A Novel Deep Learning Network with Deformable Convolution and Attention Mechanisms for Complex Scenes Ship Detection in SAR Images
Abstract
1. Introduction
2. Materials and Methods
2.1. Revisiting FPN
2.2. Improved Structure of FPN with Deformable CNNs
2.3. Channel Attention Mechanism Introduced
2.4. Loss Function
3. Results and Discussion
3.1. Implement Details
3.1.1. Dataset
3.1.2. Evaluation Metrics
3.1.3. Implementation Details
3.2. Experimental Process
3.3. Experiments on HRSID
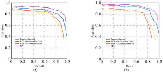
3.4. Comparison with Other Models
4. Conclusions
Author Contributions
Funding
Data Availability Statement
Conflicts of Interest
References
- Xiao, X.; Zhou, Z.; Wang, B.; Li, L.; Miao, L. Ship Detection under Complex Backgrounds Based on Accurate Rotated Anchor Boxes from Paired Semantic Segmentation. Remote Sens. 2019, 11, 2506. [Google Scholar] [CrossRef]
- Yang, Z.; Yu, X.; Dedman, S.; Rosso, M.; Zhu, J.; Yang, J.; Xia, Y.; Tian, Y.; Zhang, G.; Wang, J. UAV Remote Sensing Applications in Marine Monitoring: Knowledge Visualization and Review. Sci. Total Environ. 2022, 838, 155939. [Google Scholar] [CrossRef] [PubMed]
- Li, J.; Qu, C.; Shao, J. Ship Detection in SAR Images Based on an Improved Faster R-CNN. In Proceedings of the 2017 SAR in Big Data Era: Models, Methods and Applications (BIGSARDATA), Beijing, China, 13–14 November 2017; pp. 1–6. [Google Scholar]
- Fu, Q.; Luo, K.; Song, Y.; Zhang, M.; Zhang, S.; Zhan, J.; Duan, J.; Li, Y. Study of Sea Fog Environment Polarization Transmission Characteristics. Appl. Sci. 2022, 12, 8892. [Google Scholar] [CrossRef]
- Zhao, C.; Cheung, C.F.; Xu, P. High-Efficiency Sub-Microscale Uncertainty Measurement Method Using Pattern Recognition. ISA Trans. 2020, 101, 503–514. [Google Scholar] [CrossRef]
- An, Q.; Pan, Z.; You, H. Ship Detection in Gaofen-3 SAR Images Based on Sea Clutter Distribution Analysis and Deep Convolutional Neural Network. Sensors 2018, 18, 334. [Google Scholar] [CrossRef] [PubMed]
- Kang, M.; Ji, K.; Leng, X.; Lin, Z. Contextual Region-Based Convolutional Neural Network with Multilayer Fusion for SAR Ship Detection. Remote Sens. 2017, 9, 860. [Google Scholar] [CrossRef]
- Liu, W.; Wang, Z.; Liu, X.; Zeng, N.; Liu, Y.; Alsaadi, F.E. A Survey of Deep Neural Network Architectures and Their Applications. Neurocomputing 2017, 234, 11–26. [Google Scholar] [CrossRef]
- Zhang, J.; Lin, S.; Ding, L.; Bruzzone, L. Multi-Scale Context Aggregation for Semantic Segmentation of Remote Sensing Images. Remote Sens. 2020, 12, 701. [Google Scholar] [CrossRef]
- Rostami, M.; Kolouri, S.; Eaton, E.; Kim, K. Deep Transfer Learning for Few-Shot SAR Image Classification. Remote Sens. 2019, 11, 1374. [Google Scholar] [CrossRef]
- Liu, L.; Chen, G.; Pan, Z.; Lei, B.; An, Q. Inshore Ship Detection in SAR Images Based on Deep Neural Networks. In Proceedings of the IGARSS 2018–2018 IEEE International Geoscience and Remote Sensing Symposium, Valencia, Spain, 22–27 July 2018; pp. 25–28. [Google Scholar]
- Li, R.; Wang, X.; Wang, J.; Song, Y.; Lei, L. SAR Target Recognition Based on Efficient Fully Convolutional Attention Block CNN. IEEE Geosci. Remote Sens. Lett. 2020, 19, 21510590. [Google Scholar] [CrossRef]
- Zhou, G.; Yang, F.; Xiao, J. Study on Pixel Entanglement Theory for Imagery Classification. IEEE Trans. Geosci. Remote Sens. 2022, 60, 21706089. [Google Scholar] [CrossRef]
- Wang, Y.; Wang, C.; Zhang, H. Combining a Single Shot Multibox Detector with Transfer Learning for Ship Detection Using Sentinel-1 SAR Images. Remote Sens. Lett. 2018, 9, 780–788. [Google Scholar] [CrossRef]
- Kang, M.; Leng, X.; Lin, Z.; Ji, K. A Modified Faster R-CNN Based on CFAR Algorithm for SAR Ship Detection. In Proceedings of the 2017 International Workshop on Remote Sensing with Intelligent Processing (RSIP), Shanghai, China, 18–21 May 2017; pp. 1–4. [Google Scholar]
- Jiao, J.; Zhang, Y.; Sun, H.; Yang, X.; Gao, X.; Hong, W.; Fu, K.; Sun, X. A Densely Connected End-to-End Neural Network for Multiscale and Multiscene SAR Ship Detection. IEEE Access 2018, 6, 20881–20892. [Google Scholar] [CrossRef]
- Cui, Z.; Wang, X.; Liu, N.; Cao, Z.; Yang, J. Ship Detection in Large-Scale SAR Images via Spatial Shuffle-Group Enhance Attention. IEEE Trans. Geosci. Remote Sens. 2020, 59, 379–391. [Google Scholar] [CrossRef]
- Villano, M.; Krieger, G.; Steinbrecher, U.; Moreira, A. Simultaneous Single-/Dual-and Quad-Pol SAR Imaging over Swaths of Different Widths. IEEE Trans. Geosci. Remote Sens. 2019, 58, 2096–2103. [Google Scholar] [CrossRef]
- Wang, R.; Xu, F.; Pei, J.; Wang, C.; Huang, Y.; Yang, J.; Wu, J. An Improved Faster R-CNN Based on MSER Decision Criterion for SAR Image Ship Detection in Harbor. In Proceedings of the IGARSS 2019-2019 IEEE International Geoscience and Remote Sensing Symposium, Yokohama, Japan, 28 July–2 August 2019; pp. 1322–1325. [Google Scholar]
- Hu, Q.; Hu, S.; Liu, S. BANet: A Balance Attention Network for Anchor-Free Ship Detection in SAR Images. IEEE Trans. Geosci. Remote Sens. 2022, 60, 21603357. [Google Scholar] [CrossRef]
- Hu, Q.; Hu, S.; Liu, S.; Xu, S.; Zhang, Y.-D. FINet: A Feature Interaction Network for SAR Ship Object-Level and Pixel-Level Detection. IEEE Trans. Geosci. Remote Sens. 2022, 60, 1–15. [Google Scholar] [CrossRef]
- Wu, T.; Li, B.; Luo, Y.; Wang, Y.; Xiao, C.; Liu, T.; Yang, J.; An, W.; Guo, Y. MTU-Net: Multilevel TransUNet for Space-Based Infrared Tiny Ship Detection. IEEE Trans. Geosci. Remote Sens. 2023, 61, 22538002. [Google Scholar] [CrossRef]
- Zhang, F.; Wang, X.; Zhou, S.; Wang, Y.; Hou, Y. Arbitrary-Oriented Ship Detection through Center-Head Point Extraction. IEEE Trans. Geosci. Remote Sens. 2021, 60, 21590405. [Google Scholar] [CrossRef]
- He, C.; Tu, M.; Xiong, D.; Tu, F.; Liao, M. Adaptive Component Selection-Based Discriminative Model for Object Detection in High-Resolution SAR Imagery. ISPRS Int. J. Geo-Inf. 2018, 7, 72. [Google Scholar] [CrossRef]
- Yang, M.; Wang, H.; Hu, K.; Yin, G.; Wei, Z. IA-Net: An Inception–Attention-Module-Based Network for Classifying Underwater Images From Others. IEEE J. Ocean. Eng. 2022, 47, 704–717. [Google Scholar] [CrossRef]
- Zhou, G.; Song, B.; Liang, P.; Xu, J.; Yue, T. Voids Filling of DEM with Multiattention Generative Adversarial Network Model. Remote Sens. 2022, 14, 1206. [Google Scholar] [CrossRef]
- Ting, L.; Baijun, Z.; Yongsheng, Z.; Shun, Y. Ship Detection Algorithm Based on Improved YOLO V5. In Proceedings of the 2021 6th International Conference on Automation, Control and Robotics Engineering (CACRE), Dalian, China, 15–17 July 2021; pp. 483–487. [Google Scholar]
- Li, L.; Zhou, Z.; Wang, B.; Miao, L.; An, Z.; Xiao, X. Domain Adaptive Ship Detection in Optical Remote Sensing Images. Remote Sens. 2021, 13, 3168. [Google Scholar] [CrossRef]
- Rezatofighi, H.; Tsoi, N.; Gwak, J.; Sadeghian, A.; Reid, I.; Savarese, S. Generalized Intersection over Union: A Metric and a Loss for Bounding Box Regression. In Proceedings of the IEEE/CVF Conference on Computer Vision and Pattern Recognition, Long Beach, CA, USA, 15–20 June 2019; pp. 658–666. [Google Scholar]
- Sun, Z.; Meng, C.; Cheng, J.; Zhang, Z.; Chang, S. A Multi-Scale Feature Pyramid Network for Detection and Instance Segmentation of Marine Ships in SAR Images. Remote Sens. 2022, 14, 6312. [Google Scholar] [CrossRef]
- Lin, Z.; Ji, K.; Leng, X.; Kuang, G. Squeeze and Excitation Rank Faster R-CNN for Ship Detection in SAR Images. IEEE Geosci. Remote Sens. Lett. 2018, 16, 751–755. [Google Scholar] [CrossRef]
- Li, J.; Xu, C.; Su, H.; Gao, L.; Wang, T. Deep Learning for SAR Ship Detection: Past, Present and Future. Remote Sens. 2022, 14, 2712. [Google Scholar] [CrossRef]
- Zhao, Y.; Zhao, L.; Xiong, B.; Kuang, G. Attention Receptive Pyramid Network for Ship Detection in SAR Images. IEEE J. Sel. Top. Appl. Earth Obs. Remote Sens. 2020, 13, 2738–2756. [Google Scholar] [CrossRef]
- Liu, N.; Cui, Z.; Cao, Z.; Pi, Y.; Lan, H. Scale-Transferrable Pyramid Network for Multi-Scale Ship Detection in SAR Images. In Proceedings of the IGARSS 2019-2019 IEEE International Geoscience and Remote Sensing Symposium, Yokohama, Japan, 28 July–2 August 2019; pp. 1–4. [Google Scholar]
- Li, X.; Li, D.; Liu, H.; Wan, J.; Chen, Z.; Liu, Q. A-BFPN: An Attention-Guided Balanced Feature Pyramid Network for SAR Ship Detection. Remote Sens. 2022, 14, 3829. [Google Scholar] [CrossRef]
- Nie, X.; Duan, M.; Ding, H.; Hu, B.; Wong, E.K. Attention Mask R-CNN for Ship Detection and Segmentation from Remote Sensing Images. IEEE Access 2020, 8, 9325–9334. [Google Scholar] [CrossRef]
- Lin, T.-Y.; Dollár, P.; Girshick, R.; He, K.; Hariharan, B.; Belongie, S. Feature Pyramid Networks for Object Detection. In Proceedings of the IEEE Conference on Computer Vision and Pattern Recognition, Honolulu, HI, USA, 21–26 July 2017; pp. 2117–2125. [Google Scholar]
- Dai, J.; Qi, H.; Xiong, Y.; Li, Y.; Zhang, G.; Hu, H.; Wei, Y. Deformable Convolutional Networks. In Proceedings of the IEEE International Conference on Computer Vision, Venice, Italy, 22–29 October 2017; pp. 764–773. [Google Scholar]
- Wang, Y.; Wang, C.; Zhang, H.; Dong, Y.; Wei, S. A SAR Dataset of Ship Detection for Deep Learning under Complex Backgrounds. Remote Sens. 2019, 11, 765. [Google Scholar] [CrossRef]
- Wei, S.; Zeng, X.; Qu, Q.; Wang, M.; Su, H.; Shi, J. HRSID: A High-Resolution SAR Images Dataset for Ship Detection and Instance Segmentation. IEEE Access 2020, 8, 120234–120254. [Google Scholar] [CrossRef]













| Sensor | Polarization | Imaging Mode | Resolution Rg. × Az. (m) |
|---|---|---|---|
| GF-3 | Single | UFS | 3 × 3 |
| Dual | FSI | 5 × 5 | |
| Full | QPSI | 8 × 8 | |
| Dual | FSII | 10 × 10 | |
| Full | QPSII | 25 × 25 | |
| Sentinel-1 SLC | Dual | SM | 1.7 × 4.3~ 3.6 × 4.9 |
| DataType | Image | Complex Scenes | High-Density Small Target Scenes |
|---|---|---|---|
| Training | 21,420 | 12,840 | 8580 |
| Verification | 6120 | 3660 | 2460 |
| Testing | 3060 | 1836 | 1224 |
| FPN | Channel Attention | Deformable CNN | Improved Loss Function | SAR Ships in Complex Scenes | |||
|---|---|---|---|---|---|---|---|
| Precision (%) | Recall (%) | F1 Score | mAP (%) | ||||
| √ | 83.4 | 71.3 | 0768. | 79.4 | |||
| √ | √ | 85.5 | 73.2 | 0.789 | 81.5 | ||
| √ | √ | 89.1 | 78.1 | 0.833 | 87.1 | ||
| √ | √ | √ | 91.2 | 78.1 | 0.841 | 87.9 | |
| √ | √ | √ | √ | 91.7 | 78.1 | 0.844 | 87.9 |
| FPN | Channel Attention | Deformable CNN | Improved Loss Function | High-Density Small Target Scenes | |||
|---|---|---|---|---|---|---|---|
| Precision (%) | Recall (%) | F1 Score | mAP (%) | ||||
| √ | 87.7 | 75.3 | 0.810 | 83.8 | |||
| √ | √ | 89.9 | 75.9 | 0.823 | 89.9 | ||
| √ | √ | 95.3 | 85.4 | 0.900 | 93.3 | ||
| √ | √ | √ | 96.2 | 92.8 | 0.946 | 95.1 | |
| √ | √ | √ | √ | 96.5 | 93.0 | 0.947 | 95.1 |
| FPN | Channel Attention | Deformable CNN | Improved Loss Function | Precision (%) | Recall (%) | F1 score | mAP (%) |
|---|---|---|---|---|---|---|---|
| √ | 88.2 | 92.1 | 0.901 | 88.2 | |||
| √ | √ | 88.7 | 92.6 | 0.906 | 88.7 | ||
| √ | √ | 89.2 | 93.0 | 0.911 | 89.3 | ||
| √ | √ | √ | 89.3 | 93.2 | 0.912 | 89.3 | |
| √ | √ | √ | √ | 89.6 | 93.3 | 0.914 | 89.6 |
| Model | SAR Ships in Complex Scenes | |||
|---|---|---|---|---|
| Precision (%) | Recall (%) | F1 Score | mAP (%) | |
| Yolo v5 | 78.2 | 76.1 | 0.771 | 76.3 |
| CBAM Faster R-CNN | 63.3 | 85.5 | 0.727 | 83.1 |
| SSD | 83.5 | 78.6 | 0.809 | 79.5 |
| Mask R-CNN | 91.7 | 77.9 | 0.842 | 85.8 |
| MS-FPN | 89.3 | 77.7 | 0.831 | 87.9 |
| Proposed method | 91.7 | 78.1 | 0.844 | 87.9 |
| Model | High-Density Small Target Scenes | |||
|---|---|---|---|---|
| Precision (%) | Recall (%) | F1 Score | mAP (%) | |
| Yolo v5 | 92.8 | 87.1 | 0.898 | 84.4 |
| CBAM Faster R-CNN | 91.4 | 77.7 | 0.839 | 89.9 |
| SSD | 94.1 | 71.3 | 0.822 | 70.0 |
| Mask R-CNN | 95.9 | 93.8 | 0.948 | 91.4 |
| MS-FPN | 92.9 | 93.2 | 0.930 | 92.9 |
| Proposed method | 96.5 | 93.0 | 0.947 | 95.1 |
Disclaimer/Publisher’s Note: The statements, opinions and data contained in all publications are solely those of the individual author(s) and contributor(s) and not of MDPI and/or the editor(s). MDPI and/or the editor(s) disclaim responsibility for any injury to people or property resulting from any ideas, methods, instructions or products referred to in the content. |
© 2023 by the authors. Licensee MDPI, Basel, Switzerland. This article is an open access article distributed under the terms and conditions of the Creative Commons Attribution (CC BY) license (https://creativecommons.org/licenses/by/4.0/).
Share and Cite
Chen, P.; Zhou, H.; Li, Y.; Liu, P.; Liu, B. A Novel Deep Learning Network with Deformable Convolution and Attention Mechanisms for Complex Scenes Ship Detection in SAR Images. Remote Sens. 2023, 15, 2589. https://doi.org/10.3390/rs15102589
Chen P, Zhou H, Li Y, Liu P, Liu B. A Novel Deep Learning Network with Deformable Convolution and Attention Mechanisms for Complex Scenes Ship Detection in SAR Images. Remote Sensing. 2023; 15(10):2589. https://doi.org/10.3390/rs15102589
Chicago/Turabian StyleChen, Peng, Hui Zhou, Ying Li, Peng Liu, and Bingxin Liu. 2023. "A Novel Deep Learning Network with Deformable Convolution and Attention Mechanisms for Complex Scenes Ship Detection in SAR Images" Remote Sensing 15, no. 10: 2589. https://doi.org/10.3390/rs15102589
APA StyleChen, P., Zhou, H., Li, Y., Liu, P., & Liu, B. (2023). A Novel Deep Learning Network with Deformable Convolution and Attention Mechanisms for Complex Scenes Ship Detection in SAR Images. Remote Sensing, 15(10), 2589. https://doi.org/10.3390/rs15102589

