Optimizing an Algorithm Designed for Sparse-Frequency Waveforms for Use in Airborne Radars
Abstract
:1. Introduction
2. Materials
2.1. Construction of Spectrum Stopband Constrained Objective Function
2.2. Construction of Low-Sidelobe-Constrained Objective Function of Specified-Range Cells
3. Optimization Algorithm
3.1. Optimization Algorithm under Constant Modulus Constraint
| Algorithm 1: SMIA algorithm under constant modulus constraint |
| Input: randomly initialize the sequence ; |
| Step 1: For the current sequence and u, calculate the optimal solution of (see Equation (26)); |
| Step 2: For the current sequence s and , calculate the optimal solution of (see Equation (27)); |
| Step 3: For the current sequence and , calculate the optimal solution of (see Equation (29)); |
| Step 4: Iterate through Step 1, Step 2, and Step 3 until the preset stop condition is met; |
| Output: the final optimized waveform . |
3.2. Optimization Algorithm under PAR Constraint
| Algorithm 2: SMIA algorithm under the PAR constraint |
| Input: randomly initialize the sequence ; the waveform energy of is , and the PAR constraint value is set to ; |
| Step 1: For the current sequence and , calculate the optimal solution of (see Equation (32)); |
| Step 2: For the current sequence and , calculate the optimal solution of u (see Equation (33)); |
| Step 3: For the current sequence and , calculate the optimal solution of by the alternate projection method; |
| Step 4: Iterate through Step 1, Step 2, and Step 3 until the preset stop condition is met; |
| Output: the final optimized waveform. |
4. Results
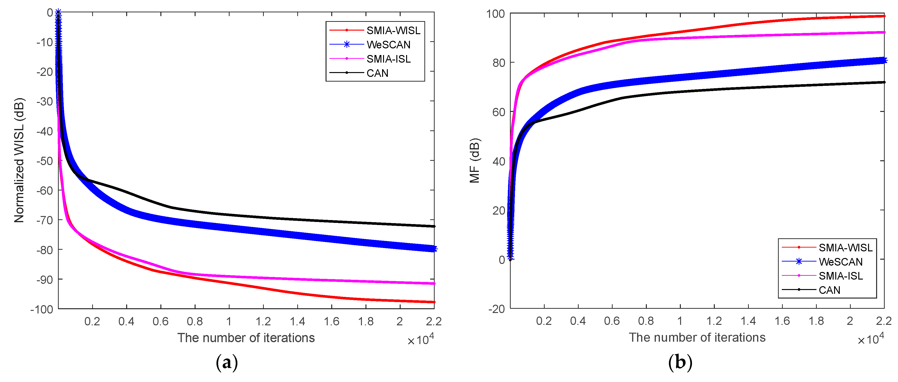
4.1. Comparisons under Constant Modulus Constraint
4.2. Comparisons under PAR Constraint
4.3. Anti-Interference Performance
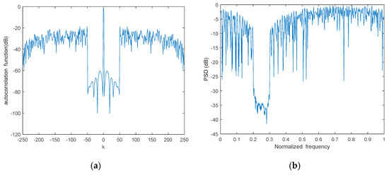
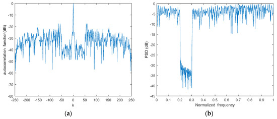
4.4. The Time–Frequency Distribution Characteristics of the Optimized Waveform
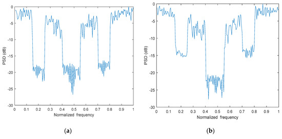
4.5. Comparisons between Sparse-Frequency Waveform and Non-Sparse-Frequency Waveform
5. Discussion
5.1. Weighting Factor
5.2. The Number of Frequency Stopbands
5.3. Frequency Stopband Weighting Effect
5.4. WISL and Merit Factor
5.5. The Amount of Computation
6. Conclusions
Author Contributions
Funding
Data Availability Statement
Conflicts of Interest
Appendix A
References
- Nunn, C.; Moyer, L.R. Spectrally-compliant waveforms for wideband radar. IEEE Aerosp. Electron. Syst. Mag. 2012, 27, 11–15. [Google Scholar] [CrossRef]
- Haykin, S. Cognitive radar: A way of the future. IEEE Signal Process. Mag. 2006, 23, 30–40. [Google Scholar] [CrossRef]
- Guerci, J.R. Cognitive Radar: A Knowledge-Aided Fully Adaptive Approach. In Proceedings of the IEEE Radar Conference 2010, Arlington, VA, USA, 10–14 May 2010; pp. 1365–1370. [Google Scholar]
- Haykin, S.; Xue, Y.; Davidson, T.N. Cognitive Radar: Optimal waveform design for cognitive radar. In Proceedings of the 42nd Asilomar Conference on Signals, Systems and Computers, Pacific Grove, CA, USA, 26–29 October 2008; pp. 3–7. [Google Scholar]
- Haykin, S. New generation of radar systems enabled with cognition. In Proceedings of the IEEE Radar Conference 2010, Arlington, VA, USA, 10–14 May 2010. [Google Scholar]
- Mitola, J. Software radios: Survey, critical evaluation and future directions. IEEE Aerosp. Electron. Syst. Mag. 1993, 8, 25–36. [Google Scholar] [CrossRef] [PubMed]
- Haykin, S.; Xue, Y.; Setoodeh, P. Cognitive radar:step toward bridging the gap between neuroscience and engineering. Proc. IEEE 2012, 100, 3102–3130. [Google Scholar] [CrossRef]
- Guerci, J.R.; Guerci, R.M.; Ranagaswamy, M.; Bergin, J.S.; Wicks, M.C. CoFAR: Cognitive fully adaptive radar. In Proceedings of the IEEE Radar Conference 2014, Cincinnati, OH, USA, 19–23 May 2014; pp. 984–989. [Google Scholar]
- Bell, K.L.; Baker, C.J.; Smith, G.E.; Johnson, J.T.; Rangaswamy, M. Cognitive radar framework for target detection and tracking. IEEE J. Sel. Top. Signal Process. 2015, 9, 1427–1439. [Google Scholar] [CrossRef]
- Guerci, J.R. Cognitive radar:the knowledge-aided fully a daptive approach. Aeronaut. J. 2011, 115, 390–396. [Google Scholar]
- Smith, G.E.; Cammenga, Z.; Mitchell, A.; Bell, K.L.; Johnson, J.; Rangaswamy, M.; Baker, C. Experiments with cognitive radar. IEEE Aerosp. Electron. Syst. Mag. 2016, 31, 34–46. [Google Scholar] [CrossRef]
- Huleihel, W.; Tabrikian, J.; Shavit, R. Optimal adaptive waveform design for cognitive MIMO radar. IEEE Trans. Signal Process. 2013, 61, 5075–5089. [Google Scholar] [CrossRef]
- Jiu, B.; Liu, H.; Zhang, L.; Wang, Y.; Luo, T. Wideband cognitive radar waveform optimization for joint target radar signature estimation and target detection. IEEE Trans. Aerosp. Electron. Syst. 2015, 51, 1530–1546. [Google Scholar] [CrossRef]
- Feng, X.; Zhao, Z.; Li, F.; Cui, W.; Zhao, Y. Radar phase-coded waveform design with local low range sidelobes based on particle swarm-assisted projection optimization. Remote Sens. 2022, 14, 4186. [Google Scholar] [CrossRef]
- Savci, K.; Galati, G.; Pavan, G. Low-PAPR waveforms with shaped spectrum for enhanced low probability of intercept noise radars. Remote Sens. 2021, 13, 2372. [Google Scholar] [CrossRef]
- Mohammad, M.A.B.; Cui, G.; Yu, X.; Fakirah, M.; Elhag, N.A.A. Integrated OFDM waveform design for RadCom system-based signal-to-clutter noise ratio maximization. Remote Sens. 2023, 15, 3554. [Google Scholar] [CrossRef]
- Zhao, Y.; Zhao, Z.; Tong, F.; Sun, P.; Feng, X.; Zhao, Z. Joint design of transmitting waveform and receiving filter via novel riemannian idea for DFRC System. Remote Sens. 2023, 15, 3548. [Google Scholar] [CrossRef]
- Zhang, X.; Wang, X.; So, H.C.; Zoubir, A.M.; Cui, G. Min-max optimization for MIMO Radar waveform design with improved power efficiency. IEEE Trans. Signal Process. 2022, 70, 6112–6127. [Google Scholar] [CrossRef]
- Zheng, Z.; Zhang, Y.; Peng, X.; Xie, H.; Chen, J.; Mo, J.; Sui, Y. MIMO radar waveform design for multipath exploitation using deep learning. Remote Sens. 2023, 15, 2747. [Google Scholar] [CrossRef]
- Stoica, P.; He, H.; Li, J. Optimization of the receive filter and transmit sequence for active sensing. IEEE Trans. Signal Process. 2012, 60, 1730–1740. [Google Scholar] [CrossRef]
- Bell, M.R. Information theory and radar waveform design. IEEE Trans. Inf. Theory 1993, 39, 1578–1597. [Google Scholar] [CrossRef]
- Xu, G.; Zhang, B.; Yu, H.; Chen, J.; Xing, M.; Hong, W. Sparse Synthetic Aperture Radar Imaging from Compressed Sensing and Machine Learning: Theories, Applications and Trends. IEEE Geosci. Remote Sens. Mag. 2022, 10, 32–69. [Google Scholar] [CrossRef]
- Xu, G.; Xia, X.-G.; Hong, W. Nonambiguous SAR Image Formation of Maritime Targets Using Weighted Sparse Approach. IEEE Trans. Geosci. Remote Sens. 2018, 56, 1454–1465. [Google Scholar] [CrossRef]
- Kang, M.-S.; Baek, J.-M. Efficient SAR Imaging Integrated With Autofocus via Compressive Sensing. IEEE Geosci. Remote Sens. Lett. 2022, 19, 4514905. [Google Scholar] [CrossRef]
- Xu, Z.; Zhang, B.; Zhang, Z.; Wang, M.; Wu, Y. Nonconvex-Nonlocal Total Variation Regularization-Based Joint Feature-Enhanced Sparse SAR Imaging. IEEE Geosci. Remote Sens. Lett. 2022, 19, 4515705. [Google Scholar] [CrossRef]
- Bi, H.; Lu, X.; Yin, Y.; Yang, W.; Zhu, D. Sparse SAR Imaging Based on Periodic Block Sampling Data. IEEE Trans. Geosci. Remote Sens. 2022, 60, 5213812. [Google Scholar] [CrossRef]
- Kang, M.-S.; Baek, J.-M. SAR Image Reconstruction via Incremental Imaging With Compressive Sensing. IEEE Trans. Aerosp. Electron. Syst. 2023, 59, 4450–4463. [Google Scholar] [CrossRef]
- Lindenfeld, M.J. Sparse frequency transmit and receive waveform design. IEEE Trans. Aerosp. Electron. Syst. 2004, 40, 851–860. [Google Scholar] [CrossRef]
- Liu, W.X.; Lesturgie, M.; Lu, Y.L. Real-time sparse frequency design for HFSWR system. IET Electron. Lett. 2007, 43, 1387–1389. [Google Scholar] [CrossRef]
- Wang, G.H.; Lu, Y.L. Sparse frequency transmit waveform design with soft power constraint by using PSO algorithm. In Proceedings of the IEEE Radar Conference 2008, Roma, Italy, 26–30 May 2008. [Google Scholar]
- Wang, G.; Lu, Y. Designing single/multiple sparse frequency waveforms with sidelobe constraint. IET Radar Sonar Navig. 2011, 5, 32–38. [Google Scholar] [CrossRef]
- Liu, W.; Liu, J.; Liu, T.; Chen, H.; Wang, Y.L. Detector Design and Performance Analysis for Target Detection in Subspace Interference. IEEE Signal Process. Lett. 2023, 30, 618–622. [Google Scholar] [CrossRef]
- Stoica, P.; He, H.; Li, J. New algorithms for designing unimodular sequences with good correlation properties. IEEE Trans. Signal Process. 2009, 57, 1415–1425. [Google Scholar] [CrossRef]
- He, H.; Stoica, P.; Li, J. Waveform design with stopband and correlation constraints for cognitive radar. In Proceedings of the 2nd International Workshop on Cognitive Information Processing, Elba Island, Italy, 14–16 June 2010; pp. 344–349. [Google Scholar]
- Wu, H.; Song, Z.; Fan, H.; Li, Y.; Fu, Q. A new algorithm for sparse frequency waveform design with range sidelobes constraint. Chin. J. Electron. 2015, 24, 604–610. [Google Scholar] [CrossRef]
- Nathan, A.G.; Phaneendra, R.V.; Mark, A.N. Adaptive waveform design and sequential hypothesis testing for target recognition with active sensors. IEEE J. Sel. Top. Signal Process. 2007, 1, 105–113. [Google Scholar]
- Wu, H.; Song, Z.; Fan, H.; Fu, Q. Designing sequence with low sidelobe levels at specified intervals based on PSD fitting. Electron. Lett. 2015, 51, 99–101. [Google Scholar] [CrossRef]
- Patton, L.K.; Rigling, B.D. Modulus constraints in adaptive radar waveform design. In Proceedings of the IEEE Radar Conference 2008, Roma, Italy, 26–30 May 2008; pp. 1–6. [Google Scholar]
- Tropp, J.; Dhillon, I.; Heath, R.; Strohmer, T. Designing structured tight frames via an alternating projection method. IEEE Trans. Inf. Theory 2005, 51, 188–209. [Google Scholar] [CrossRef]
















Disclaimer/Publisher’s Note: The statements, opinions and data contained in all publications are solely those of the individual author(s) and contributor(s) and not of MDPI and/or the editor(s). MDPI and/or the editor(s) disclaim responsibility for any injury to people or property resulting from any ideas, methods, instructions or products referred to in the content. |
© 2023 by the authors. Licensee MDPI, Basel, Switzerland. This article is an open access article distributed under the terms and conditions of the Creative Commons Attribution (CC BY) license (https://creativecommons.org/licenses/by/4.0/).
Share and Cite
Hou, M.; Xie, W.; Xiong, Y.; Li, H.; Qu, Q.; Lei, Z. Optimizing an Algorithm Designed for Sparse-Frequency Waveforms for Use in Airborne Radars. Remote Sens. 2023, 15, 4322. https://doi.org/10.3390/rs15174322
Hou M, Xie W, Xiong Y, Li H, Qu Q, Lei Z. Optimizing an Algorithm Designed for Sparse-Frequency Waveforms for Use in Airborne Radars. Remote Sensing. 2023; 15(17):4322. https://doi.org/10.3390/rs15174322
Chicago/Turabian StyleHou, Ming, Wenchong Xie, Yuanyi Xiong, Hu Li, Qizhe Qu, and Zhenshuo Lei. 2023. "Optimizing an Algorithm Designed for Sparse-Frequency Waveforms for Use in Airborne Radars" Remote Sensing 15, no. 17: 4322. https://doi.org/10.3390/rs15174322
APA StyleHou, M., Xie, W., Xiong, Y., Li, H., Qu, Q., & Lei, Z. (2023). Optimizing an Algorithm Designed for Sparse-Frequency Waveforms for Use in Airborne Radars. Remote Sensing, 15(17), 4322. https://doi.org/10.3390/rs15174322

