Spatiotemporal Geostatistical Analysis and Global Mapping of CH4 Columns from GOSAT Observations
Abstract
:1. Introduction
2. Materials and Methods
2.1. Data Used
2.1.1. GOSAT XCH4 Retrievals
2.1.2. Data for Validation and Analysis
2.2. Mapping XCH4 Based on Spatiotemporal Geostatistics
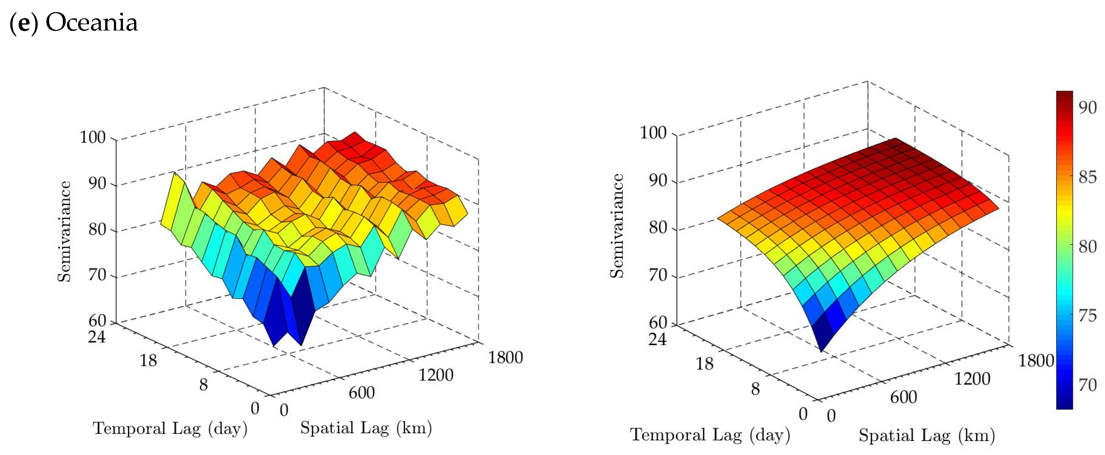
2.2.1. Modeling the Spatiotemporal Trend and Correlation Structure of XCH4
2.2.2. Generating the Mapping-XCH4 Dataset Using Space-Time Kriging
2.3. Precision Evaluation of the Mapping-XCH4 Dataset
3. Evaluation of the Mapping-XCH4 Dataset from 2009 to 2020
3.1. Precision of the Mapping-XCH4 Dataset
3.1.1. Results of Cross-Validation
3.1.2. Uncertainty of Mapping-XCH4
3.1.3. Comparison with TCCON Measurements
3.2. Global XCH4 Variations Revealed by the Mapping-XCH4 Dataset XCH4 in 1° × 1° grids from 2009 to 2020
3.3. Comparison with Model Simulations of XCH4
4. Discussion
4.1. Spatiotemporal Characteristics of Mapping XCH4 Corresponding to the Surface Emissions
4.2. Temporal Variations of XCH4 for Various Surface Emissions
5. Conclusions
Author Contributions
Funding
Acknowledgments
Conflicts of Interest
Appendix A
| Sites | Location (Latitude, Longitude) | Coincident Data Pairs | MAE (ppb) | ME (ppb) | Reference |
|---|---|---|---|---|---|
| Lauder | (−45.04°N, 169.68.5°E) | 53 | 5.93 | −3.92 | [55] |
| Wollongong | (−34.41°N, 150.89°E) | 55 | 6.33 | −5.57 | [56] |
| Darwin | (−12.43°N, 130.89°E) | 44 | 3.07 | −1.85 | [57] |
| Hefei | (31.90°N, 117.17°E) | 16 | 7.47 | −4.45 | [58] |
| Saga | (33.24°N, 130.29°E) | 57 | 7.48 | 5.59 | [59] |
| Caltech | (34.14°N, 118.13°E) | 35 | 4.57 | 1.75 | [60] |
| Jet Propulsion Laboratory | (34.20°N, 118.18°E) | 37 | 5.01 | 1.04 | [61] |
| Edwards | (34.96°N, 117.88°E) | 44 | 6.47 | 2.10 | [62] |
| Nicosia | (35.14°N, 33.38°E) | 44 | 7.71 | 3.53 | [63] |
| Tsukuba | (36.05°N, 140.12°E) | 57 | 6.68 | 4.90 | [64] |
| Anmeyondo | (36.54°N, 126.33°E) | 26 | 7.36 | 1.67 | [65] |
| Lamont | (36.60°N, 97.49°E) | 60 | 7.05 | −6.10 | [66] |
| Rikubetsu | (43.46°N, 143.77°E) | 57 | 6.92 | 4.33 | [67] |
| Park Falls | (45.94°N, 90.27°E) | 60 | 4.17 | −0.30 | [68] |
| Zugspitze | (47.42°N, 10.98°E) | 51 | 14.60 | 10.30 | [69] |
| Garmisch | (47.48°N, 11.06°E) | 58 | 4.38 | −0.41 | [70] |
| Orléans | (47.97°N, 2.11°E) | 55 | 6.58 | −1.68 | [71] |
| Paris | (48.85°N, 2.36°E) | 48 | 10.61 | −9.42 | [72] |
| Karlsruhe | (49.1°N, 8.44°E) | 59 | 6.40 | −2.00 | [73] |
| Bremen | (53.1°N, 8.85°E) | 52 | 8.27 | −1.17 | [74] |
| Bialystok | (53.23°N, 23.02°E) | 44 | 7.77 | −3.22 | [75] |
| East Trout Lake | (54.36°N, 104.99°E) | 36 | 6.87 | −4.22 | [76] |
| Overall | - | 1048 | 8.10 | 1.07 | - |


References
- Wahlen, M. The global methane cycle. Annu. Rev. Earth Planet. Sci. 1993, 21, 407–426. [Google Scholar] [CrossRef]
- Hartmann, D.L. Observations: Atmosphere and surface. In Climate Change 2013: The Physical Science Basis: Contribution of Working GroupI to the Fifth Assessment Report of the Intergovernmental Panel on Climate Change; Cambridge University Press: Cambridge, UK; New York, NY, USA, 2013. [Google Scholar]
- Turner, A.J.; Frankenberg, C.; Kort, E.A. Interpreting contemporary trends in atmospheric methane. Proc. Natl. Acad. Sci. USA 2019, 116, 2805–2813. [Google Scholar] [CrossRef] [PubMed] [Green Version]
- Rigby, M.; Prinn, R.G.; Fraser, P.J.; Simmonds, P.G.; Langenfelds, R.L.; Huang, J.; Cunnold, D.M.; Steele, L.P.; Krummel, P.B.; Weiss, R.F.; et al. Renewed growth of atmospheric methane. Geophys. Res. Lett. 2008, 35, 1–6. [Google Scholar] [CrossRef] [Green Version]
- Dlugokencky, E.J.; Bruhwiler, L.; White, J.W.C.; Emmons, L.K.; Novelli, P.C.; Montzka, S.A.; Masarie, K.A.; Lang, P.M.; Crotwell, A.M.; Miller, J.B.; et al. Observational constraints on recent increases in the atmospheric CH4 burden. Geophys. Res. Lett. 2009, 36, 1–5. [Google Scholar] [CrossRef] [Green Version]
- Nisbet, E.G.; Dlugokencky, E.J.; Bousquet, P. Methane on the rise-again. Science 2014, 343, 493–495. [Google Scholar] [CrossRef] [PubMed] [Green Version]
- Kirschke, S.; Bousquet, P.; Ciais, P.; Saunois, M.; Canadell, J.G.; Dlugokencky, E.J.; Bergamaschi, P.; Bergmann, D.; Blake, D.R.; Bruhwiler, L.; et al. Three decades of global methane sources and sinks. Nat. Geosci. 2013, 6, 813–823. [Google Scholar] [CrossRef]
- Dlugokencky, E.J.; Nisbet, E.G.; Fisher, R.; Lowry, D. Global atmospheric methane: Budget, changes and dangers. Philos. Trans. R. Soc. A 2011, 369, 2058–2072. [Google Scholar] [CrossRef] [PubMed] [Green Version]
- de Gouw, J.A.; Veefkind, J.P.; Roosenbrand, E.; Dix, B.; Lin, J.C.; Landgraf, J.; Levelt, P.F. Daily satellite observations of methane from oil and gas production regions in the United States. Sci. Rep. 2020, 10, 1–10. [Google Scholar] [CrossRef]
- McKain, K.; Wofsy, S.C.; Nehrkorn, T.; Eluszkiewicz, J.; Ehleringer, J.R.; Stephens, B.B. Assessment of ground-based atmospheric observations for verification of greenhouse gas emissions from an urban region. Proc. Natl. Acad. Sci. USA 2012, 109, 8423–8428. [Google Scholar] [CrossRef] [Green Version]
- Wunch, D.; Toon, G.C.; Blavier, J.-F.L.; Washenfelder, R.A.; Notholt, J.; Connor, B.J.; Griffith, D.W.; Sherlock, V.; Wennberg, P.O. The total carbon column observing network. Philos. Trans. R. Soc. A 2011, 369, 2087–2112. [Google Scholar] [CrossRef] [Green Version]
- Butz, A.; Guerlet, S.; Hasekamp, O.; Schepers, D.; Galli, A.; Aben, I.; Frankenberg, C.; Hartmann, J.M.; Tran, H.; Kuze, A.; et al. Toward accurate CO2 and CH4 observations from GOSAT. Geophys. Res. Lett. 2011, 38, 1–6. [Google Scholar] [CrossRef] [Green Version]
- Duren, R.M.; Miller, C.E. Measuring the carbon emissions of megacities. Nat. Clim. Chang. 2012, 2, 560–562. [Google Scholar] [CrossRef]
- Yokota, T.; Yoshida, Y.; Eguchi, N.; Ota, Y.; Tanaka, T.; Watanabe, H.; Maksyutov, S. Global concentrations of CO2 and CH4 retrieved from GOSAT: First preliminary results. Sci. Online Lett. Atmos. Sola 2009, 5, 160–163. [Google Scholar] [CrossRef] [Green Version]
- Bovensmann, H.; Burrows, J.P.; Buchwitz, M.; Frerick, J.; Noël, S.; Rozanov, V.V.; Chance, K.V.; Goede, A.P.H. SCIAMACHY: Mission objectives and measurement modes. J. Atmos. Sci. 1999, 56, 127–150. [Google Scholar] [CrossRef] [Green Version]
- Loyola, D.G.; Gimeno García, S.; Lutz, R.; Argyrouli, A.; Romahn, F.; Spurr, R.J.D.; Pedergnana, M.; Doicu, A.; García, V.M.; Schüssler, O. The operational cloud retrieval algorithms from TROPOMI on board Sentinel-5 Precursor. Atmos. Meas. Tech. 2018, 11, 409–427. [Google Scholar] [CrossRef] [Green Version]
- Wachter, E.D.; Kumps, N.; Vandaele, A.C.; Langerock, B.; Maziere, M.D. Retrieval and validation of MetOp/IASI methane. Atmos. Meas. Tech. 2017, 10, 4623–4638. [Google Scholar] [CrossRef] [Green Version]
- Kuze, A.; Suto, H.; Nakajima, M.; Hamazaki, T. Thermal and near infrared sensor for carbon observation Fourier-transform spectrometer on the Greenhouse Gases Observing Satellite for greenhouse gases monitoring. Appl. Opt. 2009, 48, 6716–6733. [Google Scholar] [CrossRef]
- Tadić, J.M.; Qiu, X.; Yadav, V.; Michalak, A.M. Mapping of satellite Earth observations using moving window block kriging. Geosci. Model Dev. 2015, 8, 3311–3319. [Google Scholar] [CrossRef] [Green Version]
- Yoshida, Y.; Ota, Y.; Eguchi, N.; Kikuchi, N.; Nobuta, K.; Tran, H.; Morino, I.; Yokota, T. Retrieval algorithm for CO2 and CH4 column abundances from short-wavelength infrared spectral observations by the Greenhouse gases observing satellite. Atmos. Meas. Tech. 2011, 4, 717–734. [Google Scholar] [CrossRef] [Green Version]
- Cressie, N.; Wikle, C.K. Statistics for Spatio-Temporal Data; John Wiley & Sons: New York, NY, USA, 2011; pp. 297–360. [Google Scholar]
- Cressie, N. Statistics for Spatial Data; John Wiley & Sons: New York, NY, USA, 1993. [Google Scholar]
- Zeng, Z.C.; Lei, L.P.; Guo, L.J.; Zhang, L.; Zhang, B. Incorporating temporal variability to improve geostatistical analysis of satellite-observed CO2 in China. Chin. Sci. Bull. 2013, 58, 1948–1954. [Google Scholar] [CrossRef] [Green Version]
- Guo, L.J.; Lei, L.P.; Zeng, Z.C.; Zou, P.F.; Liu, D.; Zhang, B. Evaluation of Spatio-Temporal Variogram Models for Mapping XCO2 Using Satellite Observations: A Case Study in China. IEEE J. Sel. Top. Appl. Earth Obs. Remote Sens. 2015, 8, 376–385. [Google Scholar] [CrossRef]
- Katzfuss, M.; Cressie, N. Spatio-temporal smoothing and EM estimation for massive remote sensing data sets. J. Time Ser. Anal. 2011, 32, 430–446. [Google Scholar] [CrossRef]
- Liu, Y.; Wang, X.F.; Guo, M.; Tani, H.S. Mapping the FTS SWIR L2 product of XCO2 and XCH4 data from the GOSAT by the Kriging method-a case study in East Asia. Int. J. Remote Sens. 2011, 33, 3004–3025. [Google Scholar] [CrossRef] [Green Version]
- De Iaco, S.; Posa, D. Predicting spatio-temporal random fields: Some computational aspects. Computers & Geosciences 2012, 41, 12–24. [Google Scholar]
- Finley, A.; Banerjee, S.; Gelfand, A.E. Bayesian dynamic modeling for large space-time datasets using gaussian predictive processes. J. Geogr. Syst. 2012, 14, 29–47. [Google Scholar] [CrossRef]
- Zammit-Mangion, A.; Cressie, N.; Ganesan, A.L.; O’Doherty, S.; Manning, A.J. Spatio-temporal bivariate statistical models for atmospheric trace-gas inversion. Chemom. Intell. Lab. Syst. 2015, 149, 227–241. [Google Scholar] [CrossRef] [Green Version]
- Liu, M.; Lei, L.P.; Liu, D.; Zeng, Z.C. Geostatistical analysis of CH4 columns over Monsoon Asia using five years of GOSAT observations. Remote Sens. 2016, 8, 361. [Google Scholar] [CrossRef] [Green Version]
- Zammit-Mangion, A.; Cressie, N. FRK: An R package for spatial and spatio-temporal prediction with large datasets. J. Stat. Softw. 2021, 98, 1–48. [Google Scholar] [CrossRef]
- NIES GOSAT Project. Summary of the GOSAT Level 2 Data Product Validation Activity; NIES GOSAT Project: Tokyo, Japan, 2019. [Google Scholar]
- Wunch, D.; Toon, G.; Sherlock, V.; Deutscher, N.; Liu, C.; Feist, D.; Wennberg, P. Documentation for the 2014 TCCON Data Release. CaltechDATA. Available online: https://doi.org/10.14291/TCCON.GGG2014.DOCUMENTATION.R0/1221662 (accessed on 19 June 2021).
- Peters, W.; Jacobson, A.R.; Sweeney, C.; Andrews, A.E.; Conway, T.H.; Masarie, K.; Miller, J.B.; Bruhwiler, L.; Petron, G.; Hirsch, A.; et al. An atmospheric perspective on North American carbon dioxide exchange: CarbonTracker. Proc. Natl. Acad. Sci. USA 2007, 104, 18925–18930. [Google Scholar] [CrossRef] [Green Version]
- Bruhwiler, L.; Dlugokencky, E.; Masarie, K.; Ishizawa, M.; Andrews, A.; Miller, J.; Sweeney, C.; Tans, P.; Worthy, D. CarbonTracker-CH4: An assimilation system for estimating emissions of atmospheric methane. Atmos. Chem. Phys. 2014, 14, 8269–8293. [Google Scholar] [CrossRef] [Green Version]
- Tsuruta, A.; Aalto, T.; Backman, L.; Hakkarainen, J.; Laanluijkx, I.; Krol, M.C.; Spahni, R.; Houweling, S.; Laine, M.; Dlugokencky, E. Global methane emission estimates for 2000–2012 from CarbonTracker Europe-CH4 v1.0. Geosci. Model Dev. 2017, 10, 1261–1289. [Google Scholar] [CrossRef] [Green Version]
- Connor, B.J.; Boesch, H.; Toon, G.; Sen, B.; Miller, C.; Crisp, D. Orbiting Carbon Observatory: Inverse method and prospective error analysis. J. Geophys. Res. Atmos. 2008, 113, 1–14. [Google Scholar] [CrossRef]
- Rodgers, C.D.; Connor, B.J. Intercomparison of remote sounding instruments. J. Geophys. Res. Atmos. 2003, 108, 1–13. [Google Scholar]
- Cogan, A.J.; Boesch, H.; Parker, R.J.; Feng, L.; Palmer, P.I.; Blavier, J.-F.L.; Deutscher, N.M.; Macatangay, R.; Notholt, J.; Roehl, C.; et al. Atmospheric carbon dioxide retrieved from the Greenhouse gases Observing SATellite (GOSAT): Comparison with ground based TCCON observations and GEOs Chem model calculations. J. Geophys. Res. 2012, 117, 1–17. [Google Scholar] [CrossRef] [Green Version]
- Crippa, M.; Guizzardi, D.; Muntean, M.; Schaaf, E.; Lo Vullo, E.; Solazzo, E.; Monforti-Ferrario, F.; Olivier, J.; Vignati, E. EDGAR v6.0 Global Greenhouse Gas Emissions; European Commission, Joint Research Centre (JRC): Vienna, Austria, 2021. [Google Scholar]
- Crippa, M.; Solazzo, E.; Huang, G.; Guizzardi, D.; Koffi, E.; Muntean, M.; Schieberle, C.; Friedrich, R.; Janssens-Maenhout, G. High resolution temporal profiles in the Emissions Database for Global Atmospheric Research. Sci. Data 2020, 7, 121. [Google Scholar] [CrossRef] [PubMed]
- Baray, S.; Jacob, D.J.; Massakkers, J.D.; Sheng, J.X.; Sulprizio, M.P.; Jones, D.B.; Bloom, A.A.; McLaren, R. Estimating 2010–2015 Anthropogenic and Natural Methane Emissions in Canada using ECCC Surface and GOSAT Satellite Observations. Atmos. Chem. Phys. 2021, 21, 18101–18121. [Google Scholar] [CrossRef]
- He, Z.H.; Lei, L.P.; Zhang, Y.H.; Sheng, M.Y.; Wu, C.J.; Li, L.; Zeng, Z.C.; Welp, L. Spatio-Temporal Mapping of Multi-Satellite Observed Column Atmospheric CO2 Using Precision-Weighted Kriging Method. Remote Sens. 2020, 12, 576. [Google Scholar] [CrossRef] [Green Version]
- Zeng, Z.C.; Lei, L.P.; Hou, S.S.; Ru, F.; Guan, X.H.; Zhang, B. A Regional Gap-Filling Method Based on Spatiotemporal Variogram Model of CO2 Columns. IEEE Trans. Geosci. Remote Sens. 2014, 52, 3594–3603. [Google Scholar] [CrossRef]
- Nguyen, H.; Osterman, G.; Wunch, D.; O’Dell, C.; Castano, R. A method for colocating satellite XCO2 data to ground-based data and its application to ACOS-GOSAT and TCCON. Atmos. Meas. Tech. 2014, 7, 2631–2644. [Google Scholar] [CrossRef] [Green Version]
- Zeng, Z.C.; Lei, L.P.; Strong, K.; Jones, D.B.; Guo, L.; Liu, M.; Deng, F.; Deutscher, N.M.; Dubey, M.K.; Griffith, D.W.T.; et al. Global land mapping of satellite-observed CO2 total columns using spatio-temporal geostatistics. Int. J. Digit. Earth 2017, 10, 426–456. [Google Scholar] [CrossRef] [Green Version]
- De Cesare, L.; Myers, D.E.; Posa, D. Estimating and modeling space-time correlation structures. Stat. Probab. Lett. 2001, 51, 9–14. [Google Scholar] [CrossRef]
- Venetsanou, P.; Anagnostopoulou, C.; Loukas, A.; Lazoglou, G.; Voudouris, K. Minimizing the uncertainties of RCMs climate data by using spatio-temporal geostatistical modeling. Earth Sci. Inform. 2019, 12, 183–196. [Google Scholar]
- Zeng, Z.; Lei, L.; Hou, S.; Li, L. A spatio-temporal interpolation approach for the FTS SWIR product of XCO2 data from GOSAT. IEEE Int. Geosci. Remote Sens. 2012, 852–855. [Google Scholar] [CrossRef]
- Cambardella, C.A.; Moorman, T.B.; Novak, J.M.; Parkin, T.B.; Karlen, D.L.; Turco, R.F.; Konopka, A.E. Field-scale variability of soil properties in lowa Soil. Soil Sci. Soc. Am. J. 1994, 58, 1501–1511. [Google Scholar] [CrossRef]
- Arlot, S.; Celisse, A. A survey of cross-validation procedures for model selection. Stat. Surv. 2010, 4, 40–79. [Google Scholar] [CrossRef]
- Chai, T.; Draxler, R.R. Root mean square error (RMSE) or mean absolute error (MAE)?–Arguments against avoiding RMSE in the literature. Geosci. Model Dev. 2014, 7, 1247–1250. [Google Scholar] [CrossRef] [Green Version]
- Hammerling, D.M.; Michalak, A.M.; Kawa, S.R. Mapping of CO2 at high spatiotemporal resolution using satellite observations: Global distributions from OCO-2. J. Geophys. Res. 2012, 117, 1–10. [Google Scholar] [CrossRef]
- Kivimäki, E.; Lindqvist, H.; Hakkarainen, J.; Laine, M.; Sussmann, R.; Tsuruta, A.; Detmers, R.; Deutscher, N.M.; Dlugokencky, E.J.; Hase, F. Evaluation and analysis of the seasonal cycle and variability of the trend from GOSAT methane retrievals. Remote Sens. 2019, 11, 882. [Google Scholar] [CrossRef] [Green Version]
- Sherlock, V.; Connor, B.; Robinson, J.; Shiona, H.; Smale, D.; Pollard, D. TCCON data from Lauder, New Zealand, 125HR, Release GGG2014R0. 2014. Available online: https://doi.org/10.14291/tccon.ggg2014.lauder02.R0/1149298 (accessed on 19 June 2021).
- Griffith, D.W.T.; Velazco, V.A.; Deutscher, N.M.; Paton-Walsh, C.; Jones, N.B.; Wilson, S.R.; Macatangay, R.C.; Kettlewell, G.C.; Buchholz, R.R.; Riggenbach, M. TCCON data from Wollongong (AU), Release GGG2014.R0, TCCON Data Archive, hosted by CaltechDATA. Available online: https://doi.org/10.14291/tccon.ggg2014.wollongong01.R0/1149291 (accessed on 19 June 2021).
- Griffith, D.W.T.; Deutscher, N.M.; Velazco, V.A.; Wennberg, P.O.; Yavin, Y.; Keppel-Aleks, G.; Washenfelder, R.; Toon, G.C.; Blavier, J.-F.; Paton-Walsh, C.; et al. TCCON data from Darwin (AU), Release GGG2014.R0, TCCON Data Archive, Hosted by CaltechDATA. Available online: https://doi.org/10.14291/tccon.ggg2014.darwin01.R0/1149290 (accessed on 19 June 2021).
- Liu, C.; Wang, W.; Sun, Y.W. TCCON data from Hefei (PRC), Release GGG2014.R0, TCCON Data Archive, Hosted by CaltechDATA. Available online: https://doi.org/10.14291/tccon.ggg2014.hefei01.R0 (accessed on 19 June 2021).
- Kawakami, S.; Ohyama, H.; Arai, K.; Okumura, H.; Taura, C.; Fukamachi, T.; Sakashita, M. TCCON data from Saga (JP), Release GGG2014.R0, TCCON Data Archive, Hosted by CaltechDATA. Available online: https://doi.org/10.14291/tccon.ggg2014.saga01.R0/1149283 (accessed on 19 June 2021).
- Wennberg, P.O.; Wunch, D.; Roehl, C.M.; Blavier, J.-F.; Toon, G.C.; Allen, N.T. TCCON Data from Caltech (US), Release GGG2014.R1, TCCON Data Archive, Hosted by CaltechDATA. Available online: https://doi.org/10.14291/tccon.ggg2014.pasadena01.R1/1182415 (accessed on 19 June 2021).
- Wennberg, P.O.; Roehl, C.; Blavier, J.F.; Wunch, D.; Landeros, J.; Allen, N. TCCON data from Jet Propulsion Laboratory, Pasadena, California, USA, Release GGG2014R0. 2014. Available online: https://doi.org/10.14291/tccon.ggg2014.jpl02.R0/1149297 (accessed on 19 June 2021).
- Iraci, L.T.; Podolske, J.; Hillyard, P.W.; Roehl, C.; Wennberg, P.O.; Blavier, J.F.; Allen, N.; Wunch, D.; Osterman, G.; Albertson, R. TCCON Data from Edwards (US), Release GGG2014.R1, Release GGG2014.R1, TCCON Data Archive, Hosted by CaltechDATA. Available online: https://doi.org/10.14291/tccon.ggg2014.edwards01.R1/1255068 (accessed on 19 June 2021).
- Petri, C.; Vrekoussis, M.; Rousogenous, C.; Warneke, T.; Sciare, J.; Notholt, J. TCCON Data from Nicosia, Cyprus (CY), Release GGG2014.R0, TCCON Data Archive, Hosted by CaltechDATA. Available online: https://doi.org/10.14291/tccon.ggg2014.nicosia01.R0 (accessed on 19 June 2021).
- Morino, I.; Matsuzaki, T.; Horikawa, M. TCCON data from Tsukuba (JP), 125HR, Release GGG2014.R2, TCCON Data Archive, Hosted by CaltechDATA. Available online: https://doi.org/10.14291/tccon.ggg2014.tsukuba02.R2 (accessed on 19 June 2021).
- Goo, T.-Y.; Oh, Y.-S.; Velazco, V.A. TCCON data from Anmeyondo (KR), Release GGG2014.R0, TCCON Data Archive, Hosted by CaltechDATA. Available online: https://doi.org/10.14291/tccon.ggg2014.anmeyondo01.R0/1149284 (accessed on 19 June 2021).
- Wennberg, P.O.; Wunch, D.; Roehl, C.; Blavier, J.-F.; Toon, G.C.; Allen, N. TCCON data from Lamont (US), Release GGG2014.R1, TCCON Data Archive, Hosted by CaltechDATA. Available online: https://doi.org/10.14291/tccon.ggg2014.lamont01.R1/1255070 (accessed on 19 June 2021).
- Morino, I.; Yokozeki, N.; Matsuzaki, T.; Horikawa, M. TCCON data from Rikubetsu (JP), Release GGG2014.R2, TCCON Data Archive, Hosted by CaltechDATA. Available online: https://doi.org/10.14291/TCCON.GGG2014.RIKUBETSU01.R2 (accessed on 19 June 2021).
- Wennberg, P.O.; Roehl, C.; Wunch, D.; Toon, G.C.; Blavier, J.-F.; Washenfelder, R.; Keppel-Aleks, G.; Allen, N.; Ayers, J. TCCON Data from Park Falls (US), Release GGG2014.R0, TCCON Data Archive, hosted by CaltechDATA. Available online: https://doi.org/10.14291/tccon.ggg2014.parkfalls01.R1 (accessed on 19 June 2021).
- Sussmann, R.; Rettinger, M. TCCON data from Zugspitze (DE), Release GGG2014.R1, TCCON Data Archive, hosted by CaltechDATA. Available online: https://doi.org/10.14291/tccon.ggg2014.zugspitze01.R1 (accessed on 19 June 2021).
- Sussmann, R.; Rettinger, M. TCCON data from Garmisch (DE), Release GGG2014.R0, TCCON Data Archive, hosted by CaltechDATA. Available online: https://doi.org/10.14291/tccon.ggg2014.garmisch01.R2 (accessed on 19 June 2021).
- Warneke, T.; Messerschmidt, J.; Notholt, J.; Weinzierl, C.; Deutscher, N.M.; Petri, C.; Grupe, P.; Vuillemin, C.; Truong, F.; Schmidt, M.; et al. TCCON data from Orléans (FR), Release GGG2014.R1, TCCON Data Archive, Hosted by CaltechDATA. Available online: https://doi.org/10.14291/tccon.ggg2014.orléans01.R1 (accessed on 19 June 2021).
- Te, Y.; Jeseck, P.; Janssen, C. TCCON data from Paris (FR), Release GGG2014.R0, TCCON Data Archive, Hosted by CaltechDATA. Available online: https://doi.org/10.14291/tccon.ggg2014.paris01.R0/1149279 (accessed on 19 June 2021).
- Hase, F.; Blumenstock, T.; Dohe, S.; Gross, J.; Kiel, M. TCCON data from Karlsruhe (DE), Release GGG2014.R1, TCCON Data Archive, Hosted by CaltechDATA. Available online: https://doi.org/10.14291/tccon.ggg2014.karlsruhe01.R1/1182416 (accessed on 19 June 2021).
- Notholt, J.; Petri, C.; Warneke, T.; Deutscher, N.M.; Buschmann, M.; Weinzierl, C.; Macatangay, R.C.; Grupe, P. TCCON data from Bremen (DE), Release GGG2014.R0, TCCON Data Archive, hosted by CaltechDATA. Available online: https://doi.org/10.14291/tccon.ggg2014.bremen01.R1 (accessed on 19 June 2021).
- Deutscher, N.M.; Notholt, J.; Messerschmidt, J.; Weinzierl, C.; Warneke, T.; Petri, C.; Grupe, P.; Katrynski, K. TCCON Data from Bialystok (PL), Release GGG2014.R1, TCCON Data Archive, Hosted by CaltechDATA. Available online: https://doi.org/10.14291/tccon.ggg2014.bialystok01.R2 (accessed on 19 June 2021).
- Wunch, D.; Mendonca, J.; Colebatch, O.; Allen, N.T.; Blavier, J.-F.; Roche, S.; Hedelius, J.; Neufeld, G.; Springett, S.; Worthy, D.; et al. TCCON data from East Trout Lake, SK (CA), Release GGG2014.R1, TCCON Data Archive, Hosted by CaltechDATA. Available online: https://doi.org/10.14291/tccon.ggg2014.easttroutlake01.R1 (accessed on 19 June 2021).
- WMO (World Meteorological Organization). WMO Greenhouse Gas Bulletin: The State of Greenhouse Gases in the Atmosphere Based on Global Observations through 2019; WMO (World Meteorological Organization): Tokyo, Japan, 2020. [Google Scholar]
- Dlugokencky, E.J.; Steele, L.P.; Lang, P.M.; Masarie, K.A. The growth rate and distribution of atmospheric methane. J. Geophys. Res. 1994, 99, 17021–17043. [Google Scholar] [CrossRef]
- Watson, R.T.; Meira Filho, L.G.; Sanhueza, E.; Janetos, A. Greenhouse gases: Sources and sinks. Clim. Chang. 1992, 92, 25–46. [Google Scholar]
- Thompson, R.L.; Stohl, A.; Zhou, L.X.; Dlugokencky, E.; Fukuyama, Y.; Tohjima, Y.; Kim, S.Y.; Lee, H.; Nisbet, E.G.; Fisher, R.E.; et al. Methane emissions in East Asia for 2000-2011 estimated using an atmospheric Bayesian inversion. J. Geophys. Res. Atmos. 2015, 120, 4352–4359. [Google Scholar] [CrossRef] [Green Version]
- Chandra, N.; Hayashida, S.; Saeki, T.; Patra, P.K. What controls the seasonal cycle of columnar methane observed by GOSAT over different regions in India? Atmos. Chem. Phys. 2017, 17, 12633–12643. [Google Scholar] [CrossRef] [Green Version]
- Friedlingstein, P.; O’sullivan, M.; Jones, M.W.; Andrew, R.M.; Hauck, J.; Olsen, A.; Peters, G.P.; Peters, W.; Pongratz, J.; Sitch, S. Global carbon budget 2020. Earth Syst. Sci. Data 2020, 12, 3269–3340. [Google Scholar] [CrossRef]
- Qin, X.; Lei, L.; He, Z.; Zeng, Z.C.; Matsumi, Y. Preliminary Assessment of Methane Concentration Variation Observed by GOSAT in China. Adv. Meteorol. 2015, 2015, 125059. [Google Scholar] [CrossRef]
- Streets, D.G.; Canty, T.; Carmichael, G.R.; de Foy, B.; Dickerson, R.R.; Duncan, B.N.; Edwards, D.P.; Haynes, J.A.; Henze, D.K.; Houyoux, M.R.; et al. Emissions estimation from satellite retrievals: A review of current capability. Atmos. Environ. 2013, 77, 1011–1042. [Google Scholar] [CrossRef] [Green Version]
- Detmers, R.; Hasekamp, O.; Aben, I.; Houweling, S.; Leeuwen, T.; Butz, A.; Landgraf, J.; Köhler, P.; Guanter, L.; Poulter, B. Anomalous carbon uptake in Australia as seen by GOSAT. Geophys. Res. Lett. 2015, 42, 8177–8184. [Google Scholar] [CrossRef] [Green Version]
- Schneising, O.; Heymann, J.; Buchwitz, M.; Reuter, M.; Burrows, J.P. Anthropogenic carbon dioxide source areas observed from space: Assessment of regional enhancements and trends. Atmos. Chem. Phys. 2012, 12, 31507–31530. [Google Scholar] [CrossRef] [Green Version]
- Stevenson, D.; Derwent, R.; Wild, O.; Collins, W. COVID-19 lockdown NOx emission reductions can explain most of the coincident increase in global atmospheric methane. Atmos. Chem. Phys. Discuss. 2021, 1–8. [Google Scholar] [CrossRef]
- Rajkumar, A.N.; Barnes, J.; Ramachandran, R.; Ramachandran, P.; Upstill-Goddard, R.C. Methane and nitrous oxide fluxes in the polluted Adyar River and estuary, SE India. Mar. Pollut. Bull. 2008, 56, 2043–2051. [Google Scholar] [CrossRef]
- Sheng, M.; Lei, L.; Zeng, Z.; Rao, W.; Zhang, S. Detecting the responses of CO2 column abundances to anthropogenic emissions from satellite observations of GOSAT and OCO-2. Remote Sens. 2021, 13, 3524. [Google Scholar] [CrossRef]
- He, Z.; Zeng, Z.C.; Lei, L.; Bie, N.; Yang, S. A Data-Driven Assessment of Biosphere-Atmosphere Interaction Impact on Seasonal Cycle Patterns of XCO2 Using GOSAT and MODIS Observations. Remote Sens. 2017, 9, 251. [Google Scholar] [CrossRef] [Green Version]
- He, Z.; Lei, L.; Lisa, W.; Zeng, Z.C.; Bie, N.; Yang, S.; Liu, L. Detection of Spatiotemporal Extreme Changes in Atmospheric CO2 Concentration Based on Satellite Observations. Remote Sens. 2018, 10, 839. [Google Scholar] [CrossRef] [Green Version]

















| XCH4 Retrievals | Spatial Lag (km) | Temporal Lag (Days) | Nugget/Sill |
|---|---|---|---|
| Eurasia | 300 | 28 | 0.43 |
| Africa | 600 | 54 | 0.53 |
| North America | 900 | 45 | 0.66 |
| South America | 700 | 36 | 0.43 |
| Oceania | 1800 | 24 | 0.63 |
| Area | N (*104) | R | MAE (ppb) | Percent (MAE < 15 ppb) | ME |
|---|---|---|---|---|---|
| Eurasia | 44.28 | 0.9408 | 8.6319 | 84 | 0.0146 |
| Africa | 40.76 | 0.9636 | 6.9318 | 91 | 0.0021 |
| North America | 13.26 | 0.9314 | 8.8291 | 83 | −0.0072 |
| South America | 13.26 | 0.9604 | 7.7473 | 88 | −0.1034 |
| Oceania | 11.91 | 0.9456 | 6.2717 | 93 | 0.0188 |
Publisher’s Note: MDPI stays neutral with regard to jurisdictional claims in published maps and institutional affiliations. |
© 2022 by the authors. Licensee MDPI, Basel, Switzerland. This article is an open access article distributed under the terms and conditions of the Creative Commons Attribution (CC BY) license (https://creativecommons.org/licenses/by/4.0/).
Share and Cite
Li, L.; Lei, L.; Song, H.; Zeng, Z.; He, Z. Spatiotemporal Geostatistical Analysis and Global Mapping of CH4 Columns from GOSAT Observations. Remote Sens. 2022, 14, 654. https://doi.org/10.3390/rs14030654
Li L, Lei L, Song H, Zeng Z, He Z. Spatiotemporal Geostatistical Analysis and Global Mapping of CH4 Columns from GOSAT Observations. Remote Sensing. 2022; 14(3):654. https://doi.org/10.3390/rs14030654
Chicago/Turabian StyleLi, Luman, Liping Lei, Hao Song, Zhaocheng Zeng, and Zhonghua He. 2022. "Spatiotemporal Geostatistical Analysis and Global Mapping of CH4 Columns from GOSAT Observations" Remote Sensing 14, no. 3: 654. https://doi.org/10.3390/rs14030654
APA StyleLi, L., Lei, L., Song, H., Zeng, Z., & He, Z. (2022). Spatiotemporal Geostatistical Analysis and Global Mapping of CH4 Columns from GOSAT Observations. Remote Sensing, 14(3), 654. https://doi.org/10.3390/rs14030654

