Variability of Net Primary Productivity and Associated Biophysical Drivers in Bahía de La Paz (Mexico)
Abstract
1. Introduction
2. Materials and Methods
2.1. Study Area
2.2. In Situ Data Collection
2.3. Satellite Data
2.4. Monthly Climatologies from Satellite Data
2.5. Correlations among Satellite Variables
2.6. Climate Indices
2.7. Determination of Periodicity
2.8. Calculation of NPP and SST Anomalies and Determination of the Warm and Cold Events
3. Results
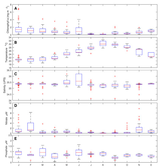
3.1. Seasonal Variations in In-Situ Chl-a, Nutrients and Hydrographic Data
3.2. Seasonal Variation in Satellite-Derived NPP and Biophysical Conditions
3.3. NPP vs. Environmental Variables
3.4. Interannual Variation and Periodicity of NPP and Biophysical Conditions
3.5. Regime Shift in NPP and SST
4. Discussion
5. Conclusions
Supplementary Materials
Author Contributions
Funding
Institutional Review Board Statement
Informed Consent Statement
Data Availability Statement
Acknowledgments
Conflicts of Interest
References
- Falkowski, P. Ocean Science: The power of plankton. Nature 2012, 483, S17–S20. [Google Scholar] [CrossRef]
- Smyth, T.J.; Tilstone, G.H.; Groom, S.B. Integration of radiative transfer into satellite models of ocean primary production. J. Geophys. Res. Ocean. 2005, 110. [Google Scholar] [CrossRef]
- Parsons, T.; Maita, Y.; Lalli, C. A Manual of Chemical and Biological Methods for Seawater Analysis; Pergamon: Amsterdam, The Netherlands, 1984. [Google Scholar]
- Bakun, A. Patterns in the Ocean: Ocean Processes and Marine Population Dynamics; California Sea Grant, in Cooperation with Centro de Investigaciones Biologicas del Noroeste: La Paz, Mexico, 1996. [Google Scholar]
- Nielsen, E.; Hansen, V. Measurements with the carbon-14 technique of the respiration rates in natural populations of phytoplankton. Deep Sea Res. 1953 1958, 5, 222–233. [Google Scholar] [CrossRef]
- Kirk, J.T.O. Light and Photosynthesis in Aquatic Ecosystems; Cambridge University Press: Cambridge, UK, 2011. [Google Scholar]
- Behrenfeld, M.J.; Falkowski, P.G. A consumer’s guide to phytoplankton primary productivity models. Limnol. Oceanogr. 1997, 42, 1479–1491. [Google Scholar] [CrossRef]
- Behrenfeld, M.J.; Falkowski, P.G. Photosynthetic rates derived from satellite-based chlorophyll concentration. Limnol. Oceanogr. 1997, 42, 1–20. [Google Scholar] [CrossRef]
- Kahru, M.; Mitchell, B.G. Influence of the 1997–98 El Niño on the surface chlorophyll in the California Current. Geophys. Res. Lett. 2000, 27, 2937–2940. [Google Scholar] [CrossRef]
- Cepeda-Morales, J.; Gaxiola-Castro, G.; Durazo, R.; de-la Cruz-Orozco, M. Productividad primaria modelada, 1998–2006. In Diez Años de Investigaciones Mexicanas de la Corriente de California; INE/CICESE/UABC/SEMARNAT: Mexico City, Mexico, 2010; pp. 349–3634. [Google Scholar]
- Hidalgo-González, R.M.; Alvarez-Borrego, S. Total and new production in the Gulf of California estimated from ocean color data from the satellite sensor SeaWIFS. Deep Sea Res. Part II: Top. Stud. Oceanogr. 2004, 51, 739–752. [Google Scholar] [CrossRef]
- López-Calderón, J.; Manzo-Monroy, H.; Santamaría-del Ángel, E.; Castro, R.; González-Silvera, A.; Millán-Núñez, R. Mesoscale variability of the Mexican Tropical Pacific using TOPEX and SeaWiFS data. Cienc. Mar. 2006, 32, 539–549. [Google Scholar] [CrossRef]
- López-Sandoval, D.; Lara-Lara, J.; Lavín, M.; Álvarez Borrego, S.; Gaxiola-Castro, G. Primary productivity in the eastern tropical Pacific off Cabo Corrientes, Mexico. Cienc. Mar. 2009, 35, 169–182. [Google Scholar] [CrossRef]
- Mirabal-Gómez, U.; Mercado-Santana, A.; Linacre, L.; Lara-Lara, R.; Bazan-Guzman, C.; de la Cruz-Orozco, M.; Sanchez-Robles, C. Variabilidad de la productividad primaria integrada en Perdido y Coatzacoalcos del Golfo de México (2006–2016). In Estado Actual del Conocimiento del Ciclo del Carbono y sus Interacciones en Mexico: Sintesis a 2017; Programa Mexicano del Carbono: Texcoco, Mexico, 2017; pp. 352–358. [Google Scholar]
- Damien, P.; Pasqueron de Fommervault, O.; Sheinbaum, J.; Jouanno, J.; Camacho-Ibar, V.F.; Duteil, O. Partitioning of the Open Waters of the Gulf of Mexico Based on the Seasonal and Interannual Variability of Chlorophyll Concentration. J. Geophys. Res. Ocean. 2018, 123, 2592–2614. [Google Scholar] [CrossRef]
- Vázquez-Hurtado, M.; Maldonado-García, M.; Lechuga-Devéze, C.; Acosta-Salmón, H.; Ortega-Rubio, A. La pesquería artesanal en la Bahía de La Paz y su área oceánica adyacente (Golfo de California, México). Cienc. Mar. 2010, 36, 433–444. [Google Scholar]
- Andrew Whitehead, D.; Jakes-Cota, U.; Pancaldi, F.; Galván-Magaña, F.; González-Armas, R. The influence of zooplankton communities on the feeding behavior of whale shark in Bahia de La Paz, Gulf of California. Rev. Mex. De Biodivers. 2020, 91. [Google Scholar] [CrossRef]
- Marinone, S.G.; Parés-Sierra, A.; Castro, R.; Mascarenhas, A. Correction to “Temporal and Spatial variation of the surface winds in the Gulf of California”. Geophys. Res. Lett. 2004, 31. [Google Scholar] [CrossRef]
- Coria-Monter, E.; Salas de Leon, D.; Monreal-Gómez, M.; Durán-Campos, E. Internal waves in the Bay of La Paz, southern Gulf of California, Mexico. Vie Milieu Life Environ. 2019, 69, 115–122. [Google Scholar]
- KlimLey, A.; Cabrera-Mancillas, I.; Castillo-Geniz, J. Horizontal and vertical movements of the scalloped hammerhead shark, Sphyrna lewini, in the southern Gulf Of California, Mexico. Cienc. Mar. 1993, 19, 95–115. [Google Scholar] [CrossRef]
- De Silva-Dávila, R.; Palomares-García, R. Distributional patterns of the euphausiid community in Bahía de La Paz, BCS, México. In Campbell Biology; Instituto de Ciencias del Mar y Limnología, UNAM: Mexico City, Mexico, 2002; pp. 109–125. [Google Scholar]
- Verdugo-Díaz, G.; Martínez-López, A.; Villegas-Aguilera, M.M.; Gaxiola-Castro, G. Producción primaria y eficiencia fotosintética en Cuenca Alfonso, Bahía de La Paz, Golfo de California, México. Rev. De Biol. Mar. Y Oceanogr. 2014, 49, 527–536. [Google Scholar] [CrossRef]
- Molina-Cruz, A.; Pérez-Cruz, L.; Monreal-Gómez, M.A. Laminated sediments in the Bay of La Paz, Gulf of California: A depositional cycle regulated by pluvial flux. Sedimentology 2002, 49, 1401–1410. [Google Scholar] [CrossRef]
- Silverberg, N.; Shumilin, E.; Aguirre-Bahena, F.; Rodríguez-Castañeda, A.P.; Sapozhnikov, D. The impact of hurricanes on sedimenting particulate matter in the semi-arid Bahía de La Paz, Gulf of California. Cont. Shelf Res. 2007, 27, 2513–2522. [Google Scholar] [CrossRef]
- Obeso-Nieblas, M.; Shirasago, B.; Sánchez-Velasco, L.; Gaviño-Rodriguez, J. Hydrographic variability in Bahia De La Paz, B.C.S., Mexico, during the 1997–1998 El Niño. Deep Sea Res. Part II Top. Stud. Oceanogr. 2004, 51, 689–710. [Google Scholar] [CrossRef]
- Turrent, C.; Zaitsev, O. Seasonal Cycle of the Near-Surface Diurnal Wind Field Over the Bay of La Paz, Mexico. Bound. Layer Meteorol. 2014, 151, 353–371. [Google Scholar] [CrossRef]
- Trasviña-Castro, A.; de Velasco, G.; Valle-Levinson, A.; González-Armas, R.; Muhlia, A.; Cosio, M. Hydrographic observations of the flow in the vicinity of a shallow seamount top in the Gulf of California. Estuar. Coast. Shelf Sci. 2003, 57, 149–162. [Google Scholar] [CrossRef]
- Herrera-Cervantes, H. Sea surface temperature, ocean color and wind forcing patterns in the Bay of La Paz, Gulf of California: Seasonal variability. Atmósfera 2018, 32, 25–38. [Google Scholar] [CrossRef]
- Obeso-Nieblas, M.; Shirasago-Germán, B.; Gavino-Rodríguez, J.H.; Obeso-Huerta, H.; Pérez-Lezama, E.L.; Jiménez-Illescas, A.R. Hydrography at the North Mouth of La Paz Bay, Baja California Sur, Mexico. Cienc. Mar. 2007, 33, 95–115. [Google Scholar] [CrossRef]
- Coria-Monter, E.; Monreal-Gómez, M.A.; Salas de León, D.A.; Durán-Campos, E.; Merino-Ibarra, M. Wind driven nutrient and subsurface chlorophyll-a enhancement in the Bay of La Paz, Gulf of California. Estuar. Coast. Shelf Sci. 2017, 196, 290–300. [Google Scholar] [CrossRef]
- Monreal-Gómez, M.; Molina-Cruz, A.; de León, D.S. Water masses and cyclonic circulation in Bay of La Paz, Gulf of California, during June 1998. J. Mar. Syst. 2001, 30, 305–315. [Google Scholar] [CrossRef]
- Portela, E.; Beier, E.; Barton, E.D.; Castro, R.; Godínez, V.M.; Palacios-Hernández, E.; Fiedler, P.C.; Sánchez-Velasco, L.; Trasviña, A. Water Masses and Circulation in the Tropical Pacific off Central Mexico and Surrounding Areas. J. Phys. Oceanogr. 2016, 46, 3069–3081. [Google Scholar] [CrossRef]
- Coria-Monter, E.; Monreal-Gómez, M.A.; Salas-de León, D.A.; Aldeco-Ramírez, J.; Merino-Ibarra, M. Differential distribution of diatoms and dinoflagellates in a cyclonic eddy confined in the Bay of La Paz, Gulf of California. J. Geophys. Res. Ocean. 2014, 119, 6258–6268. [Google Scholar] [CrossRef]
- Sánchez-Velasco, L.; Beier, E.; Avalos-García, C.; Lavín, M.F. Larval fish assemblages and geostrophic circulation in Bahía de La Paz and the surrounding southwestern region of the Gulf of California. J. Plankton Res. 2006, 28, 1081–1098. [Google Scholar] [CrossRef]
- Garcia-Mirafuentes, S. Análisis de las Características del Giro CiclóNico de la Bahía de La Paz. Master’s Thesis, Universidad Nacional Autónoma de México, Mexico City, Mexico, 2010. [Google Scholar]
- Bibby, T.S.; Gorbunov, M.Y.; Wyman, K.W.; Falkowski, P.G. Photosynthetic community responses to upwelling in mesoscale eddies in the subtropical North Atlantic and Pacific Oceans. Deep Sea Res. Part II Top. Stud. Oceanogr. 2008, 55, 1310–1320. [Google Scholar] [CrossRef]
- Chelton, D.B.; Schlax, M.G.; Samelson, R.M. Global observations of nonlinear mesoscale eddies. Prog. Oceanogr. 2011, 91, 167–216. [Google Scholar] [CrossRef]
- Hinojosa-Medina, J. Caracterización de los Perfiles Verticales de Clorofila-a en una Bahía Subtropical del Pacifico Mexicano. Master’s Thesis, CICIMAR-IPN, La Paz, Mexico, 2007. [Google Scholar]
- Reyes-Salinas, A. Factores que Controlan la Productividad Primaria en la Bahía de La Paz, B.C.S. Master’s Thesis, CICIMAR-IPN, La Paz, Mexico, 1999. [Google Scholar]
- Martínez-López, A.; Cervantes-Duarte, R.; Reyes-Salinas, A.; Valdez-Holguín, J.E. Cambio estacional de clorofila a en la Bahía de La Paz, México. Hidrobiológica 2001, 11, 45–52. [Google Scholar]
- Romero-Bañuelos, C.A. Hidrología y Metales Pesados en la Materia Particulada Suspendida del Agua Superficial de la Porción sur de la Bahía de La Paz, México. Master’s Thesis, CICIMAR-IPN, La Paz, Mexico, 2003. [Google Scholar]
- Verdugo-Díaz, G. Respuesta Ecofisiológica del Fitoplancton Ante la Variabilidad Ambiental en una Bahía Subtropical de Baja California Sur, México. Ph.D. Thesis, CICIMAR-IPN, La Paz, Mexico, 2004. [Google Scholar]
- Ocean Productivity. Available online: http://sites.science.oregonstate.edu/ocean.productivity/index.php (accessed on 21 January 2021).
- MODIS-Aqua. Available online: https://oceancolor.gsfc.nasa.gov/data/aqua/ (accessed on 21 January 2021).
- SAT Global Monitoring and Forecasting Center (2018) GLORYS12 V1—Global Ocean Physical Reanalysis Product. Available online: http://resources.marine.copernicus.eu/?option=com_csw&view=details&product_id=GLOBAL_REANALYSIS_PHY_001_030 (accessed on 11 May 2020).
- COPERNICUS Platform of the European Space Agency. Available online: https://cds.climate.copernicus.eu/cdsapp#!/dataset/seasonal-original-single-levels?tab=overview (accessed on 21 January 2021).
- ECMWF. Copernicus Climate Reanalysis ERA 5. Available online: https://www.ecmwf.int/en/research/climate-reanalysis (accessed on 21 January 2021).
- Gill, A.E. Atmosphere-Ocean Dynamics; Academic Press: Cambridge, MA, USA, 1982. [Google Scholar]
- González-Rodríguez, E.; Trasviña Castro, A.; Gaxiola-Castro, G.; Zamudio, L.; Cervantes-Duarte, R. Net primary productivity, upwelling and coastal currents in the Gulf of Ulloa, Baja California, México. Ocean Sci. 2012, 8, 703–711. [Google Scholar] [CrossRef]
- Multivariate ENSO Index v2. Available online: https://psl.noaa.gov/enso/mei/ (accessed on 21 January 2021).
- The Pacific Decadal Oscillation. Available online: http://research.jisao.washington.edu/pdo/ (accessed on 21 January 2021).
- Bloomfield, P. Fourier Analysis of Time Series: An Introduction; Wiley Series in Probability and Statistics; Wiley: Hoboken, NJ, USA, 1976. [Google Scholar]
- González-Rodríguez, E.; Villalobos, H.; Gómez-Muñoz, V.; Ramos-Rodríguez, A. Computational Method for Extracting and Modeling Periodicities in Time Series. Open J. Stat. 2015, 5, 604–617. [Google Scholar] [CrossRef][Green Version]
- Kushnir, Y. Interdecadal Variations in North Atlantic Sea Surface Temperature and Associated Atmospheric Conditions. J. Clim. 1994, 7, 141–157. [Google Scholar] [CrossRef]
- Ramos-Rodríguez, A.; Lluch-Cota, D.B.; Lluch-Cota, S.E.; Trasviña Castro, A. Sea surface temperature anomalies, seasonal cycle and trend regimes in the Eastern Pacific coast. Ocean Sci. 2012, 8, 81–90. [Google Scholar] [CrossRef]
- Rodionov, S.N. Use of prewhitening in climate regime shift detection. Geophys. Res. Lett. 2006, 33. [Google Scholar] [CrossRef]
- Robles-Tamayo, C.M.; García-Morales, R.; Valdez-Holguín, J.E.; Figueroa-Preciado, G.; Herrera-Cervantes, H.; López-Martínez, J.; Enríquez-Ocaña, L.F. Chlorophyll a Concentration Distribution on the Mainland Coast of the Gulf of California, Mexico. Remote Sens. 2020, 12, 1335. [Google Scholar] [CrossRef]
- Bustos-Serrano, H.; Castro-Valdez, R. Flux of nutrients in the Gulf of California: Geostrophic approach. Mar. Chem. 2006, 99, 210–219. [Google Scholar] [CrossRef]
- Hernández-Trujillo, S.; Zárate-Villafranco, A.; Pacheco-Chávez, R.; Esqueda-Escárcega, G.; Hernández-Alfonso, J.R.; Aceves-Medina, G. Pastoreo del mesozooplancton sobre el fitoplancton en la Bahía de La Paz, B.C.S., México. Hidrobiológica 2007, 17, 225–231. [Google Scholar]
- Shumilin, E.; Kalmykov, S.; Sapozhnikov, D.; Nava-Sánchez, E.; Gorsline, D.; Godinez-Orta, L.; Sapozhnikov, Y.; Quiñones, O.H.; Castaneda, A.R. Major and Trace Element Accumulation in Coastal Sediments along Southeastern Baja California Studied by Instrumental Neutron Activation Analysis and 210Pb Age-Dating. J. Radioanal. Nuclear Chem. 2000, 246, 533–541. [Google Scholar] [CrossRef]
- Duran-Campos, E.; de León, D.A.S.; Monreal-Gómez, M.A.; Aldeco-Ramírez, J.; Coria-Monter, E. Differential zooplankton aggregation due to relative vorticity in a semi-enclosed bay. Estuar. Coast. Shelf Sci. 2015, 164, 10–18. [Google Scholar] [CrossRef]
- Hinojosa-Medina, A. Bahía de La Paz: Hábitat de Desove de peces de la Familia Clupeidae. Master’s Thesis, CICIMAR-IPN, La Paz, Mexico, 2004. [Google Scholar]
- Sánchez-Velasco, L.; Jiménez-Rosenberg, S.P.A.; Shirasago, B.; Obeso-Nieblas, M. Distribution and abundance of fish larvae in Bahia De La Paz (Gulf of California) and their relation to hydrographic variability during summer (1997–1998). Deep Sea Res. Part II Top. Stud. Oceanogr. 2004, 51, 723–737. [Google Scholar] [CrossRef]
- Bond, N.A.; Cronin, M.F.; Freeland, H.; Mantua, N. Causes and impacts of the 2014 warm anomaly in the NE Pacific. Geophys. Res. Lett. 2015, 42, 3414–3420. [Google Scholar] [CrossRef]
- Lorenzo, E.D.; Mantua, N. Multi-year persistence of the 2014/15 North Pacific marine heatwave. Nat. Clim Chang. 2016, 6, 1042–1047. [Google Scholar] [CrossRef]
- Freeland, H.; Whitney, F. Unusual warming in the Gulf of Alaska. PICES Press 2014, 22, 51–52. [Google Scholar]
- Whitney, F.A. Anomalous winter winds decrease 2014 transition zone productivity in the NE Pacific. Geophys. Res. Lett. 2015, 42, 428–431. [Google Scholar] [CrossRef]
- Herrera-Cervantes, H.; Lluch-Cota, S.E.; Cortés-Ramos, J.; Farfán, L.; Morales-Aspeitia, R. Interannual variability of surface satellite-derived chlorophyll concentration in the bay of La Paz, Mexico, during 2003–2018 period: The ENSO signature. Cont. Shelf Res. 2020, 209, 104254. [Google Scholar] [CrossRef]
- Behrenfeld, M.J.; O’Malley, R.T.; Siegel, D.A.; McClain, C.R.; Sarmiento, J.L.; Feldman, G.C.; Milligan, A.J.; Falkowski, P.G.; Letelier, R.M.; Boss, E.S. Climate-driven trends in contemporary ocean productivity. Nature 2010, 444, 753–755. [Google Scholar] [CrossRef] [PubMed]
- Henson, S.A.; Sarmiento, J.L.; Dunne, J.P.; Bopp, L.; Lima, I.; Doney, S.C.; John, J.; Beaulieu, C. Detection of anthropogenic climate change in satellite records of ocean chlorophyll and productivity. Biogeosciences 2010, 7, 621–640. [Google Scholar] [CrossRef]
- Gonzalez-Morales, A.T.; Gaxiola-Castro, G.; Lara-Lara, J. Daily Photosynthetic Parameters and Biomass from Size-Fractionated Phytoplankton off Baja California. Estuar. Coast. Shelf Sci. 1993, 36, 147–158. [Google Scholar] [CrossRef]
- Gaxiola-Castro, G.; Garcia-Cordova, J.; Eduardo Valdez-Holguin, J.; Botello-Ruvalcaba, M. Spatial distribution of chlorophyll α and primary productivity in relation to winter physical structure in the Gulf of California. Cont. Shelf Res. 1995, 15, 1043–1059. [Google Scholar] [CrossRef]
- Reyes-Salinas, A.; Cervantes-Duarte, R.; Morales-Pérez, R.A.; Valdez-Holguín, J.E. Variabilidad estacional de la productividad primaria y su relación con la estratificación vertical en la Bahía de la Paz, B.C.S. Hidrobiolà 2003, 13, 103–110. [Google Scholar]





| Gulf of California Water (GCW) | Subsurface Subtropical Water (SsStW) | |||||||
|---|---|---|---|---|---|---|---|---|
| Variable | JAN | APR | JUL | NOV | JAN | APR | JUL | NOV |
| Z(m) | 10 | 10 | 10 | 10 | 106 ± 17 | 79 ± 10 | 200 ± 12 | 178 ± 12 |
| T (°C) | 20.7 ± 0.4 | 20.9 ± 0.4 | 25.8 ± 1.0 | 27.0 ± 0.1 | 15.3 ± 0.3 | 14.6 ± 0.2 | 13.9 ± 0.1 | 14.3 ± 0.3 |
| S | 35.34 ± 0.09 | 35.32 ± 0.03 | 35.25 ± 0.08 | 35.33 ± 0.01 | <34.9 | <34.9 | <34.9 | <34.9 |
| NO | 3.4± 3.0 | 3.4± 3.1 | 2.7± 2.5 | 0.9± 0.7 | 22.8 ± 11.7 | 19.3 ± 5.3 | 17.0 ± 4.2 | 21.9 ± 3.2 |
| PO | 1.0 ± 0.3 | 0.8 ± 0.5 | 1.1 ± 0.2 | 0.7 ± 0.1 | 2.2 ± 0.6 | 2.3 ± 0.5 | 2.5 ± 0.5 | 2.7 ± 0.3 |
| CHL | 1.8 ± 0.4 | 1.9 ± 1.7 | 1.1 ± 1.0 | 0.5 ± 0.2 | 0.19 ± 0.11 | 0.14 ± 0.11 | 0.13 ± 0.07 | 0.07 ± 0.05 |
| NPP | CHLO | SST | PAR | WSC | DEN | MEI | PDO | ||||||||
|---|---|---|---|---|---|---|---|---|---|---|---|---|---|---|---|
| Per | R | Per | R | Per | R | Per | R | Per | R | Per | R | Per | R | Per | R |
| 12 | 0.485 | 12 | 0.245 | 12 | 0.888 | 12 | 0.943 | 12 | 0.823 | 12 | 0.972 | 66 | 0.142 | 68 | 0.066 |
| 6 | 0.59 | 6 | 0.383 | 6 | 0.916 | 6 | 0.963 | 6 | 0.874 | 6 | 0.983 | 133 | 0.274 | 517 | 0.127 |
| 56 | 0.63 | 55 | 0.435 | 53 | 0.922 | 75 | 0.965 | 18 | 0.877 | 102 | 0.985 | 44 | 0.391 | 229 | 0.18 |
| 5 | 0.66 | 4 | 0.461 | 6 | 0.945 | 6 | 0.969 | 3 | 0.878 | 7 | 0.989 | 13 | 0.738 | 34 | 0.508 |
Publisher’s Note: MDPI stays neutral with regard to jurisdictional claims in published maps and institutional affiliations. |
© 2021 by the authors. Licensee MDPI, Basel, Switzerland. This article is an open access article distributed under the terms and conditions of the Creative Commons Attribution (CC BY) license (https://creativecommons.org/licenses/by/4.0/).
Share and Cite
Cervantes-Duarte, R.; González-Rodríguez, E.; Funes-Rodríguez, R.; Ramos-Rodríguez , A.; Torres-Hernández, M.Y.; Aguirre-Bahena, F. Variability of Net Primary Productivity and Associated Biophysical Drivers in Bahía de La Paz (Mexico). Remote Sens. 2021, 13, 1644. https://doi.org/10.3390/rs13091644
Cervantes-Duarte R, González-Rodríguez E, Funes-Rodríguez R, Ramos-Rodríguez A, Torres-Hernández MY, Aguirre-Bahena F. Variability of Net Primary Productivity and Associated Biophysical Drivers in Bahía de La Paz (Mexico). Remote Sensing. 2021; 13(9):1644. https://doi.org/10.3390/rs13091644
Chicago/Turabian StyleCervantes-Duarte, Rafael, Eduardo González-Rodríguez, René Funes-Rodríguez, Alejandro Ramos-Rodríguez , María Yesenia Torres-Hernández, and Fernando Aguirre-Bahena. 2021. "Variability of Net Primary Productivity and Associated Biophysical Drivers in Bahía de La Paz (Mexico)" Remote Sensing 13, no. 9: 1644. https://doi.org/10.3390/rs13091644
APA StyleCervantes-Duarte, R., González-Rodríguez, E., Funes-Rodríguez, R., Ramos-Rodríguez , A., Torres-Hernández, M. Y., & Aguirre-Bahena, F. (2021). Variability of Net Primary Productivity and Associated Biophysical Drivers in Bahía de La Paz (Mexico). Remote Sensing, 13(9), 1644. https://doi.org/10.3390/rs13091644

