Directional and High-Gain Ultra-Wideband Bow-Tie Antenna for Ground-Penetrating Radar Applications
Abstract
1. Introduction
2. Antenna Design and Simulation
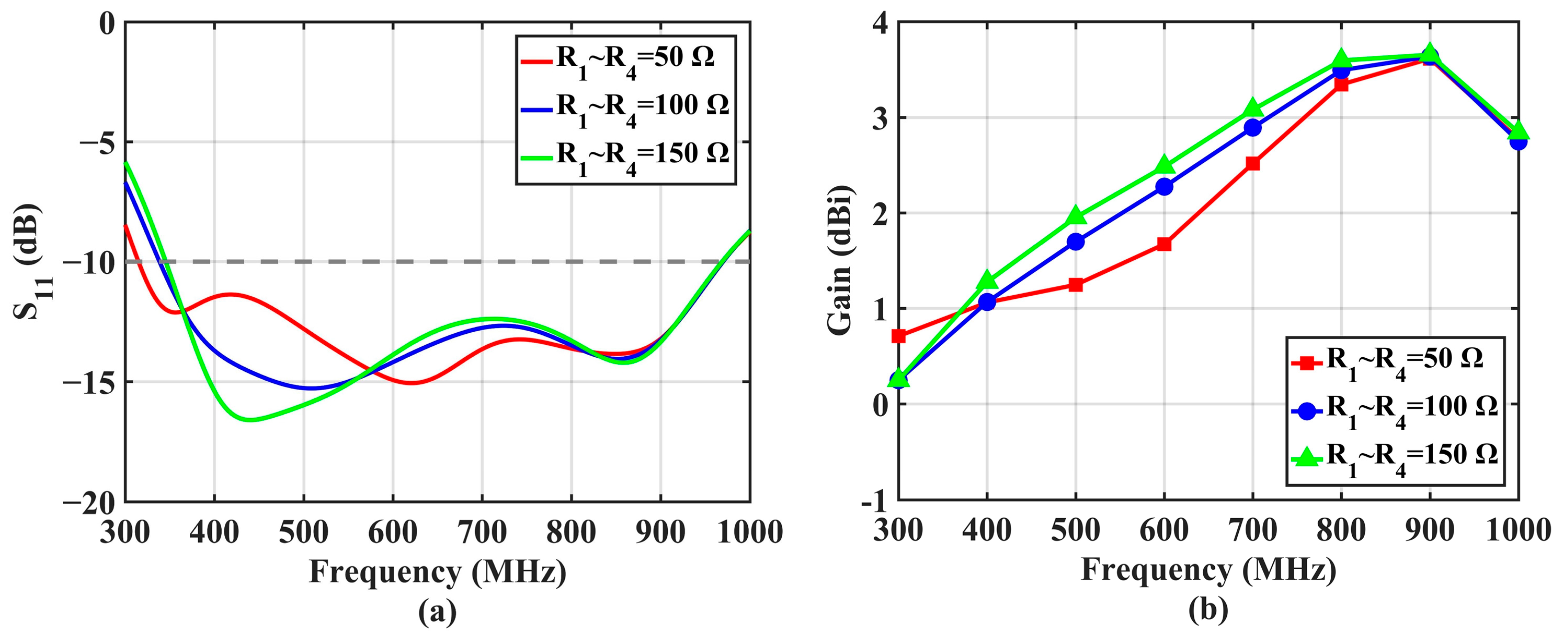
2.1. Resistive Loaded Bow-Tie Antenna
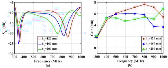
2.2. Metal Reflector and Metamaterial
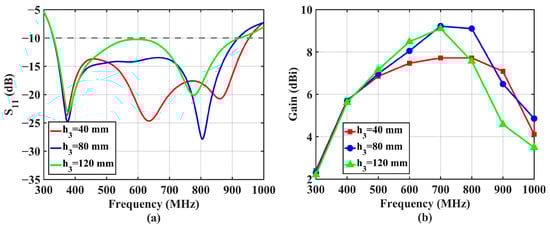
2.3. Directional Gain Enhancer
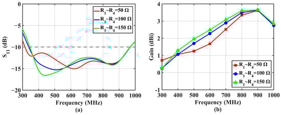
3. Results and Discussion
4. Experimental Case
4.1. Case 1: Sand Tank Experiment
4.2. Case 2: Outdoor Experiment
5. Conclusions
Author Contributions
Funding
Data Availability Statement
Conflicts of Interest
References
- Daniels, D.J. Ground Penetrating Radar; The Institution of Electrical Engineers: London, UK, 2004; p. 726. [Google Scholar]
- Jol, H.M. Ground Penetrating Radar: Theory and Applications; Elsevier Science: Amsterdam, The Netherlands, 2009; p. 544. [Google Scholar]
- Reynolds, J.M. An Introduction to Applied and Environmental Geophysics, 2nd ed.; Wiley: New York, NY, USA, 2011. [Google Scholar]
- Wai-Lok Lai, W.; Dérobert, X.; Annan, P. A Review of Ground Penetrating Radar Application in Civil Engineering: A 30-Year Journey from Locating and Testing to Imaging and Diagnosis. NDT E Int. 2018, 96, 58–78. [Google Scholar] [CrossRef]
- Solla, M.; Pérez-Gracia, V.; Fontul, S. A review of GPR application on transport infrastructures: Troubleshooting and best practices. Remote Sens. 2021, 13, 672. [Google Scholar] [CrossRef]
- Srivastav, A.; Nguyen, P.; McConnell, M.; Loparo, K.A.; Mandal, S. A highly digital multiantenna ground-penetrating radar (GPR) system. IEEE Trans. Instrum. Meas. 2020, 69, 7422–7436. [Google Scholar] [CrossRef]
- Zhou, X.; Chen, H.; Li, J. An automatic GPR B-scan image interpreting model. IEEE Trans. Geosci. Remote Sens. 2018, 56, 3398–3412. [Google Scholar] [CrossRef]
- Zeng, Z.; Li, J.; Huang, L.; Feng, X.; Liu, F. Improving target detection accuracy based on multipolarization MIMO GPR. IEEE Trans. Geosci. Remote Sens. 2014, 53, 15–24. [Google Scholar] [CrossRef]
- Wu, B.; Ji, Y.; Fang, G. Analysis of GPR UWB half-ellipse antennas with different heights of backed cavity above ground. IEEE Antennas Wirel. Propag. Lett. 2010, 9, 130–133. [Google Scholar] [CrossRef]
- Aboudourib, A.; Serhir, M.; Lesselier, D. A processing framework for tree-root reconstruction using ground-penetrating radar under heterogeneous soil conditions. IEEE Trans. Geosci. Remote Sens. 2020, 59, 208–219. [Google Scholar] [CrossRef]
- Wu, Y.; Shen, F.; Xu, D.; Liu, R. An ultra-wideband antenna with low dispersion for ground penetrating radar system. IEEE Sensors J. 2021, 21, 15171–15179. [Google Scholar] [CrossRef]
- Ruengwaree, A.; Ghose, A.; Kompa, G. A novel UWB rugby-ball antenna for near-range microwave radar system. IEEE Trans. Microwave Theory Tech. 2006, 54, 2774–2779. [Google Scholar] [CrossRef]
- Saitou, A.; Aoki, K.; Honjo, K.; Watanabe, K. Design considerations on the minimum size of broadband antennas for UWB applications. IEEE Trans. Microwave Theory Tech. 2008, 56, 15–21. [Google Scholar] [CrossRef]
- Marchais, C.; Le Ray, G.; Sharaiha, A. Stripline slot antenna for UWB communications. IEEE Antennas Wirel. Propag. Lett. 2006, 5, 319–322. [Google Scholar] [CrossRef]
- Osaretin, I.A.; Torres, A.; Chen, C.C. A novel compact dual-linear polarized UWB antenna for VHF/UHF applications. IEEE Antennas Wirel. Propag. Lett. 2009, 8, 145–148. [Google Scholar] [CrossRef]
- Sagnard, F.; Tebchrany, E. Using polarization diversity in the detection of small discontinuities by an ultra-wide band ground-penetrating radar. Measurement 2015, 61, 129–141. [Google Scholar] [CrossRef]
- Shao, J.; Fang, G.; Fan, J.; Ji, Y.; Yin, H. TEM horn antenna loaded with absorbing material for GPR applications. IEEE Antennas Wirel. Propag. Lett. 2014, 13, 523–527. [Google Scholar] [CrossRef]
- Hu, Z.; Zeng, Z.; Wang, K.; Feng, W.; Zhang, J.; Lu, Q.; Kang, X. Design and Analysis of a UWB MIMO Radar System with Miniaturized Vivaldi Antenna for Through-Wall Imaging. Remote Sens. 2019, 11, 1867. [Google Scholar] [CrossRef]
- Li, G.; Mi, J.; He, Y.; Wang, T. Design of ultra-wideband folded antenna for ground penetrating radar. In Proceedings of the 2020 IEEE 1st China International Youth Conference on Electrical Engineering (CIYCEE), Wuhan, China, 1–4 November 2020. [Google Scholar]
- Nayak, R.; Maiti, S. A review of Bow-Tie antennas for GPR applications. IETE Tech. Rev. 2019, 36, 382–397. [Google Scholar] [CrossRef]
- Serhir, M.; Lesselier, D. Wideband reflector-backed folded bowtie antenna for ground penetrating radar. IEEE Trans. Antennas Propag. 2017, 66, 1056–1063. [Google Scholar] [CrossRef]
- Li, X.; Ji, Y.C.; Lu, W.; Fang, G. Analysis of GPR Antenna System Mounted on a Vehicle. IEEE Antennas Wirel. Propag. Lett. 2013, 12, 575–578. [Google Scholar] [CrossRef]
- Li, Y.; Chen, J. Design of miniaturized high gain bow-tie antenna. IEEE Trans. Antennas Propag. 2021, 70, 738–743. [Google Scholar] [CrossRef]
- Ajith, K.K.; Bhattacharya, A. A Novel Compact Super wide band Bowtie Antenna for 420 MHz to 5.5 GHz Operation. IEEE Trans. Antennas. Propag. 2018, 66, 3830–3836. [Google Scholar] [CrossRef]
- Qu, S.W.; Li, J.L.; Xue, Q.; Chan, C.H. Wideband cavity-backed bowtie antenna with pattern improvement. IEEE Trans. Antennas Propag. 2008, 56, 3850–3854. [Google Scholar] [CrossRef]
- Qu, S.W.; Li, J.L.; Xue, Q.; Chan, C.H.; Li, S. Wideband and unidirectional cavity-backed folded triangular bowtie antenna. IEEE Trans. Antennas Propag. 2009, 57, 1259–1263. [Google Scholar] [CrossRef]
- Yektakhah, B.; Chiu, J.; Alsallum, F.; Sarabandi, K. Low-Profile, Low-Frequency, UWB Antenna for Imaging of Deeply Buried Targets. IEEE Geosci. Remote Sens. Lett. 2020, 17, 1168–1172. [Google Scholar] [CrossRef]
- Caratelli, D.; Yarovoy, A.; Ligthart, L.P. Full-wave analysis of cavity-backed resistively loaded bow-tie antennas for GPR applications. In Proceedings of the 2008 European Radar Conference, Amsterdam, The Netherlands, 30–31 October 2008. [Google Scholar]
- Darvazehban, A.; Rezaeieh, S.A.; Abbosh, A. Wideband beam-switched bow-tie antenna with inductive reflector. IEEE Antennas Wirel. Propag. Lett. 2020, 19, 1724–1728. [Google Scholar] [CrossRef]
- Wang, Z.; Yang, Z.; Zeng, W.; Zhao, X.; Guo, L.; Guo, M. A high-gain bow-tie antenna with phase gradient metasurface lens. Int. J. RF Microw. Comput.-Aided Eng. 2021, 31, 22847. [Google Scholar] [CrossRef]
- Feng, D.; Zhai, H.; Xi, L.; Yang, S.; Zhang, K.; Yang, D. A broadband low-profile circular-polarized antenna on an AMC reflector. IEEE Antennas Wirel. Propag. Lett. 2017, 16, 2840–2843. [Google Scholar] [CrossRef]
- Van Verre, W.; Podd, F.J.; Gao, X.; Daniels, D.J.; Peyton, A.J. A review of passive and active ultra-wideband baluns for use in ground penetrating radar. Remote Sens. 2021, 13, 1899. [Google Scholar] [CrossRef]
- Li, K.; Dong, T.; Xia, Z. Improvement of bow-tie antenna for ground penetrating radar. In Proceedings of the 2019 International Conference on Microwave and Millimeter Wave Technology (ICMMT), Guangzhou, China, 19–22 May 2019. [Google Scholar]
- Yang, G.; Ye, S.; Ji, Y.; Zhang, X.; Fang, G. Radiation Enhancement of an Ultrawideband Unidirectional Folded Bowtie Antenna for GPR Applications. IEEE Access 2020, 8, 182218–182228. [Google Scholar] [CrossRef]
























| Parameter | W0 | W1 | W2 | W3 | r | L0 | L1 | L2 | L3 | θ |
|---|---|---|---|---|---|---|---|---|---|---|
| Value | 250 mm | 40 mm | 5 mm | 3.8 mm | 20 mm | 360 mm | 170 mm | 196 mm | 125 mm | 160° |
| Ref. | Lowest Frequency | Bandwidth | Size | Peak Gain below 900 MHz | Application |
|---|---|---|---|---|---|
| [11] | 250 MHz | 102.9% | 0.38 λl × 0.05 λl | 3.7 dBi | GPR |
| [22] | 250 MHz | 100% | 0.63 λl × 0.25 λl | −7.5 dBi | GPR |
| [24] | 420 MHz | 171.6% | 0.32 λl × 0.32 λl | 5 dBi | GPR |
| [29] | 800 MHz | 37% | 0.60 λl × 0.60 λl | 9 dBi | / |
| [34] | 250 MHz | 109% | 0.25 λl × 0.15 λl | 4 dBi | GPR |
| This work | 317 MHz | 98.6% | 0.38 λl × 0.38 λl | 9.3 dBi | GPR |
| Target | Material | Diameter (m) | Depth (m) |
|---|---|---|---|
| 1 | PVC | 0.4 | 0.4 |
| 2 | Copper | 0.4 | 0.5 |
| 3 | Copper | 0.4 | 0.4 |
| 4 | PVC | 0.3 | 0.3 |
| 5 | Copper | 0.4 | 0.4 |
Disclaimer/Publisher’s Note: The statements, opinions and data contained in all publications are solely those of the individual author(s) and contributor(s) and not of MDPI and/or the editor(s). MDPI and/or the editor(s) disclaim responsibility for any injury to people or property resulting from any ideas, methods, instructions or products referred to in the content. |
© 2023 by the authors. Licensee MDPI, Basel, Switzerland. This article is an open access article distributed under the terms and conditions of the Creative Commons Attribution (CC BY) license (https://creativecommons.org/licenses/by/4.0/).
Share and Cite
Pi, S.; Wang, T.; Lin, J. Directional and High-Gain Ultra-Wideband Bow-Tie Antenna for Ground-Penetrating Radar Applications. Remote Sens. 2023, 15, 3522. https://doi.org/10.3390/rs15143522
Pi S, Wang T, Lin J. Directional and High-Gain Ultra-Wideband Bow-Tie Antenna for Ground-Penetrating Radar Applications. Remote Sensing. 2023; 15(14):3522. https://doi.org/10.3390/rs15143522
Chicago/Turabian StylePi, Shuai, Tianhao Wang, and Jun Lin. 2023. "Directional and High-Gain Ultra-Wideband Bow-Tie Antenna for Ground-Penetrating Radar Applications" Remote Sensing 15, no. 14: 3522. https://doi.org/10.3390/rs15143522
APA StylePi, S., Wang, T., & Lin, J. (2023). Directional and High-Gain Ultra-Wideband Bow-Tie Antenna for Ground-Penetrating Radar Applications. Remote Sensing, 15(14), 3522. https://doi.org/10.3390/rs15143522

