Estimation of Winter Wheat Yield Using Multiple Temporal Vegetation Indices Derived from UAV-Based Multispectral and Hyperspectral Imagery
Abstract
:1. Introduction
2. Materials and Methods
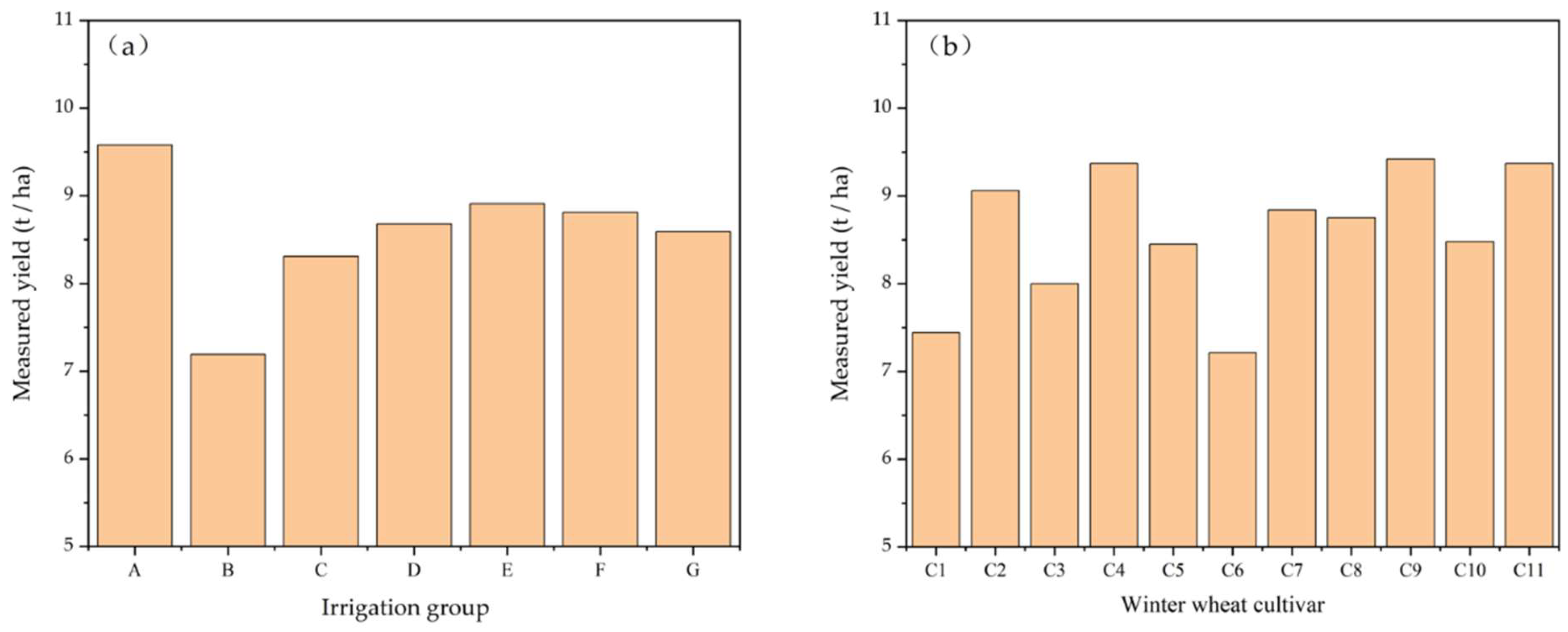
2.1. Experimental Setup
2.2. Data Acquisition
2.2.1. Ground Truth Data
2.2.2. Multi-Sensor UAV Data
2.3. Vegetation Indices Calculation
| Multispectral Vegetation Index | Formulation | Reference |
|---|---|---|
| Difference vegetation index | [32] | |
| Ratio vegetation index | [33] | |
| Green chlorophyll index | [34] | |
| Red-edge chlorophyll index | [34] | |
| Normalized difference vegetation index | [35] | |
| Green normalized difference vegetation index | [36] | |
| Green-red vegetation index | [33] | |
| Green-blue vegetation index | [37] | |
| Normalized difference red-edge | [38] | |
| Normalized difference re-edge index | [39] | |
| Simplified canopy chlorophyll content index | [40] | |
| Enhanced vegetation index | [41] | |
| Two-band enhanced vegetation index | [42] | |
| Optimized soil adjusted vegetation index | [43] | |
| Modified chlorophyll absorption in reflectance index | [44] | |
| Transformed chlorophyll absorption in reflectance index | [45] | |
| MCARI/OSAVI | MCARI/OSAVI | [44] |
| TACRI/OSAVI | TACRI/OSAVI | [45] |
| Wide dynamic range vegetation index | [46] |
2.4. Yield Estimation Model
2.5. Validation of the Crop Yield Estimation Model
3. Results
3.1. Winter Wheat Yield Estimation using Vegetation Indices from Individual Growth Stages
3.2. Winter Wheat Yield Estimation with Vegetation Indices Combining Multiple Growth Stages
3.3. Validation of the Regression Models for Winter Wheat Yield Estimation
3.3.1. Validation of the Simple Linear Regression Model at a Single Growth Stage
3.3.2. Validation of the Multiple Linear Regression Models for Winter Wheat Yield Estimation Combining Five Different Growth Stages
4. Discussion
5. Conclusions
Author Contributions
Funding
Data Availability Statement
Conflicts of Interest
References
- Food and Agriculture Organization of the United Nations. Available online: https://www.fao.org/faostat/en/#data/QCL/visualize (accessed on 28 July 2023).
- Battude, M.; Al Bitar, A.; Morin, D.; Cros, J.; Huc, M.; Sicre, C.M.; Le Dantec, V.; Demarez, V. Estimating maize biomass and yield over large areas using high spatial and temporal resolution Sentinel-2 like remote sensing data. Remote Sens. Environ. 2016, 184, 668–681. [Google Scholar] [CrossRef]
- Maimaitijiang, M.; Sagan, V.; Sidike, P.; Hartling, S.; Esposito, F.; Fritschi, F.B. Soybean yield prediction from UAV using multimodal data fusion and deep learning. Remote Sens. Environ. 2020, 237, 111599. [Google Scholar] [CrossRef]
- Johnson, D.M. An assessment of pre-and within-season remotely sensed variables for forecasting corn and soybean yields in the United States. Remote Sens. Environ. 2014, 141, 116–128. [Google Scholar] [CrossRef]
- Holzman, M.E.; Carmona, F.; Rivas, R.; Niclòs, R. Early assessment of crop yield from remotely sensed water stress and solar radiation data. ISPRS J. Photogramm. Remote Sens. 2018, 145, 297–308. [Google Scholar] [CrossRef]
- Sun, L.; Gao, F.; Anderson, M.C.; Kustas, W.P.; Alsina, M.M.; Sanchez, L.; Sams, B.; McKee, L.; Dulaney, W.; White, W.A.; et al. Daily mapping of 30 m LAI and NDVI for grape yield prediction in California vineyards. Remote Sens. 2017, 9, 317. [Google Scholar] [CrossRef]
- Venancio, L.P.; Mantovani, E.C.; do Amaral, C.H.; Neale, C.M.U.; Gonçalves, I.Z.; Filgueiras, R.; Campos, I. Forecasting corn yield at the farm level in Brazil based on the FAO-66 approach and soil-adjusted vegetation index (SAVI). Agric. Water Manag. 2019, 225, 105779. [Google Scholar] [CrossRef]
- Hunt, M.L.; Blackburn, G.A.; Carrasco, L.; Redhead, J.W.; Rowland, C.S. High resolution wheat yield mapping using Sentinel-2. Remote Sens. Environ. 2019, 233, 111410. [Google Scholar] [CrossRef]
- Colomina, I.; Molina, P. Unmanned aerial systems for photogrammetry and remote sensing: A review. ISPRS J. Photogramm. Remote Sens. 2014, 92, 79–97. [Google Scholar] [CrossRef]
- Zhang, C.; Kovacs, J.M. The application of small unmanned aerial systems for precision agriculture: A review. Precis. Agric. 2012, 13, 693–712. [Google Scholar] [CrossRef]
- Hunt, E.R., Jr.; Daughtry, C.S.T. What good are unmanned aircraft systems for agricultural remote sensing and precision agriculture? Int. J. Remote Sens. 2018, 39, 5345–5376. [Google Scholar] [CrossRef]
- Sankaran, S.; Khot, L.R.; Espinoza, C.Z.; Jarolmasjed, S.; Sathuvalli, V.R.; Vandemark, G.J.; Miklas, P.N.; Carter, A.H.; Pumphrey, M.O.; Knowles, N.R. Low-altitude, high-resolution aerial imaging systems for row and field crop phenotyping: A review. Eur. J. Agron. 2015, 70, 112–123. [Google Scholar] [CrossRef]
- Duan, B.; Fang, S.; Gong, Y.; Peng, Y.; Wu, X.; Zhu, R. Remote estimation of grain yield based on UAV data in different rice cultivars under contrasting climatic zone. Field Crops Res. 2021, 267, 108148. [Google Scholar] [CrossRef]
- Han, X.; Wei, Z.; Chen, H.; Zhang, B.; Li, Y.; Du, T. Inversion of winter wheat growth parameters and yield under different water treatments based on UAV multispectral remote sensing. Front. Plant Sci. 2021, 12, 609876. [Google Scholar] [CrossRef]
- Yu, D.; Zha, Y.; Shi, L.; Jin, X.; Hu, S.; Yang, Q.; Huang, K.; Zeng, W. Improvement of sugarcane yield estimation by assimilating UAV-derived plant height observations. Eur. J. Agron. 2020, 121, 126159. [Google Scholar] [CrossRef]
- Zhang, X.; Zhang, K.; Sun, Y.; Zhao, Y.; Zhuang, H.; Ban, W.; Chen, Y.; Fu, E.; Chen, S.; Liu, J.; et al. Combining spectral and texture features of UAS-based multispectral images for maize leaf area index estimation. Remote Sens. 2022, 14, 331. [Google Scholar] [CrossRef]
- Lu, N.; Zhou, J.; Han, Z.; Li, D.; Cao, Q.; Yao, X.; Tian, Y.; Zhu, Y.; Cao, W.; Cheng, T. Improved estimation of aboveground biomass in wheat from RGB imagery and point cloud data acquired with a low-cost unmanned aerial vehicle system. Plant Methods 2019, 15, 1–16. [Google Scholar] [CrossRef]
- Liu, Y.; Hatou, K.; Aihara, T.; Kurose, S.; Akiyama, T.; Kohno, Y.; Lu, S.; Omasa, K. A robust vegetation index based on different UAV RGB images to estimate SPAD values of naked barley leaves. Remote Sens. 2021, 13, 686. [Google Scholar] [CrossRef]
- Yu, J.; Wang, J.; Leblon, B. Evaluation of soil properties, topographic metrics, plant height, and unmanned aerial vehicle multispectral imagery using machine learning methods to estimate canopy nitrogen weight in corn. Remote Sens. 2021, 13, 3105. [Google Scholar] [CrossRef]
- Zheng, H.; Cheng, T.; Li, D.; Zhou, X.; Yao, X.; Tian, Y.; Cao, W.; Zhu, Y. Evaluation of RGB, color-infrared and multispectral images acquired from unmanned aerial systems for the estimation of nitrogen accumulation in rice. Remote Sens. 2018, 10, 824. [Google Scholar] [CrossRef]
- Swain, K.C.; Thomson, S.J.; Jayasuriya, H.P.W. Adoption of an unmanned helicopter for low-altitude remote sensing to estimate yield and total biomass of a rice crop. Trans. ASABE 2010, 53, 21–27. [Google Scholar] [CrossRef]
- Teoh, C.C.; Nadzim, N.; Mohd Shahmihaizan, M.J.; Mohd Khairil Izani, I.; Faizal, K.; Mohd Shukry, H.B. Rice yield estimation using below cloud remote sensing images acquired by unmanned airborne vehicle system. Int. J. Adv. Sci. Eng. Inf. Technol. 2016, 6, 516–519. [Google Scholar] [CrossRef]
- García-Martínez, H.; Flores-Magdaleno, H.; Ascencio-Hernández, R.; Khalil-Gardezi, A.; Tijerina-Chávez, L.; Mancilla-Villa, O.R.; Vázquez-Peña, M.A. Corn grain yield estimation from vegetation indices, canopy cover, plant density, and a neural network using multispectral and RGB images acquired with unmanned aerial vehicles. Agriculture 2020, 10, 277. [Google Scholar] [CrossRef]
- Ramos, A.P.M.; Osco, L.P.; Furuya, D.E.G.; Gonçalves, W.N.; Santana, D.C.; Teodoro, L.P.R.; da Silva Junior, C.A.; Capristo-Silva, G.F.; Li, J.; Baio, F.H.R.; et al. A random forest ranking approach to predict yield in maize with uav-based vegetation spectral indices. Comput. Electron. Agric. 2020, 178, 105791. [Google Scholar] [CrossRef]
- Liu, J.; Zhao, C.; Yang, G.; Yu, H.; Zhao, X.; Xu, B.; Niu, Q. Review of field-based phenotyping by unmanned aerial vehicle remote sensing platform. Trans. Chin. Soc. Agric. Eng. 2016, 32, 98–106. [Google Scholar] [CrossRef]
- Yue, J.; Yang, G.; Li, C.; Li, Z.; Wang, Y.; Feng, H.; Xu, B. Estimation of winter wheat above-ground biomass using unmanned aerial vehicle-based snapshot hyperspectral sensor and crop height improved models. Remote Sens. 2017, 9, 708. [Google Scholar] [CrossRef]
- Fan, J.; Zhou, J.; Wang, B.; de Leon, N.; Kaeppler, S.M.; Lima, D.C.; Zhang, Z. Estimation of Maize Yield and Flowering Time Using Multi-Temporal UAV-Based Hyperspectral Data. Remote Sens. 2022, 14, 3052. [Google Scholar] [CrossRef]
- Zhou, X.; Zheng, H.B.; Xu, X.Q.; He, J.Y.; Ge, X.K.; Yao, X.; Cheng, T.; Zhu, Y.; Cao, W.X.; Tian, Y.C. Predicting grain yield in rice using multi-temporal vegetation indices from UAV-based multispectral and digital imagery. ISPRS J. Photogramm. Remote Sens. 2017, 130, 246–255. [Google Scholar] [CrossRef]
- Crusiol, L.G.T.; Sun, L.; Sun, Z.; Chen, R.; Wu, Y.; Ma, J.; Song, C. In-season monitoring of maize leaf water content using ground-based and UAV-based hyperspectral data. Sustainability 2022, 14, 9039. [Google Scholar] [CrossRef]
- Shu, M.; Shen, M.; Zuo, J.; Yin, P.; Wang, M.; Xie, Z.; Tang, J.; Wang, R.; Li, B.; Yang, X.; et al. The application of UAV-based hyperspectral imaging to estimate crop traits in maize inbred lines. Plant Phenomics 2021, 2021, 9890745. [Google Scholar] [CrossRef]
- Ashourloo, D.; Nematollahi, H.; Huete, A.; Aghighi, H.; Azadbakht, M.; Shahrabi, H.S.; Goodarzdashti, S. A new phenology-based method for mapping wheat and barley using time-series of Sentinel-2 images. Remote Sens. Environ. 2022, 280, 113206. [Google Scholar] [CrossRef]
- Kawashima, S.; Nakatani, M. An algorithm for estimating chlorophyll content in leaves using a video camera. Ann. Bot. 1998, 81, 49–54. [Google Scholar] [CrossRef]
- Tucker, C.J. Red and photographic infrared linear combinations for monitoring vegetation. Remote Sens. Environ. 1979, 8, 127–150. [Google Scholar] [CrossRef]
- Gitelson, A.A.; Viña, A.; Ciganda, V.; Rundquist, D.C.; Arkebauer, T.J. Remote estimation of canopy chlorophyll content in crops. Geophy. Res. Lett. 2005, 32. [Google Scholar] [CrossRef]
- Rouse, J.W.; Haas, R.H.; Schell, J.A.; Deering, D.W. Monitoring vegetation systems in the Great Plains with ERTS. In Proceedings of the Third Earth Resources Technology Satellite-1 Symposium, Greenbelt, MD, USA, 10–14 December 1973; NASASP-351 I: Greenbelt, MD, USA, 1973; pp. 309–317. [Google Scholar]
- Gitelson, A.A.; Gritz, Y.; Merzlyak, M.N. Relationships between leaf chlorophyll content and spectral reflectance and algorithms for non-destructive chlorophyll assessment in higher plant leaves. J. Plant Physiol. 2003, 160, 271–282. [Google Scholar] [CrossRef]
- Hunt, E.R.; Cavigelli, M.; Daughtry, C.S.T.; Mcmurtrey, J.E.; Walthall, C.L. Evaluation of digital photography from model aircraft for remote sensing of crop biomass and nitrogen status. Precis. Agric. 2005, 6, 359–378. [Google Scholar] [CrossRef]
- Gitelson, A.A.; Merzlyak, M.N. Remote estimation of chlorophyll content in higher plant leaves. Int. J. Remote Sens. 1997, 18, 2691–2697. [Google Scholar] [CrossRef]
- Hassan, M.A.; Yang, M.; Rasheed, A.; Jin, X.; Xia, X.; Xiao, Y.; He, Z. Time-series multispectral indices from unmanned aerial vehicle imagery reveal senescence rate in bread wheat. Remote Sens. 2018, 10, 809. [Google Scholar] [CrossRef]
- Raper, T.B.; Varco, J.J. Canopy-scale wavelength and vegetative index sensitivities to cotton growth parameters and nitrogen status. Precis. Agric. 2015, 16, 62–76. [Google Scholar] [CrossRef]
- Huete, A.; Didan, K.; Miura, T.; Rodriguez, E.P.; Gao, X.; Ferreira, L.G. Overview of the radiometric and biophysical performance of the MODIS vegetation indices. Remote Sens. Environ. 2002, 83, 195–213. [Google Scholar] [CrossRef]
- Jiang, Z.; Huete, A.R.; Didan, K.; Miura, T. Development of a two-band enhanced vegetation index without a blue band. Remote Sens. Environ. 2008, 112, 3833–3845. [Google Scholar] [CrossRef]
- Rondeaux, G.; Steven, M.; Baret, F. Optimization of soil-adjusted vegetation indices. Remote Sens. Environ. 1996, 55, 95–107. [Google Scholar] [CrossRef]
- Daughtry, C.S.T.; Walthall, C.L.; Kim, M.S.; de Colstoun, E.B.; McMurtrey, J.E., III. Estimating corn leaf chlorophyll concentration from leaf and canopy reflectance. Remote Sens. Environ. 2000, 74, 229–239. [Google Scholar] [CrossRef]
- Haboudane, D.; Miller, J.R.; Tremblay, N.; Zarco-Tejada, P.J.; Dextraze, L. Integrated narrow-band vegetation indices for prediction of crop chlorophyll content for application to precision agriculture. Remote Sens. Environ. 2002, 81, 416–426. [Google Scholar] [CrossRef]
- Gitelson, A.A. Wide dynamic range vegetation index for remote quantification of biophysical characteristics of vegetation. J. Plant Physiol. 2004, 161, 165–173. [Google Scholar] [CrossRef]
- Beck, P.S.A.; Atzberger, C.; Høgda, K.A.; Johansen, B.; Skidmore, A.K. Improved monitoring of vegetation dynamics at very high latitudes: A new method using MODIS NDVI. Remote Sens. Environ. 2006, 100, 321–334. [Google Scholar] [CrossRef]
- Gnyp, M.L.; Miao, Y.; Yuan, F.; Ustin, S.L.; Yu, K.; Yao, Y.; Huang, S.; Bareth, G. Hyperspectral canopy sensing of paddy rice aboveground biomass at different growth stages. Field Crops Res. 2014, 155, 42–55. [Google Scholar] [CrossRef]
- Li, H.; Zhao, C.; Yang, G.; Feng, H. Variations in crop variables within wheat canopies and responses of canopy spectral characteristics and derived vegetation indices to different vertical leaf layers and spikes. Remote Sens. Environ. 2015, 169, 358–374. [Google Scholar] [CrossRef]
- Shaver, T.M.; Khosla, R.; Westfall, D.G. Evaluation of two ground-based active crop canopy sensors in maize: Growth stage, row spacing, and sensor movement speed. Soil Sci. Soc. Am. J. 2010, 74, 2101–2108. [Google Scholar] [CrossRef]
- Zhang, K.; Ge, X.; Shen, P.; Li, W.; Liu, X.; Cao, Q.; Zhu, Y.; Cao, W.; Tian, Y. Predicting rice grain yield based on dynamic changes in vegetation indexes during early to mid-growth stages. Remote Sens. 2019, 11, 387. [Google Scholar] [CrossRef]
- Thompson, L.J.; Ferguson, R.B.; Kitchen, N.; Frazen, D.W.; Mamo, M.; Yang, H.; Schepers, J.S. Model and sensor-based recommendation approaches for in-season nitrogen management in corn. Agron. J. 2015, 107, 2020–2030. [Google Scholar] [CrossRef]
- Thenkabail, P.S.; Smith, B.; De Pauw, E. Hyperspectral vegetation indices and their relationships with agricultural crop characteristics. Remote Sens. Environ. 2000, 71, 158–182. [Google Scholar] [CrossRef]
- Qader, S.H.; Dash, J.; Atkinson, P.M. Forecasting wheat and barley crop production in arid and semi-arid regions using remotely sensed primary productivity and crop phenology: A case study in Iraq. Sci. Total Environ. 2018, 613, 250–262. [Google Scholar] [CrossRef] [PubMed]
- Serrano, L.; Filella, I.; Penuelas, J. Remote sensing of biomass and yield of winter wheat under different nitrogen supplies. Crop Sci. 2000, 40, 723–731. [Google Scholar] [CrossRef]
- Wang, L.; Tian, Y.; Yao, X.; Zhu, Y.; Cao, W. Predicting grain yield and protein content in wheat by fusing multi-sensor and multi-temporal remote-sensing images. Field Crops Res. 2014, 164, 178–188. [Google Scholar] [CrossRef]
- Crusiol, L.G.T.; Sun, L.; Sibaldelli, R.N.R.; Junior, V.F.; Furlaneti, W.X.; Chen, R.; Sun, Z.; Wuyun, D.; Chen, C.; Nanni, M.R.; et al. Strategies for monitoring within-field soybean yield using Sentinel-2 Vis-NIR-SWIR spectral bands and machine learning regression methods. Precis. Agric. 2022, 23, 1093–1123. [Google Scholar] [CrossRef]
- Ma, J.; Liu, B.; Ji, L.; Zhu, Z.; Wu, Y.; Jiao, W. Field-scale yield prediction of winter wheat under different irrigation regimes based on dynamic fusion of multimodal UAV imagery. Int. J. Appl. Earth Obs. Geoinf. 2023, 118, 103292. [Google Scholar] [CrossRef]
- da Silva, E.E.; Baio, F.H.R.; Teodoro, L.P.R.; da Silva, C.A., Jr.; Borges, R.S.; Teodoro, P.E. UAV-multispectral and vegetation indices in soybean grain yield prediction based on in situ observation. Remote Sens. Appl. Soc. Environ. 2020, 18, 100318. [Google Scholar] [CrossRef]











| Irrigation Group | Irrigation Date (d/m/y) | Growth Stage | Total Irrigation Volume (m3/ha) |
|---|---|---|---|
| A | 3 April 2021 | Jointing stage | 1500 |
| 3 May 2021 | Flowering stage | ||
| B | None | -- | 0 |
| C | 29 November 2020 | Overwintering stage | 750 |
| D | 10 March 2021 | Regreen stage | 750 |
| E | 3 April 2021 | Jointing stage | 750 |
| F | 10 April 2021 | Jointing stage | 750 |
| G | 18 April 2021 | Booting stage | 750 |
| Parameter | Number of Samples | Minimum | Maximum | Mean | Standard Deviation | Coefficient of Variation |
|---|---|---|---|---|---|---|
| Grain yield | 214 | 46.46 | 11.24 | 8.58 | 1.28 | 14.97% |
| F-Value | p-Value | |
|---|---|---|
| Different irrigation groups | 13.73 | 0.00 |
| Different winter wheat cultivars | 9.84 | 0.00 |
| Acquisition Date (d/m/y) | Growth Stage | |
|---|---|---|
| UAV imagery | 18 April 2021 | Booting stage |
| 28 April 2021 | Heading stage | |
| 12 May 2021 | Flowering stage | |
| 21 May 2021 | Filling stage | |
| 2 June 2021 | Maturation stage |
| Number | Band Combination | Number | Band Combination |
|---|---|---|---|
| 1 | 10 | ||
| 2 | 11 | ||
| 3 | 12 | ||
| 4 | 13 | ||
| 5 | 14 | ||
| 6 | 15 | ||
| 7 | 16 | ||
| 8 | 17 | ||
| 9 |
| Multispectral Vegetation Index | Growth Stages | |||||||||
|---|---|---|---|---|---|---|---|---|---|---|
| Booting | Heading | Flowering | Filling | Maturation | ||||||
| r | RMSE (t/ha) | r | RMSE (t/ha) | r | RMSE (t/ha) | r | RMSE (t/ha) | r | RMSE (t/ha) | |
| DVI | 0.26 | 1.21 | 0.31 | 1.18 | 0.12 | 1.24 | 0.48 | 1.10 | 0.43 | 1.13 |
| RVI | 0.36 | 1.16 | 0.44 | 1.12 | 0.56 | 1.03 | 0.61 | 0.98 | 0.44 | 1.12 |
| GCI | 0.07 | 1.24 | 0.25 | 1.21 | 0.63 | 0.97 | 0.56 | 1.03 | 0.34 | 1.17 |
| RECI | 0.01 | 1.25 | 0.35 | 1.17 | 0.67 | 0.93 | 0.66 | 0.93 | 0.33 | 1.18 |
| NDVI | 0.37 | 1.16 | 0.46 | 1.11 | 0.57 | 1.02 | 0.64 | 0.96 | 0.49 | 1.09 |
| GNDVI | 0.10 | 1.24 | 0.28 | 1.20 | 0.64 | 0.96 | 0.61 | 0.98 | 0.36 | 1.16 |
| GRVI | 0.14 | 1.24 | 0.21 | 1.22 | 0.24 | 1.21 | 0.49 | 1.09 | 0.49 | 1.09 |
| GBVI | 0.21 | 1.22 | 0.22 | 1.22 | 0.26 | 1.20 | 0.39 | 1.15 | 0.39 | 1.15 |
| NDRE | 0.00 | 1.25 | 0.36 | 1.16 | 0.67 | 0.92 | 0.67 | 0.93 | 0.33 | 1.18 |
| NDREI | 0.16 | 1.23 | 0.14 | 1.24 | 0.48 | 1.10 | 0.52 | 1.07 | 0.28 | 1.20 |
| SCCCI | 0.09 | 1.24 | 0.26 | 1.20 | 0.48 | 1.09 | 0.37 | 1.16 | 0.16 | 1.23 |
| EVI | 0.38 | 1.15 | 0.47 | 1.10 | 0.16 | 1.23 | 0.12 | 1.24 | 0.04 | 1.25 |
| EVI2 | 0.37 | 1.16 | 0.45 | 1.11 | 0.57 | 1.02 | 0.63 | 0.96 | 0.47 | 1.10 |
| OSAVI | 0.16 | 1.24 | 0.33 | 1.20 | 0.44 | 1.13 | 0.54 | 1.06 | 0.16 | 1.23 |
| MCARI | 0.21 | 1.22 | 0.14 | 1.23 | 0.20 | 1.22 | 0.48 | 1.10 | 0.47 | 1.10 |
| TCARI | 0.03 | 1.25 | 0.09 | 1.24 | 0.08 | 1.24 | 0.19 | 1.22 | 0.53 | 1.06 |
| MCARI/OSAVI | 0.21 | 1.22 | 0.14 | 1.23 | 0.20 | 1.22 | 0.48 | 1.10 | 0.47 | 1.10 |
| TACRI/OSAVI | 0.03 | 1.25 | 0.09 | 1.24 | 0.08 | 1.24 | 0.19 | 1.22 | 0.53 | 1.06 |
| WDRVI | 0.37 | 1.16 | 0.45 | 1.12 | 0.57 | 1.03 | 0.63 | 0.97 | 0.45 | 1.11 |
| Band Combination | Growth Stages | |||||||||
|---|---|---|---|---|---|---|---|---|---|---|
| Booting | Heading | Flowering | Filling | Maturation | ||||||
| r | RMSE (t/ha) | r | RMSE (t/ha) | r | RMSE (t/ha) | r | RMSE (t/ha) | r | RMSE (t/ha) | |
| 0.45 | 1.11 | 0.31 | 1.18 | 0.67 | 0.93 | 0.60 | 1.00 | 0.44 | 1.12 | |
| 0.57 | 1.02 | 0.61 | 0.99 | 0.73 ** | 0.86 | 0.75 ** | 0.83 | 0.66 | 0.93 | |
| 0.57 | 1.03 | 0.61 | 0.99 | 0.75 ** | 0.82 | 0.75 ** | 0.83 | 0.65 | 0.95 | |
| 0.57 | 1.03 | 0.61 | 0.99 | 0.75 ** | 0.82 | 0.74 ** | 0.83 | 0.65 | 0.95 | |
| 0.56 | 1.04 | 0.56 | 1.03 | 0.74 ** | 0.84 | 0.70 | 0.90 | 0.68 | 0.91 | |
| 0.57 | 1.03 | 0.61 | 0.99 | 0.75 ** | 0.82 | 0.74 ** | 0.83 | 0.65 | 0.95 | |
| 0.60 | 1.00 | 0.65 | 0.95 | 0.76 ** | 0.81 | 0.70 | 0.89 | 0.70 | 0.88 | |
| 0.61 | 0.99 | 0.67 | 0.93 | 0.79 ** | 0.77 | 0.76 ** | 0.82 | 0.72 ** | 0.86 | |
| 0.60 | 0.99 | 0.65 | 0.95 | 0.76 ** | 0.80 | 0.74 ** | 0.84 | 0.73 ** | 0.85 | |
| 0.60 | 1.00 | 0.65 | 0.95 | 0.78 ** | 0.78 | 0.75 ** | 0.83 | 0.73 ** | 0.86 | |
| 0.61 | 0.99 | 0.67 | 0.93 | 0.78 ** | 0.77 | 0.76 ** | 0.82 | 0.73 ** | 0.86 | |
| 0.60 | 1.00 | 0.65 | 0.95 | 0.78 ** | 0.79 | 0.75 ** | 0.83 | 0.72 ** | 0.86 | |
| 0.60 | 1.00 | 0.65 | 0.95 | 0.78 ** | 0.79 | 0.75 ** | 0.83 | 0.72 ** | 0.86 | |
| 0.60 | 0.99 | 0.65 | 0.95 | 0.77 ** | 0.80 | 0.73 ** | 0.85 | 0.73 ** | 0.85 | |
| 0.57 | 1.02 | 0.61 | 0.99 | 0.76 ** | 0.80 | 0.77 ** | 0.79 | 0.68 | 0.91 | |
| 0.64 | 0.96 | 0.66 | 0.94 | 0.79 ** | 0.77 | 0.76 ** | 0.81 | 0.73 ** | 0.85 | |
| 0.65 | 0.95 | 0.68 | 0.92 | 0.80 ** | 0.75 | 0.78 ** | 0.78 | 0.75 ** | 0.83 | |
| Multispectral Vegetation Index | Growth Stages | |||||||||
|---|---|---|---|---|---|---|---|---|---|---|
| Booting | Heading | Flowering | Filling | Maturation | ||||||
| RMSE (t/ha) | MAPE | RMSE (t/ha) | MAPE | RMSE (t/ha) | MAPE | RMSE (t/ha) | MAPE | RMSE (t/ha) | MAPE | |
| DVI | 1.35 | 14.09% | 1.39 | 14.62% | 1.31 | 13.44% | 1.15 | 11.15% | 1.36 | 13.94% |
| RVI | 1.24 | 13.28% | 1.10 | 11.43% | 1.00 | 9.93% | 0.97 | 9.99% | 1.17 | 12.12% |
| GCI | 1.34 | 13.87% | 1.22 | 12.71% | 0.96 | 9.34% | 1.03 | 10.52% | 1.22 | 12.44% |
| RECI | 1.35 | 13.94% | 1.21 | 12.45% | 0.91 | 8.58% | 0.87 | 8.69% | 1.19 | 12.05% |
| NDVI | 1.24 | 13.22% | 1.08 | 11.32% | 0.99 | 9.91% | 0.95 | 9.74% | 1.15 | 12.01% |
| GNDVI | 1.33 | 13.83% | 1.20 | 12.48% | 0.95 | 9.23% | 0.96 | 9.78% | 1.21 | 12.36% |
| GRVI | 1.36 | 14.08% | 1.37 | 14.37% | 1.24 | 12.91% | 1.09 | 11.33% | 1.23 | 12.93% |
| GBVI | 1.36 | 14.10% | 1.40 | 14.58% | 1.25 | 12.72% | 1.19 | 11.82% | 1.36 | 13.92% |
| NDRE | 1.35 | 13.93% | 1.20 | 12.38% | 0.84 | 8.38% | 0.85 | 8.47% | 1.18 | 12.00% |
| NDREI | 1.34 | 13.88% | 1.28 | 13.30% | 1.17 | 11.97% | 1.12 | 11.52% | 1.31 | 13.57% |
| SCCCI | 1.38 | 14.11% | 1.28 | 13.13% | 1.13 | 11.22% | 1.13 | 11.54% | 1.35 | 13.96% |
| EVI | 1.23 | 13.11% | 1.10 | 11.37% | 1.37 | 13.94% | 1.35 | 13.93% | 1.35 | 13.93% |
| EVI2 | 1.24 | 13.24% | 1.09 | 11.33% | 0.99 | 9.90% | 0.95 | 9.79% | 1.16 | 12.03% |
| OSAVI | 1.34 | 14.35% | 1.22 | 12.63% | 1.12 | 11.34% | 1.03 | 10.55% | 1.35 | 13.95% |
| MCARI | 1.39 | 14.46% | 1.33 | 13.93% | 1.30 | 13.60% | 1.16 | 11.98% | 1.20 | 12.65% |
| TCARI | 1.35 | 13.89% | 1.33 | 13.67% | 1.35 | 13.92% | 1.29 | 13.55% | 1.19 | 12.90% |
| MCARI/OSAVI | 1.39 | 14.46% | 1.33 | 13.93% | 1.30 | 13.60% | 1.16 | 11.98% | 1.20 | 12.65% |
| TACRI/OSAVI | 1.35 | 13.89% | 1.33 | 13.67% | 1.35 | 13.92% | 1.29 | 13.55% | 1.19 | 12.90% |
| WDRVI | 1.24 | 13.26% | 1.09 | 11.37% | 0.99 | 9.90% | 0.96 | 9.88% | 1.17 | 12.07% |
| Band Combination | Growth Stages | |||||||||
|---|---|---|---|---|---|---|---|---|---|---|
| Booting | Heading | Flowering | Filling | Maturation | ||||||
| RMSE (t/ha) | MAPE | RMSE (t/ha) | MAPE | RMSE (t/ha) | MAPE | RMSE (t/ha) | MAPE | RMSE (t/ha) | MAPE | |
| 1.21 | 12.69% | 1.24 | 13.24% | 0.94 | 9.50% | 1.09 | 11.24% | 1.24 | 12.61% | |
| 1.15 | 11.43% | 1.21 | 11.94% | 0.94 | 9.20% | 0.97 | 9.80% | 1.00 | 10.34% | |
| 1.27 | 12.58% | 1.10 | 10.95% | 0.90 | 8.84% | 0.97 | 10.05% | 0.95 | 9.71% | |
| 1.27 | 12.59% | 1.10 | 10.94% | 0.89 | 8.77% | 0.97 | 10.04% | 0.96 | 9.65% | |
| 2.21 | 17.83% | 1.16 | 11.81% | 0.87 | 8.79% | 1.01 | 10.03% | 0.91 | 9.26% | |
| 1.27 | 12.59% | 1.10 | 10.94% | 0.89 | 8.77% | 0.97 | 10.04% | 0.96 | 9.65% | |
| 1.09 | 11.07% | 1.10 | 10.90% | 0.83 | 7.81% | 0.97 | 9.82% | 0.93 | 9.39% | |
| 1.15 | 11.55% | 1.02 | 10.29% | 0.79 | 7.38% | 0.98 | 10.11% | 0.89 | 8.79% | |
| 1.07 | 10.95% | 1.09 | 10.81% | 0.84 | 8.36% | 0.93 | 9.13% | 0.91 | 9.18% | |
| 1.09 | 11.27% | 1.09 | 10.86% | 0.80 | 7.64% | 0.96 | 9.94% | 0.94 | 9.51% | |
| 1.15 | 11.55% | 1.02 | 10.30% | 0.79 | 7.68% | 0.98 | 10.11% | 0.88 | 8.69% | |
| 1.08 | 11.25% | 1.12 | 10.99% | 0.84 | 7.87% | 0.97 | 9.99% | 0.93 | 9.35% | |
| 1.08 | 11.25% | 1.12 | 10.99% | 0.84 | 7.87% | 0.97 | 9.99% | 0.93 | 9.35% | |
| 1.08 | 11.12% | 1.11 | 10.92% | 0.84 | 8.40% | 0.90 | 9.24% | 0.91 | 9.03% | |
| 1.27 | 12.55% | 1.10 | 10.92% | 0.91 | 9.00% | 0.83 | 8.08% | 0.98 | 9.88% | |
| 1.10 | 11.30% | 1.05 | 10.48% | 0.79 | 7.40% | 0.88 | 8.94% | 0.95 | 10.02% | |
| 0.97 | 9.93% | 1.02 | 10.10% | 0.78 | 7.24% | 0.84 | 8.47% | 0.89 | 8.92% | |
Disclaimer/Publisher’s Note: The statements, opinions and data contained in all publications are solely those of the individual author(s) and contributor(s) and not of MDPI and/or the editor(s). MDPI and/or the editor(s) disclaim responsibility for any injury to people or property resulting from any ideas, methods, instructions or products referred to in the content. |
© 2023 by the authors. Licensee MDPI, Basel, Switzerland. This article is an open access article distributed under the terms and conditions of the Creative Commons Attribution (CC BY) license (https://creativecommons.org/licenses/by/4.0/).
Share and Cite
Liu, Y.; Sun, L.; Liu, B.; Wu, Y.; Ma, J.; Zhang, W.; Wang, B.; Chen, Z. Estimation of Winter Wheat Yield Using Multiple Temporal Vegetation Indices Derived from UAV-Based Multispectral and Hyperspectral Imagery. Remote Sens. 2023, 15, 4800. https://doi.org/10.3390/rs15194800
Liu Y, Sun L, Liu B, Wu Y, Ma J, Zhang W, Wang B, Chen Z. Estimation of Winter Wheat Yield Using Multiple Temporal Vegetation Indices Derived from UAV-Based Multispectral and Hyperspectral Imagery. Remote Sensing. 2023; 15(19):4800. https://doi.org/10.3390/rs15194800
Chicago/Turabian StyleLiu, Yu, Liang Sun, Binhui Liu, Yongfeng Wu, Juncheng Ma, Wenying Zhang, Bianyin Wang, and Zhaoyang Chen. 2023. "Estimation of Winter Wheat Yield Using Multiple Temporal Vegetation Indices Derived from UAV-Based Multispectral and Hyperspectral Imagery" Remote Sensing 15, no. 19: 4800. https://doi.org/10.3390/rs15194800
APA StyleLiu, Y., Sun, L., Liu, B., Wu, Y., Ma, J., Zhang, W., Wang, B., & Chen, Z. (2023). Estimation of Winter Wheat Yield Using Multiple Temporal Vegetation Indices Derived from UAV-Based Multispectral and Hyperspectral Imagery. Remote Sensing, 15(19), 4800. https://doi.org/10.3390/rs15194800

