NDVI Response to Satellite-Estimated Antecedent Precipitation in Dryland Pastures
Abstract
1. Introduction
2. Materials and Methods
2.1. Study Site
2.2. Normalized Difference Vegetation Index (NDVI) and Accumulated Antecedent Is Precipitation (AAP)
2.3. Gauged and Satellite Estimated Precipitation Data
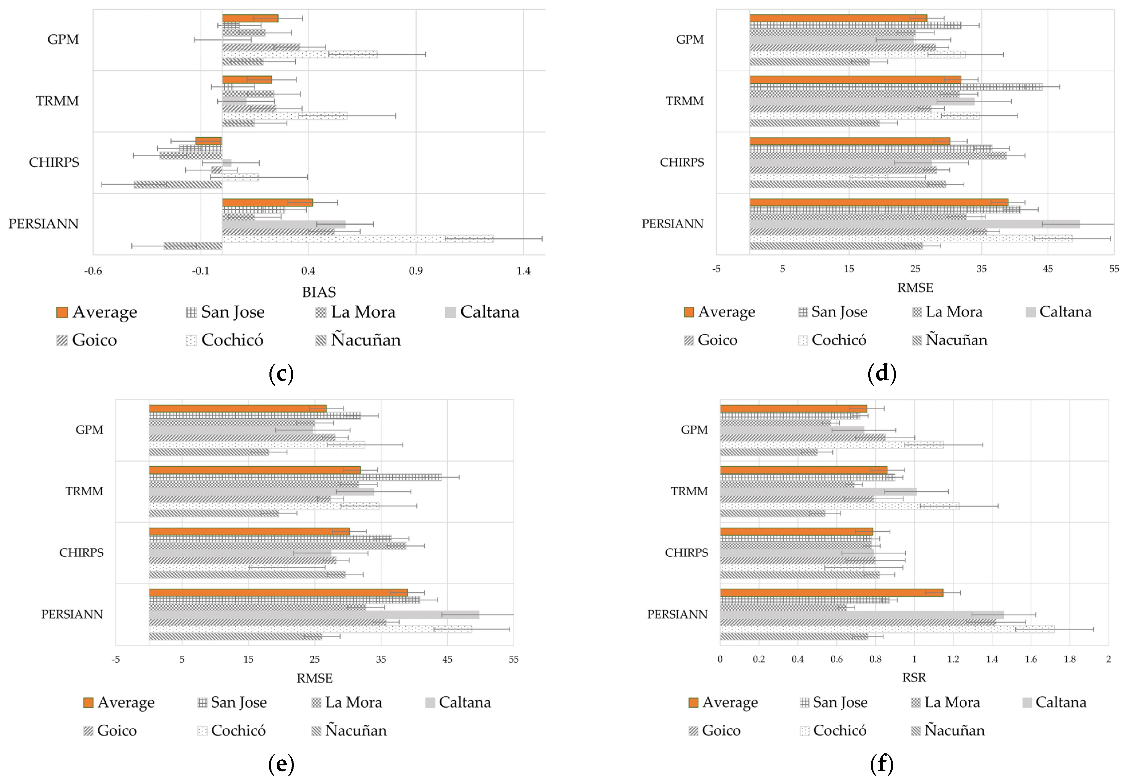
2.4. Data Analysis
3. Results
3.1. Gauged and Estimated Precipitation Comparison
3.1.1. Pixel-to-Point Analysis
3.1.2. Pixel-to-Pixel Analysis
3.2. NDVI and Accumulated Antecedent Precipitation Analysis
4. Discussion
5. Conclusions
Supplementary Materials
Author Contributions
Funding
Data Availability Statement
Acknowledgments
Conflicts of Interest
References
- Saco, P.M.; Willgoose, G.R.; Hancock, G.R. Eco-geomorphology of banded vegetation patterns in arid and semi-arid regions. Hydrol. Earth Syst. Sci. 2007, 11, 1717–1730. [Google Scholar] [CrossRef]
- Saco, P.M.; Moreno-de las Heras, M. Ecogeomorphic coevolution of semiarid hillslopes: Emergence of banded and striped vegetation patterns through interaction of biotic and abiotic processes. Water Resour. Res. 2013, 49, 115–126. [Google Scholar] [CrossRef]
- Zhao, W.; Yu, X.; Xu, C.; Li, S.; Wu, G.; Yuan, W. Dynamic traceability effects of soil moisture on the precipitation–vegetation association in drylands. J. Hydrol. 2022, 615, 128645. [Google Scholar] [CrossRef]
- Tian, S.; Van Dijk, A.I.J.M.; Tregoning, P.; Renzullo, L.J. Forecasting dryland vegetation condition months in advance through satellite data assimilation. Nat. Commun. 2019, 10, 469. [Google Scholar] [CrossRef] [PubMed]
- Almalki, R.; Khaki, M.; Saco, P.M.; Rodriguez, J.F. Monitoring and Mapping Vegetation Cover Changes in Arid and Semi-Arid Areas Using Remote Sensing Technology: A Review. Remote Sens. 2022, 14, 5143. [Google Scholar] [CrossRef]
- Zeng, L.; Wardlow, B.D.; Xiang, D.; Hu, S.; Li, D. A review of vegetation phenological metrics extraction using time-series, multispectral satellite data. Remote Sens. Environ. 2020, 237, 111511. [Google Scholar] [CrossRef]
- Joiner, J.; Yoshida, Y.; Anderson, M.; Holmes, T.; Hain, C.; Reichle, R.; Koster, R.; Middleton, E.; Zeng, F.-W. Global relationships among traditional reflectance vegetation indices (NDVI and NDII), evapotranspiration (ET), and soil moisture variability on weekly timescales. Remote Sens. Environ. 2018, 219, 339–352. [Google Scholar] [CrossRef]
- Ruppert, J.C.; Holm, A.; Miehe, S.; Muldavin, E.; Snyman, H.A.; Wesche, K.; Linstädter, A. Meta-analysis of ANPP and rain-use efficiency confirms indicative value for degradation and supports non-linear response along precipitation gradients in drylands. J. Veg. Sci. 2012, 23, 1035–1050. [Google Scholar] [CrossRef]
- Zhao, Y.; Wang, X.; Vázquez-Jiménez, R. Evaluating the performance of remote sensed rain-use efficiency as an indicator of ecosystem functioning in semi-arid ecosystems. Int. J. Remote Sens. 2018, 39, 3344. [Google Scholar] [CrossRef]
- Baldassini, P.; Volante, J.N.; Califano, L.M.; Paruelo, J.M. Caracterización regional de la estructura y de la productividad de la vegetación de la Puna mediante el uso de imágenes MODIS / Regional characterization of the structure and productivity of the vegetation of the Puna using MODIS images. Ecol. Austral 2012, 22, 22–32. [Google Scholar]
- Qin, X.-J.; Hong, J.-T.; Ma, X.-X.; Wang, X.-D. Global patterns in above-ground net primary production and precipitation-use efficiency in grasslands. J. Mt. Sci. 2018, 15, 1682–1692. [Google Scholar] [CrossRef]
- Saco, P.M.; Moreno-de las Heras, M.; Keesstra, S.; Baartman, J.; Yetemen, O.; Rodríguez, J.F. Vegetation and soil degradation in drylands: Non linear feedbacks and early warning signals. Curr. Opin. Environ. Sci. Health 2018, 5, 67–72. [Google Scholar] [CrossRef]
- Saco, P.M.; Rodríguez, J.F.; Moreno-de las Heras, M.; Keesstra, S.; Azadi, S.; Sandi, S.; Baartman, J.; Rodrigo-Comino, J.; Rossi, M.J. Using hydrological connectivity to detect transitions and degradation thresholds: Applications to dryland systems. CATENA 2020, 186, 104354. [Google Scholar] [CrossRef]
- López-Pérez, A.; Martínez-Menes, M.R.; Fernández-Reynoso, D.S. Priorización de áreas de intervención mediante análisis morfométrico e índice de vegetación. Technol. Cienc. Agua 2015, 6, 121–137. [Google Scholar]
- Pasquarella, V.J.; Holden, C.E.; Woodcock, C.E. Improved mapping of forest type using spectral-temporal Landsat features. Remote Sens. Environ. 2018, 210, 193–207. [Google Scholar] [CrossRef]
- Blanco, L.J.; Paruelo, J.M.; Oesterheld, M.; Biurrun, F.N.; Rocchini, D. Spatial and temporal patterns of herbaceous primary production in semi-arid shrublands: A remote sensing approach. J. Veg. Sci. 2016, 27, 716. [Google Scholar] [CrossRef]
- Jiapaer, G.; Chen, X.; Bao, A. A comparison of methods for estimating fractional vegetation cover in arid regions. Agric. For. Meteorol. 2011, 151, 1698–1710. [Google Scholar] [CrossRef]
- Sandi, S.G.; Rodriguez, J.F.; Saintilan, N.; Wen, L.; Kuczera, G.; Riccardi, G.; Saco, P.M. Resilience to drought of dryland wetlands threatened by climate change. Sci. Rep. 2020, 10, 13232. [Google Scholar] [CrossRef]
- Souza, R.; Hartzell, S.; Feng, X.; Dantas Antonino, A.C.; de Souza, E.S.; Cezar Menezes, R.S.; Porporato, A. Optimal management of cattle grazing in a seasonally dry tropical forest ecosystem under rainfall fluctuations. J. Hydrol. 2020, 588, 125102. [Google Scholar] [CrossRef]
- Hill, M.J.; Guerschman, J.P. The MODIS Global Vegetation Fractional Cover Product 2001–2018: Characteristics of Vegetation Fractional Cover in Grasslands and Savanna Woodlands. Remote Sens. 2020, 12, 406. [Google Scholar] [CrossRef]
- Guerschman, J.P.; Hill, M.J.; Leys, J.; Heidenreich, S. Vegetation cover dependence on accumulated antecedent precipitation in Australia: Relationships with photosynthetic and non-photosynthetic vegetation fractions. Remote Sens. Environ. 2020, 240, 111670. [Google Scholar] [CrossRef]
- Li, H.; Wei, X.; Zhou, H. Rain-use efficiency and NDVI-based assessment of karst ecosystem degradation or recovery: A case study in Guangxi, China. Environ. Earth Sci. 2015, 74, 977–984. [Google Scholar] [CrossRef]
- Ma, J.; Jia, X.; Zha, T.; Bourque, C.P.A.; Tian, Y.; Bai, Y.; Liu, P.; Yang, R.; Li, C.; Li, C.; et al. Ecosystem water use efficiency in a young plantation in Northern China and its relationship to drought. Agric. For. Meteorol. 2019, 275, 1–10. [Google Scholar] [CrossRef]
- Dembélé, M.; Zwart, S.J. Evaluation and comparison of satellite-based rainfall products in Burkina Faso, West Africa. Int. J. Remote Sens. 2016, 37, 3995–4014. [Google Scholar] [CrossRef]
- Banerjee, A.; Chen, R.; Meadows, M.E.; Singh, R.B.; Mal, S.; Sengupta, D. An Analysis of Long-Term Rainfall Trends and Variability in the Uttarakhand Himalaya Using Google Earth Engine. Remote Sens. 2020, 12, 709. [Google Scholar] [CrossRef]
- Muhammad, E.; Muhammad, W.; Ahmad, I.; Muhammad Khan, N.; Chen, S. Satellite precipitation product: Applicability and accuracy evaluation in diverse region. Sci. China Technol. Sci. 2020, 63, 819–828. [Google Scholar] [CrossRef]
- Toté, C.; Patricio, D.; Boogaard, H.; Van der Wijngaart, R.; Tarnavsky, E.; Funk, C. Evaluation of Satellite Rainfall Estimates for Drought and Flood Monitoring in Mozambique. Remote Sens. 2015, 7, 1758–1776. [Google Scholar] [CrossRef]
- Woldemeskel, F.M.; Sivakumar, B.; Sharma, A. Merging gauge and satellite rainfall with specification of associated uncertainty across Australia. J. Hydrol. 2013, 499, 167–176. [Google Scholar] [CrossRef]
- Tozer, C.R.; Kiem, A.S.; Verdon-Kidd, D.C. On the uncertainties associated with using gridded rainfall data as a proxy for observed. Hydrol. Earth Syst. Sci. 2012, 16, 1481–1499. [Google Scholar] [CrossRef]
- Kiem, A.S.; Austin, E.K.; Verdon-Kidd, D.C. Water resource management in a variable and changing climate: Hypothetical case study to explore decision making under uncertainty. J. Water Clim. Chang. 2015, 7, 263–279. [Google Scholar] [CrossRef]
- Gibson, A.J.; Verdon-Kidd, D.C.; Hancock, G.R.; Willgoose, G. Catchment-scale drought: Capturing the whole drought cycle using multiple indicators. Hydrol. Earth Syst. Sci. 2020, 24, 1985–2002. [Google Scholar] [CrossRef]
- Sun, Q.; Miao, C.; Duan, Q.; Ashouri, H.; Sorooshian, S.; Hsu, K.-L. A Review of Global Precipitation Data Sets: Data Sources, Estimation, and Intercomparisons. Rev. Geophys. 2018, 56, 79–107. [Google Scholar] [CrossRef]
- Abraham, E.; del Valle, H.F.; Roig, F.; Torres, L.; Ares, J.O.; Coronato, F.; Godagnone, R. Overview of the geography of the Monte Desert biome (Argentina). J. Arid Environ. 2009, 73, 144–153. [Google Scholar] [CrossRef]
- Cruzate, G.; Gomez, L.; Pizarro, M.J.; Mercuri, P.; Banchero, S. Suelos de la República Argentina. SAGyP-INTA-Proy. PNUD ARG/85/019; 2007. Available online: http://www.geointa.inta.gob.ar/2013/05/26/suelos-de-la-republica-argentina/ (accessed on 18 March 2020).
- Abraham, E. Geomorfología de la Provincia de Mendoza. Argent. Recur. Y Probl. Ambient. De La Zona Árida 2000, 29–48. Available online: https://www.researchgate.net/publication/285798616_Geomorfologia_de_la_Provincia_de_Mendoza (accessed on 5 April 2020).
- Cabrera, A.L. Regiones Fitogeográficas Argentinas. In Enciclopedia Argentina de Agricultura y Jardinería; ACME SACI: Buenos Aires, Argentina, 1976; Volume 2, p. 85. [Google Scholar]
- MAyDS, I.-P. Manejo Sustentable de Tierras en las Zonas Secas del Noroeste Argentino. PNUD ARG/14/G55. Tech. Rep. PNUD Third Progress Report; 2020; p. 158. Available online: https://inta.gob.ar/sites/default/files/pnud_arg_14_g55_avance_informe_3_version_final.pdf (accessed on 20 December 2020).
- Mora, S.; Orozco, A.; Eraso, V.y.; Montecinos, F. Evaluación de alternativas tecnológicas para Ia recuperación de pastizales psamofitos en el sur de Mendoza. Rev. Argent. Prod. Anim. 2008, 28, 194. [Google Scholar]
- Olmedo, G.; Vallone, R.; Tacchini, F.; Naldini, E. Zonificación de la Vegetación y de Áreas Ganaderas de la Zona Árida del Departamento de General Alvear. 2014, pp. 23–36. Available online: https://www.researchgate.net/publication/278668151_Zonificacion_de_la_vegetacion_y_de_Areas_Ganaderas_de_la_Zona_Arida_del_Departamento_de_General_Alvear (accessed on 27 February 2020).
- Mendoza, C.G.D. Caracterización 2019. Ministerio de Economía y Energía; Subsecretría de A.Y.G., Ed.; Cluster Ganadero de Mendoza: Mendoza, Argentina, 2019; p. 21. [Google Scholar]
- Didan, K. MOD13Q1 MODIS/Terra Vegetation Indices 16-Day L3 Global 250m SIN Grid V006; Daac, N.E.L.P., Ed.; NASA: Washington, DC, USA, 2015. Available online: https://lpdaac.usgs.gov (accessed on 4 August 2020).
- Huffman, G.J.; Stocker, E.F.; Bolvin, D.T.; Nelkin, E.J.; Tan, J. GPM IMERG Final Precipitation L3 1 Month 0.1 Degree x 0.1 Degree V06; NASA: Washington, DC, USA, 2019. Available online: https://disc.gsfc.nasa.gov/datasets/GPM_3IMERGM_06/summary (accessed on 14 August 2020).
- Adler, R.F.; Sapiano, M.; Huffman, G.J.; Wang, J.; Gu, G.; Bolvin, D.; Chiu, L.; Schneider, U.; Becker, A.; Nelkin, E.; et al. The Global Precipitation Climatology Project (GPCP) Monthly Analysis (New Version 2.3) and a Review of 2017 Global Precipitation. Atmosphere 2018, 9, 138. [Google Scholar] [CrossRef]
- Funk, C.; Peterson, P.; Landsfeld, M.; Pedreros, D.; Verdin, J.; Shukla, S.; Husak, G.; Rowland, J.; Harrison, L.; Hoell, A.; et al. The climate hazards infrared precipitation with stations—A new environmental record for monitoring extremes. Sci. Data 2015, 2, 150066. [Google Scholar] [CrossRef]
- Ashouri, H.; Hsu, K.-L.; Sorooshian, S.; Braithwaite, D.K.; Knapp, K.R.; Cecil, L.D.; Nelson, B.R.; Prat, O.P. PERSIANN-CDR: Daily Precipitation Climate Data Record from Multisatellite Observations for Hydrological and Climate Studies. Bull. Am. Meteorol. Soc. 2015, 96, 69–83. [Google Scholar] [CrossRef]
- Duan, Z.; Bastiaanssen, W.G.M.; Liu, J. Monthly and annual validation of TRMM Mulitisatellite Precipitation Analysis (TMPA) products in the Caspian Sea Region for the period 1999–2003. In Proceedings of the IEEE International Geoscience and Remote Sensing Symposium, Munich, Germany, 22–27 July 2012; pp. 3696–3699. [Google Scholar] [CrossRef]
- Moriasi, D.N.; Arnold, J.G.; Van Liew, M.W.; Bingner, R.L.; Harmel, R.D.; Veith, T.L. Model Evaluation Guidelines for Systematic Quantification of Accuracy in Watershed Simulations. Trans. ASABE 2007, 50, 885–900. [Google Scholar] [CrossRef]
- Ponce, V.M. Engineering Hydrology: Principles and Practices; Prentice Hall: Englewood Cliffs, NJ, USA, 1989; Volume 640. [Google Scholar]
- Gao, F.; Zhang, Y.; Chen, Q.; Wang, P.; Yang, H.; Yao, Y.; Cai, W. Comparison of two long-term and high-resolution satellite precipitation datasets in Xinjiang, China. Atmos. Res. 2018, 212, 150–157. [Google Scholar] [CrossRef]
- Calori, A.; Santos, J.R.; Blanco, M.; Pessano, H.; Llamedo, P.; Alexander, P.; de la Torre, A. Ground-based GNSS network and integrated water vapor mapping during the development of severe storms at the Cuyo region (Argentina). Atmos. Res. 2016, 176–177, 267–275. [Google Scholar] [CrossRef]
- Long, X.; Guan, H.; Sinclair, R.; Batelaan, O.; Facelli, J.M.; Andrew, R.L.; Bestland, E. Response of vegetation cover to climate variability in protected and grazed arid rangelands of South Australia. J. Arid. Environ. 2019, 161, 64–71. [Google Scholar] [CrossRef]











| Gauge Stations | Data Availability | Provider/Source | Spatial Resolution | Observed Precipitation |
|---|---|---|---|---|
| Ñacuñan * | 2008-05-01/2019-08-23 | IADIZA | Point | mm/day |
| Ñacuñan * | 1919–2019 | IADIZA | Point | mm/month |
| El Goico * | 1993-01-01/2019-12-31 | NSHI | Point | mm/day |
| Puesto La Mora * | 1983-07-01/2020-06-30 | NSHI | Point | mm/day |
| San Jose ** | 1984-01/2019-03 | Local farmer | Point | mm/month |
| Caltana ** | 2011-01-01/2020-07-31 | Local farmer | Point | mm/day |
| Cochicó * | 2008-09-10/2019-08-22 | IADIZA | Point | mm/day |
| Rama Caída*** | 01-09-1968–today | INTA | Point | mm/day |
| Puesto Marfil *** | 01-11-2008/31-07-2019 | NSHI | Point | mm/day |
| Navia *** | 01-08-2002/31-03-2021 | NSHI | Point | mm/day |
| Image Collections | Data Availability | Provider/Source | Spatial Resolution | Temporal Resolution | Estimated Precipitation |
|---|---|---|---|---|---|
| TRMM Daily/Monthly | 1998-01-01 | NASA ee.ImageCollection(“TRMM/3B42”) | 0.25 degrees | 3-h | mm/h |
| GPM Daily/Monthly | 2000-06-01 | NASA ee.ImageCollection(“NASA/GPM_L3/IMERG_V06”) | 0.1 degrees | 30 min/3 h/daily | mm/h |
| CHIRPS | 1981-01-01 | UCSB/CHG ee.ImageCollection(“UCSB-CHG/CHIRPS/DAILY”) | 0.05 degrees | Daily | mm/day |
| PERSIANN | 1983-01-01 | NOAA UC-IRVINE/CHRS ee.ImageCollection(“NOAA/PERSIANN-CDR”) | 0.25 degrees | Daily | mm/day |
| Ñacuñan | Cochicó | Goico | Caltana | La Mora | |
|---|---|---|---|---|---|
| PERSIANN | 0.34 | 0.30 | 0.29 | 0.14 | 0.32 |
| CHIRPS | 0.32 | 0.39 | 0.25 | 0.14 | 0.24 |
| TRMM | 0.63 | 0.44 | 0.29 | 0.22 | 0.36 |
| GPM | 0.65 | 0.44 | 0.35 | 0.35 | 0.40 |
| r | ME | BIAS | NSEC | RMSE | RSR | |
|---|---|---|---|---|---|---|
| PERSIANN | 0.62 | 15.58 | 0.42 | −0.30 | 38.97 | 1.15 |
| CHIRPS | 0.68 | −4.91 | −0.12 | 0.39 | 30.23 | 0.78 |
| TRMM | 0.74 | 6.94 | 0.23 | 0.21 | 31.88 | 0.86 |
| GPM | 0.78 | 7.32 | 0.26 | 0.39 | 26.74 | 0.75 |
| r | ME | BIAS | NSEC | RMSE | RSR | |
|---|---|---|---|---|---|---|
| PERSIANN | 0.73 | 183.97 | 0.51 | −5.07 | 229.84 | 1.85 |
| CHIRPS | 0.72 | −49.25 | −0.12 | 0.03 | 120.26 | 0.80 |
| TRMM | 0.74 | 84.14 | 0.23 | −2.64 | 235.61 | 1.54 |
| GPM | 0.79 | 92.91 | 0.27 | −1.13 | 142.86 | 1.13 |
| r | ME | BIAS | NSEC | RMSE | RSR | |
|---|---|---|---|---|---|---|
| Ñacuñan | 0.83 | 1.62 | −0.09 | 0.56 | 23.35 | 0.66 |
| Cochicó | 0.67 | 16.87 | 0.68 | −0.56 | 34.20 | 1.21 |
| Goico | 0.67 | 7.61 | 0.27 | 0.24 | 29.86 | 0.96 |
| Caltana | 0.60 | 6.08 | 0.18 | −0.09 | 33.94 | 1.00 |
| La Mora | 0.79 | 2.91 | 0.08 | 0.54 | 32.02 | 0.67 |
| San Jose | 0.66 | 2.30 | 0.06 | 0.33 | 38.38 | 0.82 |
| r | ME | BIAS | NSEC | RMSE | RSR | |
|---|---|---|---|---|---|---|
| Ñacuñan | 0.88 | 25.03 | 0.07 | 0.05 | 102.08 | 0.71 |
| Cochicó | 0.76 | 202.05 | 0.68 | −9.71 | 232.70 | 2.65 |
| Goico | 0.80 | 101.17 | 0.27 | −0.03 | 143.46 | 0.96 |
| Caltana | 0.63 | 70.74 | 0.18 | −1.27 | 151.58 | 1.25 |
| La Mora | 0.80 | 42.73 | 0.09 | −2.29 | 283.40 | 1.44 |
| San Jose | 0.61 | 25.94 | 0.05 | 0.02 | 179.63 | 0.97 |
| Caltana CHIRPS | Caltana Gauge | San José CHIRPS | San José Gauge | ||
|---|---|---|---|---|---|
| Caltana Gauge | 0.65 | 1 | San José gauge | 0.68 | 1 |
| Caltana interpolated | 0.88 | 0.71 | San José interpolated | 0.83 | 0.76 |
| Caltana GPM | Caltana Gauge | San José GPM | San José Gauge | ||
|---|---|---|---|---|---|
| Caltana Gauge | 0.74 | 1 | San José gauge | 0.72 | 1 |
| Caltana interpolated | 0.89 | 0.71 | San José interpolated | 0.83 | 0.77 |
Disclaimer/Publisher’s Note: The statements, opinions and data contained in all publications are solely those of the individual author(s) and contributor(s) and not of MDPI and/or the editor(s). MDPI and/or the editor(s) disclaim responsibility for any injury to people or property resulting from any ideas, methods, instructions or products referred to in the content. |
© 2023 by the authors. Licensee MDPI, Basel, Switzerland. This article is an open access article distributed under the terms and conditions of the Creative Commons Attribution (CC BY) license (https://creativecommons.org/licenses/by/4.0/).
Share and Cite
Brieva, C.; Saco, P.M.; Sandi, S.G.; Mora, S.; Rodríguez, J.F. NDVI Response to Satellite-Estimated Antecedent Precipitation in Dryland Pastures. Remote Sens. 2023, 15, 3615. https://doi.org/10.3390/rs15143615
Brieva C, Saco PM, Sandi SG, Mora S, Rodríguez JF. NDVI Response to Satellite-Estimated Antecedent Precipitation in Dryland Pastures. Remote Sensing. 2023; 15(14):3615. https://doi.org/10.3390/rs15143615
Chicago/Turabian StyleBrieva, Carlos, Patricia M. Saco, Steven G. Sandi, Sebastián Mora, and José F. Rodríguez. 2023. "NDVI Response to Satellite-Estimated Antecedent Precipitation in Dryland Pastures" Remote Sensing 15, no. 14: 3615. https://doi.org/10.3390/rs15143615
APA StyleBrieva, C., Saco, P. M., Sandi, S. G., Mora, S., & Rodríguez, J. F. (2023). NDVI Response to Satellite-Estimated Antecedent Precipitation in Dryland Pastures. Remote Sensing, 15(14), 3615. https://doi.org/10.3390/rs15143615

