Remote Detection of Surge-Related Glacier Terminus Change across High Mountain Asia
Abstract
1. Introduction
2. High Mountain Asia
Surging Glaciers in HMA
3. Data and Methods
3.1. Data
3.2. Methods
3.2.1. Surge Identification and Validation
3.2.2. Terminus Change Delimitation
3.2.3. Terminus Change Quantification
3.2.4. Classification of Surge Phenomenology
4. Results
4.1. Surge Phenomenology
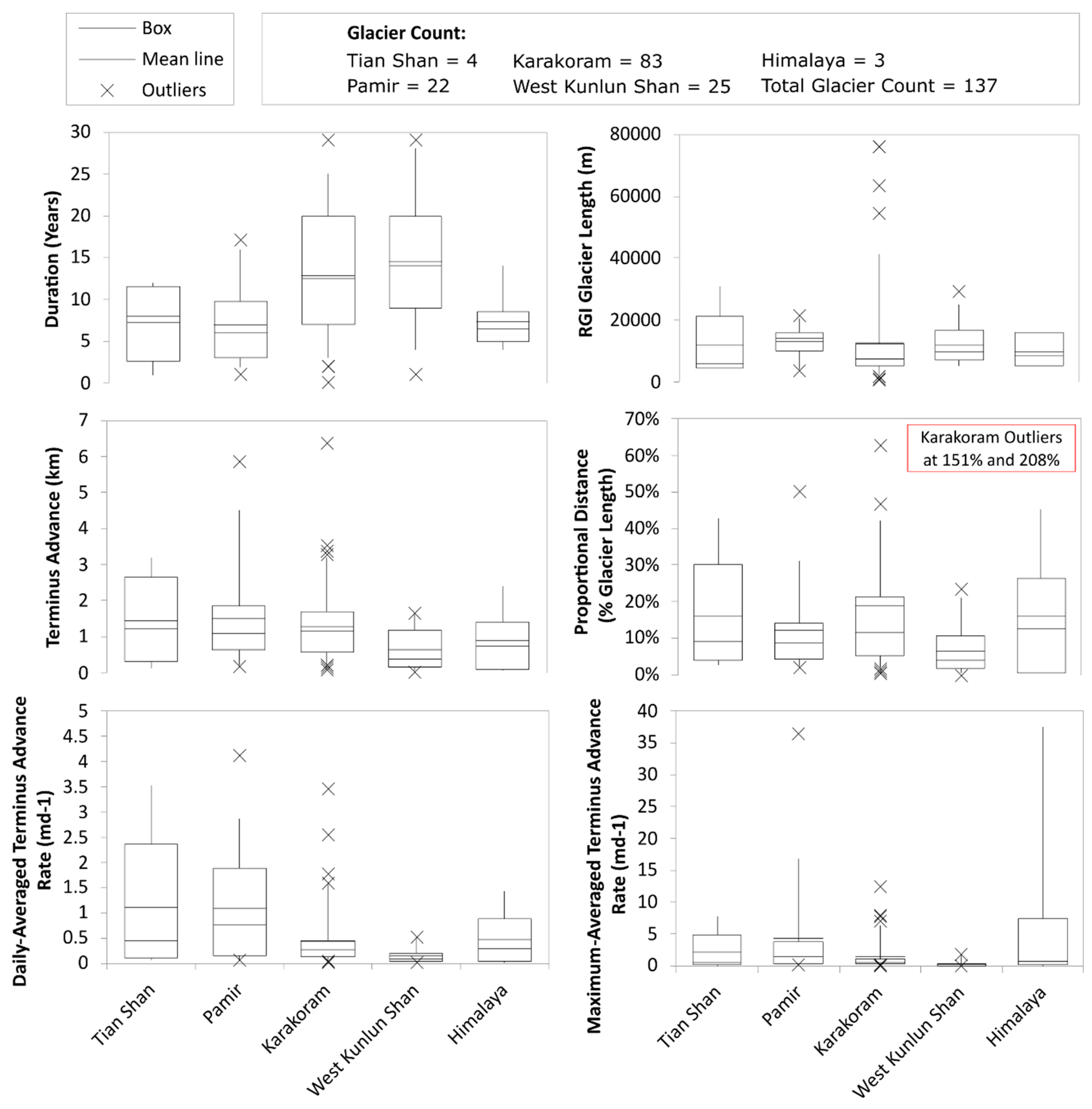
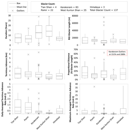
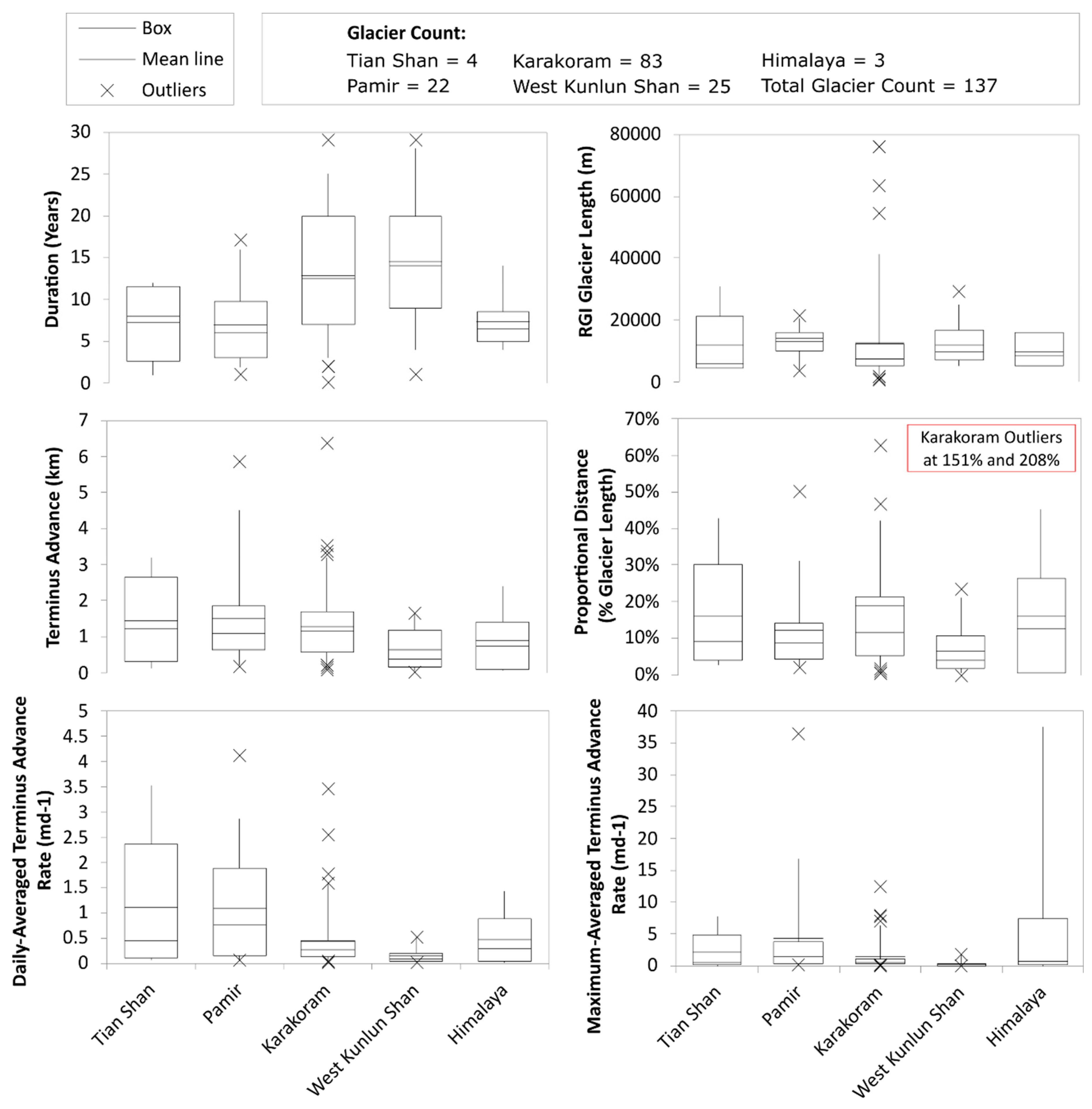
4.2. Surge Characteristics
5. Discussion
5.1. Glacier Surging across High Mountain Asia
5.2. Surge Classification
5.3. Regional Surge Characteristics
5.3.1. Tian Shan
5.3.2. Pamir
5.3.3. Karakoram
5.3.4. West Kunlun Shan
5.3.5. Himalaya
5.4. Implications
5.5. Evaluation of Methods
6. Conclusions
Supplementary Materials
Author Contributions
Funding
Institutional Review Board Statement
Informed Consent Statement
Data Availability Statement
Acknowledgments
Conflicts of Interest
References
- Yao, T.; Thompson, L.; Yang, W.; Yu, W.; Gao, Y.; Guo, X.; Yang, X.; Duan, K.; Zhao, H.; Xu, B.; et al. Different Glacier Status with Atmospheric Circulations in Tibetan Plateau and Surroundings. Nat. Clim. Chang. 2012, 2, 663–667. [Google Scholar] [CrossRef]
- Miles, E.S.; Willis, I.; Buri, P.; Steiner, J.F.; Arnold, N.S.; Pellicciotti, F. Surface Pond Energy Absorption Across Four Himalayan Glaciers Accounts for 1/8 of Total Catchment Ice Loss. Geophys. Res. Lett. 2018, 45. [Google Scholar] [CrossRef]
- Bolch, T.; Kulkarni, A.; Kääb, A.; Huggel, C.; Paul, F.; Cogley, J.G.; Frey, H.; Kargel, J.S.; Fujita, K.; Scheel, M.; et al. The State and Fate of Himalayan Glaciers. Science 2012, 336, 310–314. [Google Scholar] [CrossRef]
- Sevestre, H.; Benn, D.I. Climatic and Geometric Controls on the Global Distribution of Surge-Type Glaciers: Implications for a Unifying Model of Surging. J. Glaciol. 2015, 61, 646–662. [Google Scholar] [CrossRef]
- Sharp, M. Surging Glaciers: Behaviour and Mechanisms. Prog. Phys. Geogr. 1988, 12, 349–370. [Google Scholar] [CrossRef]
- Yde, J.C.; Paasche, Ø. Reconstructing Climate Change: Not All Glaciers Suitable. Eos Trans. Am. Geophys. Union 2010, 91, 189–196. [Google Scholar] [CrossRef]
- Frappé, T.P.; Clarke, G.K.C. Slow Surge of Trapridge Glacier, Yukon Territory, Canada. J. Geophys. Res. Earth Surf. 2007, 112, 1–17. [Google Scholar] [CrossRef]
- Jiskoot, H.; Boyle, P.; Murray, T. The Incidence of Glacier Surging in Svalbard: Evidence from Multivariate Statistics. Comput. Geosci. 1998, 24, 387–399. [Google Scholar] [CrossRef]
- Kamb, B.; Raymond, C.F.; Engelhardt, H.; Echelmeyer, K.A.; Brugm, M.M. Glacier Surge Mechanism: 1982–1983 Surge of Variegated Glacier, Alaska. Science 1985, 227, 469–479. [Google Scholar] [CrossRef]
- Quincey, D.J.; Braun, M.; Glasser, N.F.; Bishop, M.P.; Hewitt, K.; Luckman, A. Karakoram Glacier Surge Dynamics. Geophys. Res. Lett. 2011, 38, L18504. [Google Scholar] [CrossRef]
- Gardelle, J.; Berthier, E.; Arnaud, Y.; Kaab, A.; Kaab, A. Region-Wide Glacier Mass Balance over the Pamir-Karakoram-Himalaya during 1999–2011. Cryosphere 2013, 7, 1263–1286. [Google Scholar] [CrossRef]
- Bhambri, R.; Bolch, T.; Kawishwar, P.; Dobhal, D.P.; Srivastava, D.; Pratap, B. Heterogeneity in Glacier Response in the Upper Shyok Valley, Northeast Karakoram. The Cryosphere. Cryosphere 2013, 7, 1385–1398. [Google Scholar] [CrossRef]
- Kääb, A.; Treichler, D.; Nuth, C.; Berthier, E. Brief Communication: Contending Estimates of 2003-2008 Glacier Mass Balance over the Pamir-Karakoram-Himalaya. Cryosphere 2015, 9, 557–564. [Google Scholar] [CrossRef]
- Lv, M.; Guo, H.; Lu, X.; Liu, G.; Yan, S.; Ruan, Z.; Ding, Y.; Quincey, D.J. Characterizing the Behaviour of Surge and Non-Surge-Type Glaciers in the Kingata Mountains, Eastern Pamir, from 1999–2016. Cryopshere 2019, 13, 219–236. [Google Scholar] [CrossRef]
- Haemmig, C.; Huss, M.; Keusen, H.; Hess, J.; Wegmüller, U.; Wegmüller, W.; Ao, Z.; Kulubayi, W. Hazard Assessment of Glacial Lake Outburst Floods from Kyagar Glacier, Karakoram Mountains, China. Ann. Glaciol. 2014, 55, 34–44. [Google Scholar] [CrossRef]
- Bhambri, R.; Watson, C.S.; Hewitt, K.; Haritashya, U.K.; Kargel, J.S.; Pratap Shahi, A.; Chand, P.; Kumar, A.; Verma, A.; Govil, H. The Hazardous 2017–2019 Surge and River Damming by Shispare Glacier, Karakoram. Sci. Rep. 2020, 10, 1–14. [Google Scholar] [CrossRef] [PubMed]
- Kotlyakov, V.M.; Osipova, G.B.; Tsvetkov, D.G. Monitoring Surging Glaciers of the Pamirs, Central Asia, from Space. Ann. Glaciol. 2008, 48, 125–144. [Google Scholar] [CrossRef]
- Bhambri, R.; Hewitt, K.; Kawishwar, P.; Pratap, B. Surge-Type and Surge-Modified Glaciers in the Karakoram. Sci. Rep. 2017, 7, 1–14. [Google Scholar] [CrossRef]
- Gorelick, N.; Hancher, M.; Dixon, M.; Ilyushchenko, S.; Thau, D.; Moore, R. Google Earth Engine: Planetary-Scale Geospatial Analysis for Everyone. Remote Sens. Environ. 2017, 202, 18–27. [Google Scholar] [CrossRef]
- Lea, J.M. Google Earth Engine Digitisation Tool (GEEDiT) and Margin Change Quantification Tool (MaQiT)-1 Simple Tools for the Rapid Mapping and Quantification of Changing Earth Surface Margins. Earth Surf. Dyn. Discuss. 2018, 6. [Google Scholar] [CrossRef]
- RGI Consortium. Randolph Glacier Inventory (RGI)—A Dataset of Global Glacier Outlines: Version 6.0; Global Land Ice Measurements from Space: Boulder, CO, USA, 2017. [Google Scholar]
- Treichler, D.; Kääb, A.; Salzmann, N.; Xu, C.-Y. Recent Glacier and Lake Changes in High Mountain Asia and Their Relation to Precipitation Changes. Cryosphere 2019, 13, 2977–3005. [Google Scholar] [CrossRef]
- Treichler, D.; Kääb, A.; Salzmann, N. High Mountain Asia Glacier Elevation Trends 2003–2008, Lake Volume Changes 1990–2015 and their Relation to Precipitation Changes. Cryosphere Discuss. 2018. [Google Scholar] [CrossRef]
- Brun, F.; Berthier, E.; Wagnon, P.; Kääb, A.; Treichler, D. A Spatially Resolved Estimate of High Mountain Asia Glacier Mass Balances from 2000–2016. Nat. Geosci. 2017, 10, 668–673. [Google Scholar] [CrossRef]
- Vaughan, D.G.; Comiso, J.C.; Allison, I.; Carrasco, J.; Kaser, G.; Kwok, R.; Mote, P.; Murray, T.; Paul, F.; Ren, J.; et al. Observations: Cryosphere. In Climate Change 2013: The Physical Science Basis. Contribution of Working Group I to the Fifth Assessment Report of the Intergovernmental Panel on Climate Change; Stocker, T.F., Qin, D., Plattner, G.-K., Tignor, M., Allen, S.K., Boschung, J., Nauels, A., Xia, Y., Bex, V., Midgley, P.M., Eds.; Cambridge University Press: Cambridge, UK, 2013. [Google Scholar]
- Bolch, T.; Shea, J.M.; Liu, S.; Azam, F.M.; Gao, Y.; Gruber, S.; Immerzeel, W.; Kulkarni, A.; Li, H.; Tahir, A.; et al. Status and Change of the Cryosphere in the Extended Hindu Kush Himalaya Region. In The Hindu Kush Himalaya Assessment; Springer: Cham, Switzerland, 2019; pp. 209–255. [Google Scholar] [CrossRef]
- Bookhagen, B.; Burbank, D.W. Topography, Relief and TRMM-Derived Rainfall Variations along the Himalaya. Geophys. Res. Lett. 2006, 33, L08405. [Google Scholar] [CrossRef]
- Maussion, F.; Scherer, D.; Molg, T.; Molg, M.; Collier, E.; Curio, J.; Finkelnburg, R. Precipitation Seasonality and Variability over the Tibetan Plateau as Resolved by the High Asia Reanalysis. J. Clim. 2014, 27, 1910–1927. [Google Scholar] [CrossRef]
- Bookhagen, B.; Burbank, D.W. Toward a Complete Himalayan Hydrological Budget: Spatiotemporal Distribution of Snowmelt and Rainfall and their Impact on River Discharge. J. Geophys. Res. Earth Surf. 2010, 115, F03019. [Google Scholar] [CrossRef]
- Hewitt, K. Glacier Change, Concentration and Elevation Effects in the Karakoram Himalaya, Upper Indus Basin. Mt. Res. Dev. 2011, 31, 188–200. [Google Scholar] [CrossRef]
- Farinotti, D.; Immerzeel, W.W.; De Kok, R.J.; Quincey, D.J.; Dehecq, A. Manifestations and Mechanisms of the Karakoram Glacier Anomaly. Nat. Geosci. 2020, 13, 8–16. [Google Scholar] [CrossRef]
- Berthier, E.; Brun, F. Karakoram Geodetic Glacier Mass Balances between 2008 and 2016: Persistence of the Anomaly and Influence of a Large Rock Avalanche on Siachen Glacier. J. Glaciol. 2019, 65, 494–507. [Google Scholar] [CrossRef]
- Hewitt, K. The Karakoram Anomaly? Glacier Expansion and the ‘Elevation Effect’ Karakoram Himalaya. Mt. Res. Dev. 2005, 25, 332–340. [Google Scholar] [CrossRef]
- Fowler, H.J.; Archer, D.R. Conflicting Signals of Climatic Change in the Upper Indus Basin. J. Clim. 2006, 19, 4276–4293. [Google Scholar] [CrossRef]
- Janes, T.J.; Bush, A.B.G. The Role of Atmospheric Dynamics and Climate Change on the Possible Fate of Glaciers in the Karakoram. J. Clim. 2012, 25, 8308–8327. [Google Scholar] [CrossRef]
- Li, X.-F.; Fowler, H.J.; Forsythe, N.; Blenkinsop, S.; Pritchard, D. The Karakoram/Western Tibetan Vortex: Seasonal and Year-to-Year Variability. Clim. Dyn. 2018, 51, 3883–3906. [Google Scholar] [CrossRef]
- De Kok, R.J.; De Tuinenburg, O.A.; Bonekamp, P.N.J.; Immerzeel, W.W. Irrigation as a Potential Driver for Anomalous Glacier Behavior in High Mountain Asia. Geophys. Res. Lett. 2018, 45, 2047–2054. [Google Scholar] [CrossRef]
- Mukherjee, K.; Bolch, T.; Goerlich, F.; Kutuzov, S.; Osmonov, A.; Pieczonka, T.; Shesterova, I. Surge-Type Glaciers in the Tien Shan (Central Asia). Arct. Antarct. Alp. Res. 2017, 49, 147–171. [Google Scholar] [CrossRef]
- Abe, T.; Furuya, M.; Sakakibara, D. Brief Communication: Twelve-Year Cyclic Surging Episodes at Donjek Glacier in Yukon, Canada. Cryosphere 2016, 10, 1427–1432. [Google Scholar] [CrossRef]
- Wendt, A.; Mayer, C.; Lambrecht, A.; Floricioiu, D. A Glacier Surge of Bivachny Glacier, Pamir Mountains, Observed by a Time Series of High-Resolution Digital Elevation Models and Glacier Velocities. Remote Sens. 2017, 9, 388. [Google Scholar] [CrossRef]
- Copland, L.; Sylvestre, T.; Bishop, M.; Shroder, J.; Seong, Y.; Owen, L.; Bush, A.; Kamp, U. Expanded and Recently Increased Glacier Surging in the Karakoram. Arct. Antarct. Alp. Res. 2011, 43, 503–516. [Google Scholar] [CrossRef]
- Quincey, D.J.; Glasser, N.F.; Cook, S.J.; Luckman, A. Heterogeneity in Karakoram Glacier Surges. J. Geophys. Res. Earth Surf. 2015, 120, 1288–1300. [Google Scholar] [CrossRef]
- Yasuda, T.; Furuya, M. Dynamics of Surge-type Glaciers in West Kunlun Shan, Northwestern Tibet. J. Geophys. Res. Earth Surf. 2015, 120, 2393–2405. [Google Scholar] [CrossRef]
- Chudley, T.R.; Willis, I.C. Glacier Surges in the North-West West Kunlun Shan Inferred from 1972–2017 Landsat Imagery. J. Glaciol. 2019, 65, 1–12. [Google Scholar] [CrossRef]
- Lovell, A.M.; Carr, J.R.; Stokes, C.R. Topographic Controls on the Surging Behaviour of Sabche Glacier, Nepal (1967–2017). Remote Sens. Environ. 2018, 210, 434–443. [Google Scholar] [CrossRef]
- Wenjing, Z. Identification of Glaciers with Surge Characteristics on the Tibetan Plateau. Ann. Glaciol. 1992, 16, 168–172. [Google Scholar] [CrossRef]
- Richardson, S.D.; Reynolds, J.M. An Overview of Glacial Hazards in the Himalayas. Quat. Int. 2000, 65, 31–47. [Google Scholar] [CrossRef]
- Häusler, H.; Ng, F.; Kopecny, A.; Leber, D. Remote-Sensing-Based Analysis of the 1996 Surge of Northern Inylchek Glacier, Central Tien Shan, Kyrgyzstan. Geomorphology 2016, 273, 292–307. [Google Scholar] [CrossRef]
- Shangguan, D.H.; Bolch, T.; Ding, Y.J.; Kröhnert, M.; Pieczonka, T.; Wetzel, H.U.; Liu, S.Y. Mass Changes of Southern and Northern Inylchek Glacier, Central Tian Shan, Kyrgyzstan, during 1975 and 2007 Derived from Remote Sensing Data. Cryopshere 2015, 9, 703–717. [Google Scholar] [CrossRef]
- Steiner, J.F.; Kraaijenbrink, P.D.A.; Jiduc, S.G.; Immerzeel, W.W. Brief Communication: The Khurdopin Glacier Surge Revisited-Extreme Flow Velocities and Formation of a Dammed Lake in 2017. Cryosphere 2018, 12, 95–101. [Google Scholar] [CrossRef]
- USGS. USGS Landsat: Collection 1 Level 1: Product Definition. Available online: https://www.usgs.gov/core-science-systems/nli/landsat/landsat-collection-1?qt-science_support_page_related_con=1#qt-science_support_page_related_con (accessed on 8 March 2019).
- Pepin, N.; Bradley, R.S.; Diaz, H.F.; Baraer, M.; Caceres, E.B.; Forsythe, N.; Fowler, H.; Greenwood, G.; Hashmi, M.Z.; Liu, X.D.; et al. Elevation-Dependent Warming in Mountain Regions of the World. Nat. Clim. Chang. 2015, 5, 424–430. [Google Scholar] [CrossRef]
- Miles, K.E.; Hubbard, B.; Irvine-Fynn, T.D.L.; Miles, E.S.; Quincey, D.J.; Rowan, A.V. Hydrology of Debris-Covered Glaciers in High Mountain Asia. Earth Sci. Rev. 2020, 207. [Google Scholar] [CrossRef]
- Brough, S.; Carr, J.R.; Ross, N.; Lea, J.M. Exceptional Retreat of Kangerlussuaq Glacier, East Greenland, between 2016 and 2018. Front. Earth Sci. 2019, 7. [Google Scholar] [CrossRef]
- Fahnestock, M.; Scambos, T.; Moon, T.; Gardner, A.; Haran, T.; Klinger, M. Rapid Large-Area Mapping of Ice Flow using Landsat 8. Remote Sens. Environ. 2016, 185, 84–94. [Google Scholar] [CrossRef]
- Storey, J.; Choate, M.; Kenton, L. Landsat 8 Operational Land Imager On-Orbit Geometric Calibration and Performance. Remote Sens. 2014, 6, 11127–11152. [Google Scholar] [CrossRef]
- USGS. USGS Landsat Levels of Processing. Available online: https://www.usgs.gov/core-science-systems/nli/landsat/landsat-levels-processing (accessed on 9 November 2020).
- QGIS. QGIS Geographic Information System. Open Source Geospatial Foundation Project. 2019. Available online: https://qgis.org/en/site (accessed on 22 June 2020).
- Lea, J.M.; Mair, D.W.F.; Rea, B.R. Evaluation of Existing and New Methods of Tracking Glacier Terminus Change. J. Glaciol. 2014, 60, 323–332. [Google Scholar] [CrossRef]
- Paul, F. Revealing Glacier Flow and Surge Dynamics from Animated Satellite Image Sequences: Examples from the Karakoram. Cryosphere 2015, 9, 2201–2214. [Google Scholar] [CrossRef]
- Hamilton, G.S.; Dowdeswell, J.A. Controls on Glacier Surging in Svalbard. J. Glaciol. 1996, 42, 157–168. [Google Scholar] [CrossRef]
- Jiskoot, H.; Murray, T.; Boyle, P. Controls on the Distribution of Surge-Type Glaciers in Svalbard. J. Glaciol. 2000, 46, 412–422. [Google Scholar] [CrossRef]
- Copland, L.; Sharp, M.J.; Dowdeswell, J.A. The Distribution and Flow Characteristics of Surge-Type Glaciers in the Canadian High Arctic. Ann. Glaciol. 2003, 36, 73–81. [Google Scholar] [CrossRef]
- Dowdeswell, J.A.; Hamilton, G.S.; Hagen, J.O. The Duration of the Active Phase on Surge-Type Glaciers: Contrasts between Svalbard and Other Regions. J. Glaciol. 1991, 37, 388–400. [Google Scholar] [CrossRef]
- Lv, M.; Guo, H.; Yan, J.; Wu, K.; Liu, G.; Lu, X.; Ruan, Z.; Yan, S. Distinguishing Glaciers between Surging and Advancing by Remote Sensing: A Case Study in the Eastern Karakoram. Remote Sens. 2020, 12, 2297. [Google Scholar] [CrossRef]
- Round, V.; Leinss, S.; Huss, M.; Haemmig, C.; Hajnsek, I. Surge Dynamics and Lake Outbursts of Kyagar Glacier, Karakoram. Cryosphere 2017, 11, 723–739. [Google Scholar] [CrossRef]
- Gardelle, J.; Berthier, E.; Arnaud, Y. Slight Mass Gain of Karakoram Glaciers in the Early Twenty-First Century. Nat. Geosci. 2012, 5, 322–325. [Google Scholar] [CrossRef]
- Bao, W.-J.; Liu, S.-Y.; Wei, J.-F.; Guo, W.-Q. Glacier Changes during the Past 40 Years in the West Kunlun Shan. J. Mt. Sci. 2015, 12, 344–357. [Google Scholar] [CrossRef]
- NASA. NASA Landsat Science: Landsat 7. Available online: https://landsat.gsfc.nasa.gov/landsat-7 (accessed on 9 March 2019).








| Sub-Region | Total | |||||
|---|---|---|---|---|---|---|
| Tian Shan | Pamir | Karakoram | West Kunlun Shan | Himalaya | ||
| Type 1 | 1 | 4 | 8 | 5 | 2 | 20 |
| Type 2 | 2 | 7 | 45 | 15 | 0 | 69 |
| Type 3 | 1 | 6 | 18 | 1 | 0 | 26 |
| Type 4 | 0 | 5 | 8 | 1 | 1 | 15 |
| Type 5 | 0 | 0 | 2 | 3 | 0 | 5 |
| Type 6 | 0 | 0 | 2 | 0 | 0 | 2 |
| Total Surging Glaciers Identified | 4 | 22 | 83 | 26 | 3 | 137 |
| Newly Identified | 1 | 9 | 28 | 15 | 2 | 55 |
Publisher’s Note: MDPI stays neutral with regard to jurisdictional claims in published maps and institutional affiliations. |
© 2021 by the authors. Licensee MDPI, Basel, Switzerland. This article is an open access article distributed under the terms and conditions of the Creative Commons Attribution (CC BY) license (http://creativecommons.org/licenses/by/4.0/).
Share and Cite
Vale, A.B.; Arnold, N.S.; Rees, W.G.; Lea, J.M. Remote Detection of Surge-Related Glacier Terminus Change across High Mountain Asia. Remote Sens. 2021, 13, 1309. https://doi.org/10.3390/rs13071309
Vale AB, Arnold NS, Rees WG, Lea JM. Remote Detection of Surge-Related Glacier Terminus Change across High Mountain Asia. Remote Sensing. 2021; 13(7):1309. https://doi.org/10.3390/rs13071309
Chicago/Turabian StyleVale, Amelia B., Neil S. Arnold, W. Gareth Rees, and James M. Lea. 2021. "Remote Detection of Surge-Related Glacier Terminus Change across High Mountain Asia" Remote Sensing 13, no. 7: 1309. https://doi.org/10.3390/rs13071309
APA StyleVale, A. B., Arnold, N. S., Rees, W. G., & Lea, J. M. (2021). Remote Detection of Surge-Related Glacier Terminus Change across High Mountain Asia. Remote Sensing, 13(7), 1309. https://doi.org/10.3390/rs13071309

