frequency ambiguity resolution for GPS/Galileo/BDS between long-baseline network reference stations in different ionospheric regions. GPS Solut. 2022, 26, 146. [Google Scholar] [CrossRef]
- Zhang, R.; Gao, C.; Wang, Z.; Zhao, Q.; Shang, R.; Peng, Z.; Liu, Q. Ambiguity Resolution for Long Baseline in a Network with BDS-3 Quad-Frequency Ionosphere-Weighted Model. Remote Sens. 2022, 14, 1654. [Google Scholar] [CrossRef]
- Chu, F.-Y.; Kubo, N.; Zhang, Y. Mixed QZSS/GPS/Galileo RTK positioning with a trade-off between ionosphere-weighting and ionosphere-fixed models: An ambiguity resolution method for Japan. GPS Solut. 2023, 27, 52. [Google Scholar] [CrossRef]
- Zang, N.; Li, B.; Shen, Y. Comparison and Analysis of Three GPS+BDS PPP Models. Acta Geod. Cartogr. Sin. 2017, 46, 1929–1938. [Google Scholar]
- Zhou, Y.; Man, X.; Li, C. The treatment strategy of ionosphere delay with difference-lengths baseline. Eng. Surv. Mapp. 2017, 26, 21–25. [Google Scholar]
- Wanninger, L. Ionospheric disturbance indices for RTK and network RTK positioning. In Proceedings of the 17th International Technical Meeting of the Satellite Division of The Institute of Navigation (ION GNSS 2004), Long Beach, CA, USA, 21–24 September 2004; pp. 2849–2854. [Google Scholar]
- Chen, X.; Landau, H.; Vollath, U. New tools for network RTK integrity monitoring. In Proceedings of the 16th International Technical Meeting of the Satellite Division of The Institute of Navigation (ION GPS/GNSS 2003), Portland, OR, USA, 9–12 September 2003; pp. 1355–1360. [Google Scholar]
- Prochniewicz, D.; Szpunar, R.; Brzezinski, A. Network-Based Stochastic Model for Instantaneous GNSS Real-Time Kinematic Positioning. J. Surv. Eng. 2016, 142, 05016004. [Google Scholar] [CrossRef]
- Shen, X.; Gao, C.; Pan, S. Algorithm for network RTK (VRS) based on star structure. Acta Geod. Cartogr. Sin. 2012, 41, 33–40. [Google Scholar]
- Shang, R.; Gao, C.; Pan, S.; Wang, D.; Qiao, L. A Multi-Redundancies Network RTK Atmospheric Errors Interpolation Method Based on Delaunay Triangulated Network. In Proceedings of the China Satellite Navigation Conference (CSNC) 2017 Proceedings: Volume III, Shanghai, China, 23–25 May 2017; Springer: Berlin/Heidelberg, Germany, 2017; pp. 321–335. [Google Scholar]
- Lei, Q. Research on Ionospheric Delay Modeling Technology Based on GPS RTK Network. J. Geod. Geodyn. 2010, 30, 56–60. [Google Scholar]
- Landau, H.; Vollath, U.; Chen, X. Virtual Reference Station Systems. Positioning 2002, 1, 137–143. [Google Scholar] [CrossRef]
- Beutler, G.; Bauersima, I.; Gurtner, W.; Rothacher, M.; Schildknecht, T.; Geiger, A. Atmospheric refraction and other important biases in GPS carrier phase observations. Mitt. Satell.-Beobachtungsstn. Zimmerwald 1987, 22, 26. [Google Scholar]
Disclaimer/Publisher’s Note: The statements, opinions and data contained in all publications are solely those of the individual author(s) and contributor(s) and not of MDPI and/or the editor(s). MDPI and/or the editor(s) disclaim responsibility for any injury to people or property resulting from any ideas, methods, instructions or products referred to in the content. |
© 2023 by the authors. Licensee MDPI, Basel, Switzerland. This article is an open access article distributed under the terms and conditions of the Creative Commons Attribution (CC BY) license (https://creativecommons.org/licenses/by/4.0/).


















