Methane Emissions in Boreal Forest Fire Regions: Assessment of Five Biomass-Burning Emission Inventories Based on Carbon Sensing Satellites
Abstract
:1. Introduction
2. Materials and Methods
2.1. Materials
2.1.1. Study Area
2.1.2. Satellite XCH4 Observations
2.1.3. Ground-Based XCH4 Data
2.1.4. Global Biomass-Burning Emission Inventories
2.2. Methods
2.2.1. Detrended Fluctuation Analysis
2.2.2. Pearson Correlation
2.2.3. Coefficient of Variation
2.2.4. Time Lagged Cross Correlation
2.2.5. Time Series Similarity Measurement—Euclidean Distance
3. Results
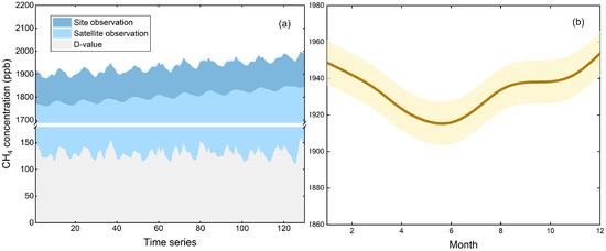
3.1. Temporal Variation Characteristics of Atmospheric CH4 Concentrations
3.1.1. Monthly Variation Characteristic
3.1.2. Seasonal Variation Characteristic
3.1.3. Interannual Variation Characteristic
3.2. Temporal Variation Characteristics of CH4 Emissions
3.2.1. Monthly Variation Characteristic
3.2.2. Seasonal Variation Characteristic
3.2.3. Interannual Variation Characteristic
3.3. Analysis of the Temporal Correlation between Atmospheric CH4 Concentration and CH4 Emissions
3.3.1. Ground Station Data and Satellite Data
3.3.2. Analysis of Correlations between Inventory Datasets and between Inventory Datasets and Satellite Datasets
4. Discussion
4.1. Possible Explanations for Differences among the GBBEIs
4.2. Explanation of the Lagging Effect
4.3. Uncertainty in the Selection of Research Areas
5. Conclusions
Supplementary Materials
Author Contributions
Funding
Data Availability Statement
Acknowledgments
Conflicts of Interest
References
- Kim, Y.; Tanaka, N.; Fukuda, M.; Kushida, K. Effect of forest fire on fluxes of CH4 and N2O in boreal forest soils, interior Alaska. In Non-CO2 Greenhouse Gases: Scientific Understanding, Control Options and Policy Aspects. Proceedings of the Third International Symposium, Maastricht, The Netherlands, 21–23 January 2002; Millpress Science Publishers: Rotterdam, The Netherlands; pp. 55–60.
- Koster, E.; Koster, K.; Berninger, F.; Aaltonen, H.; Zhou, X.; Pumpanen, J. Carbon dioxide, methane and nitrous oxide fluxes from a fire chronosequence in subarctic boreal forests of Canada. Sci. Total Environ. 2017, 601, 895–905. [Google Scholar] [CrossRef] [PubMed]
- Fu, X. The impact of forest fire on forest ecosystem. Mod. Agric. Res. 2021, 27, 101–103. [Google Scholar] [CrossRef]
- Chao, D. The Impact of Phenological Changes in Northern Forests on Carbon Budget. Master’s Thesis, Northeast Normal University, Changchun, China, 2020. [Google Scholar]
- Wooster, M.J.; Zhang, Y.H. Boreal forest fires burn less intensely in Russia than in North America. Geophys. Res. Lett. 2004, 31. [Google Scholar] [CrossRef]
- Stocks, B.J.; Fosberg, M.A.; Lynham, T.J.; Mearns, L.; Wotton, B.M.; Yang, Q.; Jin, J.Z.; Lawrence, K.; Hartley, G.R.; Mason, J.A.; et al. Climate change and forest fire potential in Russian and Canadian boreal forests. Clim. Chang. 1998, 38, 1–13. [Google Scholar] [CrossRef]
- Bai, Y.; Wang, B.; Wu, Y.; Liu, X. Experimental study on pyrolysis of surface litter of main forest types in Changbai Mountains. Fire Sci. Technol. 2022, 41, 705–709. [Google Scholar] [CrossRef]
- Wu, Y.; Shu, F.; Wang, M.; Zhang, H.; Si, L. A review of forest fires worldwide in recent years. J. Temp. For. Res. 2022, 5, 49–54. [Google Scholar] [CrossRef]
- Levine, J.S.; Cofer, W.R., III; Cahoon Jr, D.R.; Winstead, E.L. A driver for global change. Environ. Sci. Technol. 1995, 29, 120A–125A. [Google Scholar] [CrossRef]
- Feng, L.; Palmer, P.I.; Zhu, S.H.; Parker, R.J.; Liu, Y. Tropical methane emissions explain large fraction of recent changes in global atmospheric methane growth rate. Nat. Commun. 2022, 13, 1378. [Google Scholar] [CrossRef]
- Song, H.; Sheng, M.; Lei, L.; Guo, K.; Zhang, S.; Ji, Z. Spatial and Temporal Variations of Atmospheric CH4 in Monsoon Asia Detected by Satellite Observations of GOSAT and TROPOMI. Remote Sens. 2023, 15, 3389. [Google Scholar] [CrossRef]
- Guo, M.; Li, J.; Xu, J.; Wang, X.; He, H.; Wu, L. CO2 emissions from the 2010 Russian wildfires using GOSAT data. Environ. Pollut. 2017, 226, 60–68. [Google Scholar] [CrossRef]
- Goto, Y.; Suzuki, S. Estimates of carbon emissions from forest fires in Japan, 1979–2008. Int. J. Wildland Fire 2013, 22, 721–729. [Google Scholar] [CrossRef]
- Guo, L.F.; Ma, Y.F.; Tigabu, M.; Guo, X.B.; Zheng, W.X.; Guo, F.T. Emission of atmospheric pollutants during forest fire in boreal region of China. Environ. Pollut. 2020, 264, 114709. [Google Scholar] [CrossRef]
- Zhao, Y. Research on High-Resolution Multi-Year Emission Inventory of Biomass Combustion in Northeast China from 2001 to 2017. Master’s Thesis, Harbin Normal University, Harbin, China, 2020. [Google Scholar]
- Shi, Y.S.; Matsunaga, T. Temporal comparison of global inventories of CO2 emissions from biomass burning during 2002–2011 derived from remotely sensed data. Environ. Sci. Pollut. Res. 2017, 24, 16905–16916. [Google Scholar] [CrossRef] [PubMed]
- Su, M.Q.; Shi, Y.S.; Yang, Y.L.; Guo, W.Y. Impacts of different biomass burning emission inventories: Simulations of atmospheric CO2 concentrations based on GEOS-Chem. Sci. Total Environ. 2023, 876, 162825. [Google Scholar] [CrossRef] [PubMed]
- Xu, Y. Study on Evolution Characteristics and Dynamic Estimations of Open Biomass Burning Emissions, in China. Ph.D. Thesis, South China University of Technology, Guangzhou, China, 2020. [Google Scholar]
- Harrison, S.P.; Bartlein, P.J.; Brovkin, V.; Houweling, S.; Kloster, S.; Prentice, I.C. The biomass burning contribution to climate-carbon-cycle feedback. Earth Syst. Dyn. 2018, 9, 663–677. [Google Scholar] [CrossRef]
- Janardanan, R.; Maksyutov, S.; Ito, A.; Yukio, Y.; Matsunaga, T. Assessment of Anthropogenic Methane Emissions over Large Regions Based on GOSAT Observations and High Resolution Transport Modeling. Remote Sens. 2017, 9, 941. [Google Scholar] [CrossRef]
- Shi, Y.S.; Matsunaga, T.; Noda, H. Interpreting Temporal Changes of Atmospheric CO2 Over Fire Affected Regions Based on GOSAT Observations. IEEE Geosci. Remote Sens. Lett. 2017, 14, 77–81. [Google Scholar] [CrossRef]
- Chevallier, F.; Broquet, G.; Zheng, B.; Ciais, P.; Eldering, A. Large CO2 Emitters as Seen from Satellite: Comparison to a Gridded Global Emission Inventory. Geophys. Res. Lett. 2022, 49, e2021GL097540. [Google Scholar] [CrossRef]
- Köster, E.; Köster, K.; Berninger, F.; Pumpanen, J. Carbon dioxide, methane and nitrous oxide fluxes from podzols of a fire chronosequence in the boreal forests in Värriö, Finnish Lapland. Geoderma Reg. 2015, 5, 181–187. [Google Scholar] [CrossRef]
- Köster, E.; Köster, K.; Berninger, F.; Prokushkin, A.; Aaltonen, H.; Zhou, X.; Pumpanen, J. Changes in fluxes of carbon dioxide and methane caused by fire in Siberian boreal forest with continuous permafrost. J. Environ. Manag. 2018, 228, 405–415. [Google Scholar] [CrossRef]
- Curtis, P.G.; Slay, C.M.; Harris, N.L.; Tyukavina, A.; Hansen, M.C. Classifying drivers of global forest loss. Science 2018, 361, 1108–1111. [Google Scholar] [CrossRef] [PubMed]
- Romanov, A.A.; Tamarovskaya, A.N.; Gloor, E.; Brienen, R.; Gusev, B.A.; Leonenko, E.V.; Vasiliev, A.S.; Krikunov, E.E. Reassessment of carbon emissions from fires and a new estimate of net carbon uptake in Russian forests in 2001–2021. Sci. Total Environ. 2022, 846, 157322. [Google Scholar] [CrossRef] [PubMed]
- Ding, Q.; Feng, X. Change Analysis of Boreal Forest Fire Using MODIS Thermal Anomalies Product for European Russia. J. Geo-Inf. Sci. 2013, 15, 476–482. [Google Scholar] [CrossRef]
- Lei, L.; Song, H.; Li, L.; Zeng, Z.; He, Z. Global 50 km GOSAT and SCIAMACHY Atmospheric CH4 Column Concentration Product Data Set from 2003 to 2021; Aerospace Information Innovation Institute of the Chinese Academy of Sciences: Beijing, China, 2021. [Google Scholar] [CrossRef]
- Zhang, S. A Study of Atmospheric CH4 Concentration Spatio-Temporal Variation and Its Response to Anthropogenic Emissions in China Based on the Ground-Based and Satellite Observations. Master’s Thesis, East China Normal University, Shanghai, China, 2022. [Google Scholar]
- Pan, X.H.; Ichoku, C.; Chin, M.; Bian, H.S.; Darmenov, A.; Colarco, P.; Ellison, L.; Kucsera, T.; da Silva, A.; Wang, J.; et al. Six global biomass burning emission datasets: Intercomparison and application in one global aerosol model. Atmos. Chem. Phys. 2020, 20, 969–994. [Google Scholar] [CrossRef]
- Xu, Z.; Wan, J.W.; Li, G.; Su, F. Target Detection within Sea Clutter Based on Multifractal Detrended Fluctuation Analysis. Adv. Eng. Forum 2012, 4, 259–262. [Google Scholar] [CrossRef]
- Kvalseth, T.O. Coefficient of variation: The second-order alternative. J. Appl. Stat. 2017, 44, 402–415. [Google Scholar] [CrossRef]
- Podobnik, B.; Stanley, H.E. Detrended cross-correlation analysis: A new method for analyzing two nonstationary time series. Phys. Rev. Lett. 2008, 100, 084102. [Google Scholar] [CrossRef]
- Shen, C.H. Analysis of detrended time-lagged cross-correlation between two nonstationary time series. Phys. Lett. A 2015, 379, 680–687. [Google Scholar] [CrossRef]
- Agrawal, R.; Faloutsos, C.; Swami, A. Efficient similarity search in sequence databases. In Foundations of Data Organization and Algorithms, Proceedings of the 4th International Conference, FODO’93, Chicago, IL, USA, 13–15 October 1993; Springer: Berlin/Heidelberg, Germany, 1993; pp. 69–84. [Google Scholar]
- Van der Werf, G.R.; Randerson, J.T.; Giglio, L.; Collatz, G.J.; Kasibhatla, P.S.; Arellano, A.F. Interannual variability in global biomass burning emissions from 1997 to 2004. Atmos. Chem. Phys. 2006, 6, 3423–3441. [Google Scholar] [CrossRef]
- van Wees, D.; van Der Werf, G.R.; Randerson, J.T.; Andela, N.; Chen, Y.; Morton, D.C. The role of fire in global forest loss dynamics. Glob. Chang. Biol. 2021, 27, 2377–2391. [Google Scholar] [CrossRef]
- Shi, Y.S.; Sasai, T.; Yamaguchi, Y. Spatio-temporal evaluation of carbon emissions from biomass burning in Southeast Asia during the period 2001–2010. Ecol. Model. 2014, 272, 98–115. [Google Scholar] [CrossRef]
- Roberts, G.; Wooster, M.J.; Freeborn, P.H.; Xu, W. Integration of geostationary FRP and polar-orbiter burned area datasets for an enhanced biomass burning inventory. Remote Sens. Environ. 2011, 115, 2047–2061. [Google Scholar] [CrossRef]
- Randerson, J.T.; Chen, Y.; van der Werf, G.R.; Rogers, B.M.; Morton, D.C. Global burned area and biomass burning emissions from small fires. J. Geophys. Res.-Biogeosci. 2012, 117. [Google Scholar] [CrossRef]
- Giglio, L.; Randerson, J.T.; Van Der Werf, G.R. Analysis of daily, monthly, and annual burned area using the fourth-generation global fire emissions database (GFED4). J. Geophys. Res. Biogeosci. 2013, 118, 317–328. [Google Scholar] [CrossRef]
- Ichoku, C.; Ellison, L. Global top-down smoke-aerosol emissions estimation using satellite fire radiative power measurements. Atmos. Chem. Phys. 2014, 14, 6643–6667. [Google Scholar] [CrossRef]
- Darmenov, A.; da Silva, A. The Quick Fire Emissions Dataset (QFED): Documentation of Versions 2.1, 2.2 and 2.4. In Technical Report Series on Global Modeling and Data Assimilation; NASA TM-2013-104606; NASA: Washington, DC, USA, 2015; Volume 32, p. 183. [Google Scholar]
- Wooster, M.J.; Roberts, G.; Perry, G.L.W.; Kaufman, Y.J. Retrieval of biomass combustion rates and totals from fire radiative power observations: FRP derivation and calibration relationships between biomass consumption and fire radiative energy release. J. Geophys. Res.-Atmos. 2005, 110, 496. [Google Scholar] [CrossRef]
- Shi, Y.S.; Zang, S.Y.; Matsunaga, T.; Yamaguchi, Y. A multi-year and high-resolution inventory of biomass burning emissions in tropical continents from 2001–2017 based on satellite observations. J. Clean. Prod. 2020, 270, 122511. [Google Scholar] [CrossRef]
- Shi, Y.S.; Gong, S.Y.; Zang, S.Y.; Zhao, Y.; Wang, W.; Lv, Z.H.; Matsunaga, T.; Yamaguchi, Y.; Bai, Y.B. High-resolution and multi-year estimation of emissions from open biomass burning in Northeast China during 2001–2017. J. Clean. Prod. 2021, 310, 127496. [Google Scholar] [CrossRef]
- Whitburn, S.; Van Damme, M.; Kaiser, J.W.; van der Werf, G.R.; Turquety, S.; Hurtmans, D.; Clarisse, L.; Clerbaux, C.; Coheur, P.F. Ammonia emissions in tropical biomass burning regions: Comparison between satellite-derived emissions and bottom-up fire inventories. Atmos. Environ. 2015, 121, 42–54. [Google Scholar] [CrossRef]
- Pereira, G.; Siqueira, R.; Rosário, N.E.; Longo, K.L.; Freitas, S.R.; Cardozo, F.S.; Kaiser, J.W.; Wooster, M.J. Assessment of fire emission inventories during the South American Biomass Burning Analysis (SAMBBA) experiment. Atmos. Chem. Phys. 2016, 16, 6961–6975. [Google Scholar] [CrossRef]
- Martinho, V. Estimating relationships between forest fires and greenhouse gas emissions: Circular and cumulative effects or unidirectional causality? Environ. Monit. Assess. 2019, 191, 581. [Google Scholar] [CrossRef] [PubMed]
- Zheng, Q.-H.; Chen, W.; Li, S.-L.; Yu, L.; Zhang, X.; Liu, L.-F.; Singh, R.P.; Liu, C.-Q. Accuracy comparison and driving factor analysis of LULC changes using multi-source time-series remote sensing data in a coastal area. Ecol. Inform. 2021, 66, 101457. [Google Scholar] [CrossRef]
















Disclaimer/Publisher’s Note: The statements, opinions and data contained in all publications are solely those of the individual author(s) and contributor(s) and not of MDPI and/or the editor(s). MDPI and/or the editor(s) disclaim responsibility for any injury to people or property resulting from any ideas, methods, instructions or products referred to in the content. |
© 2023 by the authors. Licensee MDPI, Basel, Switzerland. This article is an open access article distributed under the terms and conditions of the Creative Commons Attribution (CC BY) license (https://creativecommons.org/licenses/by/4.0/).
Share and Cite
Zhao, S.; Wang, L.; Shi, Y.; Zeng, Z.; Nath, B.; Niu, Z. Methane Emissions in Boreal Forest Fire Regions: Assessment of Five Biomass-Burning Emission Inventories Based on Carbon Sensing Satellites. Remote Sens. 2023, 15, 4547. https://doi.org/10.3390/rs15184547
Zhao S, Wang L, Shi Y, Zeng Z, Nath B, Niu Z. Methane Emissions in Boreal Forest Fire Regions: Assessment of Five Biomass-Burning Emission Inventories Based on Carbon Sensing Satellites. Remote Sensing. 2023; 15(18):4547. https://doi.org/10.3390/rs15184547
Chicago/Turabian StyleZhao, Siyan, Li Wang, Yusheng Shi, Zhaocheng Zeng, Biswajit Nath, and Zheng Niu. 2023. "Methane Emissions in Boreal Forest Fire Regions: Assessment of Five Biomass-Burning Emission Inventories Based on Carbon Sensing Satellites" Remote Sensing 15, no. 18: 4547. https://doi.org/10.3390/rs15184547
APA StyleZhao, S., Wang, L., Shi, Y., Zeng, Z., Nath, B., & Niu, Z. (2023). Methane Emissions in Boreal Forest Fire Regions: Assessment of Five Biomass-Burning Emission Inventories Based on Carbon Sensing Satellites. Remote Sensing, 15(18), 4547. https://doi.org/10.3390/rs15184547

