Time-Lapse Cross-Well Monitoring of CO2 Sequestration Using Coda Wave Interferometry
Abstract
1. Introduction
2. Theory
3. Synthetic Data Examples
3.1. Synthetic Two-Component (2C) Time-Lapse Cross-Well Datasets
3.2. Indication of Velocity Changes Using CWI
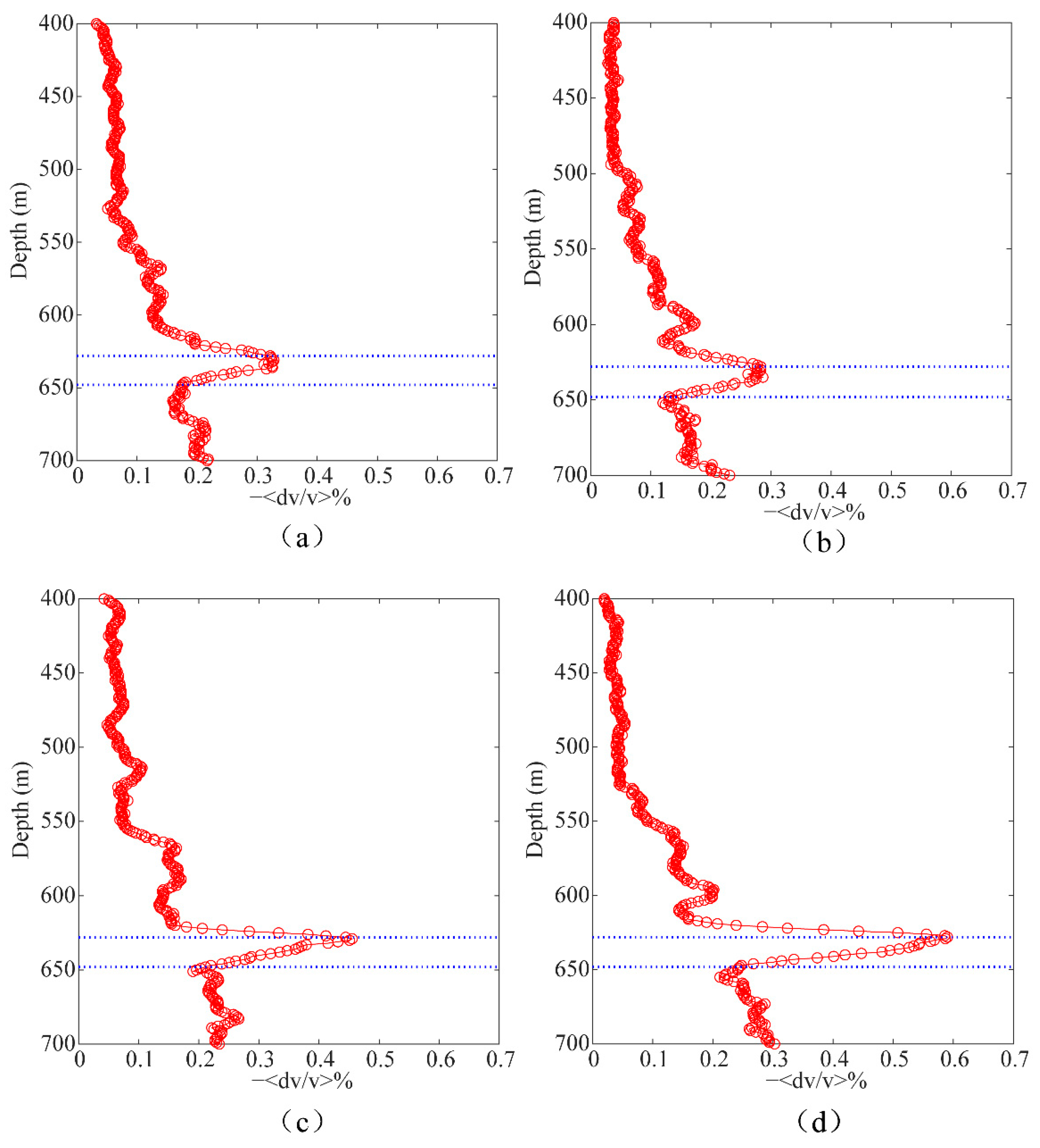
3.3. Application of a Typical Cross-Well Geometry
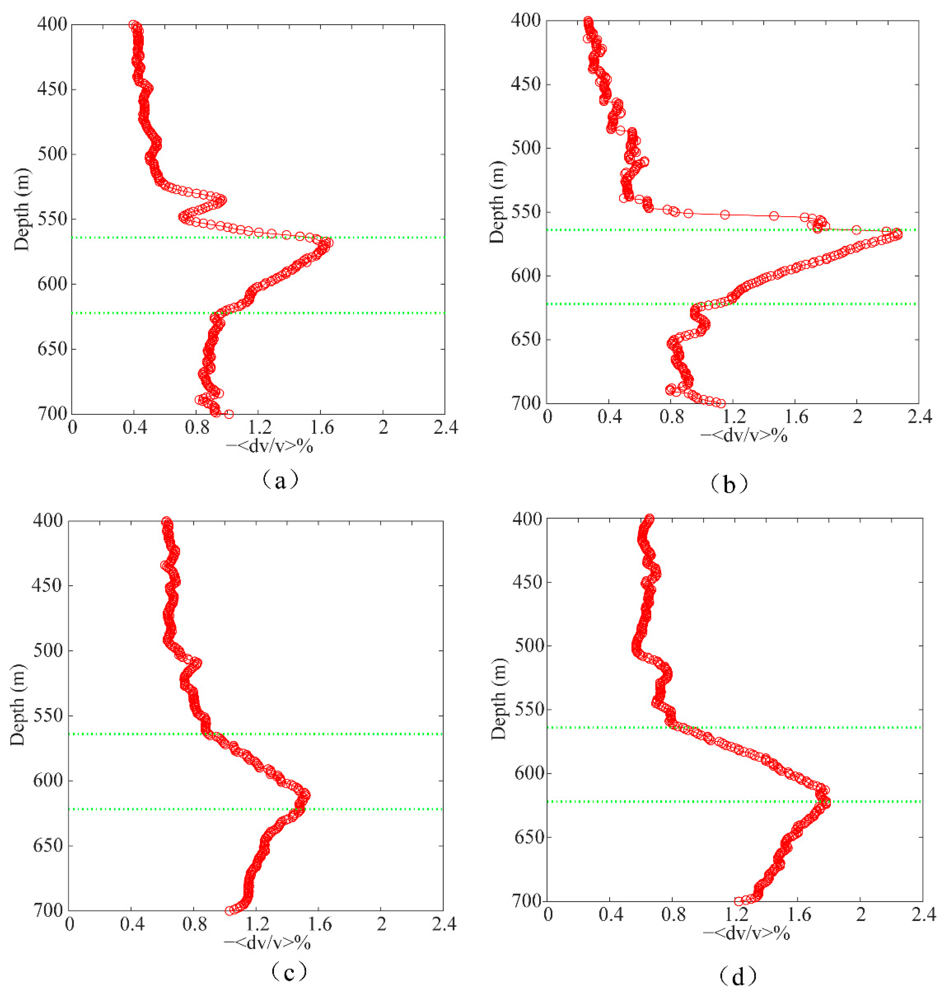
3.4. Test of Noise-Contaminated Time-Lapse Datasets
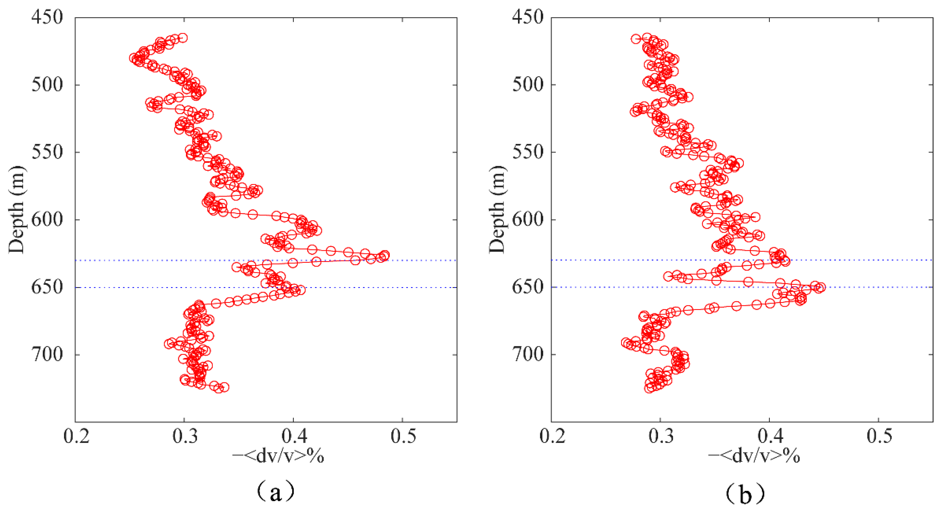
4. Real Data Example
5. Conclusions
Author Contributions
Funding
Data Availability Statement
Acknowledgments
Conflicts of Interest
References
- Harris, J.M.; Langan, R.T.; Fasnacht, T.; Melton, D.; Smith, B.; Sinton, J.; Tan, H. Experimental verification of seismic monitoring of CO2 injection in carbonate reservoirs. In SEG Technical Program Expanded Abstracts 1996; Society of Exploration Geophysicists: Houston, TX, USA, 1996; pp. 1870–1872. [Google Scholar]
- Azuma, H.; Konishi, C.; Nobuoka, D.; Xue, Z.; Watanabe, J. Quantitative CO2 saturation estimation from time lapse sonic logs by consideration of uniform and patchy saturation. Energy Procedia 2011, 4, 3472–3477. [Google Scholar] [CrossRef][Green Version]
- Onishi, K.; Ueyama, T.; Matsuoka, T.; Nobuoka, D.; Saito, H.; Azuma, H.; Xue, Z. Application of crosswell seismic tomography using difference analysis with data normalization to monitor CO2 flooding in an aquifer. Int. J. Greenh. Gas Control 2009, 3, 311–321. [Google Scholar] [CrossRef]
- Saito, H.; Nobuoka, D.; Azuma, H.; Tanase, D.; Xue, Z. Time-Lapse Cross-Well Seismic Tomography for Monitoring CO2 Geological Sequestration at the Nagaoka Pilot Project Site. J. MMIJ 2008, 124, 78–86. [Google Scholar] [CrossRef]
- Daley, T.M.; Solbau, R.D.; Ajo-Franklin, J.B.; Benson, S.M. Continuous active-source seismic monitoring of C O2 injection in a brine aquifer. Geophysics 2007, 72, A57–A61. [Google Scholar] [CrossRef]
- Xue, Z.; Tanase, D.; Watanabe, J. Estimation of CO2 Saturation from Time-Lapse CO2 well Logging in an Onshore Aquifer, Nagaoka, Japan. Explor. Geophys. 2006, 37, 19–29. [Google Scholar] [CrossRef]
- Saito, H.; Nobuoka, D.; Azuma, H.; Xue, Z.; Tanase, D. Time-Lapse Crosswell Seismic Tomography for Monitoring Injected CO2 in an Onshore Aquifer, Nagaoka, Japan. Explor. Geophys. 2006, 37, 30–36. [Google Scholar] [CrossRef]
- Xue, Z.; Tanase, D.; Saito, H.; Nobuoka, D.; Watanabe, J. Time-lapse crosswell seismic tomography and well logging to monitor the injected CO2 in an onshore aquifer, Nagaoka, Japan. In SEG Technical Program Expanded Abstracts 2005; Society of Exploration Geophysicists: Houston, TX, USA, 2005; pp. 1433–1436. [Google Scholar]
- Arts, R.; Eiken, O.; Chadwick, A.; Zweigel, P.; van der Meer, L.; Zinszner, B. Monitoring of CO2 injected at Sleipner using time-lapse seismic data. Energy 2004, 29, 1383–1392. [Google Scholar] [CrossRef]
- Wang, Z.; Cates, M.E.; Langan, R.T. Seismic monitoring of a CO2 flood in a carbonate reservoir: A rock physics study. Geophysics 1998, 63, 1604–1617. [Google Scholar] [CrossRef]
- Chadwick, R.A.; Noy, D.J. History-matching flow simulations and time-lapse seismic data from the Sleipner CO2 plume. Geol. Soc. Lond. Pet. Geol. Conf. Ser. 2011, 7, 1171–1182. [Google Scholar] [CrossRef]
- Ivandic, M.; Juhlin, C.; Lüth, S.; Bergmann, P.; Kashubin, A.; Sopher, D.; Ivanova, A.; Baumann, G.; Henninges, J. Geophysical monitoring at the Ketzin pilot site for CO2 storage: New insights into the plume evolution. Int. J. Greenh. Gas Control 2015, 32, 90–105. [Google Scholar] [CrossRef]
- White, D.J. Geophysical monitoring of the Weyburn CO2 flood: Results during 10 years of injection. Energy Procedia 2011, 4, 3628–3635. [Google Scholar] [CrossRef]
- Daley, T.M.; Myer, L.R.; Peterson, J.E.; Majer, E.L.; Hoversten, G.M. Time-lapse crosswell seismic and VSP monitoring of injected CO2 in a brine aquifer. Environ. Geol. 2007, 54, 1657–1665. [Google Scholar] [CrossRef]
- Harris, K.; White, D.; Samson, C.; Tao, J. 4D vertical seismic profile modeling of CO2 injection scenarios to evaluate field results at Aquistore. Int. J. Greenh. Gas Control 2018, 72, 192–207. [Google Scholar] [CrossRef]
- Lüth, S.; Bergmann, P.; Cosma, C.; Enescu, N.; Giese, R.; Götz, J.; Ivanova, A.; Juhlin, C.; Kashubin, A.; Yang, C.; et al. Time-lapse seismic surface and down-hole measurements for monitoring CO2 storage in the CO2SINK project (Ketzin, Germany). Energy Procedia 2011, 4, 3435–3442. [Google Scholar] [CrossRef][Green Version]
- O’Brien, J.; Kilbride, F.; Lim, F. Time-lapse VSP reservoir monitoring. Lead. Edge 2004, 23, 1178–1184. [Google Scholar] [CrossRef]
- Cosma, C.; Enescu, N. CO2 Injection Monitoring by High Resolution Time-lapse Crosshole Seismics (The CO2SINK Team-CO2SINK Project). In Proceedings of the 1st Sustainable Earth Sciences Conference and Exhibition (SES2011), Valencia, Spain, 8–11 November 2011. [Google Scholar]
- Lazaratos, S.K.; Marion, B.P. Crosswell seismic imaging of reservoir changes caused by CO2injection. Lead. Edge 1997, 16, 1300–1308. [Google Scholar] [CrossRef]
- Spetzler, J.; Xue, Z.; Saito, H.; Nishizawa, O. Case story: Time-lapse seismic crosswell monitoring of CO2 injected in an onshore sandstone aquifer. Geophys. J. Int. 2008, 172, 214–225. [Google Scholar] [CrossRef]
- Zhang, F.; Juhlin, C.; Cosma, C.; Tryggvason, A.; Pratt, R.G. Cross-well seismic waveform tomography for monitoring CO2 injection: A case study from the Ketzin Site, Germany. Geophys. J. Int 2012, 189, 629–646. [Google Scholar] [CrossRef]
- Singh, S.C.; Queisser, M. Quantitative Seismic Monitoring of CO2 at Sleipner Using 2D Full–waveform Inversion in the Time–lapse Mode. In Proceedings of the 72nd EAGE Conference and Exhibition incorporating SPE EUROPEC 2010, Barcelona, Spain, 14–17 June 2010. [Google Scholar]
- Gosselet, A.; Singh, S. 2D Full wave form inversion in time-lapse mode: CO2 quantification at Sleipner. In Proceedings of the 70th EAGE Conference and Exhibition-Workshops and Fieldtrips, Rome, Italy, 9–12 June 2008. [Google Scholar]
- Ichikawa, M.; Mouri, T.; Shigematsu, A.; Kato, A.; Nakata, R.; Nakata, N.; Xue, Z. Application of time-lapse acoustic FWI to cross-well seismic monitoring data sets in a CCS field. In Proceedings of the 82nd EAGE Annual Conference & Exhibition, Amsterdam, The Netherlands, 18–21 October 2021; pp. 1–5. [Google Scholar]
- Nakata, R.; Nakata, N.; Girard, A.; Ichikawa, M.; Kato, A.; Lumley, D.; Xue, Z. Time-lapse crosswell seismic monitoring of CO2 injection at the Nagaoka CCS site using elastic full-waveform inversion. In Proceedings of the Second International Meeting for Applied Geoscience & Energy, Houston, TX, USA, 28 August–1 September 2022; pp. 802–806. [Google Scholar]
- Lumley, D.; Adams, D.; Wright, R.; Markus, D.; Cole, S. Seismic monitoring of CO2 geo-sequestration: Realistic capabilities and limitations. In SEG Technical Program Expanded Abstracts 2008; Society of Exploration Geophysicists: Houston, TX, USA, 2008; pp. 2841–2845. [Google Scholar]
- Poupinet, G.; Ellsworth, W.L.; Frechet, J. Monitoring velocity variations in the crust using earthquake doublets: An application to the Calaveras Fault, California. J. Geophys. Res. Solid Earth 1984, 89, 5719–5731. [Google Scholar] [CrossRef]
- Snieder, R.; Gret, A.; Douma, H.; Scales, J. Coda wave interferometry for estimating nonlinear behavior in seismic velocity. Science 2002, 295, 2253–2255. [Google Scholar] [CrossRef]
- Snieder, R. The Theory of Coda Wave Interferometry. Pure Appl. Geophys. 2006, 163, 455–473. [Google Scholar] [CrossRef]
- Robinson, D.J.; Sambridge, M.; Snieder, R. A probabilistic approach for estimating the separation between a pair of earthquakes directly from their coda waves. J. Geophys. Res. 2011, 116, B04309. [Google Scholar] [CrossRef][Green Version]
- Snieder, R.; Vrijlandt, M. Constraining the source separation with coda wave interferometry: Theory and application to earthquake doublets in the Hayward fault, California. J. Geophys. Res. Solid Earth 2005, 110, B04301. [Google Scholar] [CrossRef]
- Robinson, D.J.; Sambridge, M.; Snieder, R.; Hauser, J. Relocating a Cluster of Earthquakes Using a Single Seismic Station. Bull. Seismol. Soc. Am. 2013, 103, 3057–3072. [Google Scholar] [CrossRef]
- Zhao, Y.; Curtis, A.; Baptie, B. Locating microseismic sources with a single seismometer channel using coda wave interferometry. Geophysics 2017, 82, A19–A24. [Google Scholar] [CrossRef]
- Brenguier, F.; Campillo, M.; Hadziioannou, C.; Shapiro, N.M.; Nadeau, R.M.; Larose, E. Postseismic relaxation along the San Andreas fault at Parkfield from continuous seismological observations. Science 2008, 321, 1478–1481. [Google Scholar] [CrossRef]
- Schaff, D.P.; Beroza, G.C. Coseismic and postseismic velocity changes measured by repeating earthquakes. J. Geophys. Res. Solid Earth 2004, 109, B10302. [Google Scholar] [CrossRef]
- Sheng, Y.; Ellsworth, W.L.; Lellouch, A.; Beroza, G.C. Depth Constraints on Coseismic Velocity Changes from Frequency-Dependent Measurements of Repeating Earthquake Waveforms. J. Geophys. Res. Solid Earth 2021, 126, e2020JB020421. [Google Scholar] [CrossRef]
- Wang, B.; Zhu, P.; Chen, Y.; Niu, F.; Wang, B. Continuous subsurface velocity measurement with coda wave interferometry. J. Geophys. Res. 2008, 113, B12313. [Google Scholar] [CrossRef]
- Chen, J.H.; Froment, B.; Liu, Q.Y.; Campillo, M. Distribution of seismic wave speed changes associated with the 12 May 2008 Mw 7.9 Wenchuan earthquake. Geophys. Res. Lett. 2010, 37, L18302. [Google Scholar] [CrossRef]
- Minato, S.; Tsuji, T.; Ohmi, S.; Matsuoka, T. Monitoring seismic velocity change caused by the 2011 Tohoku-oki earthquake using ambient noise records. Geophys. Res. Lett. 2012, 39, L09309. [Google Scholar] [CrossRef]
- Richter, T.; Sens-Schönfelder, C.; Kind, R.; Asch, G. Comprehensive observation and modeling of earthquake and temperature-related seismic velocity changes in northern Chile with passive image interferometry. J. Geophys. Res. Solid Earth 2014, 119, 4747–4765. [Google Scholar] [CrossRef]
- Zhou, R.; Huang, L.; Rutledge, J.T.; Fehler, M.; Daley, T.M.; Majer, E.L. Coda-wave interferometry analysis of time-lapse VSP data for monitoring geological carbon sequestration. Int. J. Greenh. Gas Control 2010, 4, 679–686. [Google Scholar] [CrossRef]
- Tang, J.; Li, J.-J.; Yao, Z.-A.; Shao, J.; Sun, C.-Y. Reservoir time-lapse variations and coda wave interferometry. Appl. Geophys. 2015, 12, 244–254. [Google Scholar] [CrossRef]
- Zhu, T.; Ajo-Franklin, J.; Daley, T.M.; Marone, C. Dynamics of geologic CO2 storage and plume motion revealed by seismic coda waves. Proc. Natl. Acad. Sci. USA 2019, 116, 2464–2469. [Google Scholar] [CrossRef] [PubMed]
- Roehl, K.F.A.D. Coda wave interferometry analysis on 4D seismic response from poroelastic and elastic reservoirs. In Proceedings of the 53rd US Rock Mechanics/Geomechanics Symposium, New York, NY, USA, 23–26 June 2019. [Google Scholar]
- Förster, A.; Giese, R.; Juhlin, C.; Norden, B.; Springer, N. The Geology of the CO2SINK Site: From Regional Scale to Laboratory Scale. Energy Procedia 2009, 1, 2911–2918. [Google Scholar] [CrossRef]
- Martens, S.; Liebscher, A.; Möller, F.; Henninges, J.; Kempka, T.; Lüth, S.; Norden, B.; Prevedel, B.; Szizybalski, A.; Zimmer, M.; et al. CO2 Storage at the Ketzin Pilot Site, Germany: Fourth Year of Injection, Monitoring, Modelling and Verification. Energy Procedia 2013, 37, 6434–6443. [Google Scholar] [CrossRef]
- Thorbecke, J.W.; Draganov, D. Finite-difference modeling experiments for seismic interferometry. Geophysics 2011, 76, H1–H18. [Google Scholar] [CrossRef]
- Yang, C.; Fan, W.; Juhlin, C. Coda-wave interferometry analysis of Synthetic time-lapse VSP data at CO2SINK project site, Ketzin, Germany. In Proceedings of the Borehole Geophysics Workshop-Emphasis on 3D VSP 2011, Istanbul, Turkey, 16–20 January 2011. [Google Scholar]
- Douma, H.; Snieder, R. Correcting for bias due to noise in coda wave interferometry. Geophys. J. Int. 2006, 164, 99–108. [Google Scholar] [CrossRef]
- Götz, J.; Lüth, S.; Krawczyk, C.M.; Cosma, C. Zero-Offset VSP Monitoring of CO2Storage: Impedance Inversion and Wedge Modelling at the Ketzin Pilot Site. Int. J. Geophys. 2014, 2014, 1–15. [Google Scholar] [CrossRef]
- Norden, B.; Förster, A.; Vu-Hoang, D.; Marcelis, F.; Springer, N.; Le Nir, I. Lithological and Petrophysical Core-Log Interpretation in CO2SINK, the European CO2 Onshore Research Storage and Verification Project. SPE Reserv. Eval. Eng. 2010, 13, 179–192. [Google Scholar] [CrossRef]


















| Processing Steps |
|---|
| 1. Bandpass filtering from 300 to 5000 Hz |
| 2. Suppression of tube waves in both the receiver and source domains |
| 3. Wavefield separation using Radon transform |
| 4. FX deconvolution |
| 5. Matching filter |
| 6. Mute direct waves |
Publisher’s Note: MDPI stays neutral with regard to jurisdictional claims in published maps and institutional affiliations. |
© 2022 by the authors. Licensee MDPI, Basel, Switzerland. This article is an open access article distributed under the terms and conditions of the Creative Commons Attribution (CC BY) license (https://creativecommons.org/licenses/by/4.0/).
Share and Cite
Xu, Z.; Zhang, F.; Juhlin, C.; Gong, X.; Han, L.; Cosma, C.; Lueth, S. Time-Lapse Cross-Well Monitoring of CO2 Sequestration Using Coda Wave Interferometry. Remote Sens. 2022, 14, 6194. https://doi.org/10.3390/rs14246194
Xu Z, Zhang F, Juhlin C, Gong X, Han L, Cosma C, Lueth S. Time-Lapse Cross-Well Monitoring of CO2 Sequestration Using Coda Wave Interferometry. Remote Sensing. 2022; 14(24):6194. https://doi.org/10.3390/rs14246194
Chicago/Turabian StyleXu, Zhuo, Fengjiao Zhang, Christopher Juhlin, Xiangbo Gong, Liguo Han, Calin Cosma, and Stefan Lueth. 2022. "Time-Lapse Cross-Well Monitoring of CO2 Sequestration Using Coda Wave Interferometry" Remote Sensing 14, no. 24: 6194. https://doi.org/10.3390/rs14246194
APA StyleXu, Z., Zhang, F., Juhlin, C., Gong, X., Han, L., Cosma, C., & Lueth, S. (2022). Time-Lapse Cross-Well Monitoring of CO2 Sequestration Using Coda Wave Interferometry. Remote Sensing, 14(24), 6194. https://doi.org/10.3390/rs14246194

