The Impact of NPV on the Spectral Parameters in the Yellow-Edge, Red-Edge and NIR Shoulder Wavelength Regions in Grasslands
Abstract
:1. Introduction
2. Materials and Methods
2.1. Study Area
2.2. Data Collection
2.3. Automatic Extraction of Spectral Parameters of Yellow-Edge, Red-Edge and NIR Shoulder
2.4. The Relationship between Dead Cover and the Spectral Parameters of Yellow-Edge, Red-Edge and NIR Shoulder
2.5. The Imapct of NPV on LAI Estimation by the Spectral Parameters
3. Results
3.1. The Relationship of the Spectral Parameters of Yellow-Edge, Red-Edge and NIR Shoulder with Dead Cover
3.2. The Relationship between NDVI and Dead Cover
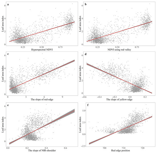
3.3. Influence of Dead Cover on LAI Estimation by NDVI and Spectral Parameters of Yellow-Edge, Red-Edge and NIR Shoulder and Dead Cover
4. Discussion
4.1. The Influence of Dead Materials on the Spectral Parameters of Yellow-Edge, Red-Edge and NIR Shoulder
4.2. The Impact of Dead Cover on LAI Estimation
5. Conclusions
Supplementary Materials
Author Contributions
Funding
Data Availability Statement
Acknowledgments
Conflicts of Interest
Appendix A


| The Slope of Yellow-Edge | The Slope of Red-Edge | The Slope of NIR Shoulder | Hyperspectral NDVI | NDVI Using Red Valley | LAI | Red-Edge Position | |
|---|---|---|---|---|---|---|---|
| The slope of yellow-edge | −0.94 * | −0.60 * | −0.94 * | −0.94 * | −0.71 * | −0.53 * | |
| The slope of red-edge | 0.70 * | 0.95 * | 0.95 * | 0.76 * | 0.63 * | ||
| The slope of NIR shoulder | 0.65 * | 0.65 * | 0.45 * | 0.41 * | |||
| Hyperspectral NDVI | 1 * | 0.78 * | 0.68 * | ||||
| NDVI using red valley | 0.79 * | 0.69 * | |||||
| LAI | 0.63 * | ||||||
| Red-edge position |

References
- Xu, D.D.; Guo, X.L.; Li, Z.Q.; Yang, X.H.; Yin, H. Measuring the dead component of mixed grassland with Landsat imagery. Remote Sens. Environ. 2014, 142, 33–43. [Google Scholar] [CrossRef]
- Novara, A.; Ruehl, J.; La Mantia, T.; Gristina, L.; La Bella, S.; Tuttolomondo, T. Litter contribution to soil organic carbon in the processes of agriculture abandon. Solid Earth 2015, 6, 425–432. [Google Scholar] [CrossRef] [Green Version]
- Eckstein, R.L.; Donath, T.W. Interactions between litter and water availability affect seedling emergence in four familial pairs of floodplain species. J. Ecol. 2005, 93, 807–816. [Google Scholar] [CrossRef]
- Guerschman, J.P.; Hill, M.J.; Renzullo, L.J.; Barrett, D.J.; Marks, A.S.; Botha, E.J. Estimating fractional cover of photosynthetic vegetation, non-photosynthetic vegetation and bare soil in the Australian tropical savanna region upscaling the EO-1 Hyperion and MODIS sensors. Remote Sens. Environ. 2009, 113, 928–945. [Google Scholar] [CrossRef]
- Patrick, L.B.; Fraser, L.H.; Kershner, M.W. Large-scale manipulation of plant litter and fertilizer in a managed successional temperate grassland. Plant Ecol. 2008, 197, 183–195. [Google Scholar] [CrossRef]
- Deutsch, E.S.; Bork, E.W.; Willms, W.D. Separation of grassland litter and ecosite influences on seasonal soil moisture and plant growth dynamics. Plant Ecol. 2010, 209, 135–145. [Google Scholar] [CrossRef]
- Bonanomi, G.; Caporaso, S.; Allegrezza, M. Effects of nitrogen enrichment, plant litter removal and cutting on a species-rich Mediterranean calcareous grassland. Plant Biosyst. 2009, 143, 443–455. [Google Scholar] [CrossRef]
- Chen, J.; Yi, S.; Qin, Y.; Wang, X. Improving estimates of fractional vegetation cover based on UAV in alpine grassland on the Qinghai-Tibetan Plateau. Int. J. Remote Sens. 2016, 37, 1922–1936. [Google Scholar] [CrossRef]
- Ge, J.; Meng, B.; Liang, T.; Feng, Q.; Gao, J.; Yang, S.; Huang, X.; Xie, H. Modeling alpine grassland cover based on MODIS data and support vector machine regression in the headwater region of the Huanghe River, China. Remote Sens. Environ. 2018, 218, 162–173. [Google Scholar] [CrossRef]
- He, Y.; Yang, J.; Guo, X. Green Vegetation Cover Dynamics in a Heterogeneous Grassland: Spectral Unmixing of Landsat Time Series from 1999 to 2014. Remote Sens. 2020, 12, 3826. [Google Scholar] [CrossRef]
- Jin, Y.; Yang, X.; Qiu, J.; Li, J.; Gao, T.; Wu, Q.; Zhao, F.; Ma, H.; Yu, H.; Xu, B. Remote Sensing-Based Biomass Estimation and Its Spatio-Temporal Variations in Temperate Grassland, Northern China. Remote Sens. 2014, 6, 1496–1513. [Google Scholar] [CrossRef] [Green Version]
- Meng, B.; Ge, J.; Liang, T.; Yang, S.; Gao, J.; Feng, Q.; Cui, X.; Huang, X.; Xie, H. Evaluation of Remote Sensing Inversion Error for the Above-Ground Biomass of Alpine Meadow Grassland Based on Multi-Source Satellite Data. Remote Sens. 2017, 9, 372. [Google Scholar] [CrossRef] [Green Version]
- Sakowska, K.; MacArthur, A.; Gianelle, D.; Dalponte, M.; Alberti, G.; Gioli, B.; Miglietta, F.; Pitacco, A.; Meggio, F.; Fava, F.; et al. Assessing Across-Scale Optical Diversity and Productivity Relationships in Grasslands of the Italian Alps. Remote Sens. 2019, 11, 614. [Google Scholar] [CrossRef] [Green Version]
- Shang, E.; Xu, E.; Zhang, H.; Liu, F. Analysis of Spatiotemporal Dynamics of the Chinese Vegetation Net Primary Productivity from the 1960s to the 2000s. Remote Sens. 2018, 10, 860. [Google Scholar] [CrossRef] [Green Version]
- Wang, G.; Liu, S.; Liu, T.; Fu, Z.; Yu, J.; Xue, B. Modelling above-ground biomass based on vegetation indexes: A modified approach for biomass estimation in semi-arid grasslands. Int. J. Remote Sens. 2019, 40, 3835–3854. [Google Scholar] [CrossRef]
- You, Y.; Wang, S.; Ma, Y.; Wang, X.; Liu, W. Improved Modeling of Gross Primary Productivity of Alpine Grasslands on the Tibetan Plateau Using the Biome-BGC Model. Remote Sens. 2019, 11, 1287. [Google Scholar] [CrossRef] [Green Version]
- Zhai, D.; Gao, X.; Li, B.; Yuan, Y.; Jiang, Y.; Liu, Y.; Li, Y.; Li, R.; Liu, W.; Xu, J. Driving Climatic Factors at Critical Plant Developmental Stages for Qinghai-Tibet Plateau Alpine Grassland Productivity. Remote Sens. 2022, 14, 1564. [Google Scholar] [CrossRef]
- Hoeppner, J.M.; Skidmore, A.K.; Darvishzadeh, R.; Heurich, M.; Chang, H.C.; Gara, T.W. Mapping Canopy Chlorophyll Content in a Temperate Forest Using Airborne Hyperspectral Data. Remote Sens. 2020, 12, 3573. [Google Scholar] [CrossRef]
- Zhang, A.W.; Hu, S.X.; Zhang, X.Z.; Zhang, T.P.; Li, M.N.; Tao, H.Y.; Hou, Y. A Handheld Grassland Vegetation Monitoring System Based on Multispectral Imaging. Agriculture 2021, 11, 1262. [Google Scholar] [CrossRef]
- Imran, H.A.; Gianelle, D.; Rocchini, D.; Dalponte, M.; Martin, M.P.; Sakowska, K.; Wohlfahrt, G.; Vescovo, L. VIS-NIR, Red-Edge and NIR-Shoulder Based Normalized Vegetation Indices Response to Co-Varying Leaf and Canopy Structural Traits in Heterogeneous Grasslands. Remote Sens. 2020, 12, 2254. [Google Scholar] [CrossRef]
- Polley, H.W.; Yang, C.H.; Wilsey, B.J.; Fay, P.A. Spectrally derived values of community leaf dry matter content link shifts in grassland composition with change in biomass production. Remote Sens. Ecol. Conserv. 2020, 6, 344–353. [Google Scholar] [CrossRef]
- Blackburn, R.C.; Barber, N.A.; Farrell, A.K.; Buscaglia, R.; Jones, H.P. Monitoring ecological characteristics of a tallgrass prairie using an unmanned aerial vehicle. Restor. Ecol. 2021, 29, e13339. [Google Scholar] [CrossRef]
- Wei, H.D.; Yang, X.M.; Zhang, B.; Ding, F.; Zhang, W.X.; Liu, S.Z.; Chen, F. Hyper-spectral characteristics of rolled-leaf desert vegetation in the Hexi Corridor, China. J. Arid Land 2019, 11, 332–344. [Google Scholar] [CrossRef] [Green Version]
- Zhang, T.; Jiang, X.D.; Jiang, L.L.; Li, X.R.; Yang, S.B.; Li, Y.X. Hyperspectral Reflectance Characteristics of Rice Canopies under Changes in Diffuse Radiation Fraction. Remote Sens. 2022, 14, 285. [Google Scholar] [CrossRef]
- Xu, D.D.; An, D.S.; Guo, X.L. The Impact of Non-Photosynthetic Vegetation on LAI Estimation by NDVI in Mixed Grassland. Remote Sens. 2020, 12, 1979. [Google Scholar] [CrossRef]
- Jiang, S.; Wang, F.; Shen, L.M.; Liao, G.P. Local detrended fluctuation analysis for spectral red-edge parameters extraction. Nonlinear Dyn. 2018, 93, 995–1008. [Google Scholar] [CrossRef]
- Liu, C.; Hu, Z.H.; Kong, R.; Yu, L.F.; Wang, Y.Y.; Chen, S.T.; Zhang, X.S. Hyperspectral characteristics and leaf area index monitoring of rice (Oryza sativa L.) under carbon dioxide concentration enrichment. Spectrosc. Lett. 2021, 54, 231–243. [Google Scholar] [CrossRef]
- Kang, Y.; Meng, Q.; Liu, M.; Zou, Y.; Wang, X. Crop Classification Based on Red Edge Features Analysis of GF-6 WFV Data. Sensors 2021, 21, 4328. [Google Scholar] [CrossRef]
- Lin, Y.H.; Shen, H.F.; Tian, Q.J.; Gu, X.F. Improving leaf area index retrieval using spectral characteristic parameters and data splitting. Int. J. Remote Sens. 2020, 41, 1741–1759. [Google Scholar] [CrossRef]
- Sun, Q.; Gu, X.H.; Sun, L.; Yang, G.J.; Zhou, L.F.; Guo, W. Dynamic change in rice leaf area index and spectral response under flooding stress. Paddy Water Environ. 2020, 18, 223–233. [Google Scholar] [CrossRef]
- Gao, J.L.; Liang, T.G.; Yin, J.P.; Ge, J.; Feng, Q.S.; Wu, C.X.; Hou, M.J.; Liu, J.; Xie, H.J. Estimation of Alpine Grassland Forage Nitrogen Coupled with Hyperspectral Characteristics during Different Growth Periods on the Tibetan Plateau. Remote Sens. 2019, 11, 2085. [Google Scholar] [CrossRef] [Green Version]
- Zheng, J.J.; Li, F.; Du, X. Using Red Edge Position Shift to Monitor Grassland Grazing Intensity in Inner Mongolia. J. Indian Soc. Remote Sens. 2018, 46, 81–88. [Google Scholar] [CrossRef]
- Yang, F.F.; Liu, S.P.; Wang, Q.Y.; Liu, T.; Li, S.J. Assessing Waterlogging Stress Level of Winter Wheat from Hyperspectral Imagery Based on Harmonic Analysis. Remote Sens. 2022, 14, 122. [Google Scholar] [CrossRef]
- Klein, D.; Menz, G. Monitoring of seasonal vegetation response to rainfall variation and land use in East Africa using ENVISAT MERIS data. In Proceedings of the 25th IEEE International Geoscience and Remote Sensing Symposium (IGARSS 2005), Seoul, Korea, 25–29 July 2005; IEEE: Piscataway, NJ, USA, 2005; pp. 2884–2887. [Google Scholar]
- Sibanda, M.; Mutanga, O.; Rouget, M. Testing the capabilities of the new WorldView-3 space-borne sensor’s red-edge spectral band in discriminating and mapping complex grassland management treatments. Int. J. Remote Sens. 2017, 38, 1–22. [Google Scholar] [CrossRef]
- Zhu, Y.H.; Liu, K.; Liu, L.; Myint, S.W.; Wang, S.G.; Liu, H.X.; He, Z. Exploring the Potential of WorldView-2 Red-Edge Band-Based Vegetation Indices for Estimation of Mangrove Leaf Area Index with Machine Learning Algorithms. Remote Sens. 2017, 9, 1060. [Google Scholar] [CrossRef] [Green Version]
- Schuster, C.; Foerster, M.; Kleinschmit, B. Testing the red edge channel for improving land-use classifications based on high-resolution multi-spectral satellite data. Int. J. Remote Sens. 2012, 33, 5583–5599. [Google Scholar] [CrossRef]
- Kim, H.-O.; Yeom, J.-M. Effect of red-edge and texture features for object-based paddy rice crop classification using RapidEye multi-spectral satellite image data. Int. J. Remote Sens. 2014, 35, 7046–7068. [Google Scholar] [CrossRef]
- Gholizadeh, A.; Misurec, J.; Kopackova, V.; Mielke, C.; Rogass, C. Assessment of Red-Edge Position Extraction Techniques: A Case Study for Norway Spruce Forests Using HyMap and Simulated Sentinel-2 Data. Forests 2016, 7, 226. [Google Scholar] [CrossRef] [Green Version]
- Guo, X.L.; Wilmshurst, J.F.; Li, Z.Q. Comparison of Laboratory and Field Remote Sensing Methods to Measure Forage Quality. Int. J. Environ. Res. Public Health 2010, 7, 3513–3530. [Google Scholar] [CrossRef]
- Guo, X.; Wilmshurst, J.; McCanny, S.; Fargey, P.; Richard, P. Measuring Spatial and Vertical Heterogeneity of Grasslands Using Remote Sensing Techniques. J. Environ. Inform. 2004, 3, 24–32. [Google Scholar] [CrossRef] [Green Version]
- Xu, D.D.; Geng, Q.H.; Jin, C.S.; Xu, Z.K.; Xu, X. Tree Line Identification and Dynamics under Climate Change in Wuyishan National Park Based on Landsat Images. Remote Sens. 2020, 12, 2890. [Google Scholar] [CrossRef]
- Li, M.; Zheng, Y.; Fan, R.R.; Zhong, Q.L.; Cheng, D.L. Scaling relationships of twig biomass allocation in Pinus hwangshanensis along an altitudinal gradient. PLoS ONE 2017, 12, e0178344. [Google Scholar] [CrossRef] [PubMed]
- Lin, F.F.; Guo, S.; Tan, C.W.; Zhou, X.G.; Zhang, D.Y. Identification of Rice Sheath Blight through Spectral Responses Using Hyperspectral Images. Sensors 2020, 20, 6243. [Google Scholar] [CrossRef] [PubMed]
- Li, D.; Tian, L.; Wan, Z.F.; Jia, M.; Yao, X.; Tian, Y.C.; Zhu, Y.; Cao, W.X.; Cheng, T. Assessment of unified models for estimating leaf chlorophyll content across directional-hemispherical reflectance and bidirectional reflectance spectra. Remote Sens. Environ. 2019, 231, 111240. [Google Scholar] [CrossRef]
- Wu, C.; Niu, Z.; Tang, Q.; Huang, W. Estimating chlorophyll content from hyperspectral vegetation indices: Modeling and validation. Agric. Forest Meteorol. 2008, 148, 1230–1241. [Google Scholar] [CrossRef]
- Asner, G.P.; Lobell, D.B. A biogeophysical approach for automated SWIR unmixing of soils and vegetation. Remote Sens. Environ. 2000, 74, 99–112. [Google Scholar] [CrossRef]
- Ustin, S.L.; Valko, P.G.; Kefauver, S.C.; Santos, M.J.; Zimpfer, J.F.; Smith, S.D. Remote sensing of biological soil crust under simulated climate change manipulations in the Mojave Desert. Remote Sens. Environ. 2009, 113, 317–328. [Google Scholar] [CrossRef]
- Duan, M.J.; Gao, Q.Z.; Wan, Y.F.; Li, Y.; Guo, Y.Q.; Ganzhu, Z.B.; Liu, Y.T.; Qin, X.B. Biomass estimation of alpine grasslands under different grazing intensities using spectral vegetation indices. Can. J. Remote Sens. 2011, 37, 413–421. [Google Scholar] [CrossRef]
- Jiang, C.; Chen, Y.; Wu, H.; Li, W.; Zhou, H.; Bo, Y.; Shao, H.; Song, S.; Puttonen, E.; Hyyppae, J. Study of a High Spectral Resolution Hyperspectral LiDAR in Vegetation Red Edge Parameters Extraction. Remote Sens. 2019, 11, 2007. [Google Scholar] [CrossRef] [Green Version]
- Chen, J.; Gu, S.; Shen, M.G.; Tang, Y.H.; Matsushita, B. Estimating aboveground biomass of grassland having a high canopy cover: An exploratory analysis of in situ hyperspectral data. Int. J. Remote Sens. 2009, 30, 6497–6517. [Google Scholar] [CrossRef]
- Liu, Z.-Y.; Huang, J.-F.; Wu, X.-H.; Dong, Y.-P. Comparison of vegetation indices and red-edge parameters for estimating grassland cover from canopy reflectance data. J. Integr. Plant Biol. 2007, 49, 299–306. [Google Scholar] [CrossRef]
- Liu, X.H.; Wang, L. Feasibility of using consumer-grade unmanned aerial vehicles to estimate leaf area index in Mangrove forest. Remote Sens. Lett. 2018, 9, 1040–1049. [Google Scholar] [CrossRef]
- Zhang, J.; Yang, C.H.; Zhao, B.Q.; Song, H.B.; Hoffmann, W.C.; Shi, Y.Y.; Zhang, D.Y.; Zhang, G.Z. Crop Classification and LAI Estimation Using Original and Resolution-Reduced Images from Two Consumer-Grade Cameras. Remote Sens. 2017, 9, 1054. [Google Scholar] [CrossRef] [Green Version]
- Lin, Q.A.; Huang, H.G.; Yu, L.F.; Wang, J.X. Detection of Shoot Beetle Stress on Yunnan Pine Forest Using a Coupled LIBERTY2-INFORM Simulation. Remote Sens. 2018, 10, 1133. [Google Scholar] [CrossRef] [Green Version]
- Li, Z.Q.; Guo, X.L. A suitable vegetation index for quantifying temporal variation of leaf area index (LAI) in semiarid mixed grassland. Can. J. Remote Sens. 2010, 36, 709–721. [Google Scholar] [CrossRef]






| Sites | Statistics | Green Cover (%) | Dead Cover (%) | Bare Soil (%) | LAI | Hyperspectral NDVI |
|---|---|---|---|---|---|---|
| All data | Maximum | 97 | 99 | 90 | 6.270 | 0.954 |
| Minimum | 0 | 0 | 0 | 0.100 | 0.067 | |
| Mean | 30.841 | 50.895 | 16.089 | 1.556 | 0.403 | |
| Median | 16 | 57 | 10 | 1.080 | 0.277 | |
| Standard deviation | 29.815 | 26.048 | 18.101 | 1.196 | 0.263 | |
| Transects in GNP | Maximum | 50 | 99 | 89 | 4.130 | 0.648 |
| Minimum | 0 | 4 | 0 | 0.100 | 0.067 | |
| Mean | 11.310 | 66.468 | 19.414 | 0.965 | 0.224 | |
| Median | 10 | 69 | 15 | 0.810 | 0.216 | |
| Standard deviation | 6.732 | 15.462 | 16.727 | 0.608 | 0.069 | |
| Sites in GNP | Maximum | 95 | 90 | 90 | 5.560 | 0.954 |
| Minimum | 5 | 0 | 0 | 0.100 | 0.088 | |
| Mean | 43.166 | 34.456 | 20.188 | 1.921 | 0.539 | |
| Median | 40 | 35 | 10 | 1.760 | 0.514 | |
| Standard deviation | 18.186 | 20.406 | 21.996 | 1.217 | 0.156 | |
| Sites in WNP | Maximum | 97 | 90 | 10 | 6.270 | 0.940 |
| Minimum | 10 | 3 | 0 | 1.560 | 0.566 | |
| Mean | 83.492 | 16.442 | 0.066 | 3.339 | 0.860 | |
| Median | 87 | 13 | 0 | 3.320 | 0.868 | |
| Standard deviation | 12.521 | 12.447 | 0.697 | 0.703 | 0.040 |
| Spectral Parameters | Description |
|---|---|
| R segmentation | Wavelength of the change-point between yellow-edge and red-edge (the first turning point from segmented linear regression in the 600–900 nm regions). |
| NIR segmentation | Wavelength of the change-point between red-edge and NIR shoulder (the second turning point from segmented linear regression in the 600–900 nm regions). |
| The slope of yellow-edge | The slope of the linear regression between the reflectance and wavelength in yellow-edge (550–640 nm [23]; from 600 nm to R segmentation in this study). |
| Red valley position | Wavelength of the strongest absorption in the transition between yellow-edge and red-edge (650–690 nm [23,33]; wavelength of the lowest reflectance between 600 nm to the R segmentation in this study). |
| The slope of red-edge | The slope of the linear regression between the reflectance and wavelength in red-edge (680–760 nm [23,29]; from R segmentation to NIR segmentation in this study). |
| Red-edge position | Wavelength corresponding to the maximum slope in the 680–760 nm regions [23,34] (the middle position between R segmentation and NIR segmentation in this study). |
| The slope of NIR shoulder | The slope of the linear regression between the reflectance and wavelength in NIR shoulder (750–900 nm [20]; from NIR segmentation to 900 nm in this study). |
| Coverage | The Slope of Red-Edge | The Slope of Yellow-Edge | The Slope of NIR Shoulder | Red-Edge Position | Red Valley Position | Hyperspectral NDVI | NDVI Using Red Valley |
|---|---|---|---|---|---|---|---|
| Dead materials 1 | 0.141% * | 0.626% * | 0.003% * | 0.009% | 0.919% * | 0.465% * | 0.389% * |
| Green vegetation 1 | 81.295% * | 78.628% * | 27.970% * | 88.988% * | 69.942% * | 89.432% * | 89.902% * |
| Bare soil 1 | 0.038% * | 0.700% * | 0.003% * | 0.450% * | 1.116% * | 0.153% * | 0.079% * |
| Spectral Parameters | Linear Regression for LAI Estimation | Residual and Dead Cover 2 | ||||||
|---|---|---|---|---|---|---|---|---|
| R2 | Adjusted R2 | RMSE 1 | Slope | Intercept | Threshold | Std. Error 3 | Correlation 4 | |
| Hyperspectral NDVI | 0.601 * | 0.601 * | 0.751 | 3.48 * | 0.20 * | 72.32 * | 0.81 | 0.497 * |
| NDVI using red valley | 0.618 * | 0.618 * | 0.736 | 3.69 * | 0.05 * | 72.39 * | 0.85 | 0.484 * |
| The slope of red-edge | 0.580 * | 0.580 * | 0.771 | 0.42 * | 0.63 | 73.69 * | 0.88 | 0.475 * |
| The slope of yellow-edge | 0.498 * | 0.498 * | 0.843 | –5.38 * | 1.57 * | 71.61 * | 0.75 | 0.539 * |
| The slope of NIR shoulder | 0.203 * | 0.202 * | 1.063 | 8.31 * | –0.53 * | 66.64 * | 0.92 | 0.435 * |
| Red-edge position | 0.402 * | 0.401 * | 0.920 | 0.17 * | –122.50 * | 74.51 * | 0.94 | 0.357 * |
Publisher’s Note: MDPI stays neutral with regard to jurisdictional claims in published maps and institutional affiliations. |
© 2022 by the authors. Licensee MDPI, Basel, Switzerland. This article is an open access article distributed under the terms and conditions of the Creative Commons Attribution (CC BY) license (https://creativecommons.org/licenses/by/4.0/).
Share and Cite
Xu, D.; Liu, Y.; Xu, W.; Guo, X. The Impact of NPV on the Spectral Parameters in the Yellow-Edge, Red-Edge and NIR Shoulder Wavelength Regions in Grasslands. Remote Sens. 2022, 14, 3031. https://doi.org/10.3390/rs14133031
Xu D, Liu Y, Xu W, Guo X. The Impact of NPV on the Spectral Parameters in the Yellow-Edge, Red-Edge and NIR Shoulder Wavelength Regions in Grasslands. Remote Sensing. 2022; 14(13):3031. https://doi.org/10.3390/rs14133031
Chicago/Turabian StyleXu, Dandan, Yanqing Liu, Weixin Xu, and Xulin Guo. 2022. "The Impact of NPV on the Spectral Parameters in the Yellow-Edge, Red-Edge and NIR Shoulder Wavelength Regions in Grasslands" Remote Sensing 14, no. 13: 3031. https://doi.org/10.3390/rs14133031
APA StyleXu, D., Liu, Y., Xu, W., & Guo, X. (2022). The Impact of NPV on the Spectral Parameters in the Yellow-Edge, Red-Edge and NIR Shoulder Wavelength Regions in Grasslands. Remote Sensing, 14(13), 3031. https://doi.org/10.3390/rs14133031

